Intelligent Bi-LSTM with Architecture Optimization for Heart Disease Prediction in WBAN through Optimal Channel Selection and Feature Selection
Abstract
1. Introduction
- To structure a heart disease prediction method in WBAN using the heuristic model and deep learning approaches to predict heart disease at the primary period in heart disease-affected individuals.
- To select optimal features by selecting essential features of heart disease using suggested IDOX for efficient heart disease prediction.
- To design an improved model named MBiLSTM for the forecasting of heart disease by tuning the BiLSTM parameter with developed IDOX for enhancing the prediction accuracy.
- To integrate an enhanced heuristic model named IDOX for selecting the significant features and also to optimize the number of suitably hidden neuron counts in BiLSTM to enlarge the accuracy of heart disease prediction.
- To evaluate the effectiveness of the offered IDOX-based heart disease prediction method in WBAN with multiple baseline deep structured architectures and algorithms.
2. Literature Work
2.1. Related Works
- Existing heart disease prediction model in WBAN with deep learning approaches:
- B.
- Existing heart disease prediction model in WBAN with heuristic algorithms:
- C.
- Existing heart disease prediction model in WBAN with Cross-Layer Design Optimal (CLDO) framework:
- D.
- Existing heart disease prediction model in WBAN with Integer Linear Programming (ILP) robust method:
- E.
- Heart disease prediction model in WBAN with recent existing works:
2.2. Problem Statement
2.3. Discussion
3. Problem Formulation and Data Collection Procedure Used in Optimal Channel Selection for Heart Disease Prediction
3.1. Problem Formulation
3.2. Experimental Dataset
- (i)
- Oxygen stage: If the oxygen rate is below 92 then it shows a positive result.
- (ii)
- Respiratory stage: If the respiratory rate is above 53 then it shows a positive result.
- (iii)
- Heartbeat rate: If the heartbeat rate is below 100 then it shows a positive result.
3.3. Developed Model
4. Improved Dingo Optimization for Accurate Channel Selection in WBAN
4.1. Improved Dingo Optimizer
| Algorithm 1: Proposed IDOX | |
| Input: Hidden neuron count in BiLSTM is given as . Output: Optimal range of hidden neuron count. | |
| Generating algorithm Begin Initialize dingo population and parameters | |
| Initialize the current best solution based on a fitness function | |
| For all solution | |
| Assign fitness for entire individuals | |
| Allocate constraints to the solutions | |
| Update group attack by Equation (5) | |
| Update persecution by Equation (6) | |
| Update scavenger by Equation (7) | |
| Update survival rate by Equation (8) | |
| Final updating takes place by Equation (4) | |
| Find the accurate solution | |
| End | |
4.2. Data Aggregation
4.3. IDOX-Based Channel Selection
5. Modified BI-LSTM-Based Prediction of Heart Disease in WBAN through Optimal Channel
5.1. Deep Feature Extraction Using IDCNN
5.2. Selection of Accurate Feature
5.3. Modified Bi-LSTM-Based Prediction
6. Results Calculations
6.1. Simulation Setup
6.2. Efficiency Metrics
6.3. K-Fold Analysis of the Suggested Model with Conventional Approaches
6.4. Validation of the Suggested Model with Multiple Prediction Algorithms
6.5. Estimation of the Suggested Model with Recent Prediction Algorithms
7. Conclusions
Author Contributions
Funding
Institutional Review Board Statement
Informed Consent Statement
Data Availability Statement
Acknowledgments
Conflicts of Interest
References
- Guo, C.; Zhang, J.; Liu, Y.; Xie, Y.; Han, Z.; Yu, J. Recursion Enhanced Random Forest with an Improved Linear Model (RERF-ILM) for Heart Disease Detection on the Internet of Medical Things Platform. IEEE Access 2020, 8, 59247–59256. [Google Scholar] [CrossRef]
- Dash, S.; Kumar, S.S.; Sharma, M.; Kaushik, S. Big data in healthcare: Management, analysis and future prospects. J. Big Data 2019, 6, 54. [Google Scholar] [CrossRef]
