Alterations in the Blood Kynurenine Pathway Following Long-Term PM2.5 and PM10 Exposure: A Cross-Sectional Study
Abstract
1. Introduction
2. Materials and Methods
2.1. Chemical and Reagents
2.2. Sample Collection
2.3. Preparation of Blood Samples
2.4. Acquisition Parameters
2.5. Internal Standard
2.6. Peak Assignment and Chemical Identification
2.7. Data Analysis
2.8. Metabolomics Measurements
2.9. Particulate Matter Level in Atmosphere and Average Daily Dose Exposure
2.10. Statistical Analysis
3. Results
3.1. Demographic Data
3.2. Determination of Metabolites in Blood Samples by 1H-NMR
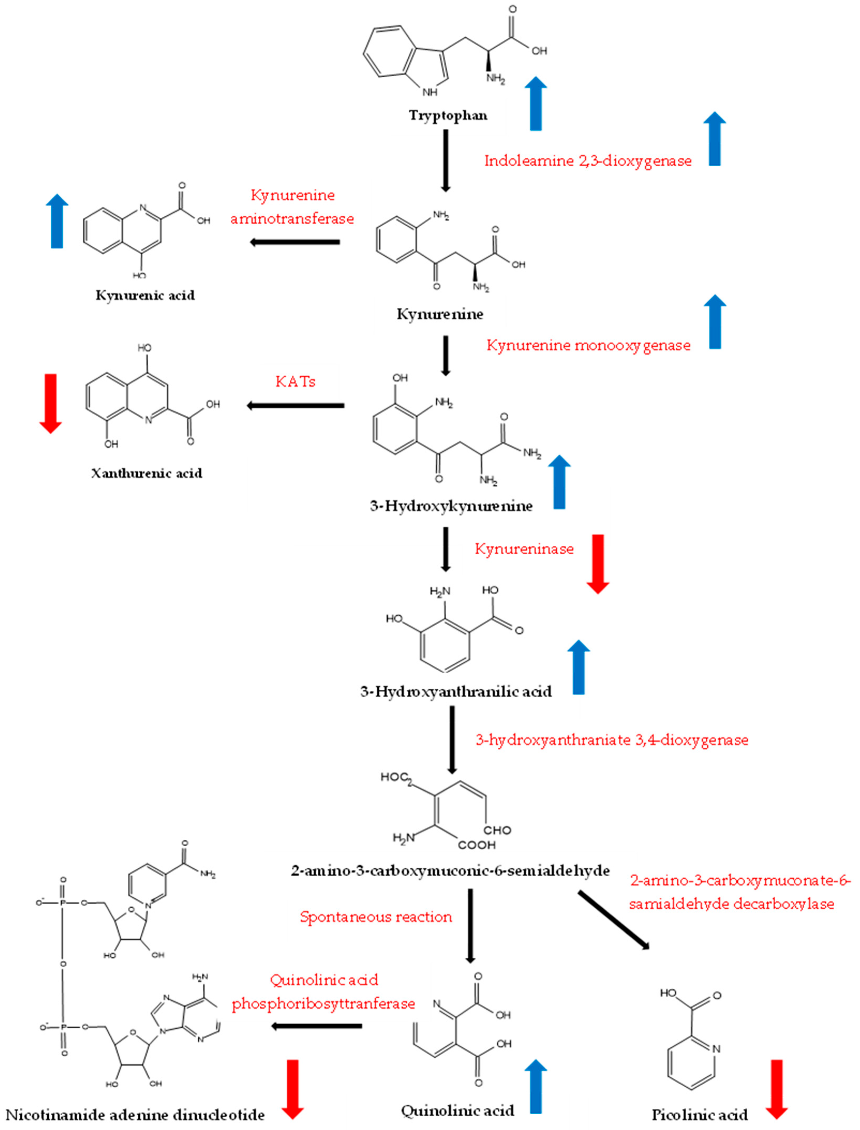
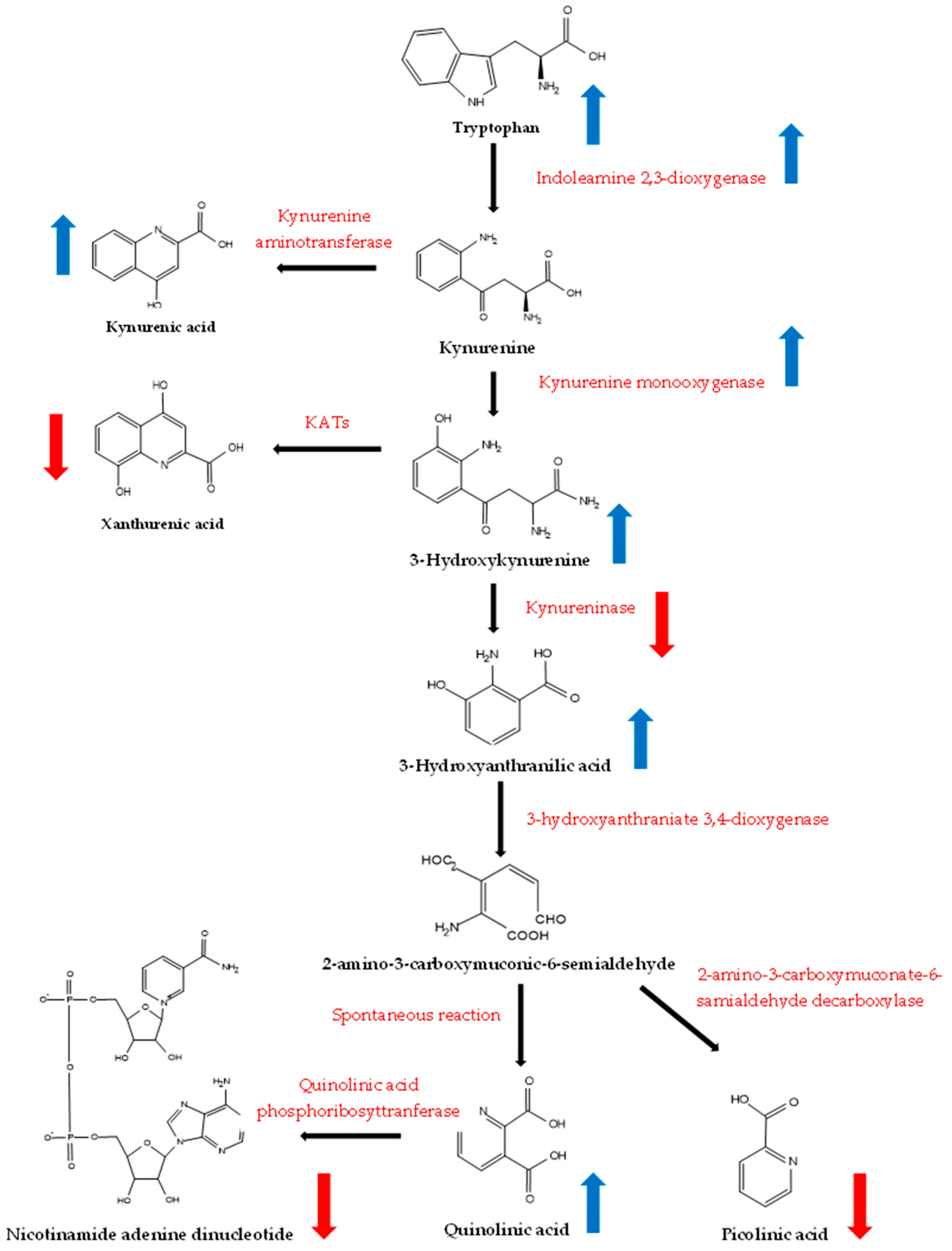
3.3. Effect of PM2.5 Exposure on the Kynurenine Pathway
3.4. Metabolomic Study
3.5. The Level of PM2.5 and PM10 in Atmosphere
3.6. Correlation between Time Spent Living in the Area, PM2.5 and PM10 Concentration, and Kynurenine Metabolites
4. Discussion
5. Conclusions
Author Contributions
Funding
Institutional Review Board Statement
Informed Consent Statement
Data Availability Statement
Acknowledgments
Conflicts of Interest
References
- Supasri, T.; Gheewala, S.H.; Macatangay, R.; Chakpor, A.; Sedpho, S. Association between ambient air particulate matter and human health impacts in northern Thailand. Sci. Rep. 2023, 13, 12753. [Google Scholar] [CrossRef]
- Suriyawong, P.; Chuetor, S.; Samae, H.; Piriyakarnsakul, S.; Amin, M.; Furuuchi, M.; Hata, M.; Inerb, M.; Phairuang, W. Airborne particulate matter from biomass burning in Thailand: Recent issues, challenges, and options. Heliyon 2023, 9, e14261. [Google Scholar] [CrossRef] [PubMed]
- Phairuang, W.; Suwattiga, P.; Chetiyanukornkul, T.; Hongtieab, S.; Limpaseni, W.; Ikemori, F.; Hata, M.; Furuuchi, M. The influence of the open burning of agricultural biomass and forest fires in Thailand on the carbonaceous components in size-fractionated particles. Environ. Pollut. 2019, 247, 238–247. [Google Scholar] [CrossRef]
- Pongpiachan, S.; Choochuay, C.; Chalachol, J.; Kanchai, P.; Phonpiboon, T.; Wongsuesat, S.; Chomkhae, K.; Kittikoon, I.; Hiranyatrakul, P.; Cao, J.; et al. Chemical characterisation of organic functional group compositions in PM2.5 collected at nine administrative provinces in northern Thailand during the Haze Episode in 2013. Asian Pac. J. Cancer Prev. 2013, 14, 3653–3661. [Google Scholar] [CrossRef]
