Comprehensive Assessment of Mid-Regional Proadrenomedullin, Procalcitonin, Neuron-Specific Enolase and Protein S100 for Predicting Pediatric Severe Trauma Outcomes
Abstract
1. Introduction
2. Materials and Methods
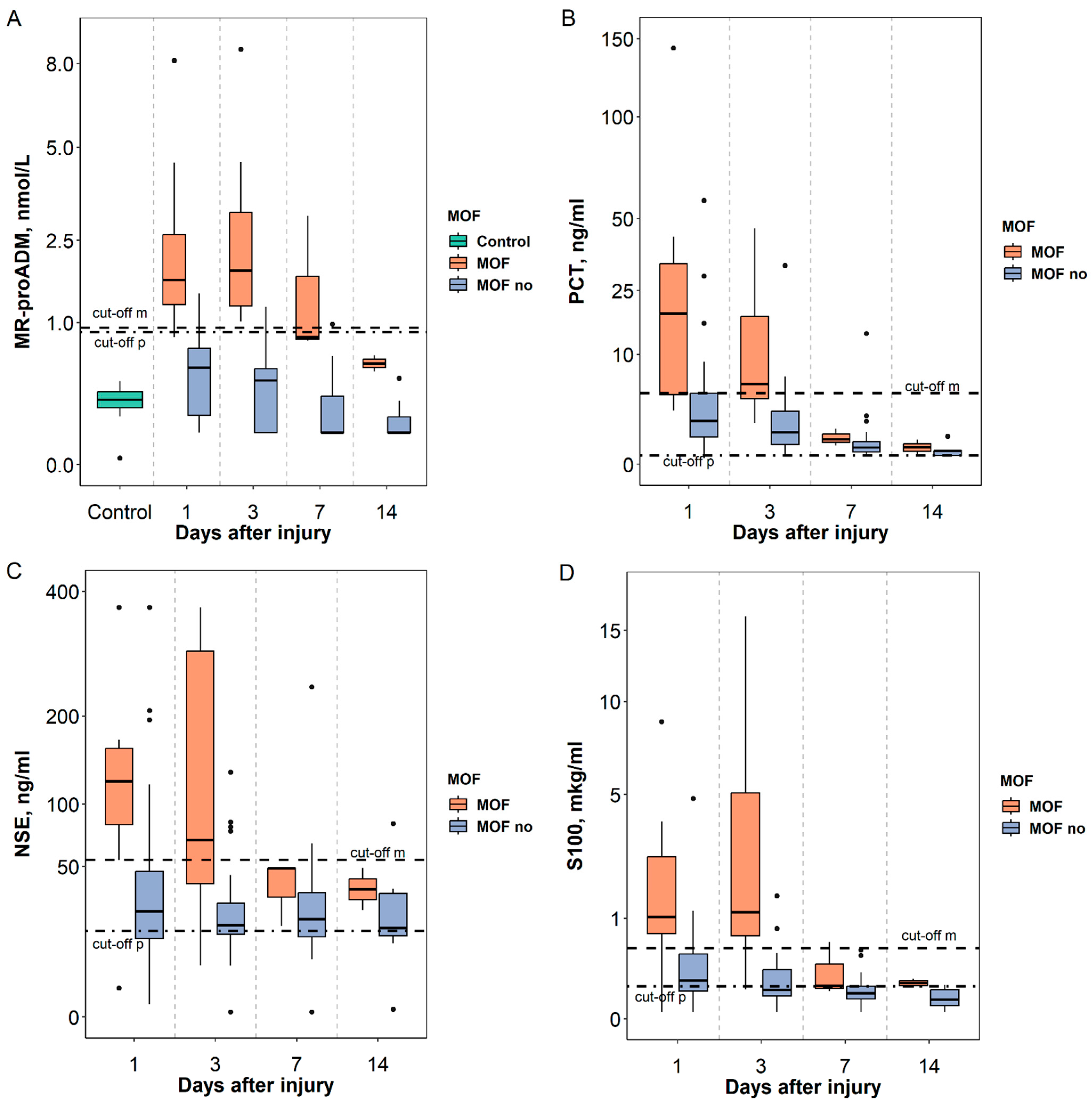
3. Results
- OISS outcome ~ MR-proADM1 day and PCT3 day (AUC: 0.994 95% CI 0.978–1),
- GOS outcome ~ S1003 days (AUC: 0.836 95% CI 0.646–1),
- SC ~ MR-proADM1 day, PCT3 day, NSE3 day, S1003 day (AUC: 0.9 95% CI 0.795–1),
- MOF ~ MR-proADM3 day and PCT1 day (AUC: 0.999 95% CI 0.999–1).
