The Obesogenic Gut Microbiota as a Crucial Factor Defining the Depletion of Predicted Enzyme Abundance for Vitamin B12 Synthesis in the Mouse Intestine
Abstract
1. Introduction
2. Materials and Methods
2.1. Experimental Animals
2.2. Measurement of Serum Insulin, Leptin, and Adiponectin Levels
2.3. Measurement of Fasting Blood Glucose Level and HOMA-IR
2.4. Histopathology of Mouse Liver, Pancreas, Skeletal Muscle, and Adipose Tissues
2.5. High-Throughput Sequencing Analysis and Reconstruction of Intestinal Microbiota Metabolic Activity
2.6. Statistical Data Analysis
3. Results
3.1. Body Weight and Hormonal Status
3.2. Microbiota Analysis
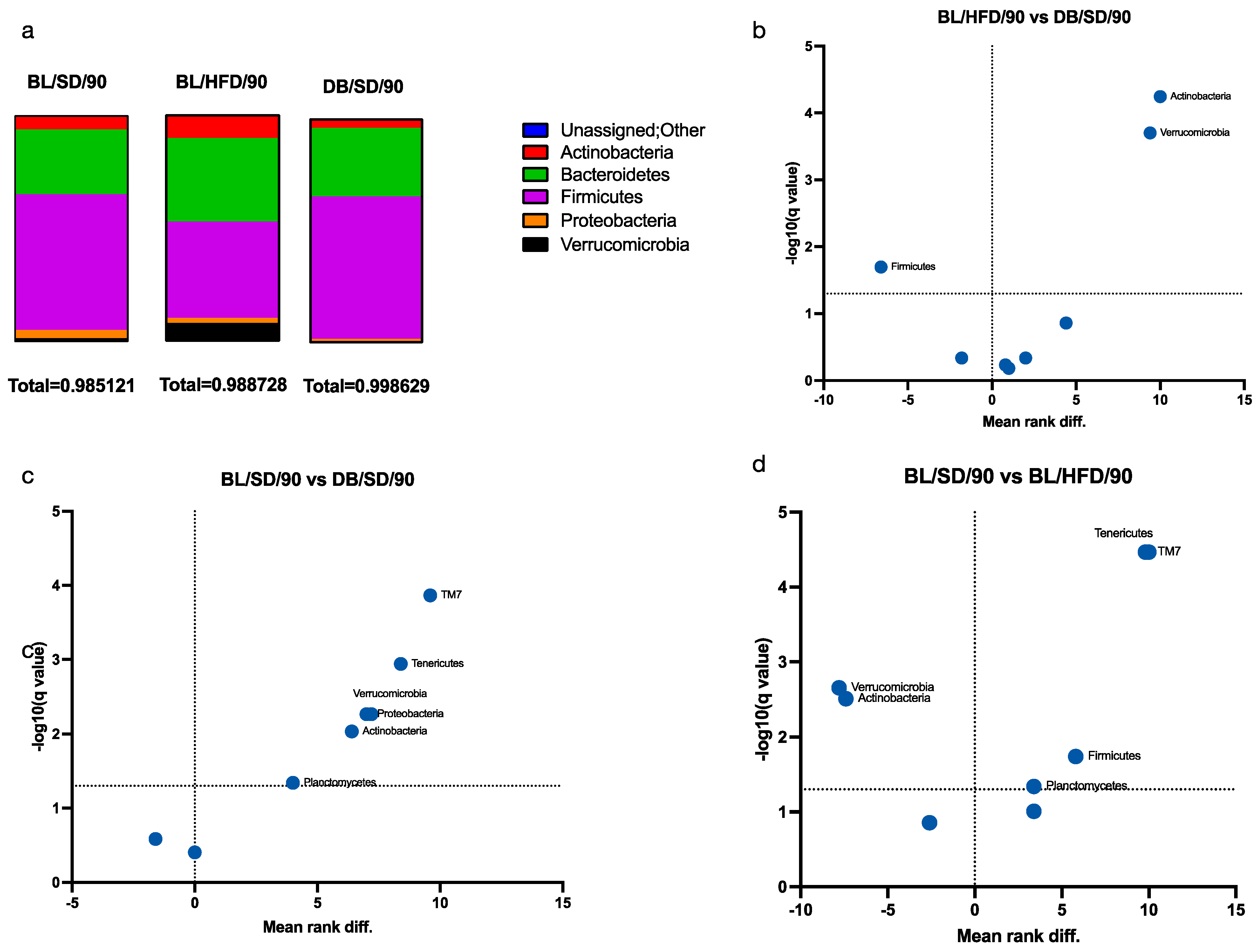
3.2.1. Taxonomy Composition and Alpha Diversity
3.2.2. Reconstruction of the Metabolic Activity of the Mouse Gut Microbiota and Representation of the Pathways Responsible for Vitamin B12 Biosynthesis
3.2.3. Abundance of Enzymes for Vitamin B12 Synthesis in Gut Bacteria According to the Results of the Metagenome Sequencing
3.3. Correlation Analysis
4. Discussion
5. Conclusions
Supplementary Materials
Author Contributions
Funding
Institutional Review Board Statement
Informed Consent Statement
Data Availability Statement
Conflicts of Interest
References
- Hou, K.; Wu, Z.-X.; Chen, X.-Y.; Wang, J.-Q.; Zhang, D.; Xiao, C.; Zhu, D.; Koya, J.B.; Wei, L.; Li, J.; et al. Microbiota in Health and Diseases. Signal Transduct. Target. Ther. 2022, 7, 135. [Google Scholar] [CrossRef]
- Van Hul, M.; Cani, P.D. The Gut Microbiota in Obesity and Weight Management: Microbes as Friends or Foe? Nat. Rev. Endocrinol. 2023, 19, 258–271. [Google Scholar] [CrossRef] [PubMed]
- Muscogiuri, G.; Cantone, E.; Cassarano, S.; Tuccinardi, D.; Barrea, L.; Savastano, S.; Colao, A. Gut Microbiota: A New Path to Treat Obesity. Int. J. Obes. Suppl. 2019, 9, 10–19. [Google Scholar] [CrossRef] [PubMed]
- Baltaci, D.; Kutlucan, A.; Turker, Y.; Yilmaz, A.; Karacam, S.; Deler, H.; Ucgun, T.; Kara, I.H. Association of Vitamin B12 with Obesity, Overweight, Insulin Resistance and Metabolic Syndrome, and Body Fat Composition; Primary Care-Based Study. Med. Glas. 2013, 10, 203–210. [Google Scholar]
- Sun, Y.; Sun, M.; Liu, B.; Du, Y.; Rong, S.; Xu, G.; Snetselaar, L.G.; Bao, W. Inverse Association Between Serum Vitamin B12 Concentration and Obesity among Adults in the United States. Front. Endocrinol. 2019, 10, 414. [Google Scholar] [CrossRef] [PubMed]
- Boachie, J.; Adaikalakoteswari, A.; Samavat, J.; Saravanan, P. Low Vitamin B12 and Lipid Metabolism: Evidence from Pre-Clinical and Clinical Studies. Nutrients 2020, 12, 1925. [Google Scholar] [CrossRef] [PubMed]
