Prognostic Utility of Neck Lymph Node-to-Primary Tumor Standardized Uptake Value Ratio in Oral Cavity Cancer
Abstract
1. Introduction
2. Materials and Methods
2.1. Patients and Data Extraction
2.2. SUV Measurement in 18F-FDG PET
2.3. Follow-Up and Study Endpoints
2.4. Statistical Analysis
3. Results
3.1. Baseline Characteristics
3.2. Determination of Optimal NTR Cutoff Value
3.3. Associations between NTR and Clinicopathological Characteristics
3.4. Prognostic Factors for OS
3.5. Prognostic Factors for DFS
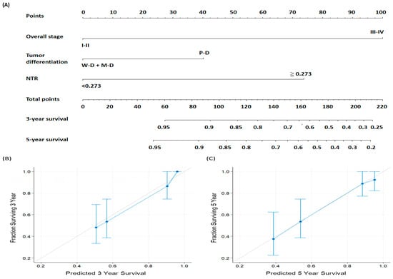
3.6. Construction of Predictive Nomogram
4. Discussion
5. Conclusions
Author Contributions
Funding
Institutional Review Board Statement
Informed Consent Statement
Data Availability Statement
Conflicts of Interest
References
- Shah, J.P.; Gil, Z. Current concepts in management of oral cancer--surgery. Oral Oncol. 2009, 45, 394–401. [Google Scholar] [CrossRef] [PubMed]
- Sung, H.; Ferlay, J.; Siegel, R.L.; Laversanne, M.; Soerjomataram, I.; Jemal, A.; Bray, F. Global cancer statistics 2020: Globocan estimates of incidence and mortality worldwide for 36 cancers in 185 countries. CA Cancer J. Clin. 2021, 71, 209–249. [Google Scholar] [CrossRef] [PubMed]
- Parmar, A.; Macluskey, M.; Mc Goldrick, N.; I Conway, D.; Glenny, A.-M.; E Clarkson, J.; Worthington, H.V.; Chan, K.K. Interventions for the treatment of oral cavity and oropharyngeal cancer: Chemotherapy. Cochrane Database Syst. Rev. 2021, 2021, CD006386. [Google Scholar] [CrossRef]
- Hartner, L. Chemotherapy for oral cancer. Dent. Clin. N. Am. 2018, 62, 87–97. [Google Scholar] [CrossRef]
- Dasari, S.; Tchounwou, P.B. Cisplatin in cancer therapy: Molecular mechanisms of action. Eur. J. Pharmacol. 2014, 740, 364–378. [Google Scholar] [CrossRef]
- Nair, D.; Mair, M.; Singhvi, H.; Mishra, A.; Nair, S.V.; Agrawal, J.; Chaturvedi, P. Perineural invasion: Independent prognostic factor in oral cancer that warrants adjuvant treatment. Head Neck 2018, 40, 1780–1787. [Google Scholar] [CrossRef]
- Huang, S.; Zhu, Y.; Cai, H.; Zhang, Y.; Hou, J. Impact of lymphovascular invasion in oral squamous cell carcinoma: A meta-analysis. Oral Surg. Oral Med. Oral Pathol. Oral Radiol. 2021, 131, 319–328.e311. [Google Scholar] [CrossRef]
- Lee, L.; Lin, C.; Cheng, N.; Tsai, C.; Hsueh, C.; Fan, K.; Wang, H.; Hsieh, C.; Ng, S.; Yeh, C.; et al. Poor tumor differentiation is an independent adverse prognostic variable in patients with locally advanced oral cavity cancer—Comparison with pathological risk factors according to the nccn guidelines. Cancer Med. 2021, 10, 6627–6641. [Google Scholar] [CrossRef]
