Unraveling the Serotonergic Mechanism of Stress-Related Anxiety: Focus on Co-Treatment with Resveratrol and Selective Serotonin Reuptake Inhibitors
Abstract
1. Introduction
2. Materials and Methods
2.1. Chronic Predator Stress Paradigm
2.2. Fox Urine Collection and Application
2.3. Drug Administration
2.4. Experimental Groups
- Control: Rats treated with vehicle only for 10 days (n = 12);
- PS: Rats exposed to chronic predator stress (n = 12);
- PS + paroxetine: Rats administered an effective dose of paroxetine via intraperitoneal injection one hour before the onset of predator stress (n = 12);
- PS + sertraline: Rats administered an effective dose of sertraline via intraperitoneal injection one hour before the onset of predator stress (n = 12);
- PS + RES: Rats administered an effective dose of resveratrol via intraperitoneal injection one hour before the onset of predator stress (n = 12);
- PS + paroxetine + RES: Rats administered effective doses of both paroxetine and resveratrol via intraperitoneal injection one hour before the onset of predator stress (n = 12);
- PS + sertraline + RES: Rats administered effective doses of both sertraline and resveratrol via intraperitoneal injection one hour before the onset of predator stress (n = 12).
2.5. Behavioral Testing
2.6. Measurement of Hippocampal Concentrations of Monoamines and Its Metabolites
2.7. Measurement of mRNAs Concentrations
2.7.1. RNA Isolation
2.7.2. cDNA Synthesis and Real-Time PCR
2.8. Data Analyses
3. Results
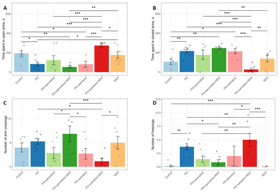
3.1. Effects of Resveratrol and SSRIs on Anxiety-like Behavior in the Elevated Plus Maze Test
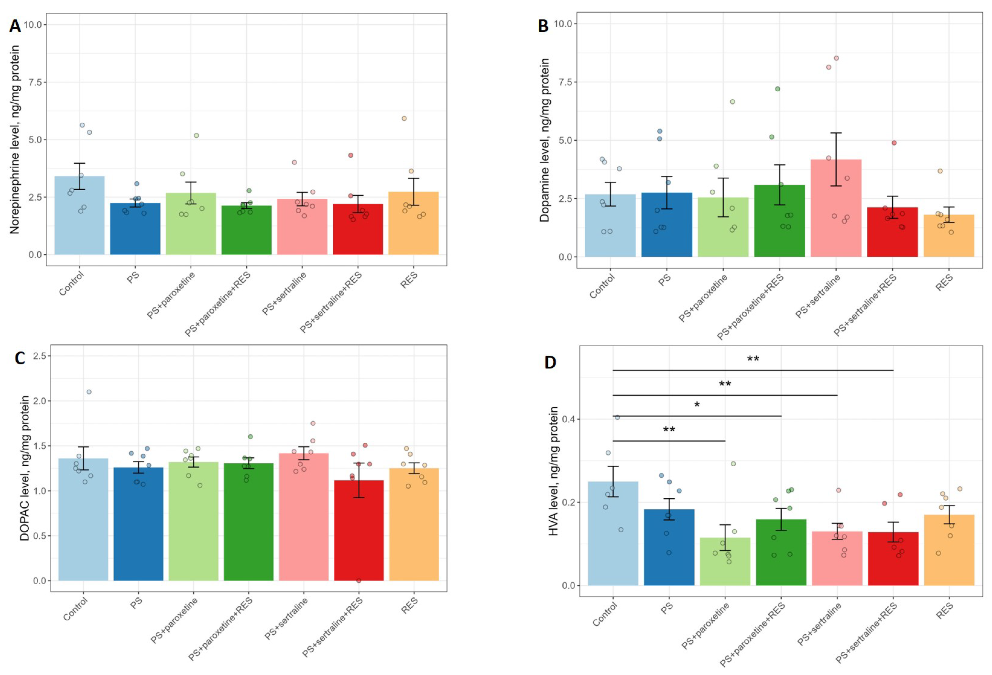
3.2. Impact of Resveratrol and SSRIs on Cathecholamines Metabolism in the Hippocampus of Predator-Stressed Rats
3.3. Impact of Resveratrol and SSRIs on Serotonin Metabolism in the Hippocampus of Predator-Stressed Rats
3.4. Effect of Resveratrol and SSRIs on Monoamine Oxidase and Catechol-O-Methyltransferase mRNA Expression in the Hippocampus of Predator-Stressed Rats
3.5. Effects of Resveratrol and SSRI Treatments on SERT and 5- Receptor mRNA Expression in the Hippocampus of Predator-Stressed Rats
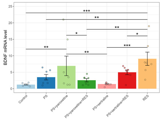
3.6. Influence of Resveratrol and SSRI Treatments on BDNF mRNA Expression in Predator-Stressed Rats
4. Discussion
5. Conclusions
Author Contributions
Funding
Institutional Review Board Statement
Informed Consent Statement
Data Availability Statement
Acknowledgments
Conflicts of Interest
References
- Durant, C.; Christmas, D.; Nutt, D. The Pharmacology of Anxiety. In Behavioral Neurobiology of Anxiety and Its Treatment; Springer: Berlin/Heidelberg, Germany, 2009; pp. 303–330. [Google Scholar] [CrossRef]
- Pêgo, J.M.; Sousa, J.C.; Almeida, O.; Sousa, N. Stress and the Neuroendocrinology of Anxiety Disorders. In Behavioral Neurobiology of Anxiety and Its Treatment; Springer: Berlin/Heidelberg, Germany, 2009; pp. 97–118. [Google Scholar] [CrossRef]
- Berger, M.; Gray, J.A.; Roth, B.L. The Expanded Biology of Serotonin. Annu. Rev. Med. 2009, 60, 355–366. [Google Scholar] [CrossRef] [PubMed]
