Optimised, Broad NGS Panel for Inherited Eye Diseases to Diagnose 1000 Patients in Poland
Abstract
1. Introduction
2. Materials and Methods
3. Results
3.1. Cohort Specification
3.2. Molecular Diagnosis—Success Rate
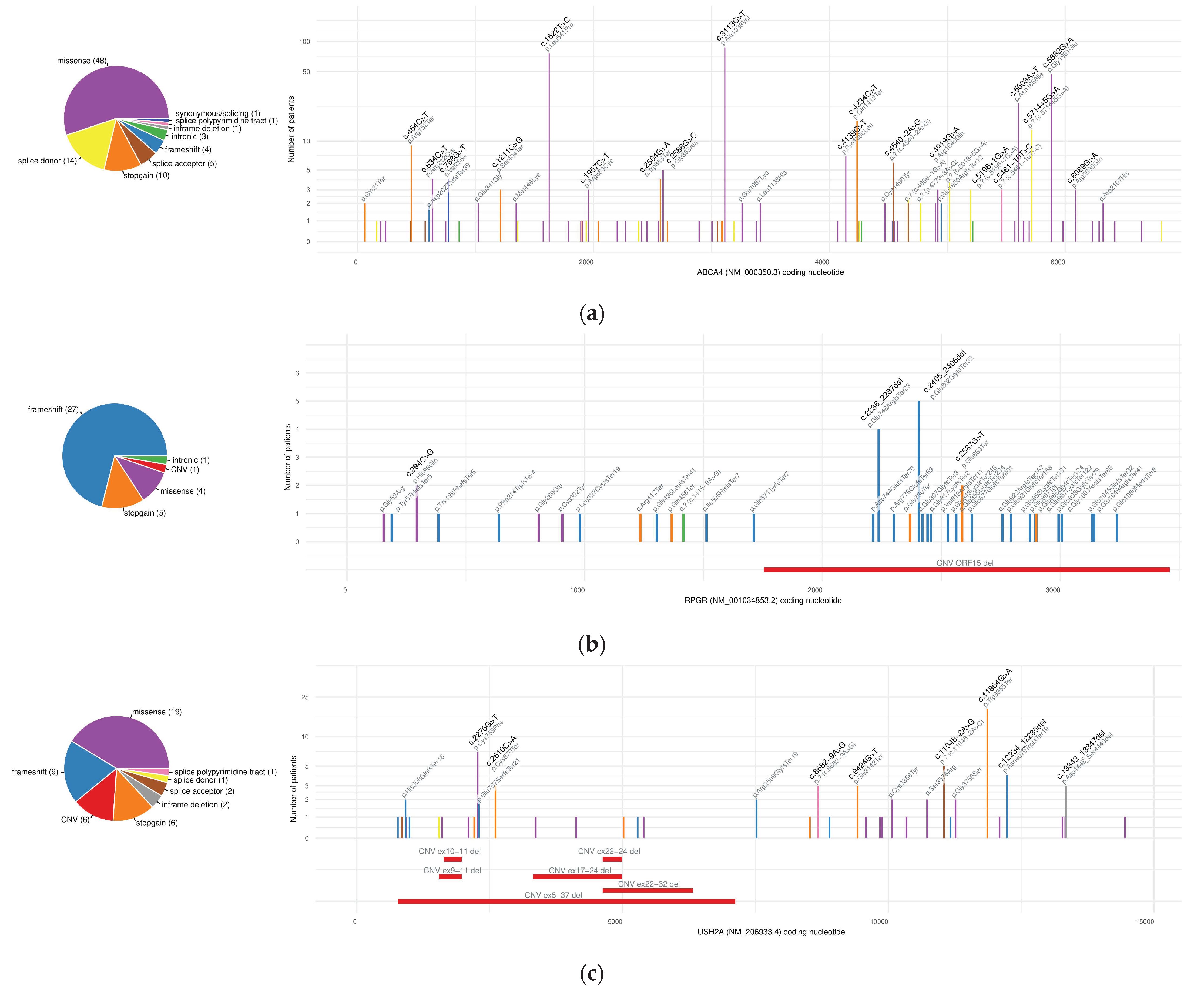
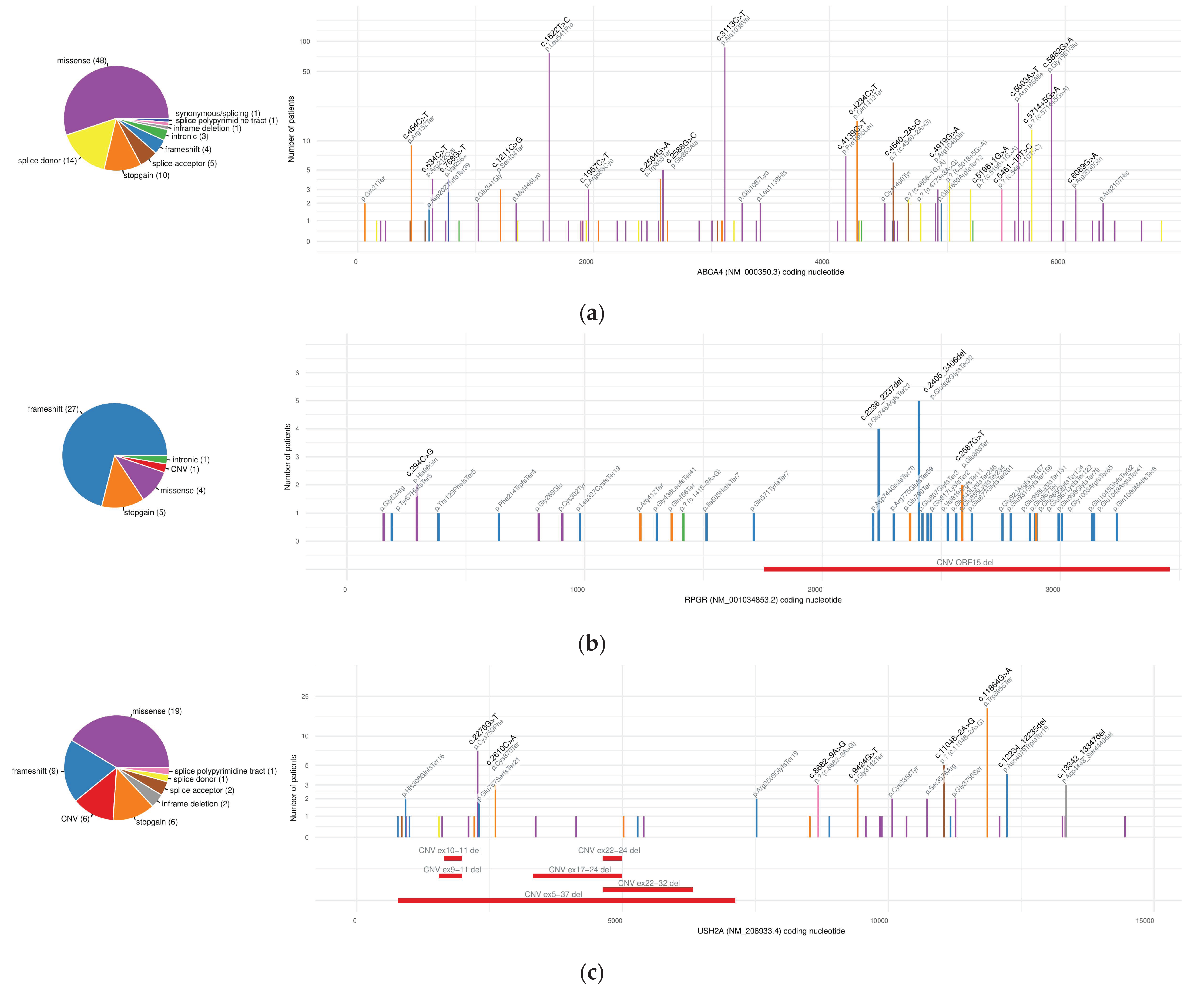
3.3. Causative Genes and Variants
3.4. Deep Intronic Variants
3.5. Copy Number Variants
3.6. Novel Variants
3.7. Inheritance Patterns, Incomplete Penetrance
4. Discussion
4.1. Possible Reasons for Negative Results
4.2. Additional Testing Available after a Negative Result
4.3. Therapeutic Options Arising
4.4. Diagnostic Algorithm Proposed for IRD and ION
- Consultation at an expert ophthalmology centre, including all basic and advanced ophthalmologic measurements;
- Consultation at a genetic counselling unit with a specialist in ophthalmogenetics or with a clinical geneticist with experience in ophthalmogenetic and neurodegenerative diseases;
- NGS testing of the proband using a comprehensive ophthalmology panel (up to 400 genes), including mitochondrial genome, deep intronic variants, and CNV analysis;
- After-test genetic counselling;
- Familial testing.
- Reanalysis of data after 2 years for carriers of VUSs being potential confirmatory variants;
- WES or, preferably, WGS only in unsolved cases of proven genetic origin;
- WGS advised mostly for carriers of pathogenic variants in genes responsible for AR diseases.
5. Conclusions
Supplementary Materials
Author Contributions
Funding
Institutional Review Board Statement
Informed Consent Statement
Data Availability Statement
Acknowledgments
Conflicts of Interest
References
- RetNet. The Retinal Information Network. Available online: https://web.sph.uth.edu/RetNet/ (accessed on 2 April 2024).
- Tuupanen, S.; Gall, K.; Sistonen, J.; Saarinen, I.; Kämpjärvi, K.; Wells, K.; Merkkiniemi, K.; von Nandelstadh, P.; Sarantaus, L.; Känsäkoski, J.; et al. Prevalence of RPGR-Mediated Retinal Dystrophy in an Unselected Cohort of Over 5000 Patients. Transl. Vis. Sci. Technol. 2022, 11, 6. [Google Scholar] [CrossRef] [PubMed]
