Relationship Between Frequency Domain Indicators of Heart Rate Variability and Both Age and Duration of Illness in Patients with Headache: A Cross-Sectional Study
Abstract
1. Introduction
2. Materials and Methods
2.1. Study Design
2.2. Ethical Approval and Informed Consent
2.3. Source and Processing of Data
2.3.1. Heart Rate Variability
2.3.2. Data Processing
2.4. Statistics
3. Results
3.1. Characteristics of Patients and Their Heart Rate Variability
3.2. Association Between Age and the Heart Rate Variability Factors
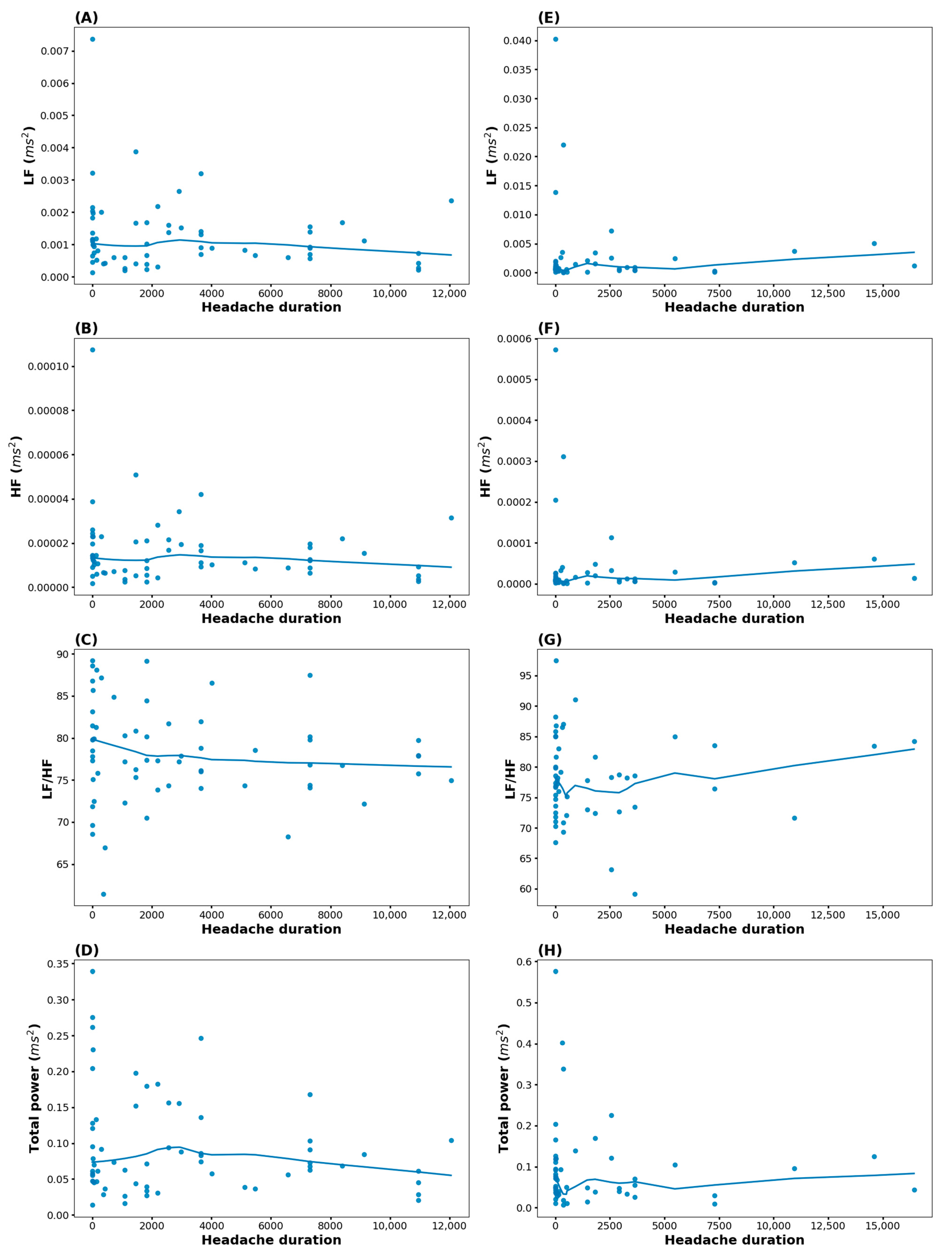
3.3. Association Between Headache Duration and the Heart Rate Variability Factors
3.4. Association Between Age and Headache Duration in Relation to the Low/High-Frequency Ratio and the Total Power Through Linear Regression
3.5. The First Subgroup Analysis: Migraine and Tension-Type Headache
3.6. The Second Subgroup Analysis: <50 Years Old and ≥50 Years Old
4. Discussion
5. Conclusions
Supplementary Materials
Author Contributions
Funding
Institutional Review Board Statement
Informed Consent Statement
Data Availability Statement
Conflicts of Interest
Appendix A
| Coefficient (95% CI) | p Value | ||
|---|---|---|---|
| LF/HF | Male | 2.03 (0.6–3.46) | 0.005 |
| Migraine | 0.21 (−1.69–2.11) | 0.827 | |
| Tension-type headache | 0.46 (−1.49–2.41) | 0.642 | |
| Age | −0.03 (−0.08–0.02) | 0.284 | |
| Headache duration | 0 (0–0) | 0.67 | |
| HTN | −0.87 (−2.57–0.83) | 0.313 | |
| DM | −4.11 (−6.3–−1.91) | <0.001 | |
| Anxiety | 0.62 (−2.75–4) | 0.717 | |
| Depression | −0.34 (−2.45–1.77) | 0.75 | |
| Total power | Male | 0 (−0.02–0.02) | 0.988 |
| Migraine | −0.02(−0.04–0.01) | 0.241 | |
| Tension-type headache | 0 (−0.02–0.03) | 0.769 | |
| Age | −0.003 (−0.003–−0.002) | <0.001 | |
| Headache duration | 0 (0–0) | 0.755 | |
| HTN | 0.02 (−0.01–0.04) | 0.123 | |
| DM | 0.02 (−0.01–0.05) | 0.213 | |
| Anxiety | 0.02 (−0.03–0.07) | 0.401 | |
| Depression | 0.02 (−0.01–0.05) | 0.248 |
| Coefficient (95% CI) | p Value | |||
|---|---|---|---|---|
| <50 years old | LF/HF | Male | 3.436 (1.374–5.498) | 0.001 |
| Migraine | 1.609 (−0.823–4.04) | 0.193 | ||
| Tension-type headache | 1.374 (−1.752–4.501) | 0.387 | ||
| Age | 0.025 (−0.085–0.136) | 0.654 | ||
| Headache duration | 0 (−0.001–0) | 0.159 | ||
| HTN | −1.181 (−4.512–2.151) | 0.485 | ||
| DM | −10.3 (−18.459–−2.141) | 0.014 | ||
| Anxiety | 1.607 (−3.905–7.118) | 0.566 | ||
| Depression | −0.297 (−3.896–3.301) | 0.871 | ||