4. Discussion
5. Conclusions
Author Contributions
Funding
Institutional Review Board Statement
Informed Consent Statement
Data Availability Statement
Acknowledgments
Conflicts of Interest
References
- Timofeev, V.; Bondarenko, A. Epidemiological aspects of polytrauma in children in major city. Polytrauma Russ. 2012, 4, 5–8. [Google Scholar]
- Andruszkow, H.; Fischer, J.; Sasse, M.; Brunnemer, U.; Andruszkow, J.H.K.; Gänsslen, A.; Hildebrand, F.; Frink, M. Interleukin-6 as Inflammatory Marker Referring to Multiple Organ Dysfunction Syndrome in Severely Injured Children. Scand. J. Trauma Resusc. Emerg. Med. 2014, 22, 16. [Google Scholar] [CrossRef] [PubMed]
- Killien, E.Y.; Zahlan, J.M.; Lad, H.; Watson, R.S.; Vavilala, M.S.; Huijsmans, R.L.N.; Rivara, F.P. Epidemiology and Outcomes of Multiple Organ Dysfunction Syndrome Following Pediatric Trauma. J. Trauma Acute Care Surg. 2022, 93, 829–837. [Google Scholar] [CrossRef] [PubMed]
- Proulx, F.; Gauthier, M.; Nadeau, D.; Lacroix, J.; Farrell, C.A. Timing and Predictors of Death in Pediatric Patients with Multiple Organ System Failure . Crit. Care Med. 1994, 22, 1025–1031. [Google Scholar] [CrossRef] [PubMed]
- Calkins, C.M.; Bensard, D.D.; Moore, E.E.; McIntyre, R.C.; Silliman, C.C.; Biffl, W.; Harken, A.H.; Partrick, D.A.; Offner, P.J. The Injured Child Is Resistant to Multiple Organ Failure: A Different Inflammatory Response? J. Trauma Inj. Infect. Crit. Care 2002, 53, 1058–1063. [Google Scholar] [CrossRef]
- Leclerc, F.; Leteurtre, S.; Duhamel, A.; Grandbastien, B.; Proulx, F.; Martinot, A.; Gauvin, F.; Hubert, P.; Lacroix, J. Cumulative Influence of Organ Dysfunctions and Septic State on Mortality of Critically Ill Children. Am. J. Respir. Crit. Care Med. 2005, 171, 348–353. [Google Scholar] [CrossRef] [PubMed]
- Matics, T.J.; Sanchez-Pinto, L.N. Adaptation and Validation of a Pediatric Sequential Organ Failure Assessment Score and Evaluation of the Sepsis-3 Definitions in Critically Ill Children. JAMA Pediatr. 2017, 171, e172352. [Google Scholar] [CrossRef]
- Castelli, G.; Pognani, C.; Meisner, M.; Stuani, A.; Bellomi, D.; Sgarbi, L. Procalcitonin and C-Reactive Protein during Systemic Inflammatory Response Syndrome, Sepsis and Organ Dysfunction. Crit. Care 2004, 8, R234. [Google Scholar] [CrossRef]
- Gao, Y.; Duan, J.; Ji, H.; Lu, W. Levels of S100 Calcium Binding Protein B (S100B), Neuron-Specific Enolase (NSE), and Cyclophilin A (CypA) in the Serum of Patients with Severe Craniocerebral Injury and Multiple Injuries Combined with Delirium Transferred from the ICU and Their Prognostic Value. Ann. Palliat. Med. 2021, 10, 3371–3378. [Google Scholar] [CrossRef]
