Anti-Allergic and Anti-Inflammatory Effects of Lidocaine-Derived Organic Compounds in a House Dust Mite-Induced Allergic Rhinitis Mouse Model
Abstract
1. Introduction
2. Materials and Methods
2.1. Reagents
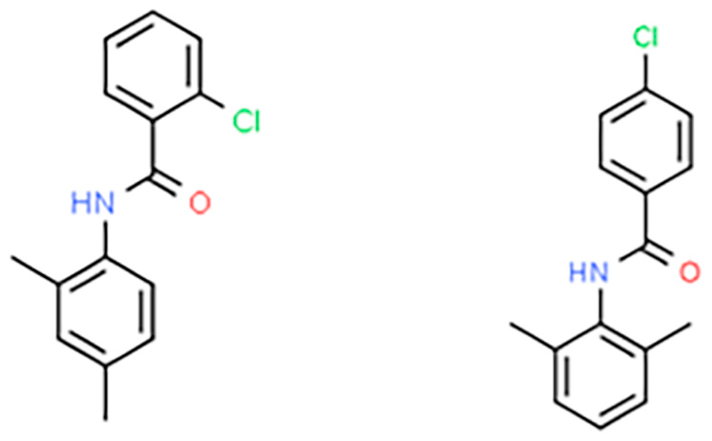
2.2. Preparation of Lidocaine-Derived Organic Compounds
2.3. Development of DP-Induced Allergic Rhinitis Mouse Model and Experimental Protocol
2.4. Evaluation of Allergic Symptoms
2.5. Evaluation of Inflammatory Cells in Nasal Lavage Fluid (NLF)
2.6. Measurement of Serum Total IgE and Cytokines
2.7. Measurement of Cytokines and Transcription Factor mRNA in Sinonasal Mucosa
2.8. Measurement of Cytokines from Splenocytes Stimulated with DP
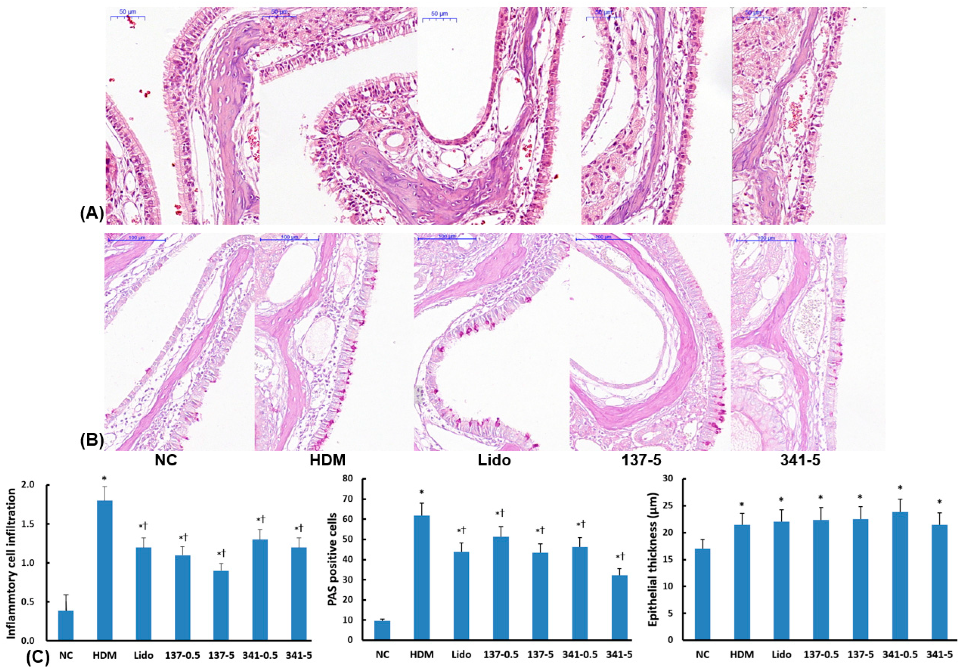
2.9. Histological Evaluation of Sinonasal Mucosa
2.10. Statistical Analysis
3. Results
3.1. Effects of Lidocaine Analogs on the Allergy Symptoms
3.2. Effect of Lidocaine Analogs on Inflammatory Cell Differentiation in NLF
3.3. Effect of Lidocaine Analogs on Serum Total IgE and Cytokine Levels
3.4. Effect of Lidocaine Analogs on Cytokines and the Expression of Their Transcription Factor mRNA in Sinonasal Mucosa
3.5. Effect of Lidocaine Analogs on DP-Induced Splenocyte Activation
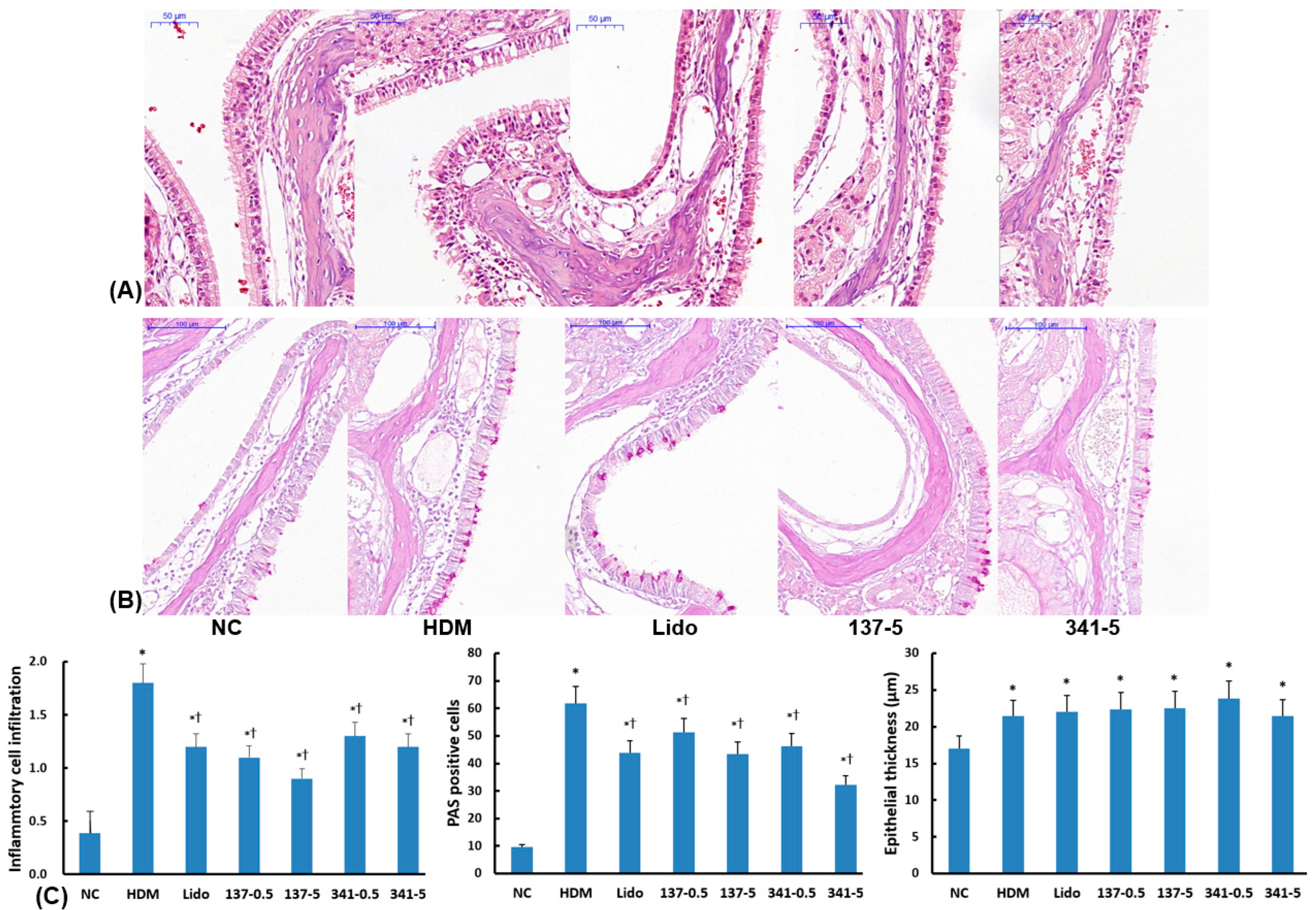
3.6. Effect of Lidocaine Analogs on Histologic Changes in Sinonasal Mucosa
4. Discussion
5. Conclusions
Supplementary Materials
Author Contributions
Funding
Institutional Review Board Statement
Informed Consent Statement
Data Availability Statement
Conflicts of Interest
References
- Bousquet, J.; Anto, J.M.; Bachert, C.; Baiardini, I.; Bosnic-Anticevich, S.; Walter Canonica, G.; Melen, E.; Palomares, O.; Scadding, G.K.; Togias, A.; et al. Allergic rhinitis. Nat. Rev. Dis. Primers 2020, 6, 95. [Google Scholar] [CrossRef] [PubMed]
- Savoure, M.; Bousquet, J.; Jaakkola, J.J.K.; Jaakkola, M.S.; Jacquemin, B.; Nadif, R. Worldwide prevalence of rhinitis in adults: A review of definitions and temporal evolution. Clin. Transl. Allergy 2022, 12, e12130. [Google Scholar] [CrossRef]
- Zhang, Y.; Lan, F.; Zhang, L. Update on pathomechanisms and treatments in allergic rhinitis. Allergy 2022, 77, 3309–3319. [Google Scholar] [CrossRef]