| Total power | Male | 0.005 (−0.025–0.035) | 0.757 | |
| Migraine | −0.018 (−0.053–0.017) | 0.31 | ||
| Tension-type headache | 0.001 (−0.045–0.046) | 0.971 | ||
| Age | −0.004 (−0.006–−0.003) | <0.001 | ||
| Headache duration | 0 (0–0) | 0.128 | ||
| HTN | 0.017 (−0.032–0.065) | 0.495 | ||
| DM | −0.06 (−0.179–0.058) | 0.317 | ||
| Anxiety | −0.053 (−0.133–0.027) | 0.191 | ||
| Depression | −0.006 (−0.058–0.046) | 0.825 | ||
| ≥50 years old | LF/HF | Male | 0.203 (−1.728–2.134) | 0.836 |
| Migraine | −2.424 (−5.69–0.842) | 0.145 | ||
| Tension-type headache | −0.346 (−2.768–2.075) | 0.778 | ||
| Age | −0.184 (−0.309–−0.058) | 0.004 | ||
| Headache duration | 0 (0–0) | 0.089 | ||
| HTN | −0.826 (−2.68–1.029) | 0.381 | ||
| DM | −3.021 (−5.163–−0.879) | 0.006 | ||
| Anxiety | 0.284 (−3.825–4.394) | 0.892 | ||
| Depression | −0.22 (−2.719–2.28) | 0.863 | ||
| Total power | Male | −0.004 (−0.028–0.019) | 0.725 | |
| Migraine | −0.007 (−0.047–0.033) | 0.72 | ||
| Tension-type headache | 0.007 (−0.022–0.037) | 0.637 | ||
| Age | 0 (−0.002–0.001) | 0.707 | ||
| Headache duration | 0 (0–0) | 0.958 | ||
| HTN | 0.017 (−0.005–0.04) | 0.132 | ||
| DM | 0.02 (−0.007–0.046) | 0.141 | ||
| Anxiety | 0.067 (0.017–0.117) | 0.009 | ||
| Depression | 0.022 (−0.008–0.052) | 0.155 |
References
- Ahmed, F. Headache disorders: Differentiating and managing the common subtypes. Br. J. Pain. 2012, 6, 124–132. [Google Scholar] [CrossRef]
- Kim, B.K.; Cho, S.J.; Kim, C.S.; Sakai, F.; Dodick, D.W.; Chu, M.K. Disability and Economic Loss Caused by Headache among Information Technology Workers in Korea. J. Clin. Neurol. 2021, 17, 546–557. [Google Scholar] [CrossRef] [PubMed]
- Simić, S.; Rabi-Žikić, T.; Villar, J.R.; Calvo-Rolle, J.L.; Simić, D.; Simić, S.D. Impact of Individual Headache Types on the Work and Work Efficiency of Headache Sufferers. Int. J. Environ. Res. Public Health 2020, 17, 6918. [Google Scholar] [CrossRef] [PubMed]
- Shah, N.; Hameed, S. Muscle Contraction Tension Headache; StatPearls Publishing: Treasure Island, FL, USA, 2020. [Google Scholar]
- Waxenbaum, J.A.; Reddy, V.; Varacallo, M. Anatomy, Autonomic Nervous System; StatPearls Publishing: Treasure Island, FL, USA, 2019. [Google Scholar]
- Carrara, M.; Ferrario, M.; Bollen Pinto, B.; Herpain, A. The autonomic nervous system in septic shock and its role as a future therapeutic target: A narrative review. Ann. Intensive Care 2021, 11, 80. [Google Scholar] [CrossRef] [PubMed]