- Chen, T.-J.; Fu, Q.-Y.; Wu, W.-Q. Plasma Levels of Adrenomedullin in Patients with Traumatic Brain Injury: Potential Contribution to Prognosis. Peptides 2014, 56, 146–150. [Google Scholar] [CrossRef]
- Bima, P.; Montrucchio, G.; Caramello, V.; Rumbolo, F.; Dutto, S.; Boasso, S.; Ferraro, A.; Brazzi, L.; Lupia, E.; Boccuzzi, A.; et al. Prognostic Value of Mid-Regional Proadrenomedullin Sampled at Presentation and after 72 Hours in Septic Patients Presenting to the Emergency Department: An Observational Two-Center Study. Biomedicines 2022, 10, 719. [Google Scholar] [CrossRef] [PubMed]
- Domizi, R.; Damiani, E.; Scorcella, C.; Carsetti, A.; Giaccaglia, P.; Casarotta, E.; Montomoli, J.; Gabbanelli, V.; Brugia, M.; Moretti, M.; et al. Mid-Regional Proadrenomedullin (MR-ProADM) and Microcirculation in Monitoring Organ Dysfunction of Critical Care Patients With Infection: A Prospective Observational Pilot Study. Front. Med. 2021, 8, 680244. [Google Scholar] [CrossRef] [PubMed]
- Krintus, M.; Kozinski, M.; Braga, F.; Kubica, J.; Sypniewska, G.; Panteghini, M. Plasma Midregional Proadrenomedullin (MR-ProADM) Concentrations and Their Biological Determinants in a Reference Population. Clin. Chem. Lab. Med. CCLM 2018, 56, 1161–1168. [Google Scholar] [CrossRef]
- Lorubbio, M.; Conti, A.A.; Ognibene, A. Midregional Pro-Adrenomedullin (MR-ProADM) Reference Values in Serum. Clin. Biochem. 2018, 53, 173–174. [Google Scholar] [CrossRef] [PubMed]
- Morgenthaler, N.G.; Struck, J.; Alonso, C.; Bergmann, A. Measurement of Midregional Proadrenomedullin in Plasma with an Immunoluminometric Assay. Clin. Chem. 2005, 51, 1823–1829. [Google Scholar] [CrossRef] [PubMed]
- Solé-Ribalta, A.; Bobillo-Pérez, S.; Valls, A.; Girona-Alarcón, M.; Launes, C.; Cambra, F.J.; Jordan, I.; Esteban, E. Diagnostic and Prognostic Value of Procalcitonin and Mid-Regional pro-Adrenomedullin in Septic Paediatric Patients. Eur. J. Pediatr. 2020, 179, 1089–1096. [Google Scholar] [CrossRef] [PubMed]
- Baumann, P.; Fuchs, A.; Gotta, V.; Ritz, N.; Baer, G.; Bonhoeffer, J.M.; Buettcher, M.; Heininger, U.; Szinnai, G.; Bonhoeffer, J.; et al. The Kinetic Profiles of Copeptin and Mid Regional Proadrenomedullin (MR-ProADM) in Pediatric Lower Respiratory Tract Infections. PLoS ONE 2022, 17, e0264305. [Google Scholar] [CrossRef] [PubMed]
- Orthopedics in Disasters: Orthopedic Injuries in Natural Disasters and Mass Casualty Events; Wolfson, N., Lerner, A., Roshal, L., Eds.; Springer Berlin Heidelberg: Berlin/Heidelberg, Germany, 2016; ISBN 978-3-662-48948-2. [Google Scholar]
- Marshall, J.C. Measuring Organ Dysfunction in the Intensive Care Unit: Why and How? Can. J. Anesth. 2005, 52, 224–230. [Google Scholar] [CrossRef][Green Version]
- R: What Is R? Available online: https://www.r-project.org/about.html (accessed on 1 December 2022).
