Correlation of TIMP1-MMP2/MMP9 Gene Expression Axis Changes with Treatment Efficacy and Survival of NSCLC Patients
Abstract
1. Introduction
2. Materials and Methods
2.1. Materials
2.2. Methods
2.2.1. RNA Isolation
2.2.2. Reverse Transcription Reaction
2.2.3. PCR Reaction
2.2.4. qPCR
2.3. External Database
2.4. Statistical Analysis
3. Results
3.1. Correlation between TIMP1, MMP2 and MMP9 Gene Expression in Blood and Lung Tumor Tissue
3.2. Assessment of MMP2, MMP9 and TIMP1 Gene Expression during the Therapy
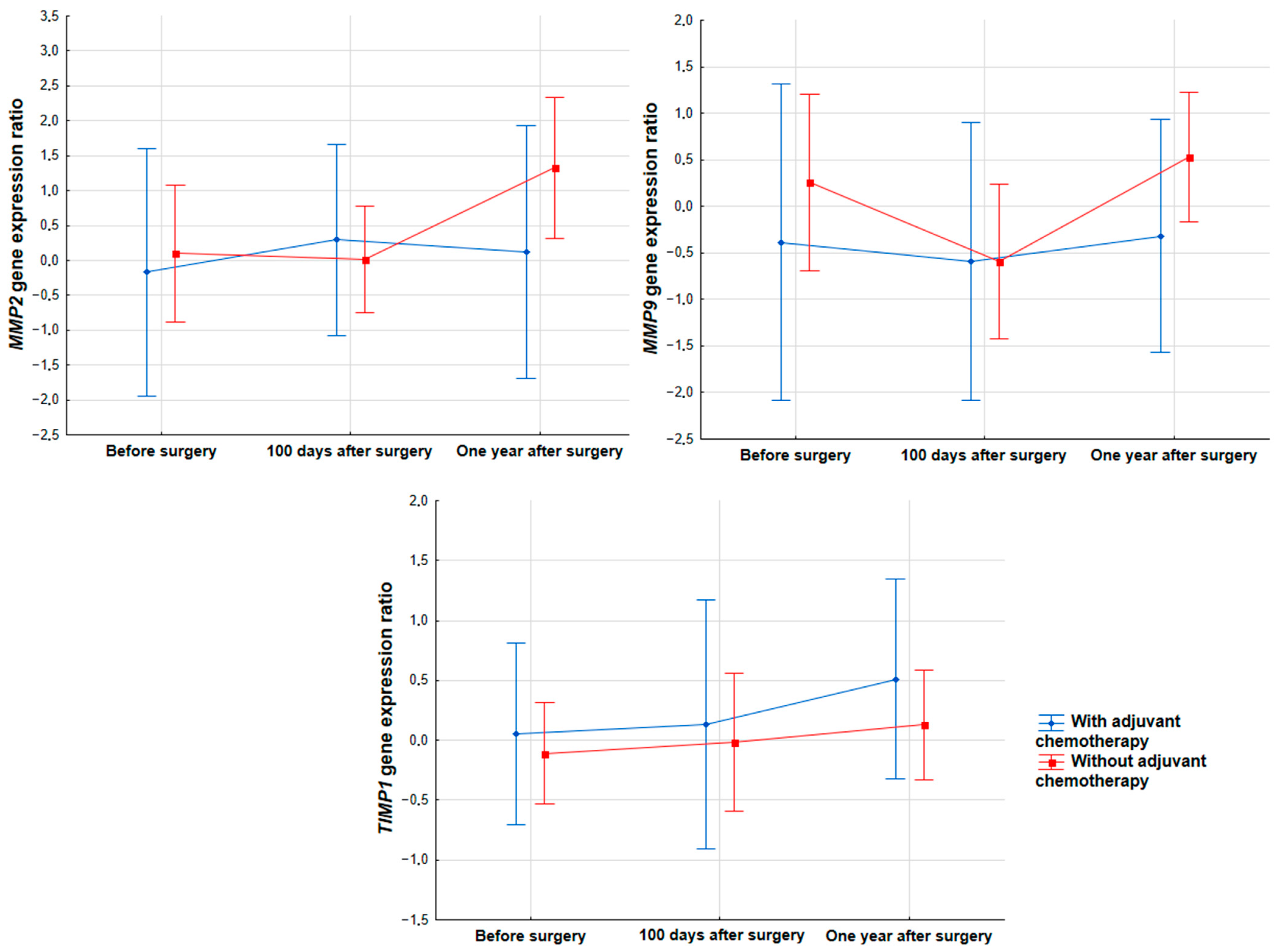
3.3. Comparison of MMP2, MMP9 and TIMP1 Gene Expression in the Blood Depending on Adjuvant Chemotherapy
3.4. Comparison of MMP2, MMP9 and TIMP1 Gene Expression in the Blood between the NSCLC Patients and the Control Group
3.5. The Changes in the Expression Level of TIMP1, MMP2 and MMP9 Genes in Blood at Three Time Points (before Surgery, 100 Days after Surgery and One Year after Surgery) against Various Etiological and Clinical Parameters
3.6. Changes in the Expression of TIMP1, MMP2 and MMP9 in Neoplastic Tissue against Various Clinical Parameters
3.7. Impact of TIMP1, MMP2 and MMP9 Gene Expression on Survival of NSCLC Patients
3.8. Analysis of Data Collected in External Databases
4. Discussion
5. Conclusions
Author Contributions
Funding
Institutional Review Board Statement
Informed Consent Statement
Data Availability Statement
Conflicts of Interest
References
- GLOBOCAN. 21 October 2021. Available online: https://gco.iarc.fr/today/online-analysis-table?v=2020&mode=cancer&mode_population=continents&population=900&populations=900&key=asr&sex=0&cancer=39&type=0&statistic=5&prevalence=0&population_group=0&ages_group%5B%5D=0&ages_group%5B%5D=17&group_cancer=1&include_nmsc=1&include_nmsc_other=1#collapse-group-1-3-4 (accessed on 21 October 2021).
- Nasim, F.; Sabath, B.F.; Eapen, G.A. Lung Cancer. Med. Clin. N. Am. 2019, 103, 463–473. [Google Scholar] [CrossRef] [PubMed]
- Zheng, M. Classification and Pathology of Lung Cancer. Surg. Oncol. Clin. N. Am. 2016, 25, 447–468. [Google Scholar] [CrossRef] [PubMed]
- Cooper, W.A.; Lam, D.C.L.; O’Toole, S.A.; Minna, J.D. Molecular biology of lung cancer. J. Thorac. Dis. 2013, 5 (Suppl. 5), S479–S490. [Google Scholar] [PubMed]
- Herbst, R.S.; Morgensztern, D.; Boshoff, C. The biology and management of non-small cell lung cancer. Nature 2018, 553, 446–454. [Google Scholar] [CrossRef]
- Thai, A.A.; Solomon, B.J.; Sequist, L.V.; Gainor, J.F.; Heist, R.S. Lung cancer. Lancet 2021, 398, 535–554. [Google Scholar] [CrossRef]
- Kessenbrock, K.; Plaks, V.; Werb, Z. Matrix metalloproteinases: Regulators of the tumor microenvironment. Cell 2010, 141, 52–67. [Google Scholar] [CrossRef]