- DL, A.; Raju, T.R. Autonomic Nervous System and Control of Visual Function. Ann. Neurosci. 2023, 30, 151–153. [Google Scholar] [CrossRef]
- Valensi, P. Autonomic nervous system activity changes in patients with hypertension and overweight: Role and therapeutic implications. Cardiovasc. Diabetol. 2021, 20, 170. [Google Scholar] [CrossRef] [PubMed]
- Gevirtz, R. The Role of the Autonomic Nervous System in Headache: Biomarkers and Treatment. Curr. Pain Headache Rep. 2022, 26, 767–774. [Google Scholar] [CrossRef] [PubMed]
- Pavelić, A.R.; Zebenholzer, K.; Wöber, C. Reconceptualizing autonomic function testing in migraine: A systematic review and meta-analysis. J. Headache Pain 2024, 25, 54. [Google Scholar] [CrossRef] [PubMed]
- Shi, M.; Luo, D.; Guo, J.; Yang, D.; Li, Z.; Zhao, H. The Function of the Autonomic Nervous System in Asian Patients With Chronic Migraine. Front. Neurosci. 2022, 16, 773321. [Google Scholar] [CrossRef]
- Gullett, N.; Zajkowska, Z.; Walsh, A.; Harper, R.; Mondelli, V. Heart rate variability (HRV) as a way to understand associations between the autonomic nervous system (ANS) and affective states: A critical review of the literature. Int. J. Psychophysiol. 2023, 192, 35–42. [Google Scholar] [CrossRef]
- Hayano, J.; Yuda, E. Pitfalls of assessment of autonomic function by heart rate variability. J. Physiol. Anthropol. 2019, 38, 3. [Google Scholar] [CrossRef] [PubMed]
- Yugar, L.B.T.; Yugar-Toledo, J.C.; Dinamarco, N.; Sedenho-Prado, L.G.; Moreno, B.V.D.; Rubio, T.A.; Fattori, A.; Rodrigues, B.; Vilela-Martin, J.F.; Moreno, H. The Role of Heart Rate Variability (HRV) in Different Hypertensive Syndromes. Diagnostics 2023, 13, 785. [Google Scholar] [CrossRef] [PubMed]
- Tumurbaatar, E.; Bat-Erdene, E.; Amartuvshin, T.; Dashtseren, M.; Tumur-Ochir, G.; Boldbaatar, D.; Jadamba, T.; Hiramoto, T.; Oka, T.; Lkhagvasuren, B. Heart rate variability and tension-type headache: A population-based cross-sectional study. IBRO Neurosci. Rep. 2023, 15, 194–202. [Google Scholar] [CrossRef]
- Chuang, C.-H.; Li, J.-Y.; King, J.-T.; Chen, W.-T.; Chen, S.-P.; Wang, Y.-F.; Liu, H.-Y.; Hsiao, F.-J.; Pan, L.-L.H.; Wang, S.-J.; et al. Abnormal heart rate variability and its application in predicting treatment efficacy in patients with chronic migraine: An exploratory study. Cephalalgia 2023, 43, 03331024231206781. [Google Scholar] [CrossRef] [PubMed]