- Robin, X.; Turck, N.; Hainard, A.; Tiberti, N.; Lisacek, F.; Sanchez, J.-C.; Müller, M. PROC: An Open-Source Package for R and S+ to Analyze and Compare ROC Curves. BMC Bioinform. 2011, 12, 77. [Google Scholar] [CrossRef] [PubMed]
- Ishiyama, Y.; Kitamura, K.; Ichiki, Y.; Nakamura, S.; Kida, O.; Kangawa, K.; Eto, T. Hemodynamic Effects of a Novel Hypotensive Peptide, Human Adrenomedullin, in Rats. Eur. J. Pharmacol. 1993, 241, 271–273. [Google Scholar] [CrossRef]
- Kato, J.; Kitamura, K. Bench-to-Bedside Pharmacology of Adrenomedullin. Eur. J. Pharmacol. 2015, 764, 140–148. [Google Scholar] [CrossRef] [PubMed]
- Wilson, D.C.; Schefold, J.C.; Baldirà, J.; Spinetti, T.; Saeed, K.; Elke, G. Adrenomedullin in COVID-19 Induced Endotheliitis. Crit. Care 2020, 24, 411. [Google Scholar] [CrossRef] [PubMed]
- Krocker, J.D.; Lee, K.H.; Henriksen, H.H.; Wang, Y.-W.W.; Schoof, E.M.; Karvelsson, S.T.; Rolfsson, Ó.; Johansson, P.I.; Pedroza, C.; Wade, C.E. Exploratory Investigation of the Plasma Proteome Associated with the Endotheliopathy of Trauma. Int. J. Mol. Sci. 2022, 23, 6213. [Google Scholar] [CrossRef] [PubMed]
- Hellenthal, K.E.M.; Brabenec, L.; Wagner, N.-M. Regulation and Dysregulation of Endothelial Permeability during Systemic Inflammation. Cells 2022, 11, 1935. [Google Scholar] [CrossRef] [PubMed]
- Buendgens, L.; Yagmur, E.; Ginsberg, A.; Weiskirchen, R.; Wirtz, T.; Jhaisha, S.A.; Eisert, A.; Luedde, T.; Trautwein, C.; Tacke, F.; et al. Midregional Proadrenomedullin (MRproADM) Serum Levels in Critically Ill Patients Are Associated with Short-Term and Overall Mortality during a Two-Year Follow-Up. Mediat. Inflamm. 2020, 2020, 7184803. [Google Scholar] [CrossRef] [PubMed]
- Yun, G.S.; In, Y.N.; Kang, C.; Park, J.S.; You, Y.; Min, J.H.; Ahn, H.J.; Yoo, I.; Kim, S.W.; Oh, S.K.; et al. Development of a Strategy for Assessing Blood-Brain Barrier Disruption Using Serum S100 Calcium-Binding Protein B and Neuron-Specific Enolase in Early Stage of Neuroemergencies: A Preliminary Study. Medicine 2022, 101, e29644. [Google Scholar] [CrossRef]
- Li, P.; Wang, C.; Pang, S. The Diagnostic Accuracy of Mid-Regional pro-Adrenomedullin for Sepsis: A Systematic Review and Meta-Analysis. Minerva Anestesiol. 2021, 87, 1117–1127. [Google Scholar] [CrossRef]
- Vershinina, M.; Steriopolo, N.; Ivanov, A.; Malyshev, M. Combination of biomarkers for early diagnosis of sepsis in ICU partients. Kremlin. Med. Clin. Bull. Russ. 2022, 2, 37–47. [Google Scholar] [CrossRef]
- Spoto, S.; Agrò, F.E.; Sambuco, F.; Travaglino, F.; Valeriani, E.; Fogolari, M.; Mangiacapra, F.; Costantino, S.; Ciccozzi, M.; Angeletti, S. High Value of Mid-regional Proadrenomedullin in COVID-19: A Marker of Widespread Endothelial Damage, Disease Severity, and Mortality. J. Med. Virol. 2021, 93, 2820–2827. [Google Scholar] [CrossRef] [PubMed]