- Shuvo, S.B.; Ali, S.N.; Swapnil, S.I.; Al-Rakhami, M.S.; Gumaei, A. CardioXNet: A Novel Lightweight Deep Learning Framework for Cardiovascular Disease Classification Using Heart Sound Recordings. IEEE Access 2021, 9, 36955–36967. [Google Scholar] [CrossRef]
- Karhade, J.; Dash, S.; Ghosh, S.K.; Dash, D.K.; Tripathy, R.K. Time–Frequency-Domain Deep Learning Framework for the Automated Detection of Heart Valve Disorders Using PCG Signals. IEEE Trans. Instrum. Meas. 2022, 71, 2506311. [Google Scholar] [CrossRef]
- Reddy, S.R.N.; Kumar, D. Early congenital heart defect diagnosis in neonates using novel WBAN based three-tier network architecture. J. King Saud Univ.-Comput. Inf. Sci. 2022, 34, 3661–3672. [Google Scholar]
- Basheer, S.; Alluhaidan, A.S. Real-time monitoring system for early prediction of heart disease using Internet of Things. Soft Comput. 2021, 25, 12145–12158. [Google Scholar] [CrossRef]
- Zang, W.; Miao, F.; Gravina, R.; Sun, F.; Fortino, G.; Li, Y. CMDP-based intelligent transmission for wireless body area network in remote health monitoring. Neural Comput. Appl. 2020, 32, 829–837. [Google Scholar] [CrossRef]
- Sarmah, S.S. An Efficient IoT-Based Patient Monitoring and Heart Disease Prediction System Using Deep Learning Modified Neural Network. IEEE Access 2020, 8, 135784–135797. [Google Scholar] [CrossRef]
- Md, A.Q.; Agrawal, D.; Mehta, M.; Sivaraman, A.K.; Tee, K.F. Time Optimization of Unmanned Aerial Vehicles Using an Augmented Path. Future Internet 2021, 13, 308. [Google Scholar] [CrossRef]
- Rao, S.; Li, Y.; Ramakrishnan, R.; Hassaine, A.; Canoy, D.; Cleland, J.; Lukasiewicz, T.; Salimi-Khorshidi, G.; Rahimi, K. An Explainable Transformer-Based Deep Learning Model for the Prediction of Incident Heart Failure. IEEE J. Biomed. Health Inform. 2022, 26, 3362–3372. [Google Scholar] [CrossRef]
- Amarbayasgalan, T.; Pham, V.-H.; Theera-Umpon, N.; Piao, Y.; Ryu, K.H. An Efficient Prediction Method for Coronary Heart Disease Risk Based on Two Deep Neural Networks Trained on Well-Ordered Training Datasets. IEEE Access 2021, 9, 135210–135223. [Google Scholar] [CrossRef]
- Md, A.Q.; Jha, K.; Haneef, S.; Sivaraman, A.K.; Tee, K.F. A Review on Data-Driven Quality Prediction in the Production Process with Machine Learning for Industry 4.0. Processes 2022, 10, 1966. [Google Scholar] [CrossRef]
- Xiao, C.; Li, Y.; Jiang, Y. Heart Coronary Artery Segmentation and Disease Risk Warning Based on a Deep Learning Algorithm. IEEE Access 2020, 8, 140108–140121. [Google Scholar] [CrossRef]
- Ali, S.A.; Raza, B.; Malik, A.K.; Shahid, A.R.; Faheem, M.; Alquhayz, H. An Optimally Configured and Improved Deep Belief Network (OCI-DBN) Approach for Heart Disease Prediction Based on Ruzzo–Tompa and Stacked Genetic Algorithm. IEEE Access 2020, 8, 65947–65958. [Google Scholar] [CrossRef]
- Ganga, M.; Janakiraman, N.; Sivaraman, A.K.; Vincent, R.; Muralidhar, A.; Ravindran, P. An Effective Denoising and Enhancement Strategy for Medical Image Using Rl-Gl-Caputo Method. In Advances in Parallel Computing (Smart Intelligent Computing and Communication Technology); IOS Press: Amsterdam, The Netherlands, 2021; Volume 38, pp. 402–408. [Google Scholar]
- Ali, L.; Rahman, A.; Khan, A.; Zhou, M.; Javeed, A.; Khan, J.A. An Automated Diagnostic System for Heart Disease Prediction Based on χ2 Statistical Model and Optimally Configured Deep Neural Network. IEEE Access 2019, 7, 34938–34945. [Google Scholar] [CrossRef]
- Khan, M.A. An IoT Framework for Heart Disease Prediction Based on MDCNN Classifier. IEEE Access 2020, 8, 34717–34727. [Google Scholar] [CrossRef]
- Gong, D.; Yuan, T.; Wang, R.; Sun, S.; Dawuti, A.; Wang, S. Network pharmacology approach and experimental verification of Dan-Shen Decoction in the treatment of ischemic heart disease. Pharm. Biol. 2023, 61, 69–79. [Google Scholar] [CrossRef]
- Carney, R.M.; Freedland, K.E.; Steinmeyer, B.C.; Rich, M.W. Symptoms that remain after depression treatment in patients with coronary heart disease. J. Psychosom. Res. 2023, 165, 111122. [Google Scholar] [CrossRef]
