Assessing the Effectiveness of Eslicarbazepine Acetate in Reducing Audiogenic Reflex Seizures in the GASH/Sal Model of Epilepsy
Abstract
1. Introduction
2. Materials and Methods
2.1. Animals
2.2. Ethics Statement
2.3. Experimental Desgin
2.4. Acoustic Stimuli
2.5. Neuroethological Analysis
2.6. Open-Field Tests
2.7. Hematological and Biochemical Liver Profiles
2.8. Analysis of Drug Concentration in Blood
2.9. Statistical Analysis
3. Results
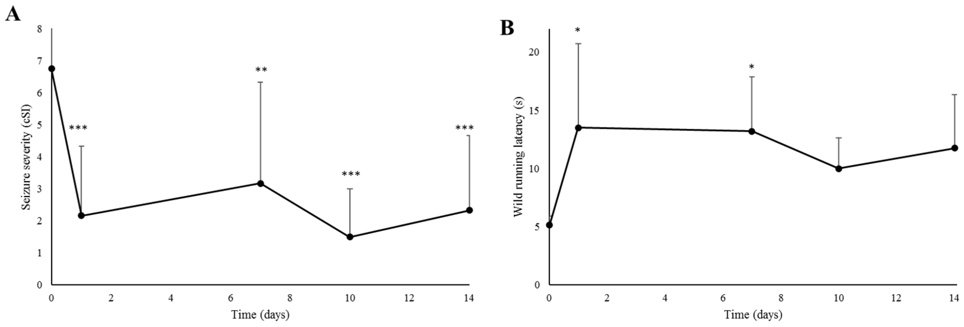
3.1. Effects of ESL on Seizures
3.2. Effects of ESL on Behavior
3.3. Evaluation of Overall State
3.4. ESL Levels in Blood
4. Discussion
5. Conclusions
Author Contributions
Funding
Institutional Review Board Statement
Informed Consent Statement
Data Availability Statement
Conflicts of Interest
References
- Fisher, R.S.; Acevedo, C.; Arzimanoglou, A.; Bogacz, A.; Cross, J.H.; Elger, C.E.; Engel, J., Jr.; Forsgren, L.; French, J.A.; Glynn, M.; et al. ILAE Official Report: A practical clinical definition of epilepsy. Epilepsia 2014, 55, 475–482. [Google Scholar] [CrossRef]
- Fisher, R.S.; Cross, J.H.; French, J.A.; Higurashi, N.; Hirsch, E.; Jansen, F.E.; Lagae, L.; Moshé, S.L.; Peltola, J.; Roulet Perez, E.; et al. Operational classification of seizure types by the International League Against Epilepsy: Position Paper of the ILAE Commission for Classification and Terminology. Epilepsia 2017, 58, 522–530. [Google Scholar] [CrossRef] [PubMed]
- Falco-Walter, J. Epilepsy-Definition, Classification, Pathophysiology, and Epidemiology. Semin. Neurol. 2020, 40, 617–623. [Google Scholar] [CrossRef] [PubMed]
- Kwan, P.; Arzimanoglou, A.; Berg, A.T.; Brodie, M.J.; Allen Hauser, W.; Mathern, G.; Moshé, S.L.; Perucca, E.; Wiebe, S.; French, J. Definition of drug resistant epilepsy: Consensus proposal by the ad hoc Task Force of the ILAE Commission on Therapeutic Strategies. Epilepsia 2010, 51, 1069–1077. [Google Scholar] [CrossRef] [PubMed]
- Chen, Z.; Brodie, M.J.; Liew, D.; Kwan, P. Treatment Outcomes in Patients With Newly Diagnosed Epilepsy Treated With Established and New Antiepileptic Drugs: A 30-Year Longitudinal Cohort Study. JAMA Neurol. 2018, 75, 279–286. [Google Scholar] [CrossRef] [PubMed]
- Löscher, W.; Klein, P. The feast and famine: Epilepsy treatment and treatment gaps in early 21st century. Neuropharmacology 2020, 170, 108055. [Google Scholar] [CrossRef]
- LaRoche, S.M.; Helmers, S.L. The new antiepileptic drugs: Scientific review. JAMA 2004, 291, 605–614. [Google Scholar] [CrossRef] [PubMed]
- Kanner, A.M.; Ashman, E.; Gloss, D.; Harden, C.; Bourgeois, B.; Bautista, J.F.; Abou-Khalil, B.; Burakgazi-Dalkilic, E.; Llanas Park, E.; Stern, J.; et al. Practice guideline update summary: Efficacy and tolerability of the new antiepileptic drugs I: Treatment of new-onset epilepsy: Report of the Guideline Development, Dissemination, and Implementation Subcommittee of the American Academy of Neurology and the American Epilepsy Society. Neurology 2018, 91, 74–81. [Google Scholar] [PubMed]