- Peñalver Penedo, R.; Rupérez Lucas, M.; Álvarez-Sala Walther, L.A.; Torregrosa Benavent, A.; Casas Losada, M.L.; Bañuelos Andrio, L.; Rebolledo Poves, A.B.; Bueno Campaña, M. MR-Proadrenomedullin as Biomarker of Renal Damage in Urinary Tract Infection in Children. BMC Pediatr. 2021, 21, 292. [Google Scholar] [CrossRef]
- Lenihan, R.A.F.; Ang, J.; Pallmann, P.; Romaine, S.T.; Waldron, C.-A.; Thomas-Jones, E.; Miah, N.; Carrol, E.D. Mid-Regional Pro-Adrenomedullin in Combination With Pediatric Early Warning Scores for Risk Stratification of Febrile Children Presenting to the Emergency Department: Secondary Analysis of a Nonprespecified United Kingdom Cohort Study. Pediatr. Crit. Care Med. 2022; Publish ahead of print. [Google Scholar] [CrossRef]
- Angeletti, S.; Dicuonzo, G.; Fioravanti, M.; De Cesaris, M.; Fogolari, M.; Lo Presti, A.; Ciccozzi, M.; De Florio, L. Procalcitonin, MR-Proadrenomedullin, and Cytokines Measurement in Sepsis Diagnosis: Advantages from Test Combination. Dis. Markers 2015, 2015, 951532. [Google Scholar] [CrossRef] [PubMed]
- Nwafor, D.C.; Brichacek, A.L.; Foster, C.H.; Lucke-Wold, B.P.; Ali, A.; Colantonio, M.A.; Brown, C.M.; Qaiser, R. Pediatric Traumatic Brain Injury: An Update on Preclinical Models, Clinical Biomarkers, and the Implications of Cerebrovascular Dysfunction. J. Cent. Nerv. Syst. Dis. 2022, 14, 117957352210981. [Google Scholar] [CrossRef] [PubMed]
- Chang, H.-K.; Hsu, J.-W.; Wu, J.-C.; Huang, K.-L.; Chang, H.-C.; Bai, Y.-M.; Chen, T.-J.; Chen, M.-H. Traumatic Brain Injury in Early Childhood and Risk of Attention-Deficit/Hyperactivity Disorder and Autism Spectrum Disorder: A Nationwide Longitudinal Study. J. Clin. Psychiatry 2018, 79, 17m11857. [Google Scholar] [CrossRef] [PubMed]
- Newell, E.A.; Todd, B.P.; Luo, Z.; Evans, L.P.; Ferguson, P.J.; Bassuk, A.G. A Mouse Model for Juvenile, Lateral Fluid Percussion Brain Injury Reveals Sex-Dependent Differences in Neuroinflammation and Functional Recovery. J. Neurotrauma 2020, 37, 635–646. [Google Scholar] [CrossRef] [PubMed]


| Factor | OISS | |||
|---|---|---|---|---|
| 1-3 | 4-5 | 5 | ||
| n | 44 | 8 | 4 | |
| Gender (%) | f | 19 (43.2) | 1 (12.5) | 1 (25.0) |
| m | 25 (56.8) | 7 (87.5) | 3 (75.0) | |
| Age (Me [IQR]), years | 12.50 [6.75, 15.00] | 12.00 [3.50, 13.00] | 13.00 [10.25, 13.50] | |
| ICU days (Me [IQR]), days | 12.00 [7.00, 16.25] | 17.50 [7.50, 34.50] | 7.00 [6.00, 9.25] | |
| Total bed days (Me [IQR]), days | 28.00 [19.00, 48.25] | 33.00 [7.50, 57.25] | 7.00 [6.00, 9.25] | |