- Adeola, H.A.; Bello, I.O.; Aruleba, R.T.; Francisco, N.M.; Adekiya, T.A.; Adefuye, A.O.; Ikwegbue, P.C.; Musaigwa, F. The practicality of the use of liquid biopsy in early diagnosis and treatment monitoring of oral cancer in resource-limited settings. Cancers 2022, 14, 1139. [Google Scholar] [CrossRef]
- Gattuso, G.; Crimi, S.; Lavoro, A.; Rizzo, R.; Musumarra, G.; Gallo, S.; Facciponte, F.; Paratore, S.; Russo, A.; Bordonaro, R.; et al. Liquid biopsy and circulating biomarkers for the diagnosis of precancerous and cancerous oral lesions. Noncoding RNA 2022, 8, 60. [Google Scholar] [CrossRef]
- Roi, A.; Roi, C.I.; Negruțiu, M.L.; Riviș, M.; Sinescu, C.; Rusu, L.-C. The challenges of oscc diagnosis: Salivary cytokines as potential biomarkers. J. Clin. Med. 2020, 9, 2866. [Google Scholar] [CrossRef] [PubMed]
- Latzko, L.; Schöpf, B.; Weissensteiner, H.; Fazzini, F.; Fendt, L.; Steiner, E.; Bruckmoser, E.; Schäfer, G.; Moncayo, R.-C.; Klocker, H.; et al. Implications of standardized uptake values of oral squamous cell carcinoma in pet-ct on prognosis, tumor characteristics and mitochondrial DNA heteroplasmy. Cancers 2021, 13, 2273. [Google Scholar] [CrossRef] [PubMed]
- Liao, C.-T.; Wang, H.-M.; Chang, J.T.-C.; Lin, C.-Y.; Ng, S.-H.; Huang, S.-F.; Chen, I.-H.; Hsueh, C.; Lee, L.-Y.; Lin, C.-H.; et al. Influence of pathological nodal status and maximal standardized uptake value of the primary tumor and regional lymph nodes on treatment plans in patients with advanced oral cavity squamous cell carcinoma. Int. J. Radiat. Oncol. 2010, 77, 421–429. [Google Scholar] [CrossRef] [PubMed]
- Chan, S.-C.; Chang, J.T.-C.; Wang, H.-M.; Lin, C.-Y.; Ng, S.-H.; Fan, K.-H.; Chin, S.-C.; Liao, C.-T.; Yen, T.-C. Prediction for distant failure in patients with stage m0 nasopharyngeal carcinoma: The role of standardized uptake value. Oral Oncol. 2009, 45, 52–58. [Google Scholar] [CrossRef] [PubMed]
- Hung, T.-M.; Wang, H.-M.; Kang, C.-J.; Huang, S.-F.; Liao, C.-T.; Chan, S.-C.; Ng, S.-H.; Chen, I.-H.; Lin, C.-Y.; Fan, K.-H.; et al. Pretreatment (18)f-fdg pet standardized uptake value of primary tumor and neck lymph nodes as a predictor of distant metastasis for patients with nasopharyngeal carcinoma. Oral Oncol. 2013, 49, 169–174. [Google Scholar] [CrossRef]
- Li, T.-C.; Zhao, X.; Liu, Y.-N.; Wang, G.-L.; Liu, K.-F.; Zhao, K. Prognostic value of node-to-primary tumor maximum standardized uptake value ratio in t1-4n1-3m0 non-small cell lung cancer patients treated with concurrent chemo-radiotherapy. Nucl. Med. Commun. 2022, 43, 901–907. [Google Scholar] [CrossRef]
- Chung, H.H.; Cheon, G.J.; Kim, J.-W.; Park, N.-H.; Song, Y.S. Prognostic importance of lymph node-to-primary tumor standardized uptake value ratio in invasive squamous cell carcinoma of uterine cervix. Eur. J. Nucl. Med. Mol. Imaging 2017, 44, 1862–1869. [Google Scholar] [CrossRef]