- Weisschuh, N.; Mazzola, P.; Zuleger, T.; Schaeferhoff, K.; Kühlewein, L.; Kortüm, F.; Witt, D.; Liebmann, A.; Falb, R.; Pohl, L.; et al. Diagnostic Genome Sequencing Improves Diagnostic Yield: A Prospective Single-Centre Study in 1000 Patients with Inherited Eye Diseases. J. Med. Genet. 2023, 61, 186–195. [Google Scholar] [CrossRef] [PubMed]
- Gilhooley, M.J.; Raoof, N.; Yu-Wai-Man, P.; Moosajee, M. Inherited Optic Neuropathies: Real-World Experience in the Paediatric Neuro-Ophthalmology Clinic. Genes 2024, 15, 188. [Google Scholar] [CrossRef] [PubMed]
- Stenton, S.L.; Sheremet, N.L.; Catarino, C.B.; Andreeva, N.A.; Assouline, Z.; Barboni, P.; Barel, O.; Berutti, R.; Bychkov, I.; Caporali, L.; et al. Impaired Complex I Repair Causes Recessive Leber’s Hereditary Optic Neuropathy. J. Clin. Investig. 2021, 131, e138267. [Google Scholar] [CrossRef] [PubMed]
- Karali, M.; Testa, F.; Di Iorio, V.; Torella, A.; Zeuli, R.; Scarpato, M.; Romano, F.; Onore, M.E.; Pizzo, M.; Melillo, P.; et al. Genetic Epidemiology of Inherited Retinal Diseases in a Large Patient Cohort Followed at a Single Center in Italy. Sci. Rep. 2022, 12, 20815. [Google Scholar] [CrossRef]
- Thorsteinsson, D.A.; Stefansdottir, V.; Eysteinsson, T.; Thorisdottir, S.; Jonsson, J.J. Molecular Genetics of Inherited Retinal Degenerations in Icelandic Patients. Clin. Genet. 2021, 100, 156–167. [Google Scholar] [CrossRef] [PubMed]
- Peter, V.G.; Kaminska, K.; Santos, C.; Quinodoz, M.; Cancellieri, F.; Cisarova, K.; Gobert, R.P.; Rodrigues, R.; Custódio, S.; Paris, L.P.; et al. The First Genetic Landscape of Inherited Retinal Dystrophies in Portuguese Patients Identifies Recurrent Homozygous Mutations as a Frequent Cause of Pathogenesis. PNAS Nexus 2023, 2, pgad043. [Google Scholar] [CrossRef]
- Genomics England PanelApp. Retinal Disorders. Available online: https://panelapp.genomicsengland.co.uk/panels/307/ (accessed on 2 April 2024).