- Roy, R.; Morad, G.; Jedinak, A.; Moses, M.A. Metalloproteinases and their roles in human cancer. Anat. Rec. 2020, 303, 1557–1572. [Google Scholar] [CrossRef]
- Gonzalez-Avila, G.; Sommer, B.; García-Hernández, A.A.; Ramos, C. Matrix Metalloproteinases’ Role in Tumor Microenvironment. Adv. Exp. Med. Biol. 2020, 1245, 97–131. [Google Scholar]
- Shi, Y.; Ma, X.; Fang, G.; Tian, X.; Ge, C. Matrix metalloproteinase inhibitors (MMPIs) as attractive therapeutic targets: Recent progress and current challenges. NanoImpact 2021, 21, 100293. [Google Scholar] [CrossRef]
- Van den Steen, P.E.; Van Aelst, I.; Hvidberg, V.; Piccard, H.; Fiten, P.; Jacobsen, C.; Moestrup, S.K.; Fry, S.; Royle, L.; Wormald, M.R.; et al. The hemopexin and O-glycosylated domains tune gelatinase B/MMP-9 bioavailability via inhibition and binding to cargo receptors. J. Biol. Chem. 2006, 281, 18626–18637. [Google Scholar] [CrossRef]
- Visse, R.; Nagase, H. Matrix metalloproteinases and tissue inhibitors of metalloproteinases: Structure, function, and biochemistry. Circ. Res. 2003, 92, 827–839. [Google Scholar] [CrossRef]
- Grünwald, B.; Schoeps, B.; Krüger, A. Recognizing the Molecular Multifunctionality and Interactome of TIMP-1. Trends Cell Biol. 2019, 29, 6–19. [Google Scholar] [CrossRef] [PubMed]
- Livak, K.J.; Schmittgen, T.D. Analysis of relative gene expression data using real-time quantitative PCR and the 2(-Delta Delta C(T)) Method. Methods 2001, 25, 402–408. [Google Scholar] [CrossRef] [PubMed]
- Chandrashekar, D.S.; Karthikeyan, S.K.; Korla, P.K.; Patel, H.; Shovon, A.R.; Athar, M.; Netto, G.J.; Qin, Z.S.; Kumar, S.; Manne, U.; et al. UALCAN: An update to the integrated cancer data analysis platform. Neoplasia 2022, 25, 18–27. [Google Scholar] [CrossRef] [PubMed]
- Győrffy, B.; Surowiak, P.; Budczies, J.; Lánczky, A. Online survival analysis software to assess the prognostic value of biomarkers using transcriptomic data in non-small-cell lung cancer. PLoS ONE 2013, 8, e82241. [Google Scholar] [CrossRef]
- Bonnans, C.; Chou, J.; Werb, Z. Remodelling the extracellular matrix in development and disease. Nat. Rev. Mol. Cell Biol. 2014, 15, 786–801. [Google Scholar] [CrossRef]
- Theocharis, A.D.; Skandalis, S.S.; Gialeli, C.; Karamanos, N.K. Extracellular matrix structure. Adv. Drug Deliv. Rev. 2016, 97, 4–27. [Google Scholar] [CrossRef]
- Bosman, F.T.; Stamenkovic, I. Functional structure and composition of the extracellular matrix. J. Pathol. 2003, 200, 423–428. [Google Scholar] [CrossRef]
- Cabral-Pacheco, G.A.; Garza-Veloz, I.; La Rosa, C.C.-D.; Ramirez-Acuña, J.M.; Perez-Romero, B.A.; Guerrero-Rodriguez, J.F.; Martinez-Avila, N.; Martinez-Fierro, M.L. The Roles of Matrix Metalloproteinases and Their Inhibitors in Human Diseases. Int. J. Mol. Sci. 2020, 21, 9739. [Google Scholar] [CrossRef]