- Chen, P.-J.; Yap, W.-K.; Chang, Y.-C.; Tseng, C.-K.; Chao, Y.-K.; Hsieh, J.C.-H.; Pai, P.-C.; Lee, C.-H.; Yang, C.-K.; Ho, A.T.-Y.; et al. Prognostic value of lymph node to primary tumor standardized uptake value ratio in unresectable esophageal cancer. BMC Cancer 2020, 20, 545. [Google Scholar] [CrossRef]
- Kim, Y.H.; Yoon, H.-J.; Kim, Y.; Kim, B.S. Axillary lymph node-to-primary tumor standard uptake value ratio on preoperative (18)f-fdg pet/ct: A prognostic factor for invasive ductal breast cancer. J. Breast Cancer 2015, 18, 173–180. [Google Scholar] [CrossRef]
- Shen, E.Y.-L.; Hung, T.-M.; Tsan, D.-L.; Cheng, N.-M.; Kang, C.-J.; Huang, S.-F.; Hsu, C.-L.; Lin, C.-Y.; Wang, H.-M.; Hsieh, J.C.-H.; et al. Utilization of the lymph node-to-primary tumor ratio of pet standardized uptake value and circulating epstein-barr virus DNA to predict distant metastasis in nasopharyngeal carcinoma. Radiother. Oncol. 2022, 177, 1–8. [Google Scholar] [CrossRef]
- Lagergren, J.; Brusselaers, N. The charlson comorbidity index in registry-based research. Methods Inf. Med. 2017, 56, 401–406. [Google Scholar] [CrossRef]
- Husten, C.G. How should we define light or intermittent smoking? Does it matter? Nicotine Tob. Res. 2009, 11, 111–121. [Google Scholar] [CrossRef] [PubMed]
- Kao, H.-K.; Löfstrand, J.; Loh, C.Y.-Y.; Lao, W.W.-K.; Yi, J.-S.; Chang, Y.-L.; Chang, K.-P. Nomogram based on albumin and neutrophil-to-lymphocyte ratio for predicting the prognosis of patients with oral cavity squamous cell carcinoma. Sci. Rep. 2018, 8, 13081. [Google Scholar] [CrossRef] [PubMed]
- Lin, C.-Y.; Fan, K.-H.; Lee, L.-Y.; Hsueh, C.; Yang, L.Y.; Ng, S.-H.; Wang, H.-M.; Hsieh, C.-H.; Lin, C.-H.; Tsao, C.-K.; et al. Precision adjuvant therapy based on detailed pathologic risk factors for resected oral cavity squamous cell carcinoma: Long-term outcome comparison of cgmh and nccn guidelines. Int. J. Radiat. Oncol. 2019, 106, 916–925. [Google Scholar] [CrossRef] [PubMed]
- Hung, T.-M.; Fan, K.-H.; Kang, C.-J.; Huang, S.-F.; Lin, C.-Y.; Ho, A.T.-Y.; Wang, H.-M.; Hsieh, J.C.-H.; Cheng, A.-J.; Ng, S.-H.; et al. Lymph node-to-primary tumor standardized uptake value ratio on pet predicts distant metastasis in nasopharyngeal carcinoma. Oral Oncol. 2020, 110, 104756. [Google Scholar] [CrossRef]
- Driscoll, J.J.; Rixe, O. Overall survival: Still the gold standard: Why overall survival remains the definitive end point in cancer clinical trials. Cancer J. 2009, 15, 401–405. [Google Scholar] [CrossRef]
- Harrell, F.E., Jr.; Lee, K.L.; Mark, D.B. Multivariable prognostic models: Issues in developing models, evaluating assumptions and adequacy, and measuring and reducing errors. Stat. Med. 1996, 15, 361–387. [Google Scholar] [CrossRef]