- Deo, N.; Redpath, G. Serotonin Receptor and Transporter Endocytosis Is an Important Factor in the Cellular Basis of Depression and Anxiety. Front. Cell. Neurosci. 2022, 15, 804592. [Google Scholar] [CrossRef] [PubMed]
- Barnes, N.M.; Hales, T.G.; Lummis, S.C.; Peters, J.A. The 5-HT3 receptor—The relationship between structure and function. Neuropharmacology 2009, 56, 273–284. [Google Scholar] [CrossRef] [PubMed]
- Murphy, D.L.; Lesch, K.P. Targeting the murine serotonin transporter: Insights into human neurobiology. Nat. Rev. Neurosci. 2008, 9, 85–96. [Google Scholar] [CrossRef]
- La-Vu, M.; Tobias, B.C.; Schuette, P.J.; Adhikari, A. To Approach or Avoid: An Introductory Overview of the Study of Anxiety Using Rodent Assays. Front. Behav. Neurosci. 2020, 14, 145. [Google Scholar] [CrossRef]
- Sartori, S.B.; Singewald, N. Novel pharmacological targets in drug development for the treatment of anxiety and anxiety-related disorders. Pharmacol. Ther. 2019, 204, 107402. [Google Scholar] [CrossRef]
- Cole, J.C.; Rodgers, R.J. Ethological evaluation of the effects of acute and chronic buspirone treatment in the murine elevated plus-maze test: Comparison with haloperidol. Psychopharmacology 1994, 114, 288–296. [Google Scholar] [CrossRef]
- Davidson, J.R. Biological therapies for posttraumatic stress disorder: An overview. J. Clin. Psychiatry 1997, 58 (Suppl. S9), 29–32. [Google Scholar]
- Silva, R.; Brandão, M. Acute and Chronic Effects of Gepirone and Fluoxetine in Rats Tested in the Elevated Plus-maze. Pharmacol. Biochem. Behav. 2000, 65, 209–216. [Google Scholar] [CrossRef]
- Asnis, G.M.; Kohn, S.R.; Henderson, M.; Brown, N.L. SSRIs versus Non-SSRIs in Post-traumatic Stress Disorder: An Update with Recommendations. Drugs 2004, 64, 383–404. [Google Scholar] [CrossRef]
- Dulawa, S.C.; Holick, K.A.; Gundersen, B.; Hen, R. Effects of Chronic Fluoxetine in Animal Models of Anxiety and Depression. Neuropsychopharmacology 2004, 29, 1321–1330. [Google Scholar] [CrossRef] [PubMed]
- Farhan, M.; Haleem, D.J. Anxiolytic profile of fluoxetine as monitored following repeated administration in animal rat model of chronic mild stress. Saudi Pharm. J. 2016, 24, 571–578. [Google Scholar] [CrossRef] [PubMed]
- Heesbeen, E.J.; Bijlsma, E.Y.; Verdouw, P.M.; van Lissa, C.; Hooijmans, C.; Groenink, L. The effect of SSRIs on fear learning: A systematic review and meta-analysis. Psychopharmacology 2023, 240, 2335–2359. [Google Scholar] [CrossRef]
- Kantor, S.; Anheuer, Z.E.; Bagdy, G. High social anxiety and low aggression in Fawn-Hooded rats. Physiol. Behav. 2000, 71, 551–557. [Google Scholar] [CrossRef]
- Abrams, J.; Johnson, P.; Hay-Schmidt, A.; Mikkelsen, J.; Shekhar, A.; Lowry, C. Serotonergic systems associated with arousal and vigilance behaviors following administration of anxiogenic drugs. Neuroscience 2005, 133, 983–997. [Google Scholar] [CrossRef]
- Wilson, C.B.; Ebenezer, P.J.; McLaughlin, L.D.; Francis, J. Predator Exposure/Psychosocial Stress Animal Model of Post-Traumatic Stress Disorder Modulates Neurotransmitters in the Rat Hippocampus and Prefrontal Cortex. PLoS ONE 2014, 9, e89104. [Google Scholar] [CrossRef]