| ISS (Me [IQR]) | 26.00 [21.00, 29.00] | 28.00 [25.00, 34.25] | 32.00 [28.00, 35.75] | |
| GCS (Me [IQR]) | 10.50 [6.75, 13.00] | 4.50 [3.75, 8.25] | 4.00 [3.75, 5.25] | |
| Coma (%) | 18 (40.9) | 8 (100.0) | 4 (100.0) | |
| Combined trauma (%) | 39 (88.6) | 6 (75.0) | 3 (75.0) | |
| Multiple trauma (%) | 22 (50.0) | 3 (37.5) | 2 (50.0) | |
| Open trauma (%) | 19 (43.2) | 6 (75.0) | 4 (100.0) | |
| TBI (%) | 42 (95.5) | 8 (100.0) | 4 (100.0) | |
| AIS TBI (%) | 0 | 2 (4.5) | - | - |
| 1 | 8 (18.2) | - | - | |
| 2 | 6 (13.6) | - | - | |
| 3 | 11 (25.0) | 3 (37.5) | - | |
| 4 | 13 (29.5) | - | - | |
| 5 | 4 (9.1) | 5 (62.5) | 4 (100.0) | |
| GOS (%) | No TBI | 2 (4.5) | - | - |
| TBI favorable outcome | 35 (79.5) | - | - | |
| TBI unfavorable outcome | 7 (15.9) | 8 (100.0) | 4 (100.0) | |
| Blood loss (%) | 29 (65.9) | 7 (87.5) | 3 (75.0) | |
| Blood loss degree (%) | 0 | 15 (34.1) | 1 (12.5) | 1 (25.0) |
| 1 | 9 (20.5) | 1 (12.5) | - | |
| 2 | 14 (31.8) | 2 (25.0) | 2 (50.0) | |
| 3 | 6 (13.6) | 4 (50.0) | 1 (25.0) | |
| Vasopressor support (%) | 24 (54.6) | 7 (87.5) | 4 (100.0) | |
| Unstable hemodynamics (%) | 21 (47.7) | 7 (87.5) | 4 (100.0) | |
| Ventilator (%) | 37 (84.1) | 8 (100.0) | 4 (100.0) | |
| Complications (%) | 12 (27.3) | 8 (100.0) | 4 (100.0) | |
| SC (%) | 11 (25.0) | 5 (62.5) | 2 (50.0) | |
| MOF (%) | 2 (4.5) | 6 (75.0) | 4 (100.0) | |
| Index | Factor | N | Spearman R | t(N-2) | p-Level |
|---|---|---|---|---|---|
| MR-proADM | Blood loss degree | 52 | 0.40 | 3.12 | <0.01 |
| MOF | 52 | 0.58 | 5.05 | <0.00001 | |
| OISS | 52 | 0.46 | 3.62 | <0.001 | |
| GOS | 52 | 0.39 | 3.02 | <0.01 | |
| PCT | SC | 52 | 0.46 | 3.67 | <0.001 |
| MOF | 52 | 0.45 | 3.61 | <0.001 | |
| S100 | Coma | 52 | 0.31 | 2.33 | <0.05 |
| GCS | 52 | −0.28 | −2.10 | <0.05 | |
| MOF | 52 | 0.41 | 3.20 | <0.01 | |
| OISS | 52 | 0.36 | 2.71 | <0.01 | |
| GOS | 52 | 0.31 | 2.34 | <0.05 | |
| NSE | Blood loss degree | 52 | 0.35 | 2.66 | <0.05 |
| MOF | 52 | 0.36 | 2.76 | <0.01 |
| Parameter | OISS Favorable Outcome | OISS Unfavorable Outcome | Padj-Level | |
|---|---|---|---|---|
| MR-proADM, nmol/L | 1d | 0.47 [0.05, 2.11] *** | 1.43 [0.82, 8.11] *** | <0.001 |
| 3d | 0.36 [0.05, 2.02] ** | 1.60 [0.61, 8.57] ** | 0.004 | |
| 7d | 0.05 [0.05, 0.81] * | 0.98 [0.34, 3.07] * | 0.048 | |
| 14d | 0.05 [0.05, 0.43] | 0.48 [0.37, 0.59] | 0.216 | |
| NSE, ng/ml | 1d | 26.89 [0.36, 370.00] | 81.08 [1.81, 370.00] | 0.452 |
| 3d | 18.85 [0.05, 132.10] | 150.74 [5.85, 370.00] | 0.152 | |
| 7d | 21.09 [0.05, 240.50] | 31.30 [12.82, 48.70] | 3.364 | |
| 14d | 17.49 [0.12, 82.45] | 28.14 [25.12, 31.16] | 3.080 | |