- Hadler-Olsen, E.; Winberg, J.O.; Uhlin-Hansen, L. Matrix metalloproteinases in cancer: Their value as diagnostic and prognostic markers and therapeutic targets. Tumor Biol. 2013, 34, 2041–2051. [Google Scholar] [CrossRef]
- Decock, J.; Thirkettle, S.; Wagstaff, L.; Edwards, D.R. Matrix metalloproteinases: Protective roles in cancer. J. Cell Mol. Med. 2011, 15, 1254–1265. [Google Scholar] [CrossRef] [PubMed]
- Fields, G.B. The Rebirth of Matrix Metalloproteinase Inhibitors: Moving Beyond the Dogma. Cells 2019, 8, 984. [Google Scholar] [CrossRef] [PubMed]
- Yan, C.; Boyd, D.D. Regulation of matrix metalloproteinase gene expression. J. Cell Physiol. 2007, 211, 19–26. [Google Scholar] [CrossRef] [PubMed]
- Clark, I.M.; Swingler, T.E.; Sampieri, C.L.; Edwards, D. The regulation of matrix metalloproteinases and their inhibitors. Int. J. Biochem. Cell Biol. 2008, 40, 1362–1378. [Google Scholar] [CrossRef] [PubMed]
- Burrage, P.S.; Huntington, J.T.; Sporn, M.B.; Brinckerhoff, C.E. Regulation of matrix metalloproteinase gene expression by a retinoid X receptor–specific ligand. Arthritis Rheum. 2007, 56, 892–904. [Google Scholar] [CrossRef] [PubMed]
- Shabani, P.; Izadpanah, S.; Aghebati-Maleki, A.; Baghbani, E.; Baghbanzadeh, A.; Fotouhi, A.; Bakhshinejad, B.; Aghebati-Maleki, L.; Baradaran, B. Role of miR-142 in the pathogenesis of osteosarcoma and its potential as therapeutic approach. J. Cell Biochem. 2019, 120, 4783–4793. [Google Scholar] [CrossRef] [PubMed]
- Jiang, H.; Li, H. Prognostic values of tumoral MMP2 and MMP9 overexpression in breast cancer: A systematic review and meta-analysis. BMC Cancer 2021, 21, 149. [Google Scholar] [CrossRef]
- Tan, A.C. Targeting the PI3K/Akt/mTOR pathway in non-small cell lung cancer (NSCLC). Thorac. Cancer 2020, 11, 511–518. [Google Scholar] [CrossRef]
- Tang, Y.; Lv, P.; Sun, Z.; Han, L.; Zhou, W. 14-3-3β Promotes Migration and Invasion of Human Hepatocellular Carcinoma Cells by Modulating Ex-pression of MMP2 and MMP9 through PI3K/Akt/NF-κB Pathway. PLoS ONE 2016, 11, e0146070. [Google Scholar]
- Zhang, X.S.; Wang, K.Y.; Gao, J.Q.; Li, R.J.; Guan, Q.B.; Song, L. Study on the expression of p53 and MMP-2 in patients with lung cancer after interventional therapy. Oncol. Lett. 2018, 16, 4291–4296. [Google Scholar] [CrossRef]
- Liang, H.; Wang, H.B.; Liu, H.Z.; Wen, X.J.; Zhou, Q.L.; Yang, C.X. The effects of combined treatment with sevoflurane and cisplatin on growth and invasion of human ade-nocarcinoma cell line A549. Biomed. Pharmacother. 2013, 67, 503–509. [Google Scholar] [CrossRef]
- Karam, A.K.; Santiskulvong, C.; Fekete, M.; Zabih, S.; Eng, C.; Dorigo, O. Cisplatin and PI3kinase inhibition decrease invasion and migration of human ovarian carcinoma cells and regulate matrix-metalloproteinase expression. Cytoskeleton 2010, 67, 535–544. [Google Scholar] [CrossRef]