- Nakharutai, N.; Traisathit, P.; Thongsak, N.; Supasri, T.; Srikummoon, P.; Thumronglaohapun, S.; Hemwan, P.; Chitapanarux, I. Impact of Residential Concentration of PM2.5 Analyzed as Time-Varying Covariate on the Survival Rate of Lung Cancer Patients: A 15-Year Hospital-Based Study in Upper Northern Thailand. Int. J. Environ. Res. Public Health 2022, 19, 4521. [Google Scholar] [CrossRef]
- Sharma, A.K.; Baliyan, P.; Kumar, P. Air pollution and public health: The challenges for Delhi, India. Rev. Environ. Health 2018, 33, 77–86. [Google Scholar] [CrossRef]
- Jirik, V.; Dalecka, A.; Vasendova, V.; Janoutova, J.; Janout, V. How serious are health impacts in one of the most polluted regions of Central Europe? Rev. Environ. Health 2017, 32, 177–183. [Google Scholar] [CrossRef] [PubMed]
- Xing, Y.F.; Xu, Y.H.; Shi, M.H.; Lian, Y.X. The impact of PM2.5 on the human respiratory system. J. Thorac. Dis. 2016, 8, E69–E74. [Google Scholar] [CrossRef]
- Krittanawong, C.; Qadeer, Y.K.; Hayes, R.B.; Wang, Z.; Virani, S.; Thurston, G.D.; Lavie, C.J. PM2.5 and Cardiovascular Health Risks. Curr. Probl. Cardiol. 2023, 48, 101670. [Google Scholar] [CrossRef]
- Liu, X.Q.; Huang, J.; Song, C.; Zhang, T.L.; Liu, Y.P.; Yu, L. Neurodevelopmental toxicity induced by PM2.5 Exposure and its possible role in Neurodegenerative and mental disorders. Hum. Exp. Toxicol. 2023, 42, 9603271231191436. [Google Scholar] [CrossRef]
- Kloog, I.; Ridgway, B.; Koutrakis, P.; Coull, B.A.; Schwartz, J.D. Long- and short-term exposure to PM2.5 and mortality: Using novel exposure models. Epidemiology 2013, 24, 555–561. [Google Scholar] [CrossRef]
- Ghetu, C.C.; Rohlman, D.; Smith, B.W.; Scott, R.P.; Adams, K.A.; Hoffman, P.D.; Anderson, K.A. Wildfire Impact on Indoor and Outdoor PAH Air Quality. Environ. Sci. Technol. 2022, 56, 10042–10052. [Google Scholar] [CrossRef]
- Grishanova, A.Y.; Perepechaeva, M.L. Aryl Hydrocarbon Receptor in Oxidative Stress as a Double Agent and Its Biological and Therapeutic Significance. Int. J. Mol. Sci. 2022, 23, 6719. [Google Scholar] [CrossRef]
- Vogel, C.F.A.; Van Winkle, L.S.; Esser, C.; Haarmann-Stemmann, T. The aryl hydrocarbon receptor as a target of environmental stressors—Implications for pollution mediated stress and inflammatory responses. Redox Biol. 2020, 34, 101530. [Google Scholar] [CrossRef] [PubMed]