- Genomics England PanelApp. Optic Neuropathy. Available online: https://panelapp.genomicsengland.co.uk/panels/186/ (accessed on 2 April 2024).
- Luxturna. Available online: https://www.ema.europa.eu/en/medicines/human/EPAR/luxturna#ema-inpage-item-authorisation-details (accessed on 11 February 2024).
- GenSight Biologics. Available online: https://www.gensight-biologics.com/clinical-development-summary (accessed on 2 April 2024).
- Mansouri, V. X-Linked Retinitis Pigmentosa Gene Therapy: Preclinical Aspects. Ophthalmol. Ther. 2022, 12, 7–34. [Google Scholar] [CrossRef]
- Raxone. Available online: https://www.ema.europa.eu/en/medicines/human/EPAR/raxone (accessed on 11 February 2024).
- Lumevoq. Available online: https://www.gensight-biologics.com/2023/04/20/gensight-biologics-withdraws-its-ema-application-for-lumevoq/ (accessed on 11 February 2024).
- Russell, S.R.; Drack, A.V.; Cideciyan, A.V.; Jacobson, S.G.; Leroy, B.P.; Van Cauwenbergh, C.; Ho, A.C.; Dumitrescu, A.V.; Han, I.C.; Martin, M.; et al. Intravitreal Antisense Oligonucleotide Sepofarsen in Leber Congenital Amaurosis Type 10: A Phase 1b/2 Trial. Nat. Med. 2022, 28, 1014–1021. [Google Scholar] [CrossRef]
- Ascidian Therapeutics. Available online: https://ascidian-tx.com/press-releases (accessed on 11 February 2024).
- Jacobson, S.G.; Cideciyan, A.V.; Ho, A.C.; Roman, A.J.; Wu, V.; Garafalo, A.V.; Sumaroka, A.; Krishnan, A.K.; Swider, M.; Mascio, A.A.; et al. Night Vision Restored in Days after Decades of Congenital Blindness. iScience 2022, 25, 105274. [Google Scholar] [CrossRef]
- Opus Genetics, Inc. NCT05616793. Available online: https://classic.clinicaltrials.gov/ct2/show/study/NCT05616793 (accessed on 11 February 2024).
- Kiora Pharmaceuticals, Inc. NCT05282953. Available online: https://classic.clinicaltrials.gov/ct2/show/NCT05282953 (accessed on 11 February 2024).
- Siles, L.; Ruiz-Nogales, S.; Navinés-Ferrer, A.; Méndez-Vendrell, P.; Pomares, E. Efficient Correction of ABCA4 Variants by CRISPR-Cas9 in HiPSCs Derived from Stargardt Disease Patients. Mol. Ther. Nucleic Acids 2023, 32, 64–79. [Google Scholar] [CrossRef] [PubMed]
- Maeder, M.L.; Stefanidakis, M.; Wilson, C.J.; Baral, R.; Barrera, L.A.; Bounoutas, G.S.; Bumcrot, D.; Chao, H.; Ciulla, D.M.; DaSilva, J.A.; et al. Development of a Gene-Editing Approach to Restore Vision Loss in Leber Congenital Amaurosis Type 10. Nat. Med. 2019, 25, 229–233. [Google Scholar] [CrossRef] [PubMed]
- Tracewska, A.M.; Kocyła-Karczmarewicz, B.; Rafalska, A.; Murawska, J.; Jakubaszko-Jablonska, J.; Rydzanicz, M.; Stawiński, P.; Ciara, E.; Khan, M.I.; Henkes, A.; et al. Genetic Spectrum of ABCA4-Associated Retinal Degeneration in Poland. Genes 2019, 10, 959. [Google Scholar] [CrossRef] [PubMed]
- Tracewska, A.M.; Kocyła-Karczmarewicz, B.; Rafalska, A.; Murawska, J.; Jakubaszko-Jabłónska, J.; Rydzanicz, M.; Stawiński, P.; Ciara, E.; Lipska-Ziętkiewicz, B.S.; Khan, M.I.; et al. Non-Syndromic Inherited Retinal Diseases in Poland: Genes, Mutations, and Phenotypes. Mol. Vis. 2021, 27, 457–465. [Google Scholar] [PubMed]
- Wiącek, M.P.; Gosławski, W.; Grabowicz, A.; Sobuś, A.; Kawa, M.P.; Baumert, B.; Paczkowska, E.; Milczarek, S.; Osȩkowska, B.; Safranow, K.; et al. Long-Term Effects of Adjuvant Intravitreal Treatment with Autologous Bone Marrow-Derived Lineage-Negative Cells in Retinitis Pigmentosa. Stem Cells Int. 2021, 2021, 6631921. [Google Scholar] [CrossRef]
- Wawrocka, A.; Socha, M.; Walczak-Sztulpa, J.; Koczyk, G.; Skorczyk-Werner, A.; Krawczyński, M.R. Molecular Re-Diagnosis with Whole-Exome Sequencing Increases the Diagnostic Yield in Patients with Non-Syndromic Retinitis Pigmentosa. Diagnostics 2023, 13, 730. [Google Scholar] [CrossRef] [PubMed]