- Niu, L.; Zheng, D.; Wang, D.; Zhang, J.; Fei, J.; Guo, C. Accuracy of (18) f-fdg pet/ct in detection of neck metastases of oral squamous cell carcinoma in patients without large palpable lymph nodes. Oral Surg. Oral Med. Oral Pathol. Oral Radiol. 2020, 129, 418–426. [Google Scholar] [CrossRef]
- Cheng, N.-M.; Kang, C.-J.; Tsai, C.-Y.; Lin, C.-Y.; Hsueh, C.; Fan, K.-H.; Wang, H.-M.; Hsieh, C.-H.; Ng, S.-H.; Yeh, C.-H.; et al. Improved prognostic stratification of patients with pn3b oral cavity cancer based on maximum standardized uptake value of metastatic nodes, lymph node ratio, and level of cervical nodal metastases. Oral Oncol. 2021, 123, 105593. [Google Scholar] [CrossRef]
- Lin, N.-C.; Hsu, J.-T.; Chen, M.Y.; Tsai, K.-Y. Maximum standardised uptake value is prognostic in patients with early-stage squamous cell carcinoma of the tongue. Br. J. Oral Maxillofac. Surg. 2022, 60, 1209–1215. [Google Scholar] [CrossRef]
- Morand, G.B.; Vital, D.G.; Kudura, K.; Werner, J.; Stoeckli, S.J.; Huber, G.F.; Huellner, M.W. Maximum standardized uptake value (suv(max)) of primary tumor predicts occult neck metastasis in oral cancer. Sci. Rep. 2018, 8, 11817. [Google Scholar] [CrossRef] [PubMed]
- Suzuki, H.; Hasegawa, Y.; Terada, A.; Hyodo, I.; Nakashima, T.; Nishio, M.; Tamaki, T. Fdg-pet predicts survival and distant metastasis in oral squamous cell carcinoma. Oral Oncol. 2009, 45, 569–573. [Google Scholar] [CrossRef] [PubMed]
- Abgral, R.; Keromnes, N.; Robin, P.; Le Roux, P.-Y.; Bourhis, D.; Palard, X.; Rousset, J.; Valette, G.; Marianowski, R.; Salaun, P.-Y. Prognostic value of volumetric parameters measured by 18f-fdg pet/ct in patients with head and neck squamous cell carcinoma. Eur. J. Nucl. Med. 2013, 41, 659–667. [Google Scholar] [CrossRef] [PubMed]
- Lim, R.; Eaton, A.; Lee, N.Y.; Setton, J.; Ohri, N.; Rao, S.; Wong, R.; Fury, M.; Schöder, H. 18f-fdg pet/ct metabolic tumor volume and total lesion glycolysis predict outcome in oropharyngeal squamous cell carcinoma. J. Nucl. Med. 2012, 53, 1506–1513. [Google Scholar] [CrossRef] [PubMed]
- Ryu, I.S.; Kim, J.S.; Roh, J.-L.; Cho, K.-J.; Choi, S.-H.; Nam, S.Y.; Kim, S.Y. Prognostic significance of preoperative metabolic tumour volume and total lesion glycolysis measured by (18)f-fdg pet/ct in squamous cell carcinoma of the oral cavity. Eur. J. Nucl. Med. 2013, 41, 452–461. [Google Scholar] [CrossRef]
- Chung, H.H.; Cheon, G.J.; Kim, J.-W.; Park, N.-H.; Song, Y.S. Prognostic value of lymph node-to-primary tumor standardized uptake value ratio in endometrioid endometrial carcinoma. Eur. J. Nucl. Med. Mol. Imaging 2018, 45, 47–55. [Google Scholar] [CrossRef]
- Purohit, B.S.; Ailianou, A.; Dulguerov, P.; Becker, C.D.; Ratib, O.; Becker, M. Fdg-pet/ct pitfalls in oncological head and neck imaging. Insights Imaging 2014, 5, 585–602. [Google Scholar] [CrossRef]