- Abela, A.R.; Browne, C.J.; Sargin, D.; Prevot, T.D.; Ji, X.D.; Li, Z.; Lambe, E.K.; Fletcher, P.J. Median raphe serotonin neurons promote anxiety-like behavior via inputs to the dorsal hippocampus. Neuropharmacology 2020, 168, 107985. [Google Scholar] [CrossRef]
- Wilkinson, C.S.; Blount, H.L.; Schwendt, M.; Knackstedt, L.A. Brain Monoamine Dysfunction in Response to Predator Scent Stress Accompanies Stress-Susceptibility in Female Rats. Biomolecules 2023, 13, 1055. [Google Scholar] [CrossRef]
- Collins, H.M.; Gullino, L.S.; Ozdemir, D.; Lazarenco, C.; Sudarikova, Y.; Daly, E.; Pilar Cuéllar, F.; Pinacho, R.; Bannerman, D.M.; Sharp, T. Rebound activation of 5-HT neurons following SSRI discontinuation. Neuropsychopharmacology 2024, 49, 1580–1589. [Google Scholar] [CrossRef]
- Turcotte-Cardin, V.; Vahid-Ansari, F.; Luckhart, C.; Daigle, M.; Geddes, S.D.; Tanaka, K.F.; Hen, R.; James, J.; Merali, Z.; Béïque, J.C.; et al. Loss of Adult 5-HT1A Autoreceptors Results in a Paradoxical Anxiogenic Response to Antidepressant Treatment. J. Neurosci. 2018, 39, 1334–1346. [Google Scholar] [CrossRef]
- File, S.E.; Zangrossi, H.; Andrews, N. Social interaction and elevated plus-maze tests: Changes in release and uptake of 5-HT and GABA. Neuropharmacology 1993, 32, 217–221. [Google Scholar] [CrossRef] [PubMed]
- Ohmura, Y.; Tsutsui-Kimura, I.; Sasamori, H.; Nebuka, M.; Nishitani, N.; Tanaka, K.F.; Yamanaka, A.; Yoshioka, M. Different roles of distinct serotonergic pathways in anxiety-like behavior, antidepressant-like, and anti-impulsive effects. Neuropharmacology 2020, 167, 107703. [Google Scholar] [CrossRef] [PubMed]
- Andrade, T.G.; Zangrossi, H.; Graeff, F.G. The median raphe nucleus in anxiety revisited. J. Psychopharmacol. 2013, 27, 1107–1115. [Google Scholar] [CrossRef]
- Boyarskikh, U.A.; Bondar, N.P.; Filipenko, M.L.; Kudryavtseva, N.N. Downregulation of Serotonergic Gene Expression in the Raphe Nuclei of the Midbrain Under Chronic Social Defeat Stress in Male Mice. Mol. Neurobiol. 2013, 48, 13–21. [Google Scholar] [CrossRef]
- Holmes, A. Genetic variation in cortico-amygdala serotonin function and risk for stress-related disease. Neurosci. Biobehav. Rev. 2008, 32, 1293–1314. [Google Scholar] [CrossRef]
- Lopes, L.T.; Canto-de Souza, L.; Baptista-de Souza, D.; de Souza, R.R.; Nunes-de Souza, R.L.; Canto-de Souza, A. The interplay between 5-HT2C and 5-HT3A receptors in the dorsal periaqueductal gray mediates anxiety-like behavior in mice. Behav. Brain Res. 2022, 417, 113588. [Google Scholar] [CrossRef]
- Eison, A.S.; Eison, M.S. Serotonergic mechanisms in anxiety. Prog. Neuro-Psychopharmacol. Biol. Psychiatry 1994, 18, 47–62. [Google Scholar] [CrossRef]
- Olivier, B.; van Wijngaarden, I.; Soudijn, W. 5-HT3 receptor antagonists and anxiety; a preclinical and clinical review. Eur. Neuropsychopharmacol. 2000, 10, 77–95. [Google Scholar] [CrossRef]
- Mazzone, C.M.; Pati, D.; Michaelides, M.; DiBerto, J.; Fox, J.H.; Tipton, G.; Anderson, C.; Duffy, K.; McKlveen, J.M.; Hardaway, J.A.; et al. Acute engagement of Gq-mediated signaling in the bed nucleus of the stria terminalis induces anxiety-like behavior. Mol. Psychiatry 2016, 23, 143–153. [Google Scholar] [CrossRef]
