Assessment of the Liver Steatosis and Fibrosis Risk in Metabolic Syndrome and Its Individual Components, Considering the Varying Definitions Used in Clinical Practice throughout Time: A Retrospective Cross-Sectional Study
Abstract
1. Introduction
2. Materials and Methods
3. Results
3.1. General Characteristics of Patients
3.2. Risk of Hepatosteatosis and Hepatofibrosis Assessed by Compound Criteria of Metabolic Syndromes
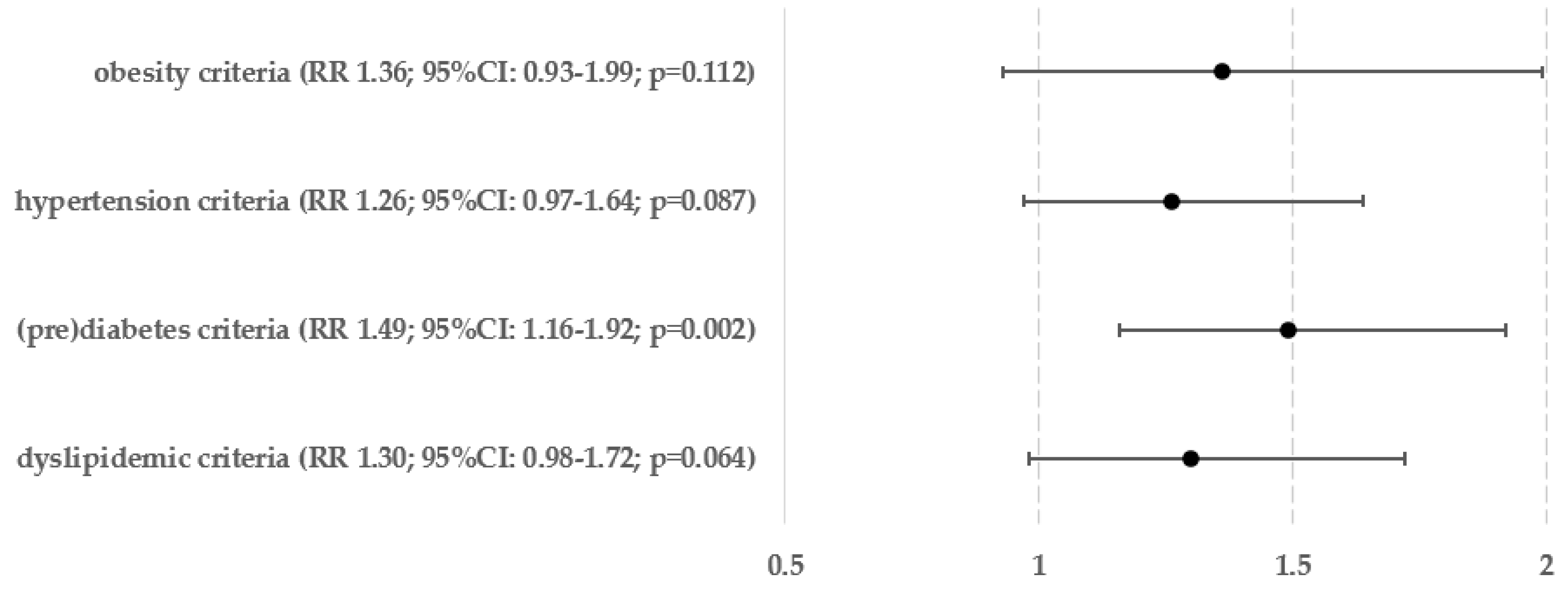
3.3. Risk of Hepatosteatosis and Hepatofibrosis Assessed by Single Criterion of Metabolic Syndrome
3.4. Risk of Hepatosteatosis and Hepatofibrosis Assessed by Criteria Within the Same Clinical Group
4. Discussion
5. Conclusions
Author Contributions
Funding
Institutional Review Board Statement
Informed Consent Statement
Data Availability Statement
Conflicts of Interest
References
- Reaven, G.M. Role of Insulin Resistance in Human Disease. Diabetes 1988, 37, 1595–1607. [Google Scholar] [CrossRef]
- Alberti, K.G.M.M.; Zimmet, P.Z. Definition, Diagnosis and Classification of Diabetes Mellitus and Its Complications. Part 1: Diagnosis and Classification of Diabetes Mellitus. Provisional Report of a WHO Consultation. Diabet. Med. 1998, 15, 539–553. [Google Scholar] [CrossRef]
- Expert Panel on Detection, Evaluation, and Treatment of High Blood Cholesterol in Adults Executive Summary of the Third Report of the National Cholesterol Education Program (NCEP) Expert Panel on Detection, Evaluation, and Treatment of High Blood Cholesterol in Adults (Adult Treatment Panel III). JAMA J. Am. Med. Assoc. 2001, 285, 2486–2497. [CrossRef]
- Grundy, S.M.; Brewer, H.B.; Cleeman, J.I.; Smith, S.C.; Lenfant, C. Definition of Metabolic Syndrome. Arter. Thromb. Vasc. Biol. 2004, 24, 13–18. [Google Scholar] [CrossRef] [PubMed]
- Alberti, K.G.M.; Zimmet, P.; Shaw, J. The Metabolic Syndrome—A New Worldwide Definition. Lancet 2005, 366, 1059–1062. [Google Scholar] [CrossRef]
- Alberti, K.G.M.M.; Zimmet, P.; Shaw, J. Metabolic Syndrome-a New World-Wide Definition. A consensus statement from the international diabetes federation. Diabet. Med. 2006, 23, 469–480. [Google Scholar] [CrossRef] [PubMed]
- Dobrowolski, P.; Prejbisz, A.; Kuryłowicz, A.; Baska, A.; Burchardt, P.; Chlebus, K.; Dzida, G.; Jankowski, P.; Jaroszewicz, J.; Jaworski, P.; et al. Metabolic Syndrome—A New Definition and Management Guidelines. A Joint Position Paper by the Polish Society of Hypertension, Polish Society for the Treatment of Obesity, Polish Lipid Association, Polish Association for Study of Liver, Polish Society of Family Medicine, Polish Society of Lifestyle Medicine, Division of Prevention and Epidemiology Polish Cardiac Society, “Club 30” Polish Cardiac Society, and Division of Metabolic and Bariatric Surgery Society of Polish Surgeons. Arch. Med. Sci. 2022, 18, 1133–1156. [Google Scholar] [CrossRef]