- Lim, R.S.M.; Ramdave, S.; Beech, P.; Billah, B.; Karim, N.; Smith, J.A.; Safdar, A.; Sigston, E. Utility of suv(max) on (18) f-fdg pet in detecting cervical nodal metastases. Cancer Imaging 2016, 16, 39. [Google Scholar] [CrossRef]
- Castelli, J.; Depeursinge, A.; Ndoh, V.; Prior, J.; Ozsahin, M.; Devillers, A.; Bouchaab, H.; Chajon, E.; de Crevoisier, R.; Scher, N.; et al. A pet-based nomogram for oropharyngeal cancers. Eur. J. Cancer 2017, 75, 222–230. [Google Scholar] [CrossRef]
- Xu, F.; Peng, L.; Feng, J.; Zhu, X.; Pan, Y.; Hu, Y.; Gao, X.; Ma, Y.; He, Y. A prediction model of nodal metastasis in cn0 oral squamous cell carcinoma using metabolic and pathological variables. Cancer Imaging 2023, 23, 34. [Google Scholar] [CrossRef]
- Kidd, E.A.; El Naqa, I.; Siegel, B.A.; Dehdashti, F.; Grigsby, P.W. Fdg-pet-based prognostic nomograms for locally advanced cervical cancer. Gynecol. Oncol. 2012, 127, 136–140. [Google Scholar] [CrossRef] [PubMed]



| Characteristic | Numbers (%) |
|---|---|
| Age (years), median (IQR) | 59 (51−67) |
| Sex | |
| Men | 121 (85.8%) |
| Women | 20 (14.2%) |
| Tumor location | |
| Buccal mucosa | 51 (36.2%) |
| Tongue | 45 (31.9%) |
| Gingiva | 28 (19.9%) |
| Retromolar trigone | 9 (6.4%) |
| Mouth floor | 4 (2.8%) |
| Lip | 2 (1.4%) |
| Hard palate | 2 (1.4%) |
| Personal Habits | |
| Cigarette Smoking | 118 (83.7%) |
| Betel nut chewing | 116 (82.3%) |
| Alcohol consumption | 100 (70.9%) |
| AJCC stage | |
| I | 13 (9.2%) |
| II | 17 (12.1%) |
| III | 19 (13.5%) |
| IV | 92 (65.2%) |
| T status | |
| T1 | 19 (13.5%) |
| T2 | 25 (17.7%) |
| T3 | 22 (15.6%) |
| T4 | 75 (53.2%) |
| N status | |
| N0 | 73 (51.8%) |
| N1 | 12 (8.5%) |
| N2 | 45 (31.9%) |
| N3 | 11 (7.8%) |
| Presence of PNI | 48 (34.0%) |
| Presence of ENE | 43 (30.5%) |
| Presence of LVI | 12 (8.5%) |
| Tumor differentiation | |
| WD/MD | 121 (85.8%) |
| PD | 20 (14.2%) |
| Closest surgical margin | |
| ≥5 mm | 110 (78.0%) |
| <5 mm | 31 (22.0%) |
| DOI ≥ 10 mm | 87 (61.7%) |
| Treatment modality | |
| Surgery alone | 48 (34.0%) |
| Surgery + RT | 18 (12.8%) |
| Surgery + CRT | 75 (53.2%) |
| Charlson comorbidity index | |
| 0 | 82 (58.2%) |
| ≥1 | 59 (41.8%) |
| SUV-T, median (IQR) | 13.03 (8.02−18.31) |
| SUV-N, median (IQR) | 4.14 (3.02−6.91) |
| NTR, median (IQR) | 0.388 (0.262−0.574) |
| Number of Patients (%) | |||
|---|---|---|---|
| Characteristic | NTR < 0.273, n = 38 | NTR ≥ 0.273, n = 103 | p-Value |
| Sex | 0.194 a | ||
| Men | 35 (92.1%) | 86 (83.5%) | |
| Women | 3 (7.9%) | 17 (16.5%) | |
| Age | 0.043 a | ||
| <65 | 20 (52.6%) | 73 (70.9%) | |
| ≥65 | 18 (47.4%) | 30 (29.1%) | |
| AJCC Stage | 0.935 a | ||