- Sharp, T.; Collins, H. Mechanisms of SSRI Therapy and Discontinuation. In Emerging Neurobiology of Antidepressant Treatments; Springer International Publishing: Berlin/Heidelberg, Germany, 2023; pp. 21–47. [Google Scholar] [CrossRef]
- Thomas, R.; Sellers, A.; Fierstein, J.L.; Cavitt, M.; Alvaro, J.; Goldenberg, N. Suicide, Stimulants, and Selective Serotonin Reuptake Inhibitors: A Retrospective Chart Review. J. Child Adolesc. Psychopharmacol. 2024, 34, 89–94. [Google Scholar] [CrossRef]
- Yang, J.; Ying, Y.; Jin, L.; Ying, F.; Fang, J.; Chen, X.; Zhu, M.; Yang, X. Sertraline-induced acute pancreatitis: A case report and literature review. Altern. Ther. Health Med. 2024, 30, 318–321. [Google Scholar] [PubMed]
- Juhasz, B.; Varga, B.; Gesztelyi, R.; Kemeny-Beke, A.; Zsuga, J.; Tosaki, A. Resveratrol: A Multifunctional Cytoprotective Molecule. Curr. Pharm. Biotechnol. 2010, 11, 810–818. [Google Scholar] [CrossRef] [PubMed]
- Mehta, J.; Rayalam, S.; Wang, X. Cytoprotective Effects of Natural Compounds against Oxidative Stress. Antioxidants 2018, 7, 147. [Google Scholar] [CrossRef]
- Shayganfard, M. Molecular and biological functions of resveratrol in psychiatric disorders: A review of recent evidence. Cell Biosci. 2020, 10, 128. [Google Scholar] [CrossRef]
- Griñán-Ferré, C.; Bellver-Sanchis, A.; Izquierdo, V.; Corpas, R.; Roig-Soriano, J.; Chillón, M.; Andres-Lacueva, C.; Somogyvári, M.; Sőti, C.; Sanfeliu, C.; et al. The pleiotropic neuroprotective effects of resveratrol in cognitive decline and Alzheimer’s disease pathology: From antioxidant to epigenetic therapy. Ageing Res. Rev. 2021, 67, 101271. [Google Scholar] [CrossRef]
- Sakr, H.F.; Abbas, A.M.; Elsamanoudy, A.Z.; Ghoneim, F.M. Effect of fluoxetine and resveratrol on testicular functions and oxidative stress in a rat model of chronic mild stress-induced depression. J. Physiol. Pharmacol. 2015, 66, 515–527. [Google Scholar]
- Dasgupta, B.; Milbrandt, J. Resveratrol stimulates AMP kinase activity in neurons. Proc. Natl. Acad. Sci. USA 2007, 104, 7217–7222. [Google Scholar] [CrossRef]
- Cantó, C.; Auwerx, J. PGC-1α, SIRT1 and AMPK, an energy sensing network that controls energy expenditure. Curr. Opin. Lipidol. 2009, 20, 98–105. [Google Scholar] [CrossRef]
- Wu, Y.; Li, X.; Zhu, J.X.; Xie, W.; Le, W.; Fan, Z.; Jankovic, J.; Pan, T. Resveratrol-Activated AMPK/SIRT1/Autophagy in Cellular Models of Parkinson’s Disease. Neurosignals 2011, 19, 163–174. [Google Scholar] [CrossRef]
- Pshenichnyuk, S.A.; Komolov, A.S. Dissociative Electron Attachment to Resveratrol as a Likely Pathway for Generation of the H2 Antioxidant Species Inside Mitochondria. J. Phys. Chem. Lett. 2015, 6, 1104–1110. [Google Scholar] [CrossRef]
- Shih, J.H.; Ma, K.H.; Chen, C.F.F.; Cheng, C.Y.; Pao, L.H.; Weng, S.J.; Huang, Y.S.; Shiue, C.Y.; Yeh, M.K.; Li, I.H. Evaluation of brain SERT occupancy by resveratrol against MDMA-induced neurobiological and behavioral changes in rats: A 4-[18 F]-ADAM/small-animal PET study. Eur. Neuropsychopharmacol. 2016, 26, 92–104. [Google Scholar] [CrossRef] [PubMed]