- Savitz, J. The kynurenine pathway: A finger in every pie. Mol. Psychiatry 2020, 25, 131–147. [Google Scholar] [CrossRef]
- Badawy, A.A. Kynurenine pathway and human systems. Exp. Gerontol. 2020, 129, 110770. [Google Scholar] [CrossRef] [PubMed]
- Castro-Portuguez, R.; Sutphin, G.L. Kynurenine pathway, NAD(+) synthesis, and mitochondrial function: Targeting tryptophan metabolism to promote longevity and healthspan. Exp. Gerontol. 2020, 132, 110841. [Google Scholar] [CrossRef]
- Sas, K.; Szabo, E.; Vecsei, L. Mitochondria, Oxidative Stress and the Kynurenine System, with a Focus on Ageing and Neuroprotection. Molecules 2018, 23, 191. [Google Scholar] [CrossRef] [PubMed]
- Massudi, H.; Grant, R.; Guillemin, G.J.; Braidy, N. NAD+ metabolism and oxidative stress: The golden nucleotide on a crown of thorns. Redox Rep. 2012, 17, 28–46. [Google Scholar] [CrossRef]
- Braidy, N.; Liu, Y. NAD+ therapy in age-related degenerative disorders: A benefit/risk analysis. Exp. Gerontol. 2020, 132, 110831. [Google Scholar] [CrossRef]
- Dehhaghi, M.; Kazemi Shariat Panahi, H.; Heng, B.; Guillemin, G.J. The Gut Microbiota, Kynurenine Pathway, and Immune System Interaction in the Development of Brain Cancer. Front. Cell Dev. Biol. 2020, 8, 562812. [Google Scholar] [CrossRef]
- Parasram, K. Phytochemical treatments target kynurenine pathway induced oxidative stress. Redox Rep. 2018, 23, 25–28. [Google Scholar] [CrossRef]
- Bai, J.H.; Zheng, Y.L.; Yu, Y.P. Urinary kynurenine as a biomarker for Parkinson’s disease. Neurol. Sci. 2021, 42, 697–703. [Google Scholar] [CrossRef] [PubMed]
- Tan, V.X.; Guillemin, G.J. Kynurenine Pathway Metabolites as Biomarkers for Amyotrophic Lateral Sclerosis. Front. Neurosci. 2019, 13, 1013. [Google Scholar] [CrossRef]
- Santisukwongchote, K.; Amornlertwatana, Y.; Sastraruji, T.; Jaikang, C. Possible Use of Blood Tryptophan Metabolites as Biomarkers for Coronary Heart Disease in Sudden Unexpected Death. Metabolites 2020, 10, 6. [Google Scholar] [CrossRef] [PubMed]
- Somtua, P.; Jaikang, C.; Konguthaithip, G.; Intui, K.; Watcharakhom, S.; O’Brien, T.E.; Amornlertwatana, Y. Postmortem Alteration of Purine Metabolism in Coronary Artery Disease. Metabolites 2023, 13, 1135. [Google Scholar] [CrossRef]
- de Graaf, R.A.; Behar, K.L. Quantitative 1H NMR spectroscopy of blood plasma metabolites. Anal. Chem. 2003, 75, 2100–2104. [Google Scholar] [CrossRef]