- Zhang, L.; Qiu, S.; Zhao, C.; Wang, P.; Yu, S. Heart rate variability analysis in episodic migraine: A cross-sectional study. Front. Neurol. 2021, 12, 647092. [Google Scholar] [CrossRef]
- Koenig, J.; Williams, D.P.; Kemp, A.H.; Thayer, J.F. Vagally mediated heart rate variability in headache patients—A systematic review and meta-analysis. Cephalalgia 2016, 36, 265–278. [Google Scholar] [CrossRef] [PubMed]
- Vollono, C.; Gnoni, V.; Testani, E.; Dittoni, S.; Losurdo, A.; Colicchio, S.; Blasi, C.D.; Mazza, S.; Farina, B.; Marca, G.D. Heart Rate Variability in Sleep-Related Migraine without Aura. J. Clin. Sleep Med. 2013, 09, 707–714. [Google Scholar] [CrossRef]
- Perciaccante, A.; Fiorentini, A.; Valente, R.; Granata, M.; Tubani, L. Migraine and Heart Rate Variability. Arch. Intern. Med. 2007, 167, 2264. [Google Scholar] [CrossRef]
- Claiborne, A.; Alessio, H.; Slattery, E.; Hughes, M.; Barth, E.; Cox, R. Heart Rate Variability Reflects Similar Cardiac Autonomic Function in Explosive and Aerobically Trained Athletes. Int. J. Environ. Res. Public Health 2021, 18, 10669. [Google Scholar] [CrossRef]
- Duong, H.T.H.; Tadesse, G.A.; Nhat, P.T.H.; Van Hao, N.; Prince, J.; Duong, T.D.; Kien, T.T.; Pugh, C.; Loan, H.T.; Chau, N.V.V. Heart rate variability as an indicator of autonomic nervous system disturbance in tetanus. Am. J. Trop. Med. Hyg. 2020, 102, 403. [Google Scholar] [CrossRef]
- Ali, M.K.; Chen, J.D.Z. Roles of Heart Rate Variability in Assessing Autonomic Nervous System in Functional Gastrointestinal Disorders: A Systematic Review. Diagnostics 2023, 13, 293. [Google Scholar] [CrossRef] [PubMed]
- Borchini, R.; Veronesi, G.; Bonzini, M.; Gianfagna, F.; Dashi, O.; Ferrario, M.M. Heart Rate Variability Frequency Domain Alterations among Healthy Nurses Exposed to Prolonged Work Stress. Int. J. Environ. Res. Public Health 2018, 15, 113. [Google Scholar] [CrossRef]
- Shaffer, F.; Ginsberg, J.P. An Overview of Heart Rate Variability Metrics and Norms. Front. Public Health 2017, 5, 258. [Google Scholar] [CrossRef] [PubMed]
- Clemson, P.T.; Hoag, J.B.; Cooke, W.H.; Eckberg, D.L.; Stefanovska, A. Beyond the Baroreflex: A New Measure of Autonomic Regulation Based on the Time-Frequency Assessment of Variability, Phase Coherence and Couplings. Front. Netw. Physiol. 2022, 2, 891604. [Google Scholar] [CrossRef]
- Rahman, F.; Pechnik, S.; Gross, D.; Sewell, L.; Goldstein, D.S. Low frequency power of heart rate variability reflects baroreflex function, not cardiac sympathetic innervation. Clin. Auton. Res. 2011, 21, 133–141. [Google Scholar] [CrossRef] [PubMed]