- Staples, L.G. Predator odor avoidance as a rodent model of anxiety: Learning-mediated consequences beyond the initial exposure. Neurobiol. Learn. Mem. 2010, 94, 435–445. [Google Scholar] [CrossRef] [PubMed]
- Fanselow, M.S.; Hoffman, A.N. Fear, defense, and emotion: A neuroethological understanding of the negative valence research domain criteria. Am. Psychol. 2024, 79, 725–734. [Google Scholar] [CrossRef] [PubMed]
- Chu, A.; Gordon, N.T.; DuBois, A.M.; Michel, C.B.; Hanrahan, K.E.; Williams, D.C.; Anzellotti, S.; McDannald, M.A. A fear conditioned cue orchestrates a suite of behaviors in rats. eLife 2024, 13, e82497. [Google Scholar] [CrossRef]
- Wilson, C.B.; McLaughlin, L.D.; Ebenezer, P.J.; Nair, A.R.; Dange, R.; Harre, J.G.; Shaak, T.L.; Diamond, D.M.; Francis, J. Differential effects of sertraline in a predator exposure animal model of post-traumatic stress disorder. Front. Behav. Neurosci. 2014, 8, 256. [Google Scholar] [CrossRef]
- Tseilikman, V.E.; Tseilikman, O.B.; Shevyrin, V.A.; Yegorov, O.N.; Epitashvili, A.A.; Aristov, M.R.; Karpenko, M.N.; Lipatov, I.A.; Pashkov, A.A.; Shamshurin, M.V.; et al. Unraveling the Liver–Brain Axis: Resveratrol’s Modulation of Key Enzymes in Stress-Related Anxiety. Biomedicines 2024, 12, 2063. [Google Scholar] [CrossRef]
- Wernecke, K.; Vincenz, D.; Storsberg, S.; D’Hanis, W.; Goldschmidt, J.; Fendt, M. Fox urine exposure induces avoidance behavior in rats and activates the amygdalar olfactory cortex. Behav. Brain Res. 2015, 279, 76–81. [Google Scholar] [CrossRef]
- Kraeuter, A.K.; Guest, P.C.; Sarnyai, Z. The Elevated Plus Maze Test for Measuring Anxiety-Like Behavior in Rodents. In Pre-Clinical Models; Springer: New York, NY, USA, 2018; pp. 69–74. [Google Scholar] [CrossRef]
- Schneider, P.; Ho, Y.J.; Spanagel, R.; Pawlak, C.R. A Novel Elevated Plus-Maze Procedure to Avoid the One-Trial Tolerance Problem. Front. Behav. Neurosci. 2011, 5, 43. [Google Scholar] [CrossRef]
- Tseilikman, V.; Komelkova, M.; Lapshin, M.; Alliluev, A.; Tseilikman, O.; Karpenko, M.; Pestereva, N.; Manukhina, E.; Downey, H.F.; Kondashevskaya, M.; et al. High and low anxiety phenotypes in a rat model of complex post-traumatic stress disorder are associated with different alterations in regional brain monoamine neurotransmission. Psychoneuroendocrinology 2020, 117, 104691. [Google Scholar] [CrossRef]
- Slotkin, T.A.; Kreider, M.L.; Tate, C.A.; Seidler, F.J. Critical Prenatal and Postnatal Periods for Persistent Effects of Dexamethasone on Serotonergic and Dopaminergic Systems. Neuropsychopharmacology 2005, 31, 904–911. [Google Scholar] [CrossRef]
- Tseilikman, V.E.; Tseilikman, O.B.; Pashkov, A.A.; Ivleva, I.S.; Karpenko, M.N.; Shatilov, V.A.; Zhukov, M.S.; Fedotova, J.O.; Kondashevskaya, M.V.; Downey, H.F.; et al. Mechanisms of Susceptibility and Resilience to PTSD: Role of Dopamine Metabolism and BDNF Expression in the Hippocampus. Int. J. Mol. Sci. 2022, 23, 14575. [Google Scholar] [CrossRef] [PubMed]