- Tang, F.; Hartz, A.M.S.; Bauer, B. Drug-resistant epilepsy: Multiple hypotheses, few answers. Front. Neurol. 2017, 8, 301. [Google Scholar] [CrossRef]
- Benes, J.; Parada, A.; Figueiredo, A.A.; Alves, P.C.; Freitas, A.P.; Learmonth, D.A.; Cunha, R.A.; Garrett, J.; Soares-da-Silva, P. Anticonvulsant and sodium channel-blocking properties of novel 10,11-dihydro-5H-dibenz[b,f]azepine-5-carboxamide derivatives. J. Med. Chem. 1999, 42, 2582–2587. [Google Scholar] [CrossRef]
- Rocamora, R. A review of the efficacy and safety of eslicarbazepine acetate in the management of partial-onset seizures. Ther. Adv. Neurol. Disord. 2015, 8, 178–186. [Google Scholar] [CrossRef] [PubMed]
- Veggiotti, P.; Józwiak, S.; Kirkham, F.; Moreira, J.; Pereira, A.; Ikedo, F.; Gama, H. Long-term therapeutic effect of eslicarbazepine acetate in children: An open-label extension of a cognition study in children aged 6–16 years. Epilepsy Behav. 2022, 127, 108515. [Google Scholar] [CrossRef] [PubMed]
- Ben-Menachem, E.; Gabbai, A.A.; Hufnagel, A.; Maia, J.; Almeida, L.; Soares-da-Silva, P. Eslicarbazepine acetate as adjunctive therapy in adult patients with partial epilepsy. Epilepsy Res. 2010, 89, 278–285. [Google Scholar] [CrossRef] [PubMed]
- Hixson, J.; Gidal, B.; Pikalov, A.; Zhang, Y.; Mehta, D.; Blum, D.; Cantu, D.; Grinnell, T.; Study 701 Investigators. Efficacy and safety of eslicarbazepine acetate as a first or later adjunctive therapy in patients with focal seizures. Epilepsy Res. 2021, 171, 106561. [Google Scholar] [CrossRef]
- Holtkamp, M.; Delanty, N.; Sales, F.; Serratosa, J.; McMurray, R.; Villanueva, V. Eslicarbazepine acetate as monotherapy in clinical practice: Outcomes from Euro-Esli. Acta Neurol. Scand. 2019, 139, 49–63. [Google Scholar] [CrossRef] [PubMed]
- Sperling, M.R.; Abou-Khalil, B.; Harvey, J.; Rogin, J.B.; Biraben, A.; Galimberti, C.A.; Kowacs, P.A.; Hong, S.B.; Cheng, H.; Blum, D.; et al. Eslicarbazepine acetate as adjunctive therapy in patients with uncontrolled partial-onset seizures: Results of a phase III, double-blind, randomized, placebo-controlled trial. Epilepsia 2015, 56, 244–253. [Google Scholar] [CrossRef] [PubMed]
- Aledo-Serrano, A.; Gil-Nagel, A. Anticonvulsant Agents: Carbamazepine, Oxcarbazepine, and Eslicarbazepine Acetate. In NeuroPsychopharmacotherapy; Springer: Cham, Switzerland, 2020. [Google Scholar]
- Lawthom, C.; Peltola, J.; McMurray, R.; Dodd, E.; Villanueva, V. Dibenzazepine Agents in Epilepsy: How Does Eslicarbazepine Acetate Differ? Neurol. Ther. 2018, 7, 195–206. [Google Scholar] [CrossRef] [PubMed]
- Galiana, G.L.; Gauthier, A.C.; Mattson, R.H. Eslicarbazepine Acetate: A New Improvement on a Classic Drug Family for the Treatment of Partial-Onset Seizures. Drugs R D 2017, 17, 329–339. [Google Scholar] [CrossRef] [PubMed]