- Kassi, E.; Pervanidou, P.; Kaltsas, G.; Chrousos, G. Metabolic Syndrome: Definitions and Controversies. BMC Med. 2011, 9, 48. [Google Scholar] [CrossRef] [PubMed]
- Cortez-Pinto, H.; Camilo, M.E.; Baptista, A.; De Oliveira, A.G.; De Moura, M.C. Non-Alcoholic Fatty Liver: Another Feature of the Metabolic Syndrome? Clin. Nutr. 1999, 18, 353–358. [Google Scholar] [CrossRef]
- Bedogni, G.; Miglioli, L.; Masutti, F.; Tiribelli, C.; Marchesini, G.; Bellentani, S. Prevalence of and Risk Factors for Nonalcoholic Fatty Liver Disease: The Dionysos Nutrition and Liver Study. Hepatology 2005, 42, 44–52. [Google Scholar] [CrossRef]
- Souza, M.R.d.A.; Diniz, M.d.F.F.d.M.; de Medeiros-Filho, J.E.M.; de Araújo, M.S.T. Metabolic Syndrome and Risk Factors for Non-Alcoholic Fatty Liver Disease. Arq. Gastroenterol. 2012, 49, 89–96. [Google Scholar] [CrossRef]
- Zhang, Y.; Zhang, T.; Zhang, C.; Tang, F.; Zhong, N.; Li, H.; Song, X.; Lin, H.; Liu, Y.; Xue, F. Identification of Reciprocal Causality between Non-Alcoholic Fatty Liver Disease and Metabolic Syndrome by a Simplified Bayesian Network in a Chinese Population. BMJ Open 2015, 5, e008204. [Google Scholar] [CrossRef] [PubMed]
- Wainwright, P.; Byrne, C. Bidirectional Relationships and Disconnects between NAFLD and Features of the Metabolic Syndrome. Int. J. Mol. Sci. 2016, 17, 367. [Google Scholar] [CrossRef] [PubMed]
- Ismaiel, A.; Dumitraşcu, D.L. Cardiovascular Risk in Fatty Liver Disease: The Liver-Heart Axis—Literature Review. Front. Med. 2019, 6, 202. [Google Scholar] [CrossRef] [PubMed]
- Alqahtani, S.A.; Schattenberg, J.M. Liver Injury in COVID-19: The Current Evidence. United Eur. Gastroenterol. J. 2020, 8, 509–519. [Google Scholar] [CrossRef] [PubMed]
- Lopez-Mendez, I.; Aquino-Matus, J.; Gall, S.M.-B.; Prieto-Nava, J.D.; Juarez-Hernandez, E.; Uribe, M.; Castro-Narro, G. Association of Liver Steatosis and Fibrosis with Clinical Outcomes in Patients with SARS-CoV-2 Infection (COVID-19). Ann. Hepatol. 2021, 20, 100271. [Google Scholar] [CrossRef] [PubMed]
- Nardo, A.D.; Schneeweiss-Gleixner, M.; Bakail, M.; Dixon, E.D.; Lax, S.F.; Trauner, M. Pathophysiological Mechanisms of Liver Injury in COVID-19. Liver Int. 2021, 41, 20–32. [Google Scholar] [CrossRef] [PubMed]
- Sterling, R.K.; Lissen, E.; Clumeck, N.; Sola, R.; Correa, M.C.; Montaner, J.; Sulkowski, M.S.; Torriani, F.J.; Dieterich, D.T.; Thomas, D.L.; et al. Development of a Simple Noninvasive Index to Predict Significant Fibrosis in Patients with HIV/HCV Coinfection. Hepatology 2006, 43, 1317–1325. [Google Scholar] [CrossRef]
- Xu, X.; Jiang, L.; Wu, C.; Pan, L.; Lou, Z.; Peng, C.; Dong, Y.; Ruan, B. The Role of Fibrosis Index FIB-4 in Predicting Liver Fibrosis Stage and Clinical Prognosis: A Diagnostic or Screening Tool? J. Formos. Med. Assoc. 2022, 121, 454–466. [Google Scholar] [CrossRef]