- Fanselow, M.S.; Dong, H.W. Are the Dorsal and Ventral Hippocampus Functionally Distinct Structures? Neuron 2010, 65, 7–19. [Google Scholar] [CrossRef] [PubMed]
- File, S.E.; Kenny, P.J.; Cheeta, S. The Role of the Dorsal Hippocampal Serotonergic and Cholinergic Systems in the Modulation of Anxiety. Pharmacol. Biochem. Behav. 2000, 66, 65–72. [Google Scholar] [CrossRef]
- Tseilikman, V.E.; Shatilov, V.A.; Zhukov, M.S.; Buksha, I.A.; Epitashvily, A.E.; Lipatov, I.A.; Aristov, M.R.; Koshelev, A.G.; Karpenko, M.N.; Traktirov, D.S.; et al. Limited Cheese Intake Paradigm Replaces Patterns of Behavioral Disorders in Experimental PTSD: Focus on Resveratrol Supplementation. Int. J. Mol. Sci. 2023, 24, 14343. [Google Scholar] [CrossRef]
- Valadez, E.A.; Troller-Renfree, S.V.; Buzzell, G.A.; Henderson, H.A.; Chronis-Tuscano, A.; Pine, D.S.; Fox, N.A. Behavioral inhibition and dual mechanisms of anxiety risk: Disentangling neural correlates of proactive and reactive control. JCPP Adv. 2021, 1, e12022. [Google Scholar] [CrossRef]
- Yu, X.D.; Zhu, Y.; Sun, Q.X.; Deng, F.; Wan, J.; Zheng, D.; Gong, W.; Xie, S.Z.; Shen, C.J.; Fu, J.Y.; et al. Distinct serotonergic pathways to the amygdala underlie separate behavioral features of anxiety. Nat. Neurosci. 2022, 24, 1651–1663. [Google Scholar] [CrossRef]
- Bhatnagar, S.; Sun, L.M.; Raber, J.; Maren, S.; Julius, D.; Dallman, M.F. Changes in anxiety-related behaviors and hypothalamic–pituitary–adrenal activity in mice lacking the 5-HT-3A receptor. Physiol. Behav. 2004, 81, 545–555. [Google Scholar] [CrossRef]
- Smit-Rigter, L.A.; Wadman, W.J.; van Hooft, J.A. Impaired Social Behavior in 5-HT3A Receptor Knockout Mice. Front. Behav. Neurosci. 2010, 4, 169. [Google Scholar] [CrossRef]
- Huang, J.; Spier, A.D.; Pickel, V.M. 5-HT3A receptor subunits in the rat medial nucleus of the solitary tract: Subcellular distribution and relation to the serotonin transporter. Brain Res. 2004, 1028, 156–169. [Google Scholar] [CrossRef]
- Liu, M.T.; Rayport, S.; Jiang, Y.; Murphy, D.L.; Gershon, M.D. Expression and function of 5-HT3receptors in the enteric neurons of mice lacking the serotonin transporter. Am. J. Physiol.-Gastrointest. Liver Physiol. 2002, 283, G1398–G1411. [Google Scholar] [CrossRef]
- El-Ayache, N.; Galligan, J.J. 5-HT3 receptor signaling in serotonin transporter-knockout rats: A female sex-specific animal model of visceral hypersensitivity. Am. J. Physiol.-Gastrointest. Liver Physiol. 2019, 316, G132–G143. [Google Scholar] [CrossRef] [PubMed]
- Huang, Y.; Morozov, A. Hippocampal Deletion of BDNF Gene Attenuates Gamma Oscillations in Area CA1 by Up-Regulating 5-HT3 Receptor. PLoS ONE 2011, 6, e16480. [Google Scholar] [CrossRef] [PubMed]
- Zolfaghari, F.S.; Pirri, F.; Gauvin, E.; Peeri, M.; Amiri, S. Exercise and fluoxetine treatment during adolescence protect against early life stress-induced behavioral abnormalities in adult rats. Pharmacol. Biochem. Behav. 2021, 205, 173190. [Google Scholar] [CrossRef]
- Jiang, X.; Wang, J.; Luo, T.; Li, Q. Impaired hypothalamic-pituitary-adrenal axis and its feedback regulation in serotonin transporter knockout mice. Psychoneuroendocrinology 2009, 34, 317–331. [Google Scholar] [CrossRef]