- Nowomiejska, K.; Baltaziak, K.; Całka, P.; Ciesielka, M.; Teresiński, G.; Rejdak, R. Identification of the RPGR Gene Pathogenic Variants in a Cohort of Polish Male Patients with Retinitis Pigmentosa Phenotype. Genes 2023, 14, 1950. [Google Scholar] [CrossRef] [PubMed]
- Skorczyk-Werner, A.; Niedziela, Z.; Stopa, M.; Krawczyński, M.R. Novel Gene Variants in Polish Patients with Leber Congenital Amaurosis (LCA). Orphanet. J. Rare Dis. 2020, 15, 345. [Google Scholar] [CrossRef]
- Skorczyk-Werner, A.; Sowińska-Seidler, A.; Wawrocka, A.; Walczak-Sztulpa, J.; Krawczyński, M.R. Molecular Background of Leber Congenital Amaurosis in a Polish Cohort of Patients—Novel Variants Discovered by NGS. J. Appl. Genet. 2023, 64, 89–104. [Google Scholar] [CrossRef]
- Wawrocka, A.; Skorczyk-Werner, A.; Wicher, K.; Niedziela, Z.; Ploski, R.; Rydzanicz, M.; Sykulski, M.; Kociecki, J.; Weisschuh, N.; Kohl, S.; et al. Novel Variants Identified with Next-Generation Sequencing in Polish Patients with Cone-Rod Dystrophy. Mol. Vis. 2018, 24, 326–339. [Google Scholar]
- Szymańczak, R.; Łyszkiewicz, P.; Wąsowska, A.; Matczyńska, E.; Krysa, W.; Kamińska, K.; Suchecka, E.; Kosakowski, J.; Jurkowska, M.; Pałucha, A.; et al. P02.47B Whole exome sequencing of a cohort of Polish patients with retinal disorders—NeuStemGen project. Abstracts from the 51st European Society of Human Genetics Conference: Posters. In Proceedings of the European Society of Human Genetics Conference, Milan, Italy, 16–19 June 2018. [Google Scholar]
- Skorczyk-Werner, A.; Tońska, K.; Maciejczuk, A.; Nowomiejska, K.; Korwin, M.; Ołdak, M.; Wawrocka, A.; Krawczyński, M.R. DNAJC30 Gene Variants Are a Frequent Cause of a Rare Disease: Leber Hereditary Optic Neuropathy in Polish Patients. Int. J. Mol. Sci. 2023, 24, 17496. [Google Scholar] [CrossRef] [PubMed]
- Ulańczyk, Z.; Grabowicz, A.; Mozolewska-Piotrowska, K.; Safranow, K.; Kawa, M.P.; Pałucha, A.; Krawczyk, M.; Sikora, P.; Matczyńska, E.; Machaliński, B.; et al. Genetic Factors Associated with Age-Related Macular Degeneration: Identification of a Novel PRPH2 Single Nucleotide Polymorphism Associated with Increased Risk of the Disease. Acta Ophthalmol. 2021, 99, 739–749. [Google Scholar] [CrossRef] [PubMed]
- Roche. SeqCap EZ HyperCap Workflow User’s Guide. Available online: https://diagnostics.roche.com/content/dam/diagnostics/se/pdfer-p%C3%A5-webbplatsen-redigerade/pdfer-sekvensering/SE-DIA-OWP-SeqCap_EZ_HyperCap_UGuide_v2.3.pdf (accessed on 2 April 2024).
- Twist Bioscience. Library Preparation EF 2.0 with Enzymatic Fragmentation and Twist Universal Adapter System. Available online: https://www.twistbioscience.com/resources/protocol/library-preparation-ef-20-enzymatic-fragmentation-and-twist-universal-adapter (accessed on 2 April 2024).
- Twist Bioscience. Twist Target Enrichment Standard Hybridization v1 Protocol. Available online: https://www.twistbioscience.com/resources/protocol/twist-target-enrichment-standard-hybridization-v1-protocol (accessed on 2 April 2024).
- Twist Bioscience. Twist Target Enrichment Standard Hybridization v2 Protocol. Available online: https://www.twistbioscience.com/resources/protocol/twist-target-enrichment-standard-hybridization-v2-protocol (accessed on 2 April 2024).
- Martin, M. Cutadapt Removes Adapter Sequences from High-Throughput Sequencing Reads. EMBnet J. 2011, 17, 10–12. [Google Scholar] [CrossRef]
- Li, H.; Durbin, R. Fast and Accurate Short Read Alignment with Burrows-Wheeler Transform. Bioinformatics 2009, 25, 1754–1760. [Google Scholar] [CrossRef]
- Broad Institute. Picard Tools. Available online: http://broadinstitute.github.io/picard (accessed on 2 April 2024).