- Ishiba, H.; Sumida, Y.; Tanaka, S.; Yoneda, M.; Hyogo, H.; Ono, M.; Fujii, H.; Eguchi, Y.; Suzuki, Y.; Yoneda, M.; et al. The Novel Cutoff Points for the FIB4 Index Categorized by Age Increase the Diagnostic Accuracy in NAFLD: A Multi-Center Study. J. Gastroenterol. 2018, 53, 1216–1224. [Google Scholar] [CrossRef]
- Mellinger, J.L.; Pencina, K.M.; Massaro, J.M.; Hoffmann, U.; Seshadri, S.; Fox, C.S.; O’Donnell, C.J.; Speliotes, E.K. Hepatic Steatosis and Cardiovascular Disease Outcomes: An Analysis of the Framingham Heart Study. J. Hepatol. 2015, 63, 470–476. [Google Scholar] [CrossRef] [PubMed]
- Fracanzani, A.L.; Tiraboschi, S.; Pisano, G.; Consonni, D.; Baragetti, A.; Bertelli, C.; Norata, D.; Valenti, L.; Grigore, L.; Porzio, M.; et al. Progression of Carotid Vascular Damage and Cardiovascular Events in Non-Alcoholic Fatty Liver Disease Patients Compared to the General Population during 10 Years of Follow-Up. Atherosclerosis 2016, 246, 208–213. [Google Scholar] [CrossRef] [PubMed]
- Baratta, F.; Pastori, D.; Angelico, F.; Balla, A.; Paganini, A.M.; Cocomello, N.; Ferro, D.; Violi, F.; Sanyal, A.J.; Del Ben, M. Nonalcoholic Fatty Liver Disease and Fibrosis Associated With Increased Risk of Cardiovascular Events in a Prospective Study. Clin. Gastroenterol. Hepatol. 2020, 18, 2324–2331.e4. [Google Scholar] [CrossRef] [PubMed]
- Spengler, E.K.; Loomba, R. Recommendations for Diagnosis, Referral for Liver Biopsy, and Treatment of Nonalcoholic Fatty Liver Disease and Nonalcoholic Steatohepatitis. Mayo Clin. Proc. 2015, 90, 1233–1246. [Google Scholar] [CrossRef] [PubMed]
- Perazzo, H.; Munteanu, M.; Ngo, Y.; Lebray, P.; Seurat, N.; Rutka, F.; Couteau, M.; Jacqueminet, S.; Giral, P.; Monneret, D.; et al. Prognostic Value of Liver Fibrosis and Steatosis Biomarkers in Type-2 Diabetes and Dyslipidaemia. Aliment. Pharmacol. Ther. 2014, 40, 1081–1093. [Google Scholar] [CrossRef] [PubMed]
- Grundy, S.M. Metabolic Syndrome: A Multiplex Cardiovascular Risk Factor. J. Clin. Endocrinol. Metab. 2007, 92, 399–404. [Google Scholar] [CrossRef]
- Sommer, A.; Twig, G. The Impact of Childhood and Adolescent Obesity on Cardiovascular Risk in Adulthood: A Systematic Review. Curr. Diabetes Rep. 2018, 18, 91. [Google Scholar] [CrossRef] [PubMed]
- Baćmaga, G.A.; Dąbrowska, N.; Cicha-Mikołajczyk, A.; Bandosz, P.; Kozakiewicz, K.; Pająk, A.; Kwaśniewska, M.A.; Niklas, A.; Prejbisz, A.; Dobrowolski, P. Prevalence of the Metabolic Syndrome in Poland Based on the New 2022 Definition. Arter. Hypertens. 2023, 27, 215–222. [Google Scholar] [CrossRef]
- Marchesini, G.; Brizi, M.; Morselli-Labate, A.M.; Bianchi, G.; Bugianesi, E.; McCullough, A.J.; Forlani, G.; Melchionda, N. Association of Nonalcoholic Fatty Liver Disease with Insulin Resistance. Am. J. Med. 1999, 107, 450–455. [Google Scholar] [CrossRef]