- Kelley, S.P.; Bratt, A.M.; Hodge, C.W. Targeted gene deletion of the 5-HT3A receptor subunit produces an anxiolytic phenotype in mice. Eur. J. Pharmacol. 2003, 461, 19–25. [Google Scholar] [CrossRef]
- Stuebler, A.G.; Jansen, M. Bupropion Inhibits Serotonin Type 3AB Heteromeric Channels at Clinically Relevant Concentrations. Mol. Pharmacol. 2019, 97, 171–179. [Google Scholar] [CrossRef]
- Wu, Z.M.; Yang, L.H.; Cui, R.; Ni, G.L.; Wu, F.T.; Liang, Y. Contribution of Hippocampal 5-HT3 Receptors in Hippocampal Autophagy and Extinction of Conditioned Fear Responses after a Single Prolonged Stress Exposure in Rats. Cell. Mol. Neurobiol. 2016, 37, 595–606. [Google Scholar] [CrossRef]
- Ungurianu, A.; Zanfirescu, A.; Margină, D. Sirtuins, resveratrol and the intertwining cellular pathways connecting them. Ageing Res. Rev. 2023, 88, 101936. [Google Scholar] [CrossRef]
- Libert, S.; Pointer, K.; Bell, E.; Das, A.; Cohen, D.; Asara, J.; Kapur, K.; Bergmann, S.; Preisig, M.; Otowa, T.; et al. SIRT1 Activates MAO-A in the Brain to Mediate Anxiety and Exploratory Drive. Cell 2011, 147, 1459–1472. [Google Scholar] [CrossRef]
- Glover, V. Function of endogenous monoamine oxidase inhibitors (tribulin). In MAO—The Mother of all Amine Oxidases; Springer: Vienna, Austria, 1998; pp. 307–313. [Google Scholar] [CrossRef]
- Deltheil, T.; Guiard, B.; Cerdan, J.; David, D.; Tanaka, K.; Repérant, C.; Guilloux, J.P.; Coudoré, F.; Hen, R.; Gardier, A. Behavioral and serotonergic consequences of decreasing or increasing hippocampus brain-derived neurotrophic factor protein levels in mice. Neuropharmacology 2008, 55, 1006–1014. [Google Scholar] [CrossRef]
- Abe-Higuchi, N.; Uchida, S.; Yamagata, H.; Higuchi, F.; Hobara, T.; Hara, K.; Kobayashi, A.; Watanabe, Y. Hippocampal Sirtuin 1 Signaling Mediates Depression-like Behavior. Biol. Psychiatry 2016, 80, 815–826. [Google Scholar] [CrossRef] [PubMed]
- Li, H.; Li, X.; Liu, Z.; Wu, S.; Guo, J.; Shi, R.; Sun, Y.; Wang, Y.; Yin, H. Resveratrol reserved hypoxia-ischemia induced childhood hippocampal dysfunction and neurogenesis via improving mitochondrial dynamics. Neurosci. Res. 2020, 161, 51–58. [Google Scholar] [CrossRef] [PubMed]
- Bhatnagar, S.; Vining, C. Short CommunicationPituitary–Adrenal Activity in Acute and Chronically Stressed Male and Female Mice Lacking the 5-HT-3A Receptor. Stress 2004, 7, 251–256. [Google Scholar] [CrossRef] [PubMed]
- Dremencov, E.; Grinchii, D.; Hrivikova, K.; Lapshin, M.; Komelkova, M.; Graban, J.; Puhova, A.; Tseilikman, O.; Tseilikman, V.; Jezova, D. Exposure to chronic stressor upsurges the excitability of serotoninergic neurons and diminishes concentrations of circulating corticosteroids in rats two weeks thereafter. Pharmacol. Rep. 2022, 74, 451–460. [Google Scholar] [CrossRef] [PubMed]
- Tseilikman, V.E.; Tseilikman, O.B.; Yegorov, O.N.; Brichagina, A.A.; Karpenko, M.N.; Tseilikman, D.V.; Shatilov, V.A.; Zhukov, M.S.; Novak, J. Resveratrol: A Multifaceted Guardian against Anxiety and Stress Disorders—An Overview of Experimental Evidence. Nutrients 2024, 16, 2856. [Google Scholar] [CrossRef]