- Hainzl, D.; Parada, A.; Soares-da-Silva, P. Metabolism of two new antiepileptic drugs and their principal metabolites S(+)- and R(-)-10,11-dihydro-10-hydroxy carbamazepine. Epilepsy Res. 2001, 44, 197–206. [Google Scholar] [CrossRef]
- Elger, C.; Bialer, M.; Falcão, A.; Vaz-da-Silva, M.; Nunes, T.; Almeida, L.; Soares-da-Silva, P. Pharmacokinetics and tolerability of eslicarbazepine acetate and oxcarbazepine at steady state in healthy volunteers. Epilepsia 2013, 54, 1453–1461. [Google Scholar] [CrossRef]
- Almeida, L.; Soares-da-Silva, P. Eslicarbazepine acetate (BIA 2-093). Neurotherapeutics 2007, 4, 88–96. [Google Scholar] [CrossRef] [PubMed]
- Soares-da-Silva, P.; Pires, N.; Bonifácio, M.J.; Loureiro, A.I.; Palma, N.; Wright, L.C. Eslicarbazepine acetate for the treatment of focal epilepsy: An update on its proposed mechanisms of action. Pharmacol. Res. Perspect 2015, 3, e00124. [Google Scholar] [CrossRef] [PubMed]
- Kaplan, D.I.; Isom, L.L.; Petrou, S. Role of Sodium Channels in Epilepsy. Cold Spring Harb Perspect. Med. 2016, 6, a022814. [Google Scholar] [CrossRef] [PubMed]
- Hebeisen, S.; Pires, N.; Loureiro, A.I.; Bonifácio, M.J.; Palma, N.; Whyment, A.; Spanswick, D.; Soares-da-Silva, P. Eslicarbazepine and the enhancement of slow inactivation of voltage-gated sodium channels: A comparison with carbamazepine, oxcarbazepine and lacosamide. Neuropharmacology 2015, 89, 122–135. [Google Scholar] [CrossRef]
- Muñoz, L.J.; Carballosa-Gautam, M.M.; Yanowsky, K.; García-Atarés, N.; López, D.E. The genetic audiogenic seizure hamster from Salamanca: The GASH:Sal. Epilepsy Behav. 2017, 71, 181–192. [Google Scholar] [CrossRef] [PubMed]
- Barrera-Bailón, B.; Oliveira, J.A.C.; López, D.E.; Muñoz, L.J.; Garcia-Cairasco, N.; Sancho, C. Pharmacological and neuroethological studies of three antiepileptic drugs in the Genetic Audiogenic Seizure Hamster (GASH: Sal). Epilepsy Behav. 2013, 28, 413–425. [Google Scholar] [CrossRef][Green Version]
- Barrera-Bailón, B.; Oliveira, J.A.C.; López, D.E.; Muñoz, L.J.; Garcia-Cairasco, N.; Sancho, C. Pharmacological and neuroethological study of the acute and chronic effects of lamotrigine in the genetic audiogenic seizure hamster (GASH:Sal). Epilepsy Behav. 2017, 71, 207–217. [Google Scholar] [CrossRef]
- Cabral-Pereira, G.; Sánchez-Benito, D.; Díaz-Rodríguez, S.M.; Gonçalves, J.; Sancho, C.; Castellano, O.; Muñoz, L.J.; López, D.E.; Gómez-Nieto, R. Behavioral and Molecular Effects Induced by Cannabidiol and Valproate Administration in the GASH/Sal Model of Acute Audiogenic Seizures. Front. Behav. Neurosci. 2021, 14, 612624. [Google Scholar] [CrossRef] [PubMed]
- Gonçalves-Sánchez, J.; Sancho, C.; López, D.E.; Castellano, O.; García-Cenador, B.; Servilha-Menezes, G.; Corchado, J.M.; García-Cairasco, N.; Gonçalves-Estella, J.M. Effect of Vagus Nerve Stimulation on the GASH/Sal Audiogenic-Seizure-Prone Hamster. Int. J. Mol. Sci. 2023, 25, 91. [Google Scholar] [CrossRef]