- Jarernwong, K.; Gheewala, S.H.; Sampattagul, S. Health impact related to ambient particulate matter exposure as a spatial health risk map case study in Chiang Mai, Thailand. Atmosphere 2023, 14, 261. [Google Scholar] [CrossRef]
- Moran, J.; NaSuwan, C.; Poocharoen, O.-O. The haze problem in Northern Thailand and policies to combat it: A review. Environ. Sci. Policy 2019, 97, 1–15. [Google Scholar] [CrossRef]
- Sorgdrager, F.J.H.; Vermeiren, Y.; Van Faassen, M.; van der Ley, C.; Nollen, E.A.A.; Kema, I.P.; De Deyn, P.P. Age- and disease-specific changes of the kynurenine pathway in Parkinson’s and Alzheimer’s disease. J. Neurochem. 2019, 151, 656–668. [Google Scholar] [CrossRef]
- Watcharakhom, S.; Intui, K.; Amornlertwatana, Y.; Jaikang, C. Gender Differentiation in Tryptophan Metabolism in Postmortem Cases. Indian J. Forensic Med. Toxicol. 2021, 15, 4221–4224. [Google Scholar] [CrossRef]
- Zhang, L.; Xu, T.; Pi, Z.; Zheng, M.; Song, F.; Liu, Z. Effects of the ambient fine particulate matter (PM2. 5) exposure on urinary metabolic profiles in rats using UPLC-Q-TOF-MS. Chin. Chem. Lett. 2019, 30, 90–94. [Google Scholar] [CrossRef]
- Park, S.K.; Kang, J.Y.; Kim, J.M.; Kim, M.J.; Lee, H.L.; Moon, J.H.; Jeong, H.R.; Kim, H.J.; Heo, H.J. Water Extract of Ecklonia cava Protects against Fine Dust (PM(2.5)-Induced Health Damage by Regulating Gut Health. J. Microbiol. Biotechnol. 2022, 32, 927–937. [Google Scholar] [CrossRef]
- Muneer, A. Kynurenine Pathway of Tryptophan Metabolism in Neuropsychiatric Disorders: Pathophysiologic and Therapeutic Considerations. Clin. Psychopharmacol. Neurosci. 2020, 18, 507–526. [Google Scholar] [CrossRef]
- Bohar, Z.; Toldi, J.; Fulop, F.; Vecsei, L. Changing the face of kynurenines and neurotoxicity: Therapeutic considerations. Int. J. Mol. Sci. 2015, 16, 9772–9793. [Google Scholar] [CrossRef]
- Fan, X.J.; Yu, H.; Ren, J. Homeostasis and compensatory homeostasis: Bridging Western medicine and traditional chinese medicine. Curr. Cardiol. Rev. 2011, 7, 43–46. [Google Scholar] [CrossRef][Green Version]
- Pallotta, M.T.; Rossini, S.; Suvieri, C.; Coletti, A.; Orabona, C.; Macchiarulo, A.; Volpi, C.; Grohmann, U. Indoleamine 2,3-dioxygenase 1 (IDO1): An up-to-date overview of an eclectic immunoregulatory enzyme. FEBS J. 2022, 289, 6099–6118. [Google Scholar] [CrossRef]