- Sanyal, A.J.; Campbell–Sargent, C.; Mirshahi, F.; Rizzo, W.B.; Contos, M.J.; Sterling, R.K.; Luketic, V.A.; Shiffman, M.L.; Clore, J.N. Nonalcoholic Steatohepatitis: Association of Insulin Resistance and Mitochondrial Abnormalities. Gastroenterology 2001, 120, 1183–1192. [Google Scholar] [CrossRef]
- Rocha, R.; Cotrim, H.P.; Carvalho, F.M.; Siqueira, A.C.; Braga, H.; Freitas, L.A. Body Mass Index and Waist Circumference in Non-alcoholic Fatty Liver Disease. J. Hum. Nutr. Diet. 2005, 18, 365–370. [Google Scholar] [CrossRef] [PubMed]
- Yang, T.; Zhao, B.; Pei, D. Estimation of the Prevalence of Nonalcoholic Fatty Liver Disease in an Adult Population in Northern China Using the Data Mining Approach. Diabetes Metab. Syndr. Obes. 2021, 14, 3437–3445. [Google Scholar] [CrossRef] [PubMed]
- Hamaguchi, M. Identification of Individuals with Non-Alcoholic Fatty Liver Disease by the Diagnostic Criteria for the Metabolic Syndrome. World J. Gastroenterol. 2012, 18, 1508. [Google Scholar] [CrossRef] [PubMed]
- Claypool, K.; Long, M.T.; Patel, C.J. Waist Circumference and Insulin Resistance Are the Most Predictive Metabolic Factors for Steatosis and Fibrosis. Clin. Gastroenterol. Hepatol. 2023, 21, 1950–1954.e1. [Google Scholar] [CrossRef] [PubMed]
- Kwok, R.; Choi, K.C.; Wong, G.L.-H.; Zhang, Y.; Chan, H.L.-Y.; Luk, A.O.-Y.; Shu, S.S.-T.; Chan, A.W.-H.; Yeung, M.-W.; Chan, J.C.-N.; et al. Screening Diabetic Patients for Non-Alcoholic Fatty Liver Disease with Controlled Attenuation Parameter and Liver Stiffness Measurements: A Prospective Cohort Study. Gut 2016, 65, 1359–1368. [Google Scholar] [CrossRef] [PubMed]
- Ciardullo, S.; Monti, T.; Perseghin, G. High Prevalence of Advanced Liver Fibrosis Assessed by Transient Elastography among U.S. Adults With Type 2 Diabetes. Diabetes Care 2021, 44, 519–525. [Google Scholar] [CrossRef] [PubMed]
- Lomonaco, R.; Godinez Leiva, E.; Bril, F.; Shrestha, S.; Mansour, L.; Budd, J.; Portillo Romero, J.; Schmidt, S.; Chang, K.-L.; Samraj, G.; et al. Advanced Liver Fibrosis Is Common in Patients With Type 2 Diabetes Followed in the Outpatient Setting: The Need for Systematic Screening. Diabetes Care 2021, 44, 399–406. [Google Scholar] [CrossRef] [PubMed]
- Ciardullo, S.; Perseghin, G. Prevalence of Elevated Liver Stiffness in Patients with Type 1 and Type 2 Diabetes: A Systematic Review and Meta-Analysis. Diabetes Res. Clin. Pract. 2022, 190, 109981. [Google Scholar] [CrossRef] [PubMed]
- Castera, L.; Laouenan, C.; Vallet-Pichard, A.; Vidal-Trécan, T.; Manchon, P.; Paradis, V.; Roulot, D.; Gault, N.; Boitard, C.; Terris, B.; et al. High Prevalence of NASH and Advanced Fibrosis in Type 2 Diabetes: A Prospective Study of 330 Outpatients Undergoing Liver Biopsies for Elevated ALT, Using a Low Threshold. Diabetes Care 2023, 46, 1354–1362. [Google Scholar] [CrossRef]
- Ciardullo, S.; Vergani, M.; Perseghin, G. Nonalcoholic Fatty Liver Disease in Patients with Type 2 Diabetes: Screening, Diagnosis, and Treatment. J. Clin. Med. 2023, 12, 5597. [Google Scholar] [CrossRef]