| I–II | 13 (34.2%) | 36 (35.0%) | |
| III–IV | 25 (65.8%) | 67 (65.0%) | |
| T status | 0.114 a | ||
| T1–T2 | 8 (21.1%) | 36 (35.0%) | |
| T3–T4 | 30 (78.9%) | 67 (65.0%) | |
| N status | |||
| N0 | 26 (68.4%) | 47 (45.6%) | 0.016 a |
| N1–N3 | 12 (31.6%) | 56 (54.4%) | |
| PNI | |||
| Absent | 26 (68.4%) | 67 (65.0%) | 0.708 a |
| Present | 12 (31.6%) | 36 (35.0%) | |
| LVI | |||
| Absent | 37 (97.4%) | 92 (89.3%) | 0.181 a |
| Present | 1 (2.6%) | 11 (10.7%) | |
| ENE | 0.002 a | ||
| Absent | 34 (89.5%) | 64 (62.1%) | |
| Present | 4 (10.5%) | 39 (37.9%) | |
| Tumor differentiation | 0.832 a | ||
| WD/MD | 33 (86.8%) | 88 (85.4%) | |
| PD | 5 (13.2%) | 15 (14.6%) | |
| Closest margin | 0.871 a | ||
| ≥5 mm | 30 (78.9%) | 80 (77.7%) | |
| <5 mm | 8 (21.1%) | 23 (22.3%) | |
| DOI ≥ 10 mm | 0.165 a | ||
| No | 11 (28.9%) | 43 (41.7%) | |
| Yes | 27 (71.1%) | 60 (58.3%) | |
| Tumor location | 0.704 a | ||
| Tongue | 12 (31.6%) | 33 (32.0%) | |
| Buccal mucosa | 12 (31.6%) | 39 (37.9%) | |
| Other | 14 (36.8%) | 31 (30.1%) | |
| Personal habits | 0.791 a | ||
| No exposure | 3 (7.9%) | 12 (11.7%) | |
| One exposure | 2 (5.3%) | 6 (5.8%) | |
| Two or all exposure | 33 (86.8%) | 85 (82.5%) | |
| Adjuvant therapy | 0.228 a | ||
| Absent | 15 (39.5%) | 33 (32.0%) | |
| RT | 7 (18.4%) | 11 (10.7%) | |
| CRT | 16 (42.1%) | 59 (57.3%) | |
| CCI | 0.239 a | ||
| 0 | 22 (57.9%) | 60 (58.3%) | |
| ≥1 | 16 (42.1%) | 43 (41.7%) | |
| Survival in months, median (IQR) | 40.5 (30.5–58.0) | 29.0 (12.0–48.3) | 0.004 b |
| Characteristic | Univariable Analysis | Multivariable Analysis | |||
|---|---|---|---|---|---|
| HR (95% CI) | p-Value | HR (95% CI) | p-Value | ||
| Sex | Men vs. Women | 1.026 (0.401–2.622) | 0.958 | ||
| Age (years) | ≥65 vs. <65 | 0.745 (0.380–1.460) | 0.391 | ||
| AJCC stage | III–IV vs. I–II | 8.431 (2.600–27.338) | <0.001 | 4.048 (1.785–20.878) | 0.012 |
| Presence of PNI | Yes vs. no | 2.863 (1.541–5.321) | 0.001 | 1.609 (0.821–3.156) | 0.166 |
| Presence of LVI | Yes vs. no | 3.273 (1.444–7.418) | 0.005 | 1.570 (0.658–3.742) | 0.309 |
| Cancer histologic grading | PD vs. WD/MD | 2.701 (1.347–5.415) | 0.005 | 2.263 (1.129–4.946) | 0.023 |
| Adjuvant therapy | Yes vs. no | 3.685 (1.547–8.781) | 0.003 | 1.462 (0.542–3.944) | 0.453 |
| Closest margin (mm) | <5 vs. ≥5 | 2.103 (1.102–4.014) | 0.024 | 1.508 (0.761–2.990) | 0.239 |
| CCI | ≥1 vs. 0 | 1.513 (0.644–3.554) | 0.342 | ||
| NTR | ≥0.273 vs. <0.273 | 4.219 (1.501–11.854) | 0.006 | 4.865 (1.704–13.887) | 0.003 |
| Characteristic | Univariable Analysis | Multivariable Analysis | |||
|---|---|---|---|---|---|
| HR (95% CI) | p-Value | HR (95% CI) | p-Value | ||
| Sex | Men vs. Women | 1.199 (0.513–2.800) | 0.675 | ||