- Dostal, C.R.; Gamsby, N.S.; Lawson, M.A.; McCusker, R.H. Glia- and tissue-specific changes in the Kynurenine Pathway after treatment of mice with lipopolysaccharide and dexamethasone. Brain Behav. Immun. 2018, 69, 321–335. [Google Scholar] [CrossRef]
- O’Connor, J.C.; Andre, C.; Wang, Y.; Lawson, M.A.; Szegedi, S.S.; Lestage, J.; Castanon, N.; Kelley, K.W.; Dantzer, R. Interferon-gamma and tumor necrosis factor-alpha mediate the upregulation of indoleamine 2,3-dioxygenase and the induction of depressive-like behavior in mice in response to bacillus Calmette-Guerin. J. Neurosci. 2009, 29, 4200–4209. [Google Scholar] [CrossRef]
- Banzola, I.; Mengus, C.; Wyler, S.; Hudolin, T.; Manzella, G.; Chiarugi, A.; Boldorini, R.; Sais, G.; Schmidli, T.S.; Chiffi, G.; et al. Expression of Indoleamine 2,3-Dioxygenase Induced by IFN-gamma and TNF-alpha as Potential Biomarker of Prostate Cancer Progression. Front. Immunol. 2018, 9, 1051. [Google Scholar] [CrossRef] [PubMed]
- Guan, L.; Geng, X.; Shen, J.; Yip, J.; Li, F.; Du, H.; Ji, Z.; Ding, Y. PM2.5 inhalation induces intracranial atherosclerosis which may be ameliorated by omega 3 fatty acids. Oncotarget 2018, 9, 3765–3778. [Google Scholar] [CrossRef]
- Basith, S.; Manavalan, B.; Shin, T.H.; Park, C.B.; Lee, W.S.; Kim, J.; Lee, G. The Impact of Fine Particulate Matter 2.5 on the Cardiovascular System: A Review of the Invisible Killer. Nanomaterials 2022, 12, 2656. [Google Scholar] [CrossRef]
- Fu, P.; Li, R.; Sze, S.C.W.; Yung, K.K.L. Associations between fine particulate matter and colorectal cancer: A systematic review and meta-analysis. Rev. Environ. Health, 2023; ahead of print. [Google Scholar] [CrossRef]
- Jiang, F.; Zhao, J.; Sun, J.; Chen, W.; Zhao, Y.; Zhou, S.; Yuan, S.; Timofeeva, M.; Law, P.J.; Larsson, S.C.; et al. Impact of ambient air pollution on colorectal cancer risk and survival: Insights from a prospective cohort and epigenetic Mendelian randomization study. EBioMedicine 2024, 103, 105126. [Google Scholar] [CrossRef]
- Xu, W.; Wang, S.; Jiang, L.; Sun, X.; Wang, N.; Liu, X.; Yao, X.; Qiu, T.; Zhang, C.; Li, J.; et al. The influence of PM(2.5) exposure on kidney diseases. Hum. Exp. Toxicol. 2022, 41, 9603271211069982. [Google Scholar] [CrossRef]
- Christensen, G.M.; Li, Z.; Liang, D.; Ebelt, S.; Gearing, M.; Levey, A.I.; Lah, J.J.; Wingo, A.; Wingo, T.; Huls, A. Association of PM(2.5) Exposure and Alzheimer Disease Pathology in Brain Bank Donors-Effect Modification by APOE Genotype. Neurology 2024, 102, e209162. [Google Scholar] [CrossRef]