- Demirtas, M.S.; Kilicaslan, C.; Erdal, H. Evaluation of Vitamin B12 Levels among Severe Obese and Obese Adolescents. J. Investig. Med. 2024, 72, 319–325. [Google Scholar] [CrossRef] [PubMed]
- Ghosh, S.; Sinha, J.K.; Putcha, U.K.; Raghunath, M. Severe but Not Moderate Vitamin B12 Deficiency Impairs Lipid Profile, Induces Adiposity, and Leads to Adverse Gestational Outcome in Female C57BL/6 Mice. Front. Nutr. 2016, 3, 1. [Google Scholar] [CrossRef] [PubMed]
- Koplay, M.; Gulcan, E.; Ozkan, F. Association between Serum Vitamin B12 Levels and the Degree of Steatosis in Patients with Nonalcoholic Fatty Liver Disease. J. Investig. Med. 2011, 59, 1137–1140. [Google Scholar] [CrossRef]
- Boachie, J.; Adaikalakoteswari, A.; Gázquez, A.; Zammit, V.; Larqué, E.; Saravanan, P. Vitamin B12 Induces Hepatic Fatty Infiltration through Altered Fatty Acid Metabolism. Cell. Physiol. Biochem. 2021, 55, 241–255. [Google Scholar] [CrossRef]
- Polter, D.E.; Boyle, J.D.; Miller, L.G.; Finegold, S.M. Anaerobic Bacteria as Cause of the Blind Loop Syndrome. Gastroenterology 1968, 54, 1148–1154. [Google Scholar] [CrossRef] [PubMed]
- Gille, D.; Schmid, A. Vitamin B12 in Meat and Dairy Products. Nutr. Rev. 2015, 73, 106–115. [Google Scholar] [CrossRef]
- Kundra, P.; Geirnaert, A.; Pugin, B.; Morales Martinez, P.; Lacroix, C.; Greppi, A. Healthy Adult Gut Microbiota Sustains Its Own Vitamin B12 Requirement in an in Vitro Batch Fermentation Model. Front. Nutr. 2022, 9, 155. [Google Scholar] [CrossRef]
- Juodeikis, R.; Jones, E.; Deery, E.; Beal, D.M.; Stentz, R.; Kräutler, B.; Carding, S.R.; Warren, M.J. Nutrient Smuggling: Commensal Gut Bacteria-derived Extracellular Vesicles Scavenge Vitamin B12 and Related Cobamides for Microbe and Host Acquisition. J. Extracell. Biol. 2022, 1, e61. [Google Scholar] [CrossRef]
- Guetterman, H.M.; Huey, S.L.; Knight, R.; Fox, A.M.; Mehta, S.; Finkelstein, J.L. Vitamin B-12 and the Gastrointestinal Microbiome: A Systematic Review. Adv. Nutr. 2022, 13, 530–558. [Google Scholar] [CrossRef] [PubMed]
- Bolyen, E.; Rideout, J.R.; Dillon, M.R.; Bokulich, N.A.; Abnet, C.C.; Al-Ghalith, G.A.; Alexander, H.; Alm, E.J.; Arumugam, M.; Asnicar, F.; et al. Reproducible, Interactive, Scalable and Extensible Microbiome Data Science Using QIIME 2. Nat. Biotechnol. 2019, 37, 852–857. [Google Scholar] [CrossRef] [PubMed]