- Llanos, M.A.; Enrique, N.; Esteban-López, V.; Scioli-Montoto, S.; Sánchez-Benito, D.; Ruiz, M.E.; Milesi, V.; López, D.E.; Talevi, A.; Martín, P.; et al. A Combined Ligand- and Structure-Based Virtual Screening To Identify Novel NaV1.2 Blockers: In Vitro Patch Clamp Validation and In Vivo Anticonvulsant Activity. J. Chem. Inf. Model 2023, 63, 7083–7096. [Google Scholar] [CrossRef]
- Pires, N.; Palma, N.; Loureiro, A.I.; Bonifacio, M.J.; Wright, L.C.; Soares-da-Silva, S.P. Effects of eslicarbazepine acetate, eslicarbazepine, carbamazepine and oxcarbazepine in the maximal electroconvulsive shock test in the mice. Epilepsia 2011, 52 (Suppl. 6), 118. [Google Scholar]
- Potschka, H.; Soerensen, J.; Pekcec, A.; Loureiro, A.; Soares-da-Silva, P. Effect of eslicarbazepine acetate in the corneal kindling progression and the amygdala kindling model of temporal lobe epilepsy. Epilepsy Res. 2014, 108, 212–222. [Google Scholar] [CrossRef] [PubMed]
- Sierra-Paredes, G.; Núñez-Rodriguez, A.; Vázquez-López, A.; Oreiro-García, T.; Sierra-Marcuño, G. Anticonvulsant effect of eslicarbazepine acetate (BIA 2-093) on seizures induced by microperfusion of picrotoxin in the hippocampus of freely moving rats. Epilepsy Res. 2006, 72, 140–146. [Google Scholar] [CrossRef] [PubMed]
- Okudan, Z.V.; Özkara, Ç. Reflex epilepsy: Triggers and management strategies. Neuropsychiatr. Dis. Treat. 2018, 14, 327–337. [Google Scholar] [CrossRef] [PubMed]
- Hanif, S.; Musick, S.T. Reflex Epilepsy. Aging Dis. 2021, 12, 1010–1020. [Google Scholar] [CrossRef] [PubMed]
- Kandratavicius, L.; Balista, P.A.; Lopes-Aguiar, C.; Ruggiero, R.N.; Umeoka, E.H.; Garcia-Cairasco, N.; Bueno-Junior, L.S.; Leite, J.P. Animal models of epilepsy: Use and limitations. Neuropsychiatr. Dis. Treat. 2014, 10, 1693–1705. [Google Scholar] [CrossRef] [PubMed]
- Garcia-Cairasco, N.; Wakamatsu, H.; Oliveira, J.A.C.; Gomes, E.L.T.; Del Bel, E.A.; Mello, L.E.A.M. Neuroethological and morphological (Neo-Timm staining) correlates of limbic recruitment during the development of audiogenic kindling in seizure susceptible Wistar rats. Epilepsy Res. 1996, 26, 177–192. [Google Scholar] [CrossRef] [PubMed]
- Garcia-Cairasco, N.; Rossetti, F.; Oliveira, J.A.; de AFurtado, M. Neuroethological study of status epilepticus induced by systemic pilocarpine in Wistar audiogenic rats (WAR strain). Epilepsy Behav. 2004, 5, 455–463. [Google Scholar] [CrossRef] [PubMed]
- Picazo, M.G.; Benito, P.J.; García-Olmo, D.C. Efficiency and safety of a technique for drawing blood from the hamster cranial vena cava. Lab. Anim. 2009, 38, 211–216. [Google Scholar] [CrossRef]
- Martín, J.; Tur Marí, J.A.; Orellana Muriana, J.M. Ciencia y Tecnología del Animal de Laboratorio; Editorial Universidad de Alcalá, Alcalá de Henares, Madrid, Spain: 2008.