| PCT, ng/ml | 1d | 1.55 [0.03, 42.99] * | 18.80 [2.36, 143.40] * | 0.012 |
| 3d | 1.01 [0.06, 6.37] ** | 18.22 [1.41, 46.05] ** | 0.008 | |
| 7d | 0.24 [0.05, 1.93] | 1.05 [0.10, 14.13] | 1.112 | |
| 14d | 0.07 [0.05, 0.16] | 0.57 [0.50, 0.64] | 0.160 | |
| S100, μg/L | 1d | 0.15 [0.00, 4.82] * | 0.85 [0.00, 8.77] * | 0.048 |
| 3d | 0.08 [0.00, 1.50] ** | 1.50 [0.20, 16.07] ** | 0.004 | |
| 7d | 0.08 [0.00, 0.47] | 0.08 [0.04, 0.58] | 2.408 | |
| 14d | 0.04 [0.00, 0.16] | 0.10 [0.10, 0.11] | 1.520 | |
| 1 d ICU | MR-proADM | PCT | NSE | S100 |
|---|---|---|---|---|
| OISS | ||||
| OR | 34.40 | 1.09 | 1.01 | 1.61 |
| 95%CI | 2.97–398.00 | 1.00–1.10 | 0.99–1.02 | 0.96–2.69 |
| p-level | 0.004 ** | 0.015 * | 0.067 | 0.066 |
| χ2Pr, p-level | 0.000002 *** | 0.00076 *** | 0.067 | 0.033 * |
| GOS | ||||
| OR | 1.46 | 6.57 | 0.99 | 93.10 |
| 95%CI | 0.12–16.5 | 0.21–205.0 | 0.97–1 | 0.001–8,130,000.00 |
| p-level | 0.760 | 0.284 | 0.059 | 0.435 |
| χ2Pr, p-level | 0.695 | 0.04134 * | 0.075 | 0.212 |
| SC | ||||
| OR | 0.92 | 0.98 | 1.00 | 0.86 |
| 95%CI | 0.59–1.45 | 0.96–1.01 | 0.99–1.01 | 0.58–1.28 |
| p-level | 0.744 | 0.383 | 0.632 | 0.472 |
| χ2Pr, p-level | 0.747 | 0.366 | 0.635 | 0.472 |
| MOF | ||||
| OR | 142.00 | 1.07 | 1.01 | 2.30 |
| 95%CI | 4.47–4480.00 | 1.01–1.14 | 1.00–1.02 | 1.07–4.92 |
| p-level | 0.004 ** | 0.025 * | 0.021 * | 0.032 * |
| χ2Pr, p-level | 0.0000001 *** | 0.002 ** | 0.012 * | 0.002 ** |
| 3 d ICU | MR-proADM | PCT | NSE | S100 |
| OISS | ||||
| OR | 11.3 | 1.40 | 1.02 | 20.9 |
| 95%CI | 1.4–91.4 | 0.98–2.20 | 1.00–1.04 | 1.76–248.0 |
| p-level | 0.0227 * | 0.061 | 0.035 * | 0.016 * |
| χ2Pr, p-level | 0.0001 *** | 0.0003 *** | 0.0001 *** | 0.00006326 *** |
| GOS | ||||
| OR | 4.70 | 1.43 | 1.03 | 12.40 |
| 95%CI | 0.97–23.10 | 0.96–2.11 | 0.99–1.06 | 1.25–124.00 |
| p-level | 0.054 | 0.070 | 0.057 | 0.031 * |
| χ2Pr, p-level | 0.002 ** | 0.0003 *** | 0.0008702 *** | 0.0005 *** |
| SC | ||||
| OR | 0.90 | 1.03 | 1.01 | 1.04 |
| 95%CI | 0.55–1.57 | 0.96–1.11 | 0.99–1.01 | 0.83–1.30 |
| p-level | 0.795 | 0.389 | 0.199 | 0.722 |
| χ2Pr, p-level | 0.787 | 0.389 | 0.183 | 0.726 |
| MOF | ||||
| OR | 3740.00 | 1.11 | 1.02 | 15.8 |
| 95%CI | 1.34–10,400,000.00 | 0.99–1.23 | 1.00–1.04 | 1.60–157.00 |
| p-levels. | 0.0422 * | 0.053 | 0.048 * | 0.018 * |
| χ2Pr, p-level | 0.0000001 *** | 0.015 * | 0.001311 ** | 0.0001315 *** |
| MR-proADM | PCT | NSE | S100 | |
|---|---|---|---|---|
| OISS | ||||
| cut-off | 0.929 | 18.55 | 54.45 | 0.413 |
| Se | 93.2 | 95.5 | 72.7 | 72.7 |
| Sp | 87.5 | 62.5 | 75.0 | 75.0 |
| AUC | 0.960 *** | 0.838 ** | 0.678 | 0.778 * |
| 95%CI | 0.908–1 | 0.690–0.986 | 0.431–0.924 | 0.552–1 |
| GOS | ||||