- Meng, Y.; Wang, C.; Zhang, L. Recent developments and highlights in allergic rhinitis. Allergy 2019, 74, 2320–2328. [Google Scholar] [CrossRef] [PubMed]
- Daraz, Y.M.; Abdelghffar, O.H. Lidocaine Infusion: An Antiarrhythmic with Neurologic Toxicities. Cureus 2022, 14, e23310. [Google Scholar] [CrossRef]
- Ma, X.; Yan, W.; He, N. Lidocaine attenuates hypoxia/reoxygenation-induced inflammation, apoptosis and ferroptosis in lung epithelial cells by regulating the p38 MAPK pathway. Mol. Med. Rep. 2022, 25, 150. [Google Scholar] [CrossRef] [PubMed]
- Siqueira, R.A.; Costa, J.C.; Cordeiro, R.S.; Serra, M.F.; e Silva, P.M.; Martins, M.A. Local anesthetic medication for the treatment of asthma. Mem. Inst. Oswaldo Cruz. 2005, 100 (Suppl. S1), 161–165. [Google Scholar] [CrossRef] [PubMed][Green Version]
- Wang, L.; Wang, M.; Li, S.; Wu, H.; Shen, Q.; Zhang, S.; Fang, L.; Liu, R. Nebulized lidocaine ameliorates allergic airway inflammation via downregulation of TLR2. Mol. Immunol. 2018, 97, 94–100. [Google Scholar] [CrossRef]
- Serra, M.F.; Neves, J.S.; Couto, G.C.; Cotias, A.C.; Pao, C.R.; Olsen, P.C.; de Carvalho, K.I.; Anjos-Valotta, E.A.; Faria, R.X.; Costa, J.C.; et al. JM25-1, a Lidocaine Analog Combining Airway Relaxant and Antiinflammatory Properties: Implications for New Bronchospasm Therapy. Anesthesiology 2016, 124, 109–120. [Google Scholar] [CrossRef]
- Shin, S.H.; Ye, M.K.; Chae, M.H.; Geum, S.Y.; Aboraia, A.S.; Abdel-Aal, A.M.; Qayed, W.S.; Abd El-Wahab, H.A.A.; Abou-Ghadir, O.F.; Aboul-Fadl, T. Effects of Lidocaine-Derived Organic Compounds on Eosinophil Activation and Survival. Molecules 2023, 28, 5696. [Google Scholar] [CrossRef]
- Kempe-Dustin, J.J.; Aboul-Fadl, T.; Christensen, C.; Palais, R.; Parsawar, K.; Gleich, G.J.; Wagner, L.A. Cell screening assay for identifying inhibitors of eosinophil proliferation. Drug Dev. Res. 2011, 72, 353–360. [Google Scholar] [CrossRef]
- Xiang, J.; Yang, Z.; Zhou, Q. Lidocaine relieves murine allergic rhinitis by regulating the NF-kappaB and p38 MAPK pathways. Exp. Ther. Med. 2022, 23, 193. [Google Scholar] [CrossRef] [PubMed]
- Shin, S.H.; Ye, M.K.; Lee, D.W.; Che, M.H. Immunomodulative Effects of Chamaecyparis obtusa Essential Oil in Mouse Model of Allergic Rhinitis. Molecules 2020, 25, 4517. [Google Scholar] [CrossRef] [PubMed]