- Dal-Cól, M.L.C.; Terra-Bustamante, V.C.; Velasco, T.R.; Oliveira, J.A.C.; Sakamoto, A.C.; Garcia-Cairasco, N. Neuroethology application for the study of human temporal lobe epilepsy: From basic to applied sciences. Epilepsy Behav. 2006, 8, 149–160. [Google Scholar] [CrossRef]
- Sierra-Paredes, G.; Loureiro, A.I.; Wright, L.C.; Sierra-Marcuño, G.; Soares-da-Silva, P. Effects of eslicarbazepine acetate on acute and chronic latrunculin A-induced seizures and extracellular amino acid levels in the mouse hippocampus. BMC Neurosci. 2014, 15, 134. [Google Scholar] [CrossRef] [PubMed]
- Doeser, A.; Dickhof, G.; Reitze, M.; Uebachs, M.; Schaub, C.; Pires, N.M.; Bonifácio, M.J.; Soares-da-Silva, P.; Beck, H. Targeting pharmacoresistant epilepsy and epileptogenesis with a dual-purpose antiepileptic drug. Brain 2015, 138 Pt 2, 371–387. [Google Scholar] [CrossRef] [PubMed]
- Monni, L.; Kraus, L.; Dipper-Wawra, M.; Soares-da-Silva, P.; Maier, N.; Schmitz, D.; Holtkamp, M.; Fidzinski, P. In vitro and in vivo anti-epileptic efficacy of eslicarbazepine acetate in a mouse model of KCNQ2-related self-limited epilepsy. Br. J. Pharmacol. 2022, 179, 84–102. [Google Scholar] [CrossRef] [PubMed]
- Gil-Nagel, A.; Elger, C.; Ben-Menachem, E.; Halász, P.; Lopes-Lima, J.; Gabbai, A.A.; Nunes, T.; Falcão, A.; Almeida, L.; Soares-da-Silva, P. Efficacy and safety of eslicarbazepine acetate as add-on treatment in patients with focal-onset seizures: Integrated analysis of pooled data from double-blind phase III clinical studies. Epilepsia 2013, 54, 98–107. [Google Scholar] [CrossRef] [PubMed]
- Bialer, M.; Soares-Da-Silva, P. Pharmacokinetics and drug interactions of eslicarbazepine acetate. Epilepsia 2012, 53, 935–946. [Google Scholar] [CrossRef] [PubMed]
- Almeida, L.; Minciu, I.; Nunes, T.; Butoianu, N.; Falcão, A.; Magureanu, S.A.; Soares-da-Silva, P. Pharmacokinetics, efficacy, and tolerability of eslicarbazepine acetate in children and adolescents with epilepsy. J. Clin. Pharmacol. 2008, 48, 966–977. [Google Scholar] [CrossRef] [PubMed]
- Chalasani, N.; Bonkovsky, H.L.; Stine, J.G.; Gu, J.; Barnhart, H.; Jacobsen, E.; Björnsson, E.; Fontana, R.J.; Kleiner, D.E.; Hoofnagle, J.H.; et al. Clinical characteristics of antiepileptic-induced liver injury in patients from the DILIN prospective study. J. Hepatol. 2022, 76, 832–840. [Google Scholar] [CrossRef] [PubMed]
- Biton, V.; Rogin, J.B.; Krauss, G.; Abou-Khalil, B.; Rocha, J.F.; Moreira, J.; Gama, H.; Trinka, E.; Elger, C.E.; Cheng, H.; et al. Adjunctive eslicarbazepine acetate: A pooled analysis of three phase III trials. Epilepsy Behav. 2017, 72, 127–134. [Google Scholar] [CrossRef] [PubMed]
- Metcalf, C.S.; West, P.J.; Thomson, K.E.; Edwards, S.F.; Smith, M.D.; White, H.S.; Wilcox, K.S. Development and pharmacologic characterization of the rat 6 Hz model of partial seizures. Epilepsia 2017, 58, 1073–1084. [Google Scholar] [CrossRef]
- Metcalf, C.S.; Huff, J.; Thomson, K.E.; Johnson, K.; Edwards, S.F.; Wilcox, K.S. Evaluation of antiseizure drug efficacy and tolerability in the rat lamotrigine-resistant amygdala kindling model. Epilepsia Open 2019, 4, 452–463. [Google Scholar] [CrossRef]