- Kiselev, A.; Kirichuk, V.; Posnenkova, O.; Gridnev, V. Mechanisms of periodic heart rate oscillations: A study using controlled breathing tests. Hum. Physiol. 2005, 31, 309–315. [Google Scholar] [CrossRef]
- Shaffer, F.; Meehan, Z.M. A Practical Guide to Resonance Frequency Assessment for Heart Rate Variability Biofeedback. Front. Neurosci. 2020, 14, 570400. [Google Scholar] [CrossRef]
- Vaschillo, E.; Lehrer, P.; Rishe, N.; Konstantinov, M. Heart rate variability biofeedback as a method for assessing baroreflex function: A preliminary study of resonance in the cardiovascular system. Appl. Psychophysiol. Biofeedback 2002, 27, 1–27. [Google Scholar] [CrossRef]
- Vaschillo, E.G.; Vaschillo, B.; Lehrer, P.M. Characteristics of resonance in heart rate variability stimulated by biofeedback. Appl. Psychophysiol. Biofeedback 2006, 31, 129–142. [Google Scholar] [CrossRef] [PubMed]
- Vaschillo, E.; Vaschillo, B.; Lehrer, P. Heartbeat synchronizes with respiratory rhythm only under specific circumstances. Chest 2004, 126, 1385–1386. [Google Scholar] [CrossRef]
- Vaschillo, E.G.; Vaschillo, B.; Pandina, R.J.; Bates, M.E. Resonances in the cardiovascular system caused by rhythmical muscle tension. Psychophysiology 2011, 48, 927–936. [Google Scholar] [CrossRef] [PubMed]
- Ben Mrad, I.; Ben Mrad, M.; Besbes, B.; Zairi, I.; Ben Kahla, N.; Kamoun, S.; Mzoughi, K.; Kraiem, S. Heart Rate Variability as an Indicator of Autonomic Nervous System Disturbance in Behcet’s Disease. Int. J. Gen. Med. 2021, 14, 4877–4886. [Google Scholar] [CrossRef] [PubMed]
- Camm, A.J.; Malik, M.; Bigger, J.T.; Breithardt, G.; Cerutti, S.; Cohen, R.J.; Coumel, P.; Fallen, E.L.; Kennedy, H.L.; Kleiger, R.E. Heart rate variability: Standards of measurement, physiological interpretation and clinical use. Task Force of the European Society of Cardiology and the North American Society of Pacing and Electrophysiology. Circulation 1996, 93, 1043–1065. [Google Scholar]
- Eller, N.H. Total power and high frequency components of heart rate variability and risk factors for atherosclerosis. Auton. Neurosci. 2007, 131, 123–130. [Google Scholar] [CrossRef]
- KOICD. Korean Standard Classification of Diseases. Available online: https://www.koicd.kr/kcd/kcds.do (accessed on 18 October 2024).
- World Health Organization. International Classification of Diseases. Available online: https://icd.who.int/en (accessed on 1 December 2024).