- Caracas, H.C.; Maciel, J.V.; Martins, P.M.; de Souza, M.M.; Maia, L.C. The use of lidocaine as an anti-inflammatory substance: A systematic review. J. Dent. 2009, 37, 93–97. [Google Scholar] [CrossRef]
- Yu, S.; Han, B.; Liu, S.; Wang, H.; Zhuang, W.; Huang, Y.; Zhang, R. Derp1-modified dendritic cells attenuate allergic inflammation by regulating the development of T helper type1(Th1)/Th2 cells and regulatory T cells in a murine model of allergic rhinitis. Mol. Immunol. 2017, 90, 172–181. [Google Scholar] [CrossRef] [PubMed]
- Lee, K.I.; Bae, J.S.; Kim, E.H.; Kim, J.H.; Lyu, L.; Chung, Y.J.; Mo, J.H. Strain-Specific Differences in House Dust Mite (Dermatophagoides farinae)-Induced Mouse Models of Allergic Rhinitis. Clin. Exp. Otorhinolaryngol. 2020, 13, 396–406. [Google Scholar] [CrossRef] [PubMed]
- Cyphert-Daly, J.M.; Yang, Z.; Ingram, J.L.; Tighe, R.M.; Que, L.G. Physiologic response to chronic house dust mite exposure in mice is dependent on lot characteristics. J. Allergy Clini. Immunol. 2019, 144, 1428–1432.e8. [Google Scholar] [CrossRef] [PubMed]
- Zhang, Q.; Zhu, W.; Zou, Z.; Yu, W.; Gao, P.; Wang, Y.; Chen, J. A preliminary study in immune response of BALB/C and C57BL/6 mice with a locally allergic rhinitis model. Am. J. Rhinol. Allergy 2023, 37, 410–418. [Google Scholar] [CrossRef]
- Lee, E.; Lee, S.Y.; Park, M.J.; Hong, S.J. TNF-alpha (rs1800629) polymorphism modifies the effect of sensitization to house dust mite on asthma and bronchial hyperresponsiveness in children. Exp. Mol. Pathol. 2020, 115, 104467. [Google Scholar] [CrossRef]
- Trott, O.; Olson, A.J. AutoDock Vina: Improving the speed and accuracy of docking with a new scoring function, efficient optimization, and multithreading. J Comput Chem 2010, 31, 455–461. [Google Scholar] [CrossRef]
- Eberhardt, J.; Santos-Martins, D.; Tillack, A.F.; Forli, S. AutoDock Vina 1.2.0: New Docking Methods, Expanded Force Field, and Python Bindings. J Chem Inf Model 2021, 61, 3891–3898. [Google Scholar] [CrossRef] [PubMed]
- Laskowski, R.A.; Swindells, M.B. LigPlot+: Multiple ligand-protein interaction diagrams for drug discovery. J Chem Inf Model 2011, 51, 2778–2786. [Google Scholar] [CrossRef] [PubMed]