| Age (years) | ≥65 vs. <65 | 0.534 (0.292–0.977) | 0.042 | ||
| AJCC stage | III–IV vs. I–II | 3.717 (1.822–7.586) | <0.001 | 2.725 (1.269–5.896) | 0.021 |
| Presence of PNI | Yes vs. no | 1.923 (1.139–3.247) | 0.014 | 1.216 (0.681–2.173) | 0.509 |
| Presence of LVI | Yes vs. no | 2.054 (0.930–4.540) | 0.075 | 1.237 (0.534–2.866) | 0.620 |
| Cancer histologic grading | PD vs. WD/MD | 2.002 (1.076–3.724) | 0.028 | 1.819 (0.944–3.505) | 0.074 |
| Adjuvant therapy | Yes vs. no | 2.693 (1.392–3.687) | 0.003 | 1.575 (0.692–3.584) | 0.279 |
| Closest margin (mm) | <5 vs. ≥5 | 1.850 (1.058–3.236) | 0.031 | 1.453 (0.810–2.606) | 0.210 |
| CCI | ≥1 vs. 0 | 1.146 (0.529–2.481) | 0.730 | ||
| NTR | ≥0.273 vs. <0.273 | 2.459 (1.204–5.023) | 0.014 | 2.696 (1.301–5.586) | 0.008 |
Disclaimer/Publisher’s Note: The statements, opinions and data contained in all publications are solely those of the individual author(s) and contributor(s) and not of MDPI and/or the editor(s). MDPI and/or the editor(s) disclaim responsibility for any injury to people or property resulting from any ideas, methods, instructions or products referred to in the content. |
© 2023 by the authors. Licensee MDPI, Basel, Switzerland. This article is an open access article distributed under the terms and conditions of the Creative Commons Attribution (CC BY) license (https://creativecommons.org/licenses/by/4.0/).
Share and Cite
Ho, K.-W.; Fang, K.-H.; Lu, C.-H.; Hsu, C.-M.; Lai, C.-H.; Liao, C.-T.; Kang, C.-J.; Tsai, Y.-H.; Tsai, M.-S.; Huang, E.I.; et al. Prognostic Utility of Neck Lymph Node-to-Primary Tumor Standardized Uptake Value Ratio in Oral Cavity Cancer. Biomedicines 2023, 11, 1954. https://doi.org/10.3390/biomedicines11071954
Ho K-W, Fang K-H, Lu C-H, Hsu C-M, Lai C-H, Liao C-T, Kang C-J, Tsai Y-H, Tsai M-S, Huang EI, et al. Prognostic Utility of Neck Lymph Node-to-Primary Tumor Standardized Uptake Value Ratio in Oral Cavity Cancer. Biomedicines. 2023; 11(7):1954. https://doi.org/10.3390/biomedicines11071954
Chicago/Turabian StyleHo, Kuo-Wei, Ku-Hao Fang, Chang-Hsien Lu, Cheng-Ming Hsu, Chia-Hsuan Lai, Chun-Ta Liao, Chung-Jan Kang, Yuan-Hsiung Tsai, Ming-Shao Tsai, Ethan I. Huang, and et al. 2023. "Prognostic Utility of Neck Lymph Node-to-Primary Tumor Standardized Uptake Value Ratio in Oral Cavity Cancer" Biomedicines 11, no. 7: 1954. https://doi.org/10.3390/biomedicines11071954
APA StyleHo, K.-W., Fang, K.-H., Lu, C.-H., Hsu, C.-M., Lai, C.-H., Liao, C.-T., Kang, C.-J., Tsai, Y.-H., Tsai, M.-S., Huang, E. I., Chang, G.-H., Ko, C.-A., Tsai, M.-H., & Tsai, Y.-T. (2023). Prognostic Utility of Neck Lymph Node-to-Primary Tumor Standardized Uptake Value Ratio in Oral Cavity Cancer. Biomedicines, 11(7), 1954. https://doi.org/10.3390/biomedicines11071954