- Eslam, M.; Sanyal, A.J.; George, J.; Sanyal, A.; Neuschwander-Tetri, B.; Tiribelli, C.; Kleiner, D.E.; Brunt, E.; Bugianesi, E.; Yki-Järvinen, H.; et al. MAFLD: A Consensus-Driven Proposed Nomenclature for Metabolic Associated Fatty Liver Disease. Gastroenterology 2020, 158, 1999–2014.e1. [Google Scholar] [CrossRef]
- Suwała, S.; Białczyk, A.; Koperska, K.; Rajewska, A.; Krintus, M.; Junik, R. Prevalence and Crucial Parameters in Diabesity-Related Liver Fibrosis: A Preliminary Study. J. Clin. Med. 2023, 12, 7760. [Google Scholar] [CrossRef] [PubMed]
- Deol, H.; Lekkakou, L.; Viswanath, A.K.; Pappachan, J.M. Combination Therapy with GLP-1 Analogues and SGLT-2 Inhibitors in the Management of Diabesity: The Real World Experience. Endocrine 2017, 55, 173–178. [Google Scholar] [CrossRef] [PubMed]
- Suwała, S.; Junik, R. Metabolic-Associated Fatty Liver Disease and the Role of Hormones in Its Aetiopathogenesis. Endokrynol. Pol. 2024, 75, 237–252. [Google Scholar] [CrossRef] [PubMed]
- Tsuneto, A.; Hida, A.; Sera, N.; Imaizumi, M.; Ichimaru, S.; Nakashima, E.; Seto, S.; Maemura, K.; Akahoshi, M. Fatty Liver Incidence and Predictive Variables. Hypertens. Res. 2010, 33, 638–643. [Google Scholar] [CrossRef] [PubMed]
- Zhang, T.; Zhang, C.; Zhang, Y.; Tang, F.; Li, H.; Zhang, Q.; Lin, H.; Wu, S.; Liu, Y.; Xue, F. Metabolic Syndrome and Its Components as Predictors of Nonalcoholic Fatty Liver Disease in a Northern Urban Han Chinese Population: A Prospective Cohort Study. Atherosclerosis 2015, 240, 144–148. [Google Scholar] [CrossRef] [PubMed]
- Wang, Y.; Zeng, Y.; Lin, C.; Chen, Z. Hypertension and Non-alcoholic Fatty Liver Disease Proven by Transient Elastography. Hepatol. Res. 2016, 46, 1304–1310. [Google Scholar] [CrossRef] [PubMed]
- Oikonomou, D.; Georgiopoulos, G.; Katsi, V.; Kourek, C.; Tsioufis, C.; Alexopoulou, A.; Koutli, E.; Tousoulis, D. Non-Alcoholic Fatty Liver Disease and Hypertension: Coprevalent or Correlated? Eur. J. Gastroenterol. Hepatol. 2018, 30, 979–985. [Google Scholar] [CrossRef] [PubMed]
- Sorrentino, P.; Terracciano, L.; D’Angelo, S.; Ferbo, U.; Bracigliano, A.; Vecchione, R. Predicting Fibrosis Worsening in Obese Patients With NASH Through Parenchymal Fibronectin, HOMA-IR, and Hypertension. Am. J. Gastroenterol. 2010, 105, 336–344. [Google Scholar] [CrossRef]
- Singh, S.; Allen, A.M.; Wang, Z.; Prokop, L.J.; Murad, M.H.; Loomba, R. Fibrosis Progression in Nonalcoholic Fatty Liver vs. Nonalcoholic Steatohepatitis: A Systematic Review and Meta-Analysis of Paired-Biopsy Studies. Clin. Gastroenterol. Hepatol. 2015, 13, 643–654.e9. [Google Scholar] [CrossRef]
- Long, M.T.; Pedley, A.; Massaro, J.M.; Hoffmann, U.; Fox, C.S. The Association between Non-Invasive Hepatic Fibrosis Markers and Cardiometabolic Risk Factors in the Framingham Heart Study. PLoS ONE 2016, 11, e0157517. [Google Scholar] [CrossRef] [PubMed]