- Zavala-Tecuapetla, C.; Manjarrez-Marmolejo, J.; Ramírez-Jarquín, J.O.; Rivera-Cerecedo, C.V. Eslicarbazepine, but Not Lamotrigine or Ranolazine, Shows Anticonvulsant Efficacy in Carbamazepine-Resistant Rats Developed by Window-Pentylenetetrazole Kindling. Brain Sci. 2022, 12, 629. [Google Scholar] [CrossRef] [PubMed]
- Alves, G.; Figueiredo, I.; Castel-Branco, M.; Lourenco, N.; Falcão, A.; Caramona, M.; Soares-da-Silva, P. Disposition of eslicarbazepine acetate in the mouse after oral administration. Fundam. Clin. Pharmacol. 2008, 22, 529–536. [Google Scholar] [CrossRef] [PubMed]
- Almeida, L.; Falcão, A.; Maia, J.; Mazur, D.; Gellert, M.; Soares-Da-Silva, P. Single-dose and steady-state pharmacokinetics of eslicarbazepine acetate (BIA 2-093) in healthy elderly and young subjects. J. Clin. Pharmacol. 2005, 45, 1062–1066. [Google Scholar] [CrossRef] [PubMed]
- Perucca, E.; Elger, C.; Halász, P.; Falcão, A.; Almeida, L.; Soares-da-Silva, P. Pharmacokinetics of eslicarbazepine acetate at steady-state in adults with partial-onset seizures. Epilepsy Res. 2011, 96, 132–139. [Google Scholar] [CrossRef] [PubMed]








| Seizure Behaviors | cSI |
|---|---|
| No seizures | 0 |
| One wild running | 1 |
| One wild running (running plus jumping plus atonic fall) | 2 |
| Two wild runnings | 3 |
| Tonic seizure (opisthotonus) | 4 |
| Tonic seizures plus generalized clonic seizures | 5 |
| Head ventral flexion plus cSI5 | 6 |
| Forelimb extension plus cSI6 a | 7 |
| Hind limb extension plus cSI7 a | 8 |
Disclaimer/Publisher’s Note: The statements, opinions and data contained in all publications are solely those of the individual author(s) and contributor(s) and not of MDPI and/or the editor(s). MDPI and/or the editor(s) disclaim responsibility for any injury to people or property resulting from any ideas, methods, instructions or products referred to in the content. |
© 2024 by the authors. Licensee MDPI, Basel, Switzerland. This article is an open access article distributed under the terms and conditions of the Creative Commons Attribution (CC BY) license (https://creativecommons.org/licenses/by/4.0/).
Share and Cite
Gonçalves-Sánchez, J.; Ramírez-Santos, T.; López, D.E.; Gonçalves-Estella, J.M.; Sancho, C. Assessing the Effectiveness of Eslicarbazepine Acetate in Reducing Audiogenic Reflex Seizures in the GASH/Sal Model of Epilepsy. Biomedicines 2024, 12, 1121. https://doi.org/10.3390/biomedicines12051121
Gonçalves-Sánchez J, Ramírez-Santos T, López DE, Gonçalves-Estella JM, Sancho C. Assessing the Effectiveness of Eslicarbazepine Acetate in Reducing Audiogenic Reflex Seizures in the GASH/Sal Model of Epilepsy. Biomedicines. 2024; 12(5):1121. https://doi.org/10.3390/biomedicines12051121
Chicago/Turabian StyleGonçalves-Sánchez, Jaime, Thomas Ramírez-Santos, Dolores E. López, Jesús M. Gonçalves-Estella, and Consuelo Sancho. 2024. "Assessing the Effectiveness of Eslicarbazepine Acetate in Reducing Audiogenic Reflex Seizures in the GASH/Sal Model of Epilepsy" Biomedicines 12, no. 5: 1121. https://doi.org/10.3390/biomedicines12051121
APA StyleGonçalves-Sánchez, J., Ramírez-Santos, T., López, D. E., Gonçalves-Estella, J. M., & Sancho, C. (2024). Assessing the Effectiveness of Eslicarbazepine Acetate in Reducing Audiogenic Reflex Seizures in the GASH/Sal Model of Epilepsy. Biomedicines, 12(5), 1121. https://doi.org/10.3390/biomedicines12051121