- Van der Auwera, G.A.; O’Connor, B.D. Genomics in the Cloud: Using Docker, GATK, and WDL in Terra, 1st ed.; O’Reilly Media: Sebastopol, CA, USA, 2020. [Google Scholar]
- McLaren, W.; Gil, L.; Hunt, S.E.; Riat, H.S.; Ritchie, G.R.S.; Thormann, A.; Flicek, P.; Cunningham, F. The Ensembl Variant Effect Predictor. Genome Biol. 2016, 17, 122. [Google Scholar] [CrossRef] [PubMed]
- POLGENOM. Available online: https://polgenom.pl/ (accessed on 2 April 2024).
- Richards, S.; Aziz, N.; Bale, S.; Bick, D.; Das, S.; Gastier-Foster, J.; Grody, W.W.; Hegde, M.; Lyon, E.; Spector, E.; et al. Standards and Guidelines for the Interpretation of Sequence Variants: A Joint Consensus Recommendation of the American College of Medical Genetics and Genomics and the Association for Molecular Pathology. Genet. Med. 2015, 17, 405–424. [Google Scholar] [CrossRef] [PubMed]
- Ellard, S.; Baple, E.; Callaway, A.; Berry, I.; Forrester, N.; Turnbull, C.; Owens, M.; Eccles, D.M.; Abbs, S.; Scott, R.; et al. ACGS Best Practice Guidelines for Variant Classification in Rare Disease 2020. v4.01; Association for Clinical Genomic Science: London, UK, 2020. [Google Scholar]
- Landrum, M.J.; Lee, J.M.; Riley, G.R.; Jang, W.; Rubinstein, W.S.; Church, D.M.; Maglott, D.R. ClinVar: Public Archive of Relationships among Sequence Variation and Human Phenotype. Nucleic Acids Res. 2014, 42, D980–D985. [Google Scholar] [CrossRef] [PubMed]
- Stenson, P.D.; Mort, M.; Ball, E.V.; Howells, K.; Phillips, A.D.; Cooper, D.N.; Thomas, N.S.T. The Human Gene Mutation Database: 2008 Update. Genome Med. 2009, 1, 13. [Google Scholar] [CrossRef] [PubMed]
- Fokkema, I.F.A.C.; Taschner, P.E.M.; Schaafsma, G.C.P.; Celli, J.; Laros, J.F.J.; den Dunnen, J.T. LOVD v.2.0: The next Generation in Gene Variant Databases. Hum. Mutat. 2011, 32, 557–563. [Google Scholar] [CrossRef]
- Johansson, L.F.; van Dijk, F.; de Boer, E.N.; van Dijk-Bos, K.K.; Jongbloed, J.D.H.; van der Hout, A.H.; Westers, H.; Sinke, R.J.; Swertz, M.A.; Sijmons, R.H.; et al. CoNVaDING: Single Exon Variation Detection in Targeted NGS Data. Hum. Mutat. 2016, 37, 457–464. [Google Scholar] [CrossRef]
- Babadi, M.; Fu, J.M.; Lee, S.K.; Smirnov, A.N.; Gauthier, L.D.; Walker, M.; Benjamin, D.I.; Zhao, X.; Karczewski, K.J.; Wong, I.; et al. GATK-GCNV Enables the Discovery of Rare Copy Number Variants from Exome Sequencing Data. Nat. Genet. 2023, 55, 1589–1597. [Google Scholar] [CrossRef] [PubMed]
- Geoffroy, V.; Herenger, Y.; Kress, A.; Stoetzel, C.; Piton, A.; Dollfus, H.; Muller, J. AnnotSV: An Integrated Tool for Structural Variations Annotation. Bioinformatics 2018, 34, 3572–3574. [Google Scholar] [CrossRef]
- Matczyńska, E.; Łyszkiewicz, P.; Wąsowska, A.; Szymańczak, R.; Stradomska, K.; Suchecka, E.; Jędrzejowska, M.; Teper, S.; Wiącek, M.; Machalińska, A.; et al. Whole Exome analysis versus a targeted panel for Polish patients with retinal dystrophies. Eur. J. Hum. Genet. 2020, 28 (Suppl. 1). [Google Scholar] [CrossRef]
- Ścieżyńska, A.; Oziębło, D.; Ambroziak, A.M.; Korwin, M.; Szulborski, K.; Krawczyński, M.; Stawiński, P.; Szaflik, J.; Szaflik, J.P.; Płoski, R.; et al. Next-Generation Sequencing of ABCA4: High Frequency of Complex Alleles and Novel Mutations in Patients with Retinal Dystrophies from Central Europe. Exp. Eye Res. 2016, 145, 93–99. [Google Scholar] [CrossRef] [PubMed]
- Sherry, S.T.; Ward, M.H.; Kholodov, M.; Baker, J.; Phan, L.; Smigielski, E.M.; Sirotkin, K. DbSNP: The NCBI Database of Genetic Variation. Nucleic Acids Res. 2001, 29, 308–311. [Google Scholar] [CrossRef]
- Karczewski, K.J.; Francioli, L.C.; Tiao, G.; Cummings, B.B.; Alföldi, J.; Wang, Q.; Collins, R.L.; Laricchia, K.M.; Ganna, A.; Birnbaum, D.P.; et al. The Mutational Constraint Spectrum Quantified from Variation in 141,456 Humans. Nature 2020, 581, 434–443. [Google Scholar] [CrossRef]