- Han, L.; Sheng, B.; Zeng, Q.; Yao, W.; Jiang, Q. Correlation between MMP2 expression in lung cancer tissues and clinical parameters: A retrospective clinical analysis. BMC Pulm. Med. 2020, 20, 283. [Google Scholar] [CrossRef]
- Ali-Labib, R.; Louka, M.L.; Galal, I.H.E.-S.; Tarek, M. Evaluation of matrix metalloproteinase-2 in lung cancer. Proteom. Clin. Appl. 2014, 8, 251–257. [Google Scholar] [CrossRef]
- El-Badrawy, M.K.; Yousef, A.M.; Shaalan, D.; Elsamanoudy, A.Z. Matrix metalloproteinase-9 expression in lung cancer patients and its relation to serum mmp-9 activity, pathologic type, and prognosis. J. Bronchol. Interv. Pulmonol. 2014, 21, 327–334. [Google Scholar] [CrossRef] [PubMed]
- Zhang, W.; Zhang, T.; Lou, Y.; Yan, B.; Cui, S.; Jiang, L.; Han, B. Placental growth factor promotes metastases of non-small cell lung cancer through MMP9. Cell Physiol. Biochem. 2015, 37, 1210–1218. [Google Scholar] [CrossRef]
- Wang, L.Q.; Zhao, L.H.; Qiao, Y.Z. Identification of potential therapeutic targets for lung cancer by bioinformatics analysis. Mol. Med. Rep. 2016, 13, 1975–1982. [Google Scholar] [CrossRef] [PubMed]
- Hung, W.C.; Tseng, W.L.; Shiea, J.; Chang, H.C. Skp2 overexpression increases the expression of MMP-2 and MMP-9 and invasion of lung cancer cells. Cancer Lett. 2010, 288, 156–161. [Google Scholar] [CrossRef]
- Xiao, W.; Wang, L.; Howard, J.; Kolhe, R.; Rojiani, A.M.; Rojiani, M.V. TIMP-1-Mediated Chemoresistance via Induction of IL-6 in NSCLC. Cancers 2019, 11, 1184. [Google Scholar] [CrossRef] [PubMed]
- Simi, L.; Andreani, M.; Davini, F.; Janni, A.; Pazzagli, M.; Serio, M.; Orlando, C. Simultaneous measurement of MMP9 and TIMP1 mRNA in human non small cell lung cancers by multiplex real time RT-PCR. Lung Cancer 2004, 45, 171–179. [Google Scholar] [CrossRef]
- Merchant, N.; Nagaraju, G.P.; Rajitha, B.; Lammata, S.; Jella, K.K.; Buchwald, Z.S.; Lakka, S.S.; Ali, A.N. Matrix metalloproteinases: Their functional role in lung cancer. Carcinogenesis 2017, 38, 766–780. [Google Scholar] [CrossRef] [PubMed]




| Clinical Parameter | Number of Patients | ||
|---|---|---|---|
| Smoking tobacco products | Yes—32 | No—13 | |
| Gender | Men—35 | Women—10 | |
| Age | below median—23 | above median—22 | |
| Histological subtype | Adenocarcinoma—17 | Squamous cell carcinoma—28 | |
| Primary tumor size (T in TNM classification) | T1—13 | T2—29 | T3—3 |
| Lymph node involvement (N in TNM classification) | N0—28 | N1—8 | N2—9 |
| Presence of distant metastasis (M in TNM classification) | no distant metastasis—45 | ||
| Grading | G1—2 | G2—32 | G3—13 |
| Primer Name | Sequence |
|---|---|
| GAPDH forward | 5′-TGGTATCGTGGAAGGACTCATGAC-3′ |
| GAPDH reverse | 5′-ATGCCAGTGAGCTTCCCGTTCAGC-3′ |