- Aneni, E.C.; Oni, E.T.; Martin, S.S.; Blaha, M.J.; Agatston, A.S.; Feldman, T.; Veledar, E.; Conçeicao, R.D.; Carvalho, J.A.M.; Santos, R.D.; et al. Blood Pressure Is Associated with the Presence and Severity of Nonalcoholic Fatty Liver Disease across the Spectrum of Cardiometabolic Risk. J. Hypertens. 2015, 33, 1207–1214. [Google Scholar] [CrossRef] [PubMed]
- Schreiner, A.D.; Zhang, J.; Durkalski-Mauldin, V.; Livingston, S.; Marsden, J.; Bian, J.; Mauldin, P.D.; Moran, W.P.; Rockey, D.C. Advanced liver fibrosis and the metabolic syndrome in a primary care setting. Diabetes Metab. Res. Rev. 2021, 37, e3452. [Google Scholar] [CrossRef] [PubMed]
- Sanai, F.; Keeffe, E. Liver Biopsy for Histological Assessment—The Case Against. Saudi J. Gastroenterol. 2010, 16, 124. [Google Scholar] [CrossRef]
- Stefanska, A.; Bergmann, K.; Suwała, S.; Mankowska-Cyl, A.; Kozinski, M.; Junik, R.; Krintus, M.; Panteghini, M. Performance Evaluation of a Novel Non-Invasive Test for the Detection of Advanced Liver Fibrosis in Metabolic Dysfunction-Associated Fatty Liver Disease. Metabolites 2024, 14, 52. [Google Scholar] [CrossRef]










| Component | NCEP: ATP III Criteria (2004) | IDF Criteria (2005) | IDF Consortium Criteria (2009) | Polish Experts Consensus Criteria (2022) |
|---|---|---|---|---|
| Obesity component | waist circumference ≥88 cm (females) or ≥102 cm (males) | waist circumference ≥80 cm (females) or ≥94 cm (males) | waist circumference ≥88 cm (females) or ≥102 cm (males); or BMI ≥ 30 kg/m2 | |
| Hypertension component | ≥130/85 mmHg or hypertension treatment | ≥130/85 mmHg (measured in clinic) or ≥130/80 mmHg (measured by patient); or hypertension treatment | ||
| Hyperglycemia component | fasting glucose ≥ 100 mg/dL or hypoglycemic treatment | fasting glucose ≥100 mg/dL; or glycemia after 2 h OGTT ≥ 140 mg/dL; or HbA1c ≥ 5.7%; or hypoglycemic treatment | ||
| Dyslipidemia component(s) | HDL-C < 50 mg/dL (females) or <40 mg/dL (males); or hyperlipemic therapy | non-HDL-C ≥130 mmol/L; or hyperlipemic therapy | ||
| triglicerydes ≥ 150 mg/dL; or hyperlipemic therapy | ||||
| Requirements for metabolic syndrome diagnosis | at least 3 of any 5 components | mandatory obesity component + at least 2 of any 4 other components | at least 3 of any 5 components | mandatory obesity component + at least 2 of any 3 other components |
| Obesity [O] components | [O1]: waist circumference ≥ 80 cm (females) or ≥94 cm (males) |
| [O2]: waist circumference ≥ 88 cm (females) or ≥102 cm (males) | |
| [O3]: BMI ≥ 30 kg/m2 | |
| Hypertension [HT] components | [HT1]: ≥130/85 mmHg or hypertension treatment |
| Hyperglycemia [HG] components | [HG1]: fasting glucose ≥ 100 mg/dL or hypoglycemic treatment |
| [HG2]: HbA1c ≥ 5.7% or hypoglycemic treatment | |