- Chunn, L.M.; Nefcy, D.C.; Scouten, R.W.; Tarpey, R.P.; Chauhan, G.; Lim, M.S.; Elenitoba-Johnson, K.S.J.; Schwartz, S.A.; Kiel, M.J. Mastermind: A Comprehensive Genomic Association Search Engine for Empirical Evidence Curation and Genetic Variant Interpretation. Front. Genet. 2020, 11, 577152. [Google Scholar] [CrossRef]
- Skorczyk-Werner, A.; Raczynska, D.; Wawrocka, A.; Zholdybayeva, D.; Yakhiyayeva, N.; Krawczynski, M.R. The Coincidence of Two Ultra-Rare Hereditary Eye Diseases: Gyrate Atrophy and Kjer Optic Atrophy—A Surprising Diagnosis Based on next-Generation Sequencing. Intractable Rare Dis. Res. 2021, 10, 202–206. [Google Scholar] [CrossRef] [PubMed]
- Carss, K.J.; Arno, G.; Erwood, M.; Stephens, J.; Sanchis-Juan, A.; Hull, S.; Megy, K.; Grozeva, D.; Dewhurst, E.; Malka, S.; et al. Comprehensive Rare Variant Analysis via Whole-Genome Sequencing to Determine the Molecular Pathology of Inherited Retinal Disease. Am. J. Hum. Genet. 2017, 100, 75–90. [Google Scholar] [CrossRef]
- Perea-Romero, I.; Gordo, G.; Iancu, I.F.; Del Pozo-Valero, M.; Almoguera, B.; Blanco-Kelly, F.; Carreño, E.; Jimenez-Rolando, B.; Lopez-Rodriguez, R.; Lorda-Sanchez, I.; et al. Genetic Landscape of 6089 Inherited Retinal Dystrophies Affected Cases in Spain and Their Therapeutic and Extended Epidemiological Implications. Sci. Rep. 2021, 11, 1526. [Google Scholar] [CrossRef]
- Zupan, A.; Fakin, A.; Battelino, S.; Vidmar, M.J.; Hawlina, M.; Bonnet, C.; Petit, C.; Glavač, D. Clinical and Haplotypic Variability of Slovenian USH2A Patients Homozygous for the c. 11864G>A Nonsense Mutation. Genes 2019, 10, 1015. [Google Scholar] [CrossRef] [PubMed]
- Krawitz, P.M.; Schiska, D.; Krüger, U.; Appelt, S.; Heinrich, V.; Parkhomchuk, D.; Timmermann, B.; Millan, J.M.; Robinson, P.N.; Mundlos, S.; et al. Screening for Single Nucleotide Variants, Small Indels and Exon Deletions with a next-Generation Sequencing Based Gene Panel Approach for Usher Syndrome. Mol. Genet. Genomic Med. 2014, 2, 393–401. [Google Scholar] [CrossRef] [PubMed]
- Kamenarova, K.; Mihova, K.; Veleva, N.; Mermeklieva, E.; Mihaylova, B.; Dimitrova, G.; Oscar, A.; Shandurkov, I.; Cherninkova, S.; Kaneva, R. Panel-Based next-Generation Sequencing Identifies Novel Mutations in Bulgarian Patients with Inherited Retinal Dystrophies. Mol. Genet. Genomic Med. 2022, 10, e1997. [Google Scholar] [CrossRef] [PubMed]
- Maltese, P.E.; Colombo, L.; Martella, S.; Rossetti, L.; El Shamieh, S.; Sinibaldi, L.; Passarelli, C.; Coppè, A.M.; Buzzonetti, L.; Falsini, B.; et al. Genetics of Inherited Retinal Diseases in Understudied Ethnic Groups in Italian Hospitals. Front. Genet. 2022, 13, 914345. [Google Scholar] [CrossRef] [PubMed]
- Shatokhina, O.; Galeeva, N.; Stepanova, A.; Markova, T.; Lalayants, M.; Alekseeva, N.; Tavarkiladze, G.; Markova, T.; Bessonova, L.; Petukhova, M.; et al. Spectrum of Genes for Non-GJB2-Related Non-Syndromic Hearing Loss in the Russian Population Revealed by a Targeted Deafness Gene Panel. Int. J. Mol. Sci. 2022, 23, 15748. [Google Scholar] [CrossRef] [PubMed]
- Layrolle, P.; Orssaud, C.; Leleu, M.; Payoux, P.; Chavanas, S. The Optic Nerve at Stake: Update on Environmental Factors Modulating Expression of Leber’s Hereditary Optic Neuropathy. Biomedicines 2024, 12, 584. [Google Scholar] [CrossRef]
- Nguyen, D.D.; Luo, L.J.; Yang, C.J.; Lai, J.Y. Highly Retina-Permeating and Long-Acting Resveratrol/Metformin Nanotherapeutics for Enhanced Treatment of Macular Degeneration. ACS Nano. 2023, 17, 168–183. [Google Scholar] [CrossRef]





| Gene Symbol | Distinct Patients with Variant | Variant Class | HGVSc | HGVSp | Consequence | dbSNP | gnomAD_2.1.1 AF Total | Clinvar ID |
|---|---|---|---|---|---|---|---|---|
| ABCA4 | 87 * | SNV | NM_000350.3:c.3113C>T | NP_000341.2:p.Ala1038Val | missense | rs61751374 | 0.001754572 | 7894 |
| ABCA4 | 87 * | SNV | NM_000350.3:c.1622T>C | NP_000341.2:p.Leu541Pro | missense | rs61751392 | 0.000162652 | 99067 |