- Douglas, G.M.; Maffei, V.J.; Zaneveld, J.R.; Yurgel, S.N.; Brown, J.R.; Taylor, C.M.; Huttenhower, C.; Langille, M.G.I. PICRUSt2 for Prediction of Metagenome Functions. Nat. Biotechnol. 2020, 38, 685–688. [Google Scholar] [CrossRef]
- Wang, C.-Y.; Liao, J.K. A Mouse Model of Diet-Induced Obesity and Insulin Resistance. Methods Mol. Biol. 2012, 821, 421–433. [Google Scholar]
- Dong, T.S.; Guan, M.; Mayer, E.A.; Stains, J.; Liu, C.; Vora, P.; Jacobs, J.P.; Lagishetty, V.; Chang, L.; Barry, R.L.; et al. Obesity Is Associated with a Distinct Brain-Gut Microbiome Signature That Connects Prevotella and Bacteroides to the Brain’s Reward Center. Gut Microbes 2022, 14, 2051999. [Google Scholar] [CrossRef]
- Al-Musharaf, S.; Aljuraiban, G.S.; Al-Ajllan, L.; Al-Khaldi, N.; Aljazairy, E.A.; Hussain, S.D.; Alnaami, A.M.; Sabico, S.; Al-Daghri, N. Vitamin B12 Status and Gut Microbiota among Saudi Females with Obesity. Foods 2022, 11, 4007. [Google Scholar] [CrossRef]
- Halczuk, K.; Kaźmierczak-Barańska, J.; Karwowski, B.T.; Karmańska, A.; Cieślak, M. Vitamin B12—Multifaceted In Vivo Functions and In Vitro Applications. Nutrients 2023, 15, 2734. [Google Scholar] [CrossRef] [PubMed]
- Watanabe, F.; Bito, T. Vitamin B12 Sources and Microbial Interaction. Exp. Biol. Med. 2018, 243, 148–158. [Google Scholar] [CrossRef] [PubMed]
- Green, R.; Allen, L.H.; Bjørke-Monsen, A.-L.; Brito, A.; Guéant, J.-L.; Miller, J.W.; Molloy, A.M.; Nexo, E.; Stabler, S.; Toh, B.-H.; et al. Vitamin B12 Deficiency. Nat. Rev. Dis. Primers 2017, 3, 17040. [Google Scholar] [CrossRef] [PubMed]
- Green, R.; Miller, J.W. Vitamin B12 Deficiency. Vitam. Horm. 2022, 119, 405–439. [Google Scholar] [PubMed]
- Sharma, V.; Rodionov, D.A.; Leyn, S.A.; Tran, D.; Iablokov, S.N.; Ding, H.; Peterson, D.A.; Osterman, A.L.; Peterson, S.N. B-Vitamin Sharing Promotes Stability of Gut Microbial Communities. Front. Microbiol. 2019, 10, 1485. [Google Scholar] [CrossRef] [PubMed]
- Voland, L.; Le Roy, T.; Debédat, J.; Clément, K. Gut Microbiota and Vitamin Status in Persons with Obesity: A Key Interplay. Obes. Rev. 2022, 23, e13377. [Google Scholar] [CrossRef]
- Wang, B.; Chandrasekera, P.; Pippin, J. Leptin- and Leptin Receptor-Deficient Rodent Models: Relevance for Human Type 2 Diabetes. Curr. Diabetes Rev. 2014, 10, 131–145. [Google Scholar] [CrossRef]









| a. BL/HFD vs. DB/SD | b. BL/SD vs. DB/SD | c. BL/SD vs. BL/HFD | |||
|---|---|---|---|---|---|
| Bifidobacterium pseudolongum | ![]() | Bifidobacterium pseudolongum | ![]() | ||
| Bacteroides sp. | ![]() | Bacteroides sp. | ![]() | ||
| Parabacteroides distasonis | ![]() | Parabacteroides distasonis | ![]() | Parabacteroides distasonis | ![]() |