| TIMP1 forward | 5′-ATGCCAGTGAGCTTCCCGTTCAGC-3′ |
| TIMP1 reverse | 5′-CACCTTATACCAGCATTATG-3′ |
| MMP2 forward | 5′-TTTCCAGCAATGAGAAACTC-3′ |
| MMP2 reverse | 5′-GTATCTCCAGAATTTGTCTCC-3′ |
| MMP9 forward | 5′-CTTAGATCATTCCTCAGTGC-3′ |
| MMP9 reverse | 5′-CGAGGACCATAGAGGTG-3′ |
| Group | Genes | p | r |
|---|---|---|---|
| NSCLC patients | MMP2 blood x MMP2 tissue | 0.530 | - |
| MMP9 blood x MMP9 tissue | 0.487 | - | |
| TIMP1 blood x TIMP1 tissue | 0.992 | - | |
| MMP2 blood x MMP9 blood | <0.0001 | 0.6602 | |
| MMP2 blood x TIMP1 blood | 0.0150 | 0.3906 | |
| MMP9 blood x TIMP1 blood | 0.385 | - | |
| MMP2 tissue x MMP9 tissue | <0.0001 | 0.7643 | |
| MMP2 tissue x TIMP tissue | <0.0001 | 0.8385 | |
| MMP9 tissue x TIMP tissue | 0.0001 | 0.508 | |
| Control group | MMP2 blood x MMP9 blood | <0.0001 | 0.6897 |
| MMP2 blood x TIMP1 blood | 0.0120 | 0.4039 | |
| MMP9 blood x TIMP1 blood | 0.0130 | 0.398 |
Disclaimer/Publisher’s Note: The statements, opinions and data contained in all publications are solely those of the individual author(s) and contributor(s) and not of MDPI and/or the editor(s). MDPI and/or the editor(s) disclaim responsibility for any injury to people or property resulting from any ideas, methods, instructions or products referred to in the content. |
© 2023 by the authors. Licensee MDPI, Basel, Switzerland. This article is an open access article distributed under the terms and conditions of the Creative Commons Attribution (CC BY) license (https://creativecommons.org/licenses/by/4.0/).
Share and Cite
Pietrzak, J.; Wosiak, A.; Szmajda-Krygier, D.; Świechowski, R.; Łochowski, M.; Pązik, M.; Balcerczak, E. Correlation of TIMP1-MMP2/MMP9 Gene Expression Axis Changes with Treatment Efficacy and Survival of NSCLC Patients. Biomedicines 2023, 11, 1777. https://doi.org/10.3390/biomedicines11071777
Pietrzak J, Wosiak A, Szmajda-Krygier D, Świechowski R, Łochowski M, Pązik M, Balcerczak E. Correlation of TIMP1-MMP2/MMP9 Gene Expression Axis Changes with Treatment Efficacy and Survival of NSCLC Patients. Biomedicines. 2023; 11(7):1777. https://doi.org/10.3390/biomedicines11071777
Chicago/Turabian StylePietrzak, Jacek, Agnieszka Wosiak, Dagmara Szmajda-Krygier, Rafał Świechowski, Mariusz Łochowski, Milena Pązik, and Ewa Balcerczak. 2023. "Correlation of TIMP1-MMP2/MMP9 Gene Expression Axis Changes with Treatment Efficacy and Survival of NSCLC Patients" Biomedicines 11, no. 7: 1777. https://doi.org/10.3390/biomedicines11071777
APA StylePietrzak, J., Wosiak, A., Szmajda-Krygier, D., Świechowski, R., Łochowski, M., Pązik, M., & Balcerczak, E. (2023). Correlation of TIMP1-MMP2/MMP9 Gene Expression Axis Changes with Treatment Efficacy and Survival of NSCLC Patients. Biomedicines, 11(7), 1777. https://doi.org/10.3390/biomedicines11071777