| ABCA4 | 47 | SNV | NM_000350.3:c.5882G>A | NP_000341.2:p.Gly1961Glu | missense | rs1800553 | 0.004564289 | 7888 |
| ABCA4 | 24 | SNV | NM_000350.3:c.5603A>T | NP_000341.2:p.Asn1868Ile | missense | rs1801466 | 0.042191347 | 99390 |
| CNGB3 | 22 | small deletion | NM_019098.5:c.1148del | NP_061971.3:p.Thr383IlefsTer13 | frameshift | rs397515360 | 0.001750039 | 5225 |
| CNGB3 | 20 | small deletion | NM_019098.5:c.819_826del | NP_061971.3:p.Arg274ValfsTer13 | frameshift | rs775796581 | 6.01195 × 10−5 | 374027 |
| USH2A | 19 | SNV | NM_206933.4:c.11864G>A | NP_996816.3:p.Trp3955Ter | stopgain | rs111033364 | 0.000116791 | 2357 |
| ABCA4 | 16 | SNV | NM_000350.3:c.4234C>T | NP_000341.2:p.Gln1412Ter | stopgain | rs61750137 | 7.0729 × 10−6 | 99263 |
| CEP290 | 14 | SNV | NM_025114.4:c.2991+1655A>G | intronic | rs281865192 | 0.000127755 | 1337 | |
| USH2A | 14 | CNV | NM_206933.4:c.(4627+1_4628−1)_(4987+1_4988−1)del | deletion of exons 22–24 | - | 0 | 179215 | |
| ABCA4 | 13 | SNV | NM_000350.3:c.5714+5G>A | splice donor 5th base | rs61751407 | 0.000297145 | 99403 | |
| CRB1 | 13 | SNV | NM_201253.3:c.2843G>A | NP_957705.1:p.Cys948Tyr | missense | rs62645748 | 0.000202696 | 39614 |
| ABCA4 | 9 | SNV | NM_000350.3:c.454C>T | NP_000341.2:p.Arg152Ter | stopgain | rs62646861 | 1.59253 × 10−5 | 99300 |
| DNAJC30 | 9 | SNV | NM_032317.3:c.152A>G | NP_115693.2:p.Tyr51Cys | missense | rs61732167 | 0.001248506 | 976691 |
| CDHR1 | 8 | SNV | NM_033100.4:c.783G>A | NP_149091.1:p.Pro261= | synonymous, splice region | rs147346345 | 0.003051605 | 301224 |
| ABCA4 | 7 | SNV | NM_000350.3:c.4139C>T | NP_000341.2:p.Pro1380Leu | missense | rs61750130 | 0.000233633 | 7904 |
| USH2A | 7 | SNV | NM_206933.4:c.2276G>T | NP_996816.3:p.Cys759Phe | missense | rs80338902 | 0.000967694 | 2356 |
| ABCA4 | 6 | SNV | NM_000350.3:c.4540−2A>G | splice acceptor | rs61752435 | 3.9765 × 10−6 | 92869 | |
| CNGB3 | 6 | SNV | NM_019098.5:c.1578+1G>A | splice donor | rs372006750 | 1.99893 × 10−5 | 189031 | |
| ABCA4 | 5 | SNV | NM_000350.3:c.2588G>C | NP_000341.2:p.Gly863Ala | missense | rs76157638 | 0.004295095 | 7879 |
| CNGA3 | 5 | SNV | NM_001298.3:c.1641C>A | NP_001289.1:p.Phe547Leu | missense | rs104893617 | 0.000159178 | 9478 |
| GPR179 | 5 | small deletion | NM_001004334.4:c.984del | NP_001004334.3:p.Ser329LeufsTer4 | frameshift | rs770066665 | 0.000536462 | 31204 |
| RPGR | 5 | small deletion | NM_001034853.2:c.2405_2406del | NP_001030025.1:p.Glu802GlyfsTer32 | frameshift | rs398122960 | 0 | 91389 |
| USH2A | 5 | SNV | NM_206933.4:c.11048-2A>G | splice acceptor | rs200871041 | 3.9827 × 10−6 | 553421 |
| Gene Symbol | Distinct Patients with Variant | Zygosity | Description | HGVSc | gnomAD_2.1.1 SVs | Clinvar ID |
|---|---|---|---|---|---|---|
| BBS5 | 1 | HET | deletion of exons 1–2 in NM_152384.3 | NM_152384.3:c.(?_−1)_(142+1_143−1)del | - | 2443002 (Pathogenic) |
| CHM | 1 | HEMI | deletion of all exons in NM_000390.4 | NM_000390.4:c.(?_−1)_(*1_?)del | - | - |
| CLN3 | 2 | HET | deletion of exons 8–9 in NM_001042432.2 (1.02-kb deletion in CLN3) | NM_001042432.2:c.461−280_677+382del | 0.000968 (DEL_16_153550) | 3552 (Pathogenic) |
| CNGB3 | 2 | HET | deletion of exon 15 in NM_019098.5 | NM_019098.5:c.(1662+1_1663−1)_(1781+1_1782−1)del | - | 427720 (Pathogenic) |
| EYS | 2 | HET | deletion of exon 32 in NM_001142800.2 | NM_001142800.2:c.(6424+1_6425−1)_(6571+1_6572−1)del | - | 565297 (Pathogenic) |
| EYS | 1 | HET | duplication of exons 27–29 in NM_001142800.2 | NM_001142800.2:c.(4790_5836−1295)_(6002_6172)dup | - | - |
| EYS | 1 | HET | duplication of exon 22 in NM_001142800.2 | NM_001142800.2:c.(3243+1_3244−1)_(3443+1_3444−1)dup | - | 565296 (Pathogenic) |
| KCNV2 | 1 | HET | deletion of exons 1–2 in NM_133497.4 | NM_133497.4:c.(?_−1)_(*1_?)del | 0.00009219 (DEL_9_98700) | 59054 (VUS) |
| PRPF31 | 1 | HET | deletion of exons 4–5 in NM_015629.4 | NM_015629.4:c.(238+1_239−1)_(420+1_421−1)del | - | - |