| Allobaculum sp. | ![]() | Allobaculum sp. | ![]() | ||
| Akkermansia muciniphila | ![]() | Akkermansia muciniphila | ![]() | ||
| Streptococcus sp. | ![]() | Streptococcus sp. | ![]() | ||
| Adlercreutzia sp. | ![]() | ||||
| Clostridium sp. | ![]() | Clostridium sp. | ![]() | Clostridium sp. | ![]() |
| Ureaplasma sp. | ![]() | ||||
| Anaeroplasma sp. | ![]() | Anaeroplasma sp. | ![]() | ||
| Bacteroides acidifaciens | ![]() | Bacteroides acidifaciens | ![]() | ||
| Anaerotruncus sp. | ![]() | ||||
| Ruminococcus sp. | ![]() | Ruminococcus sp. | ![]() | ||
| Prevotella sp. | ![]() | ||||
| Rikenella sp. | ![]() | Rikenella sp. | ![]() | ||
| AF12 sp. | ![]() | AF12 sp. | ![]() | ||
| Coprobacillus sp. | ![]() | Coprobacillus sp. | ![]() | ||
| Dorea sp. | ![]() | Dorea sp. | ![]() | ||
| Sutterella sp. | ![]() | Sutterella sp. | ![]() | ||
| Odoribacter sp. | ![]() | Odoribacter sp. | ![]() | ||
| [Ruminococcus] gnavus | ![]() | ||||
| Enterococcus sp. | ![]() | ||||
| Coprococcus sp. | ![]() | ||||
| Parabacteroides sp. | ![]() | ||||
| Pathways with Decreased Representation in db/db Mice Fed a Standard Chow Diet Compared to a Control Group (p < 0.01, q < 0.01) | Pathways with Decreased Representation in C57Bl6/spf Mice Fed a High-Fat Diet Compared to a Control Group (p < 0.001, q < 0.001) |
|---|---|
|
|
| Enzymes | a. SD vs. HFD | b. SD vs. DB | c. HFD vs. DB |
|---|---|---|---|
| Precorrin-3B synthase | |||
| Aquacobalamin reductase | |||
| Cob(II)yrinic acid a,c-diamide reductase | |||
| Cobalt-precorrin-6A reductase | |||
| Precorrin-6A reductase | |||
| Precorr in-2 dehydrogenase | |||
| Uroporphyrinogen-III C-methyltransferase | |||
| Precorrin-2 C(20)-methyltransferase | |||
| Precorrin-3B C(17)-methyltransferase | |||
| Precorrin-6B C(5,15)-methyltransferase (decarboxylating) | |||
| Precorrin-4 C(11)-methyltransferase | |||
| Cobalt-factor II C(20)-methyltransferase | |||
| Precorrin-6A synthase (deacetylating) | |||
| Cobalt-precorrin-5B (C(1))-methyltransferase | |||
| Cobalt-precorrin-6B (C(15))-methyltransferase (decarboxylating) | |||
| Cobalt-precorrin-4 methyltransferase | |||
| Cobalt-precorrin-7 (C(5))-methyltransferase | |||
| Nicotinate-nucleotide--dimethylbenzimidazole phosphoribosyltransferase | |||
| Cob(I)yrinic acid a,c-diamide adenosyltransferase | |||
| Adenosylcobinamide kinase | |||
| L-threonine kinase | |||
| Adenosylcobinamide-phosphate guanylyltransferase | |||
| Adenosylcobinamide-GDP ribazoletransferase | |||
| Adenosylcobalamin/alpha-ribazole phosphatase | |||