| cut-off | 0.819 | 2.23 | 54.45 | 0.312 |
| Se | 85.7 | 54.3 | 77.1 | 68.6 |
| Sp | 66.7 | 73.3 | 60.0 | 73.3 |
| AUC | 0.791 ** | 0.663 | 0.632 | 0.677 |
| 95%CI | 0.640–0.943 | 0.486–0.840 | 0.445–0.820 | 0.498–0.856 |
| SC | ||||
| cut-off | 0.609 | 2.364 | 32.04 | 0.196 |
| Se | 69.4 | 66.7 | 66.7 | 61.1 |
| Sp | 68.8 | 87.5 | 62.5 | 75.0 |
| AUC | 0.665 | 0.788 * | 0.570 | 0.627 |
| 95%CI | 0.489–0.841 | 0.661–0.916 | 0.394–0.747 | 0.465–0.789 |
| MOF | ||||
| cut-off | 0.929 | 4.20 | 54.45 | 0.493 |
| Se | 93.2 | 77.3 | 75.0 | 84.1 |
| Sp | 87.5 | 75.0 | 87.5 | 87.5 |
| AUC | 0.963 *** | 0.864 ** | 0.791 * | 0.830 |
| 95%CI | 0.911–1 | 0.739–0.988 | 0.578–1 | 0.6–1 ** |
Disclaimer/Publisher’s Note: The statements, opinions and data contained in all publications are solely those of the individual author(s) and contributor(s) and not of MDPI and/or the editor(s). MDPI and/or the editor(s) disclaim responsibility for any injury to people or property resulting from any ideas, methods, instructions or products referred to in the content. |
© 2023 by the authors. Licensee MDPI, Basel, Switzerland. This article is an open access article distributed under the terms and conditions of the Creative Commons Attribution (CC BY) license (https://creativecommons.org/licenses/by/4.0/).
Share and Cite
Zakirov, R.; Petrichuk, S.; Yanyushkina, O.; Semikina, E.; Vershinina, M.; Karaseva, O. Comprehensive Assessment of Mid-Regional Proadrenomedullin, Procalcitonin, Neuron-Specific Enolase and Protein S100 for Predicting Pediatric Severe Trauma Outcomes. Biomedicines 2023, 11, 2306. https://doi.org/10.3390/biomedicines11082306
Zakirov R, Petrichuk S, Yanyushkina O, Semikina E, Vershinina M, Karaseva O. Comprehensive Assessment of Mid-Regional Proadrenomedullin, Procalcitonin, Neuron-Specific Enolase and Protein S100 for Predicting Pediatric Severe Trauma Outcomes. Biomedicines. 2023; 11(8):2306. https://doi.org/10.3390/biomedicines11082306
Chicago/Turabian StyleZakirov, Rustam, Svetlana Petrichuk, Olga Yanyushkina, Elena Semikina, Marina Vershinina, and Olga Karaseva. 2023. "Comprehensive Assessment of Mid-Regional Proadrenomedullin, Procalcitonin, Neuron-Specific Enolase and Protein S100 for Predicting Pediatric Severe Trauma Outcomes" Biomedicines 11, no. 8: 2306. https://doi.org/10.3390/biomedicines11082306
APA StyleZakirov, R., Petrichuk, S., Yanyushkina, O., Semikina, E., Vershinina, M., & Karaseva, O. (2023). Comprehensive Assessment of Mid-Regional Proadrenomedullin, Procalcitonin, Neuron-Specific Enolase and Protein S100 for Predicting Pediatric Severe Trauma Outcomes. Biomedicines, 11(8), 2306. https://doi.org/10.3390/biomedicines11082306