| PRPF31 | 1 | HET | deletion of exons 5–7 in NM_015629.4 | NM_015629.4:c.(322+1_323−1)_(697+1_698−1)del | - | - |
| PRPH2 | 1 | HET | deletion of exon 2 in NM_000322.5 | NM_000322.5:c.(581+1_582−1)_(828+1_829−1)del | - | - |
| RAB28 | 1 | HOM | deletion of exons 5–7 in NM_001017979.3 | NM_004249.3:c.(391+1_392−1)_(*1_?)del | - | - |
| RP2 | 1 | HET | deletion of all exons in NM_006915.3 | NM_006915.3:c.(?_−1)_(*1_?)del | - | - |
| RP2 | 1 | HEMI | deletion of exon 3 in NM_006915.3 | NM_006915.3:c.(768+1_769−1)_(883+1_884−1)del | - | - |
| RP2 | 1 | HEMI | deletion of exons 2–3 in NM_006915.3 | NM_006915.3:c.(102+1_103−1)_(883+1_884−1)del | - | - |
| RPGR | 1 | HET | deletion of exon 15 (ORF15) in NM_001034853.2 | NM_001034853.2:c.(1753+1_1754−1)_(*1_?)del | - | - |
| RPGRIP1 | 1 | HET | deletion of exons 2–3 in NM_020366.4 | NM_020366.4:c.(?_−1)_(218+1_219−1)del | - | - |
| TRPM1 | 1 | HET | deletion of exons 2–8 in NM_001252024.2 | NM_001252024.2:c.(−84+1_−83−1)_(965+1_966−1)del | 0.0003688 (DEL_15_146513) | - |
| USH2A | 14 | HET (12 cases)/ HOM (2 cases) | deletion of exons 22–24 in NM_206933.4 | NM_206933.4:c.(4627+1_4628−1)_(4987+1_4988−1)del | - | 179215 (Pathogenic) |
| USH2A | 5 | HET | deletion of exons 10–11 in NM_206933.4 | NM_206933.4:c.(1644+1_1645−1)_(1971+1_1972−1)del | - | 503554 (Likely pathogenic) |
| USH2A | 1 | HET | deletion of exons 5–37 in NM_206933.4 | NM_206933.4:c.(784+1_785−1)_(7120+1_7121−1)del | - | - |
| USH2A | 1 | HET | deletion of exons 9–11 in NM_206933.4 | NM_206933.4:c.(1550+1_1551−1)_(1971+1_1972−1)del | - | - |
| USH2A | 1 | HET | deletion of exons 17–24 in NM_206933.4 | NM_206933.4:c.(3316+1_3317−1)_(4987+1_4988−1)del | - | - |
| USH2A | 1 | HET | deletion of exons 22–32 in NM_206933.4 | NM_206933.4:c.(4627+1_4628−1)_(6325+1_6326−1)del | - | - |
Disclaimer/Publisher’s Note: The statements, opinions and data contained in all publications are solely those of the individual author(s) and contributor(s) and not of MDPI and/or the editor(s). MDPI and/or the editor(s) disclaim responsibility for any injury to people or property resulting from any ideas, methods, instructions or products referred to in the content. |
© 2024 by the authors. Licensee MDPI, Basel, Switzerland. This article is an open access article distributed under the terms and conditions of the Creative Commons Attribution (CC BY) license (https://creativecommons.org/licenses/by/4.0/).
Share and Cite
Matczyńska, E.; Beć-Gajowniczek, M.; Sivitskaya, L.; Gregorczyk, E.; Łyszkiewicz, P.; Szymańczak, R.; Jędrzejowska, M.; Wylęgała, E.; Krawczyński, M.R.; Teper, S.; et al. Optimised, Broad NGS Panel for Inherited Eye Diseases to Diagnose 1000 Patients in Poland. Biomedicines 2024, 12, 1355. https://doi.org/10.3390/biomedicines12061355
Matczyńska E, Beć-Gajowniczek M, Sivitskaya L, Gregorczyk E, Łyszkiewicz P, Szymańczak R, Jędrzejowska M, Wylęgała E, Krawczyński MR, Teper S, et al. Optimised, Broad NGS Panel for Inherited Eye Diseases to Diagnose 1000 Patients in Poland. Biomedicines. 2024; 12(6):1355. https://doi.org/10.3390/biomedicines12061355
Chicago/Turabian StyleMatczyńska, Ewa, Marta Beć-Gajowniczek, Larysa Sivitskaya, Elżbieta Gregorczyk, Przemysław Łyszkiewicz, Robert Szymańczak, Maria Jędrzejowska, Edward Wylęgała, Maciej R. Krawczyński, Sławomir Teper, and et al. 2024. "Optimised, Broad NGS Panel for Inherited Eye Diseases to Diagnose 1000 Patients in Poland" Biomedicines 12, no. 6: 1355. https://doi.org/10.3390/biomedicines12061355
APA StyleMatczyńska, E., Beć-Gajowniczek, M., Sivitskaya, L., Gregorczyk, E., Łyszkiewicz, P., Szymańczak, R., Jędrzejowska, M., Wylęgała, E., Krawczyński, M. R., Teper, S., & Boguszewska-Chachulska, A. (2024). Optimised, Broad NGS Panel for Inherited Eye Diseases to Diagnose 1000 Patients in Poland. Biomedicines, 12(6), 1355. https://doi.org/10.3390/biomedicines12061355