| Adenosylcobinamide hydrolase | |||
| Vitamin B12-transporting ATPase | |||
| Cobalt-precorrin 5A hydrolase | |||
| Threonine-phosphate decarboxylase | |||
| Sirohydrochlorin cobaltochelatase | |||
| Sirohydrochlorin ferrochelatase | |||
| Cobalt-precorrin-8 methylmutase | |||
| Precorrin-8X methylmutase | |||
| Adenosylcobinamide-phosphate synthase | |||
| Adenosylcobyric acid synthase (glutamine-hydrolyzing) | |||
| Cobyrinate a,c-diamide synthase (glutamine-hydrolyzing) | |||
| Hydrogenobyrinic acid a,c-diamide synthase (glutamine-hydrolyzing) | |||
| Cobaltochelatase |
| g__Bacteroides | g__Muribaculaceae | g__Muribaculaceae | g__Faecalibaculum | s__Enterococcus_sp. | s__Lactobacillus_plantarum | f__Lachnospiraceae | f__Lachnospiraceae | g__Butyricicoccus | g__Colidextribacter | g__Colidextribacter | g__Colidextribacter | f__Oscillospiraceae | g__Akkermansia | g__Akkermansia | |
|---|---|---|---|---|---|---|---|---|---|---|---|---|---|---|---|
| Adenosylcobalamin/alpha-ribazole phosphatase | −0.92 | 0.97 | 0.55 | −0.87 | 0.48 | 0.67 | 0.83 | −0.82 | 0.70 | −0.90 | −0.63 | −0.83 | −0.90 | −0.89 | −0.90 |
| Adenosylcobinamide kinase | −0.78 | 0.97 | 0.55 | −0.83 | 0.63 | 0.66 | 0.83 | −0.68 | 0.81 | −0.82 | −0.77 | −0.72 | −0.86 | −0.85 | −0.86 |
| Adenosylcobinamide-GDP ribazoletransferase | −0.77 | 0.97 | 0.60 | −0.87 | 0.65 | 0.70 | 0.85 | −0.70 | 0.70 | −0.82 | −0.82 | −0.75 | −0.86 | −0.85 | −0.86 |
| Adenosylcobinamide-phosphate guanylyltransferase | −0.78 | 0.97 | 0.55 | −0.83 | 0.63 | 0.66 | 0.83 | −0.68 | 0.81 | −0.82 | −0.77 | −0.72 | −0.86 | −0.85 | −0.86 |
| Adenosylcobinamide-phosphate synthase | −0.80 | 0.97 | 0.67 | −0.85 | 0.70 | 0.68 | 0.90 | −0.73 | 0.70 | −0.82 | −0.78 | −0.80 | −0.83 | −0.83 | −0.83 |
| Adenosylcobyric acid synthase (glutamine-hydrolyzing) | −0.87 | 0.97 | 0.63 | −0.77 | 0.70 | 0.57 | 0.90 | −0.73 | 0.81 | −0.82 | −0.65 | −0.78 | −0.83 | −0.83 | −0.83 |
| Cob(I)yrinic acid a,c-diamide adenosyltransferase | −0.82 | 0.97 | 0.25 | −0.62 | 0.34 | 0.32 | 0.61 | −0.62 | 0.59 | −0.90 | −0.28 | −0.63 | −0.90 | −0.89 | −0.90 |
| Cobalt-factor II C(20)-methyltransferase | −0.68 | 0.97 | 0.77 | −0.73 | 0.85 | 0.69 | 0.90 | −0.65 | 0.67 | −0.79 | −0.88 | −0.72 | −0.71 | −0.74 | −0.71 |
| Cobalt-precorrin 5A hydrolase | −0.58 | 0.82 | 0.72 | −0.68 | 0.82 | 0.72 | 0.78 | −0.55 | 0.74 | −0.75 | −0.93 | −0.58 | −0.71 | −0.74 | −0.71 |
| Cobalt-precorrin-4 methyltransferase | −0.58 | 0.82 | 0.72 | −0.68 | 0.82 | 0.72 | 0.78 | −0.55 | 0.74 | −0.75 | −0.93 | −0.58 | −0.71 | −0.74 | −0.71 |