- Welch, P. The use of fast Fourier transform for the estimation of power spectra: A method based on time averaging over short, modified periodograms. IEEE Trans. Audio Electroacoust. 1967, 15, 70–73. [Google Scholar] [CrossRef]
- Choi, J.; Cha, W.; Park, M.G. Declining Trends of Heart Rate Variability According to Aging in Healthy Asian Adults. Front. Aging Neurosci. 2020, 12, 610626. [Google Scholar] [CrossRef] [PubMed]
- Qavi, A.; Jasrotia, R.B.; Maurya, P.K.; Singh, A.K.; Kulshreshtha, D.; Ansari, A.; Thacker, A.K.; Kanchan, A. Autonomic Function Tests, Heart Rate Variability, and Electrophysiological Evaluation in Patients With a Primary Episodic Headache: An Observational Study. J. Clin. Neurophysiol. 2023, 40, 625–633. [Google Scholar] [CrossRef]
- Vigo, D.E.; Guinjoan, S.M.; Scaramal, M.; Nicola Siri, L.; Cardinali, D.P. Wavelet transform shows age-related changes of heart rate variability within independent frequency components. Auton. Neurosci. 2005, 123, 94–100. [Google Scholar] [CrossRef] [PubMed]
- Bruehl, S.; Chung, O.Y. Interactions between the cardiovascular and pain regulatory systems: An updated review of mechanisms and possible alterations in chronic pain. Neurosci. Biobehav. Rev. 2004, 28, 395–414. [Google Scholar] [CrossRef]
- Bruehl, S.; Chung, O.Y.; Jirjis, J.N.; Biridepalli, S. Prevalence of clinical hypertension in patients with chronic pain compared to nonpain general medical patients. Clin. J. Pain 2005, 21, 147–153. [Google Scholar] [CrossRef]
- Telles, S.; Sharma, S.K.; Gupta, R.K.; Bhardwaj, A.K.; Balkrishna, A. Heart rate variability in chronic low back pain patients randomized to yoga or standard care. BMC Complement. Altern. Med. 2016, 16, 279. [Google Scholar] [CrossRef]





| Type of Headache | Diagnosis |
|---|---|
| Migraine | migraine with or without aura, status migrainosus, complicated migraine, other and unspecified migraine. |
| TTH | acute, chronic, episodic, and unspecified TTH. |
| Other causes of headaches | other specified cerebrovascular diseases, other specified headache syndromes, dizziness and giddiness, benign intracranial hypertension, vascular headache, cluster headache syndrome, meningitis, meningitis in viral diseases, post-concussion syndrome, zoster without complication, herpes zoster, and unspecified headache. |
| All Headache (n = 396) | Migraine (n = 63) | Tension-Type Headache (n = 52) | |
|---|---|---|---|
| Age (year) | 48 (35, 60) | 42 (30, 50) | 53 (41, 63) |
| Male | 134 (33.8) | 9 (14.3) | 16 (28.9) |
| Female | 262 (66.2) | 54 (85.7) | 37 (71.1) |
| Hypertension | 82 (20.7) | 6 (9.5) | 10 (19.2) |
| Diabetes | 44 (11.1) | 2 (3.2) | 6 (11.5) |
| Depression | 47 (11.9) | 13 (20.6) | 8 (15.4) |
| Anxiety | 16 (4.0) | 2 (3.2) | 2 (3.9) |
| Power of the LF band (ms2) | 9.18 × 10−4 (4.69 × 10−4, 1.83 × 10−3) | 9.31 × 10−4 (6.04 × 10−4, 1.58 × 10−3) | 7.81 × 10−4 (4.32 × 10−4, 1.89 × 10−3) |
| Power of the HF band (ms2) | 1.17 × 10−5 (6.29 × 10−6, 1.83 × 10−5) | 1.20 × 10−5 (7.37 × 10−6, 2.01 × 10−5) | 1.02 × 10−5 (6.14 × 10−6, 2.57 × 10−5) |
| LF/HF | 77.8 (73.6, 81.6) | 77.8 (74.7, 81.1) | 77.8 (72.9, 83.1) |
| Total power (ms2) | 0.065 (0.038, 0.113) | 0.071 (0.046, 0.124) | 0.054 (0.035, 0.113) |
| Univariable Analysis | Multivariable Analysis | ||||
|---|---|---|---|---|---|
| Coefficient (95% CI) | p-Value | Coefficient (95% CI) | p-Value | ||
| LF/HF | Age | −0.07 (−0.11–−0.03) | 0.001 | −0.03 (−0.08–0.02) | 0.284 |
| Headache duration | 0 (0–0) | 0.645 | 0 (0–0) | 0.67 | |