- Salla, M.; Karaki, N.; El Kaderi, B.; Ayoub, A.J.; Younes, S.; Abou Chahla, M.N.; Baksh, S.; El Khatib, S. Enhancing the Bioavailability of Resveratrol: Combine It, Derivatize It, or Encapsulate It? Pharmaceutics 2024, 16, 569. [Google Scholar] [CrossRef]









| Primer’s Name | Primer’s Sequence (5′ ⟶ 3′) | Temperature (°C) |
|---|---|---|
| 5-HT3 | F CTGTCCTCCATCCGCCACTCC R CAGCAGCCTGTCCAGCACATATC | 60 |
| SERT | F ATAGCCAACATGCCAGCATCCAC R ACCACGATGAGCACGAACCATTC | 68 |
| MAO-A | F GCCAGGAACGGAAATTTGTA R TCTCAGGTGGAAGCTCTGGT | 64 |
| MAO-B | F TGGGAAGATTCCAGAGGATG R GCTGACAAGATGGTGGTCAA | 60 |
| BDNF | F GAAAGTCCCGGTATCAAAAG R CGCCAGCCAATTCTCTTTTTG | 60 |
| COMT-105 | F CTGGAGAAATGTGGCCTGCT R GCTGCTGCTCCCTCTCACAT | 60 |
Disclaimer/Publisher’s Note: The statements, opinions and data contained in all publications are solely those of the individual author(s) and contributor(s) and not of MDPI and/or the editor(s). MDPI and/or the editor(s) disclaim responsibility for any injury to people or property resulting from any ideas, methods, instructions or products referred to in the content. |
© 2024 by the authors. Licensee MDPI, Basel, Switzerland. This article is an open access article distributed under the terms and conditions of the Creative Commons Attribution (CC BY) license (https://creativecommons.org/licenses/by/4.0/).
Share and Cite
Tseilikman, V.E.; Tseilikman, O.B.; Karpenko, M.N.; Traktirov, D.S.; Obukhova, D.A.; Shatilov, V.A.; Zhukov, M.S.; Manuilov, G.V.; Yegorov, O.N.; Aristov, M.R.; et al. Unraveling the Serotonergic Mechanism of Stress-Related Anxiety: Focus on Co-Treatment with Resveratrol and Selective Serotonin Reuptake Inhibitors. Biomedicines 2024, 12, 2455. https://doi.org/10.3390/biomedicines12112455
Tseilikman VE, Tseilikman OB, Karpenko MN, Traktirov DS, Obukhova DA, Shatilov VA, Zhukov MS, Manuilov GV, Yegorov ON, Aristov MR, et al. Unraveling the Serotonergic Mechanism of Stress-Related Anxiety: Focus on Co-Treatment with Resveratrol and Selective Serotonin Reuptake Inhibitors. Biomedicines. 2024; 12(11):2455. https://doi.org/10.3390/biomedicines12112455
Chicago/Turabian StyleTseilikman, Vadim E., Olga B. Tseilikman, Marina N. Karpenko, Dmitrii S. Traktirov, Daria A. Obukhova, Vladislav A. Shatilov, Maxim S. Zhukov, Gennady V. Manuilov, Oleg N. Yegorov, Maxim R. Aristov, and et al. 2024. "Unraveling the Serotonergic Mechanism of Stress-Related Anxiety: Focus on Co-Treatment with Resveratrol and Selective Serotonin Reuptake Inhibitors" Biomedicines 12, no. 11: 2455. https://doi.org/10.3390/biomedicines12112455
APA StyleTseilikman, V. E., Tseilikman, O. B., Karpenko, M. N., Traktirov, D. S., Obukhova, D. A., Shatilov, V. A., Zhukov, M. S., Manuilov, G. V., Yegorov, O. N., Aristov, M. R., Lipatov, I. A., Buksha, I. A., Epitashvili, A. E., Pashkov, A. A., & Novak, J. (2024). Unraveling the Serotonergic Mechanism of Stress-Related Anxiety: Focus on Co-Treatment with Resveratrol and Selective Serotonin Reuptake Inhibitors. Biomedicines, 12(11), 2455. https://doi.org/10.3390/biomedicines12112455