| Cobalt-precorrin-5B (C(1))-methyltransferase | −0.72 | 0.97 | 0.68 | −0.82 | 0.79 | 0.72 | 0.92 | −0.68 | 0.67 | −0.82 | −0.90 | −0.75 | −0.76 | −0.79 | −0.76 |
| Cobalt-precorrin-6A reductase | −0.68 | 0.82 | 0.48 | −0.93 | 0.21 | 0.80 | 0.63 | −0.75 | 0.34 | −0.79 | −0.72 | −0.77 | −0.83 | −0.80 | −0.83 |
| Cobalt-precorrin-6B (C(15))-methyltransferase (decarboxylating) | 0.60 | −0.05 | −0.17 | 0.67 | −0.12 | −0.51 | −0.57 | 0.50 | −0.81 | 0.60 | 0.55 | 0.45 | 0.64 | 0.67 | 0.64 |
| Cobalt-precorrin-8 methylmutase | −0.58 | 0.82 | 0.72 | −0.68 | 0.82 | 0.72 | 0.78 | −0.55 | 0.74 | −0.75 | −0.93 | −0.58 | −0.71 | −0.74 | −0.71 |
| Cobyrinate a,c-diamide synthase (glutamine-hydrolyzing) | −0.82 | 0.97 | 0.68 | −0.67 | 0.83 | 0.53 | 0.91 | −0.68 | 0.81 | −0.79 | −0.67 | −0.73 | −0.76 | −0.78 | −0.76 |
| Cobaltochelatase | 0.52 | −0.87 | −0.82 | 0.62 | −0.76 | −0.70 | −0.71 | 0.62 | −0.29 | 0.74 | 0.82 | 0.67 | 0.69 | 0.72 | 0.69 |
| Hydrogenobyrinic acid a,c-diamide synthase (glutamine-hydrolyzing) | −0.82 | 0.97 | 0.68 | −0.67 | 0.83 | 0.53 | 0.91 | −0.68 | 0.81 | −0.79 | −0.67 | −0.73 | −0.76 | −0.78 | −0.76 |
| Nicotinate-nucleotide--dimethylbenzimidazole phosphoribosyltransferase | −0.85 | 0.97 | 0.60 | −0.75 | 0.76 | 0.55 | 0.93 | −0.72 | 0.81 | −0.82 | −0.68 | −0.77 | −0.81 | −0.83 | −0.81 |
| Precorrin-2 C(20)-methyltransferase | −0.68 | 0.97 | 0.77 | −0.73 | 0.85 | 0.69 | 0.90 | −0.65 | 0.67 | −0.79 | −0.88 | −0.72 | −0.71 | −0.74 | −0.71 |
| Precorrin-2 dehydrogenase | −0.73 | 0.67 | 0.67 | −0.58 | 0.85 | 0.48 | 0.87 | −0.57 | 0.95 | −0.65 | −0.68 | −0.62 | −0.60 | −0.62 | −0.60 |
| Precorrin-3B C(17)-methyltransferase | −0.58 | 0.82 | 0.72 | −0.68 | 0.82 | 0.72 | 0.78 | −0.55 | 0.74 | −0.75 | −0.93 | −0.58 | −0.71 | −0.74 | −0.71 |
| Precorrin-3B synthase | −0.27 | 0.36 | −0.20 | −0.17 | −0.75 | 0.06 | −0.12 | −0.30 | −0.02 | −0.09 | 0.42 | −0.23 | −0.07 | −0.01 | −0.07 |
| Precorrin-4 C(11)-methyltransferase | −0.58 | 0.82 | 0.72 | −0.68 | 0.82 | 0.72 | 0.78 | −0.55 | 0.74 | −0.75 | −0.93 | −0.58 | −0.71 | −0.74 | −0.71 |
| Precorrin-6A reductase | −0.68 | 0.82 | 0.48 | −0.93 | 0.21 | 0.80 | 0.63 | −0.75 | 0.34 | −0.79 | −0.72 | −0.77 | −0.83 | −0.80 | −0.83 |
| Precorrin-6B C(5,15)-methyltransferase (decarboxylating) | −0.68 | 0.97 | 0.67 | −0.83 | 0.69 | 0.74 | 0.80 | −0.65 | 0.67 | −0.82 | −0.88 | −0.70 | −0.86 | −0.85 | −0.86 |
| Precorrin-8X methylmutase | −0.58 | 0.82 | 0.72 | −0.68 | 0.82 | 0.72 | 0.78 | −0.55 | 0.74 | −0.75 | −0.93 | −0.58 | −0.71 | −0.74 | −0.71 |