| Total power | Age | −0.002 (−0.003–−0.002) | <0.001 | −0.003 (−0.003–−0.002) | <0.001 |
| Headache duration | 0 (0–0) | 0.926 | 0 (0–0) | 0.755 | |
| Univariable Analysis | Multivariable Analysis | |||||
|---|---|---|---|---|---|---|
| Coefficient (95% CI) | p Value | Coefficient (95% CI) | p Value | |||
| Migraine | LF/HF | Age | −0.103 (−0.203–−0.003) | 0.043 | −0.098 (−0.203–0.008) | 0.069 |
| Headache duration | 0 (−0.001–0) | 0.355 | 0 (−0.001–0) | 0.724 | ||
| Total power | Age | −0.002 (−0.003–−0.001) | <0.001 | −0.002 (−0.003–−0.001) | <0.001 | |
| Headache duration | 0 (0–0) | 0.120 | 0 (0–0) | 0.592 | ||
| Tension type headache | LF/HF | Age | −0.064 (−0.193–0.065) | 0.325 | −0.07 (−0.203–0.064) | 0.299 |
| Headache duration | 0 (0–0.001) | 0.765 | 0 (0–0) | 0.815 | ||
| Total power | Age | −0.002 (−0.004–0) | 0.085 | −0.002 (−0.004–0) | 0.105 | |
| Headache duration | 0 (0–0) | 0.498 | 0(0–0) | 0.713 | ||
| Univariable Analysis | Multivariable Analysis | |||||
|---|---|---|---|---|---|---|
| Coefficient (95% CI) | p Value | Coefficient (95% CI) | p Value | |||
| <50 years old | LF/HF | Age | −0.027 (−0.134–−0.079) | 0.612 | 0.025 (−0.085–0.136) | 0.654 |
| Headache duration | 0 (−0.006–0) | 0.042 | 0 (−0.001–0) | 0.159 | ||
| Total power | Age | −0.004 (−0.006–−0.003) | <0.001 | −0.004 (−0.006–−0.003) | <0.001 | |
| Headache duration | 0 (0–0) | 0.622 | 0 (0–0) | 0.128 | ||
| ≥50 years old | LF/HF | Age | −0.225 (−0.346–−0.103) | 0.000 | −0.184 (−0.309–−0.058) | 0.004 |
| Headache duration | 0 (0–0) | 0.159 | 0 (0–0) | 0.089 | ||
| Total power | Age | 0 (−0.001–0.002) | 0.831 | 0 (−0.002–0.001) | 0.707 | |
| Headache duration | 0 (0–0) | 0.893 | 0 (0–0) | 0.958 | ||
Disclaimer/Publisher’s Note: The statements, opinions and data contained in all publications are solely those of the individual author(s) and contributor(s) and not of MDPI and/or the editor(s). MDPI and/or the editor(s) disclaim responsibility for any injury to people or property resulting from any ideas, methods, instructions or products referred to in the content. |
© 2024 by the authors. Licensee MDPI, Basel, Switzerland. This article is an open access article distributed under the terms and conditions of the Creative Commons Attribution (CC BY) license (https://creativecommons.org/licenses/by/4.0/).
Share and Cite
Kim, J.-H.; Sohn, J.-H.; Hwang, S.-M.; Lee, J.-J.; Kwon, Y.-S. Relationship Between Frequency Domain Indicators of Heart Rate Variability and Both Age and Duration of Illness in Patients with Headache: A Cross-Sectional Study. Biomedicines 2025, 13, 21. https://doi.org/10.3390/biomedicines13010021
Kim J-H, Sohn J-H, Hwang S-M, Lee J-J, Kwon Y-S. Relationship Between Frequency Domain Indicators of Heart Rate Variability and Both Age and Duration of Illness in Patients with Headache: A Cross-Sectional Study. Biomedicines. 2025; 13(1):21. https://doi.org/10.3390/biomedicines13010021
Chicago/Turabian StyleKim, Jong-Ho, Jong-Hee Sohn, Sung-Mi Hwang, Jae-Jun Lee, and Young-Suk Kwon. 2025. "Relationship Between Frequency Domain Indicators of Heart Rate Variability and Both Age and Duration of Illness in Patients with Headache: A Cross-Sectional Study" Biomedicines 13, no. 1: 21. https://doi.org/10.3390/biomedicines13010021
APA StyleKim, J.-H., Sohn, J.-H., Hwang, S.-M., Lee, J.-J., & Kwon, Y.-S. (2025). Relationship Between Frequency Domain Indicators of Heart Rate Variability and Both Age and Duration of Illness in Patients with Headache: A Cross-Sectional Study. Biomedicines, 13(1), 21. https://doi.org/10.3390/biomedicines13010021