Disclaimer/Publisher’s Note: The statements, opinions and data contained in all publications are solely those of the individual author(s) and contributor(s) and not of MDPI and/or the editor(s). MDPI and/or the editor(s) disclaim responsibility for any injury to people or property resulting from any ideas, methods, instructions or products referred to in the content. |
© 2024 by the authors. Licensee MDPI, Basel, Switzerland. This article is an open access article distributed under the terms and conditions of the Creative Commons Attribution (CC BY) license (https://creativecommons.org/licenses/by/4.0/).
Share and Cite
Shin, S.-H.; Ye, M.-K.; Chae, M.-H.; Geum, S.-Y.; Aboraia, A.S.; Abdel-Aal, A.-B.M.; Qayed, W.S.; El-wahab, H.A.A.A.; Abou-Ghadir, O.F.; Aboul-Fadl, T. Anti-Allergic and Anti-Inflammatory Effects of Lidocaine-Derived Organic Compounds in a House Dust Mite-Induced Allergic Rhinitis Mouse Model. Biomedicines 2024, 12, 1965. https://doi.org/10.3390/biomedicines12091965
Shin S-H, Ye M-K, Chae M-H, Geum S-Y, Aboraia AS, Abdel-Aal A-BM, Qayed WS, El-wahab HAAA, Abou-Ghadir OF, Aboul-Fadl T. Anti-Allergic and Anti-Inflammatory Effects of Lidocaine-Derived Organic Compounds in a House Dust Mite-Induced Allergic Rhinitis Mouse Model. Biomedicines. 2024; 12(9):1965. https://doi.org/10.3390/biomedicines12091965
Chicago/Turabian StyleShin, Seung-Heon, Mi-Kyung Ye, Mi-Hyun Chae, Sang-Yen Geum, Ahmed S. Aboraia, Abu-Baker M. Abdel-Aal, Wesam S. Qayed, Hend A. A. Abd El-wahab, Ola F. Abou-Ghadir, and Tarek Aboul-Fadl. 2024. "Anti-Allergic and Anti-Inflammatory Effects of Lidocaine-Derived Organic Compounds in a House Dust Mite-Induced Allergic Rhinitis Mouse Model" Biomedicines 12, no. 9: 1965. https://doi.org/10.3390/biomedicines12091965
APA StyleShin, S.-H., Ye, M.-K., Chae, M.-H., Geum, S.-Y., Aboraia, A. S., Abdel-Aal, A.-B. M., Qayed, W. S., El-wahab, H. A. A. A., Abou-Ghadir, O. F., & Aboul-Fadl, T. (2024). Anti-Allergic and Anti-Inflammatory Effects of Lidocaine-Derived Organic Compounds in a House Dust Mite-Induced Allergic Rhinitis Mouse Model. Biomedicines, 12(9), 1965. https://doi.org/10.3390/biomedicines12091965