| Sirohydrochlorin cobaltochelatase | −0.57 | 0.67 | 0.78 | −0.62 | 0.90 | 0.61 | 0.79 | −0.50 | 0.81 | −0.65 | −0.87 | −0.57 | −0.64 | −0.66 | −0.64 |
| Sirohydrochlorin ferrochelatase | −0.73 | 0.67 | 0.67 | −0.58 | 0.85 | 0.48 | 0.87 | −0.57 | 0.95 | −0.65 | −0.68 | −0.62 | −0.60 | −0.62 | −0.60 |
| Threonine-phosphate decarboxylase | −0.88 | 0.97 | 0.73 | −0.68 | 0.70 | 0.59 | 0.90 | −0.78 | 0.81 | −0.82 | −0.62 | −0.82 | −0.71 | −0.73 | −0.71 |
| Uroporphyrinogen-III C-methyltransferase | −0.72 | 0.97 | 0.68 | −0.82 | 0.79 | 0.72 | 0.92 | −0.68 | 0.67 | −0.82 | −0.90 | −0.75 | −0.76 | −0.79 | −0.76 |
| s__Burkholderia_sp. | s__Muribacter_muris | s__Pseudomonas_sp. | f__Lachnospiraceae; g__uncultured; s__uncultured_bacterium | g__Colidextribacter; s__uncultured_bacterium | |
|---|---|---|---|---|---|
| Cobalt-precorrin-6A reductase | −0.43 | 0.65 | 0.33 | 0.84 | 0.75 |
| Precorrin-6A reductase | −0.43 | 0.65 | 0.33 | 0.84 | 0.75 |
| Precorrin-2 dehydrogenase | −0.77 | 0.88 | 0.11 | 0.23 | 0.79 |
| Uroporphyrinogen-III C-methyltransferase | −0.77 | 0.88 | 0.11 | 0.23 | 0.79 |
| Precorrin-2 C(20)-methyltransferase | −0.58 | 0.74 | 0.54 | 0.78 | 0.79 |
| Precorrin-3B C(17)-methyltransferase | −0.52 | 0.74 | 0.71 | 0.84 | 0.61 |
| Precorrin-6B C(5,15)-methyltransferase (decarboxylating) | −0.67 | 0.74 | 0.71 | 0.74 | 0.64 |
| Precorrin-4 C(11)-methyltransferase | −0.52 | 0.74 | 0.71 | 0.84 | 0.61 |
| Cobalt-factor II C(20)-methyltransferase | −0.58 | 0.74 | 0.54 | 0.78 | 0.79 |
| Precorrin-6A synthase (deacetylating) | −0.21 | 0.12 | −0.93 | −0.35 | 0.20 |
| Cobalt-precorrin-5B (C(1))-methyltransferase | −0.67 | 0.74 | 0.65 | 0.74 | 0.61 |
| Cobalt-precorrin-4 methyltransferase | −0.52 | 0.74 | 0.71 | 0.84 | 0.61 |
| Nicotinate-nucleotide--dimethylbenzimidazole phosphoribosyltransferase | −0.86 | 0.77 | 0.37 | 0.63 | 0.50 |
| Cob(I)yrinic acid a,c-diamide adenosyltransferase | −0.73 | 0.88 | 0.07 | 0.51 | 0.64 |
| Adenosylcobinamide kinase | −0.82 | 0.77 | 0.31 | 0.56 | 0.54 |
| Adenosylcobinamide-phosphate guanylyltransferase | −0.82 | 0.77 | 0.31 | 0.56 | 0.54 |
| Adenosylcobinamide-GDP ribazoletransferase | −0.86 | 0.77 | 0.37 | 0.63 | 0.50 |
| Cobalt-precorrin 5A hydrolase | −0.52 | 0.74 | 0.77 | 0.84 | 0.64 |
| Threonine-phosphate decarboxylase | −0.67 | 0.74 | 0.65 | 0.74 | 0.61 |
| Sirohydrochlorin cobaltochelatase | −0.52 | 0.74 | 0.71 | 0.84 | 0.61 |
| Sirohydrochlorin ferrochelatase | −0.77 | 0.88 | 0.17 | 0.23 | 0.82 |
| Cobalt-precorrin-8 methylmutase | −0.52 | 0.74 | 0.71 | 0.84 | 0.61 |