| Dyslipidemia [D] components | [D1]: HDL-C < 50 mg/dL (females) or <40 mg/dL (males) or hyperlipemic therapy |
| [D2]: triglycerides ≥ 150 mg/dL or hyperlipemic therapy | |
| [D3]: non-HDL-C ≥ 130 mmol/L or hyperlipemic therapy | |
| Requirement for metabolic syndrome diagnosis: 2004 | minimum 3 of 5: O2; HT1; HG1; D1; D2 |
| Requirement for metabolic syndrome diagnosis: 2005 | O1 + minimum 2 of 4: HT1; HG1; D1; D2 |
| Requirement for metabolic syndrome diagnosis: 2009 | minimum 3 of 5: O1; HT1; HG1; D1; D2 |
| Requirement for metabolic syndrome diagnosis: 2022 | O2 or O3 + minimum 2 of 3: HT1; HG1 or HG2; D3 |
| Parameter [Units] | Mean ± SD |
|---|---|
| glucose [mg/dL] | 125.46 ± 104.78 |
| HbA1c [%] | 6.09 ± 1.36 |
| HDL-C [mg/dL] | 53.87 ± 14.47 |
| non-HDL-C [mg/dL] | 147.47 ± 46.60 |
| triglicerydes [mg/dL] | 135.64 ± 74.87 |
| ALT [U/L] | 39.92 ± 27.36 |
| AST [U/L] | 32.31 ± 11.69 |
| platelets [×109/L] | 256.00 ± 71.03 |
Disclaimer/Publisher’s Note: The statements, opinions and data contained in all publications are solely those of the individual author(s) and contributor(s) and not of MDPI and/or the editor(s). MDPI and/or the editor(s) disclaim responsibility for any injury to people or property resulting from any ideas, methods, instructions or products referred to in the content. |
© 2024 by the authors. Licensee MDPI, Basel, Switzerland. This article is an open access article distributed under the terms and conditions of the Creative Commons Attribution (CC BY) license (https://creativecommons.org/licenses/by/4.0/).
Share and Cite
Suwała, S.; Junik, R. Assessment of the Liver Steatosis and Fibrosis Risk in Metabolic Syndrome and Its Individual Components, Considering the Varying Definitions Used in Clinical Practice throughout Time: A Retrospective Cross-Sectional Study. Biomedicines 2024, 12, 1739. https://doi.org/10.3390/biomedicines12081739
Suwała S, Junik R. Assessment of the Liver Steatosis and Fibrosis Risk in Metabolic Syndrome and Its Individual Components, Considering the Varying Definitions Used in Clinical Practice throughout Time: A Retrospective Cross-Sectional Study. Biomedicines. 2024; 12(8):1739. https://doi.org/10.3390/biomedicines12081739
Chicago/Turabian StyleSuwała, Szymon, and Roman Junik. 2024. "Assessment of the Liver Steatosis and Fibrosis Risk in Metabolic Syndrome and Its Individual Components, Considering the Varying Definitions Used in Clinical Practice throughout Time: A Retrospective Cross-Sectional Study" Biomedicines 12, no. 8: 1739. https://doi.org/10.3390/biomedicines12081739
APA StyleSuwała, S., & Junik, R. (2024). Assessment of the Liver Steatosis and Fibrosis Risk in Metabolic Syndrome and Its Individual Components, Considering the Varying Definitions Used in Clinical Practice throughout Time: A Retrospective Cross-Sectional Study. Biomedicines, 12(8), 1739. https://doi.org/10.3390/biomedicines12081739