- Thiankhaw, K.; Chattipakorn, N.; Chattipakorn, S.C. PM2.5 exposure in association with AD-related neuropathology and cognitive outcomes. Environ. Pollut. 2022, 292, 118320. [Google Scholar] [CrossRef]
- Aliferis, K.A.; Bernard-Perron, D. Cannabinomics: Application of Metabolomics in Cannabis (Cannabis sativa L.) Research and Development. Front. Plant Sci. 2020, 11, 554. [Google Scholar] [CrossRef]






| Parameters | High-Exposure Group (n = 92) | Low-Exposure Group (n = 98) | p-Value |
|---|---|---|---|
| Sex: male (%) | 43 (46.8%) | 36 (35.6%) | 0.118 |
| Age (years) | 46.8 ± 11.3 | 47.9 ± 12.4 | 0.555 |
| Weight (kg) | 61.0 ± 11.2 | 65.2 ± 13.9 | 0.137 |
| Height (cm) | 159.1 ± 12.0 | 161.6 ± 8.6 | 0.971 |
| Systolic pressure (mmHg) | 127.7 ± 17.5 | 129.1 ± 21.9 | 0.085 |
| Diastolic pressure (mmHg) | 77.7 ± 11.1 | 81.2 ± 14.0 | 0.127 |
| Heart rate (bear/min) | 77.3 ± 14.1 | 83.9 ± 14.1 | 0.998 |
| Time spent living in the area (year) | 43 ± 13 | 34 ± 14 | 0.0001 * |
| Metabolites (µM) | High-Exposure Group (n = 92) | Low-Exposure Group (n = 98) | p-Value |
|---|---|---|---|
| Serotonin | 20.88 ± 9.28 | 40.40 ± 31.73 | <0.001 * |
| Cinnabarinic acid | 7.59 ± 4.90 | 12.25 ± 9.91 | 0.002 * |
| Xanthurenic acid | 12.49 ± 10.65 | 23.60 ± 16.78 | <0.001 * |
| 5-HIAA | 14.01 ± 9.31 | 14.65 ± 11.73 | 0.651 |
| 5-Hydroxytryptophol | 9.64 ± 5.57 | 11.98 ± 9.35 | 0.402 |
| Indoleacetic acid | 15.71 ± 8.95 | 26.93 ± 19.57 | <0.001 * |
| Tryptomine | 11.43 ± 7.12 | 22.17 ± 14.95 | <0.001 * |
| Melatonin | 10.17 ± 6.13 | 17.28 ± 12.66 | <0.001 * |
| L-tryptophan | 7.59 ± 4.31 | 20.01 ± 14.11 | <0.001 * |
| 5-Hydroxy-L-tryptophan | 9.70 ± 5.97 | 18.91 ± 12.51 | <0.001 * |
| Indoxyl | 11.24 ± 6.45 | 34.33 ± 21.35 | <0.001 * |
| 2-Aminobenzoic acid | 18.96 ± 11.74 | 24.88 ± 19.50 | 0.130 |
| L-kynurenine | 11.17 ± 6.48 | 11.88 ± 9.43 | 0.502 |
| 5-HTOL | 6.03 ± 3.39 | 11.13 ± 1053 | 0.068 |
| Hydroxykynurenine | 1.72 ± 0.92 | 5.53 ± 5.13 | <0.001 * |
| L-3-hydroxykynurenine | 3.54 ± 1.83 | 5.49 ± 4.84 | 0.012 * |
| N-formyl kynurenine | 3.76 ± 2.27 | 5.42 ± 4.63 | 0.038 * |
| NAD | 3.84 ± 2.07 | 2.31 ± 2.08 | <0.001 ** |
| 3-hydroxy anthranilic acid | 1.86 ± 0.93 | 11.11 ± 9.09 | <0.001 * |
| Quinolinic acid | 9.69 ± 5.30 | 8.81 ± 9.87 | 0.428 |