| Precorrin-8X methylmutase | −0.52 | 0.74 | 0.71 | 0.84 | 0.61 |
| Adenosylcobinamide-phosphate synthase | −0.67 | 0.74 | 0.65 | 0.74 | 0.61 |
| Adenosylcobyric acid synthase (glutamine-hydrolyzing) | −0.67 | 0.74 | 0.65 | 0.74 | 0.61 |
| Cobyrinate a,c-diamide synthase (glutamine-hydrolyzing) | −0.52 | 0.74 | 0.71 | 0.84 | 0.61 |
| Hydrogenobyrinic acid a,c-diamide synthase (glutamine-hydrolyzing) | −0.52 | 0.74 | 0.71 | 0.84 | 0.61 |
| Cobaltochelatase | 0.09 | 0.12 | −0.85 | −0.20 | −0.07 |
Disclaimer/Publisher’s Note: The statements, opinions and data contained in all publications are solely those of the individual author(s) and contributor(s) and not of MDPI and/or the editor(s). MDPI and/or the editor(s) disclaim responsibility for any injury to people or property resulting from any ideas, methods, instructions or products referred to in the content. |
© 2024 by the authors. Licensee MDPI, Basel, Switzerland. This article is an open access article distributed under the terms and conditions of the Creative Commons Attribution (CC BY) license (https://creativecommons.org/licenses/by/4.0/).
Share and Cite
Zabolotneva, A.A.; Kolesnikova, I.M.; Vasiliev, I.Y.; Grigoryeva, T.V.; Roumiantsev, S.A.; Shestopalov, A.V. The Obesogenic Gut Microbiota as a Crucial Factor Defining the Depletion of Predicted Enzyme Abundance for Vitamin B12 Synthesis in the Mouse Intestine. Biomedicines 2024, 12, 1280. https://doi.org/10.3390/biomedicines12061280
Zabolotneva AA, Kolesnikova IM, Vasiliev IY, Grigoryeva TV, Roumiantsev SA, Shestopalov AV. The Obesogenic Gut Microbiota as a Crucial Factor Defining the Depletion of Predicted Enzyme Abundance for Vitamin B12 Synthesis in the Mouse Intestine. Biomedicines. 2024; 12(6):1280. https://doi.org/10.3390/biomedicines12061280
Chicago/Turabian StyleZabolotneva, Anastasia A., Irina M. Kolesnikova, Ilya Yu. Vasiliev, Tatiana V. Grigoryeva, Sergei A. Roumiantsev, and Aleksandr V. Shestopalov. 2024. "The Obesogenic Gut Microbiota as a Crucial Factor Defining the Depletion of Predicted Enzyme Abundance for Vitamin B12 Synthesis in the Mouse Intestine" Biomedicines 12, no. 6: 1280. https://doi.org/10.3390/biomedicines12061280
APA StyleZabolotneva, A. A., Kolesnikova, I. M., Vasiliev, I. Y., Grigoryeva, T. V., Roumiantsev, S. A., & Shestopalov, A. V. (2024). The Obesogenic Gut Microbiota as a Crucial Factor Defining the Depletion of Predicted Enzyme Abundance for Vitamin B12 Synthesis in the Mouse Intestine. Biomedicines, 12(6), 1280. https://doi.org/10.3390/biomedicines12061280