| Kynurenic acid | 5.48 ± 3.06 | 6.33 ± 7.34 | 0.278 |
| Picolinic acid | 3.50 ± 1.83 | 8.86 ± 10.11 | <0.01 * |
| N-formyl kynurenine/L-tryptophan | 0.53 ± 0.20 | 0.29 ± 0.12 | <0.01 ** |
| L-kynurenine/N-formyl kynurenine | 3.22 ± 1.44 | 2.62 ± 2.06 | <0.01 ** |
| Kynurenic acid/L-kynurenine | 0.58 ± 0.37 | 0.52 ± 0.39 | 0.880 |
| 2-Aminobenzoic acid/L-kynurenine | 1.72 ± 0.45 | 2.21 ± 0.94 | <0.01 * |
| L-3-hydroxykynurenine/L-kynurenine | 0.34 ± 0.11 | 0.46 ± 0.15 | <0.01 ** |
Disclaimer/Publisher’s Note: The statements, opinions and data contained in all publications are solely those of the individual author(s) and contributor(s) and not of MDPI and/or the editor(s). MDPI and/or the editor(s) disclaim responsibility for any injury to people or property resulting from any ideas, methods, instructions or products referred to in the content. |
© 2024 by the authors. Licensee MDPI, Basel, Switzerland. This article is an open access article distributed under the terms and conditions of the Creative Commons Attribution (CC BY) license (https://creativecommons.org/licenses/by/4.0/).
Share and Cite
Jaikang, C.; Konguthaithip, G.; Amornlertwatana, Y.; Autsavapromporn, N.; Rattanachitthawat, S.; Monum, T. Alterations in the Blood Kynurenine Pathway Following Long-Term PM2.5 and PM10 Exposure: A Cross-Sectional Study. Biomedicines 2024, 12, 1947. https://doi.org/10.3390/biomedicines12091947
Jaikang C, Konguthaithip G, Amornlertwatana Y, Autsavapromporn N, Rattanachitthawat S, Monum T. Alterations in the Blood Kynurenine Pathway Following Long-Term PM2.5 and PM10 Exposure: A Cross-Sectional Study. Biomedicines. 2024; 12(9):1947. https://doi.org/10.3390/biomedicines12091947
Chicago/Turabian StyleJaikang, Churdsak, Giatgong Konguthaithip, Yutti Amornlertwatana, Narongchai Autsavapromporn, Sirichet Rattanachitthawat, and Tawachai Monum. 2024. "Alterations in the Blood Kynurenine Pathway Following Long-Term PM2.5 and PM10 Exposure: A Cross-Sectional Study" Biomedicines 12, no. 9: 1947. https://doi.org/10.3390/biomedicines12091947
APA StyleJaikang, C., Konguthaithip, G., Amornlertwatana, Y., Autsavapromporn, N., Rattanachitthawat, S., & Monum, T. (2024). Alterations in the Blood Kynurenine Pathway Following Long-Term PM2.5 and PM10 Exposure: A Cross-Sectional Study. Biomedicines, 12(9), 1947. https://doi.org/10.3390/biomedicines12091947