- De Vries, S.; Haaksma, M.L.; Jóźwiak, K.; Schaapveld, M.; Hodgson, D.C.; Lugtenburg, P.J.; Krol, A.D.; Petersen, E.J.; van Spronsen, D.J.; Ahmed, S.; et al. Development and Validation of Risk Prediction Models for Coronary Heart Disease and Heart Failure After Treatment for Hodgkin Lymphoma. J. Clin. Oncol. 2023, 41, 86–95. [Google Scholar] [CrossRef]
- Hai, T.; Zhou, J.; Padmavathy, T.V.; Md, A.Q.; Jawawi, D.N.; Aksoy, M. Design and Validation of Lifetime Extension Low Latency MAC Protocol (LELLMAC) for Wireless Sensor Networks Using a Hybrid Algorithm. Sustainability 2022, 14, 15547. [Google Scholar] [CrossRef]
- Noor, A.; Ali, L.; Rauf, H.T.; Tariq, U.; Aslam, S. An integrated decision support system for heart failure prediction based on feature transformation using grid of stacked autoencoders. Measurement 2022, 205, 112166. [Google Scholar] [CrossRef]
- Sonia, J.J.; Jayachandran, P.; Md, A.Q.; Mohan, S.; Sivaraman, A.K.; Tee, K.F. Machine-Learning-Based Diabetes Mellitus Risk Prediction Using Multi-Layer Neural Network No-Prop Algorithm. Diagnostics 2023, 13, 723. [Google Scholar] [CrossRef] [PubMed]
- Sadad, T.; Bukhari, S.A.C.; Munir, A.; Ghani, A.; El-Sherbeeny, A.M.; Rauf, H.T. Detection of Cardiovascular Disease Based on PPG Signals Using Machine Learning with Cloud Computing. Comput. Intell. Neurosci. 2022, 2022, 1672677. [Google Scholar] [CrossRef] [PubMed]
- Sajid, M.R.; Khan, A.A.; Albar, H.M.; Muhammad, N.; Sami, W.; Bukhari, S.A.C.; Wajahat, I. Exploration of Black Boxes of Supervised Machine Learning Models: A Demonstration on Development of Predictive Heart Risk Score. Comput. Intell. Neurosci. 2022, 2022, 5475313. [Google Scholar]
- El-Kenawy, E.S.; Eid, M. Hybrid gray wolf and particle swarm optimization for feature selection. Int. J. Innov. Comput. Inf. Control 2020, 16, 831–844. [Google Scholar]
- Md, A.Q.; Kulkarni, S.; Joshua, C.J.; Vaichole, T.; Mohan, S.; Iwendi, C. Enhanced Preprocessing Approach Using Ensemble Machine Learning Algorithms for Detecting Liver Disease. Biomedicines 2023, 11, 581. [Google Scholar] [CrossRef] [PubMed]
- Ganesh, V.M.; Nithiyanantham, J. Heuristic-based channel selection with enhanced deep learning for heart disease prediction under WBAN. Comput. Methods Biomech. Biomed. Eng. 2022, 25, 1429–1448. [Google Scholar] [CrossRef]
- Lee, H.; Kim, J.; Kim, B.; Kim, S. Convolutional Autoencoder Based Feature Extraction in Radar Data Analysis. In Proceedings of the 2018 Joint 10th International Conference on Soft Computing and Intelligent Systems (SCIS) and 19th International Symposium on Advanced Intelligent Systems (ISIS), Toyama, Japan, 5–8 December 2018; pp. 81–84. [Google Scholar]
- Peng, J.-X.; Li, K.; Irwin, G.W. A New Jacobian Matrix for Optimal Learning of Single-Layer Neural Networks. IEEE Trans. Neural Netw. 2008, 19, 119–129. [Google Scholar] [CrossRef]
- Gou, J.; Yi, Z.; Du, L.; Xiong, T. A Local Mean-Based k-Nearest Centroid Neighbor Classifier. Comput. J. 2012, 55, 1058–1071. [Google Scholar] [CrossRef]
- Liu, L.; Fei, J.; An, C. Adaptive Sliding Mode Long Short-Term Memory Fuzzy Neural Control for Harmonic Suppression. IEEE Access 2021, 9, 69724–69734. [Google Scholar] [CrossRef]
- Roy, B.; Cheung, H. A Deep Learning Approach for Intrusion Detection in Internet of Things using Bi-Directional Long Short-Term Memory Recurrent Neural Network. In Proceedings of the 2018 28th International Telecommunication Networks and Applications Conference (ITNAC), Sydney, Australia, 21–23 November 2018. [Google Scholar]
- Jojo, A.; Sunil, G.K.; Quadir, M.A.; Vigneswaran, T.; Punitha, K.; Sivaraman, A.K. Intruder Detection System using IoT with Adaptive Face Monitoring and Motion Sensing Algorithm. In Proceedings of the 2022 3rd International Conference on Intelligent Computing, Instrumentation, and Control Technologies: Computational Intelligence for Smart Systems, ICICICT, Kannur, India, 11–12 August 2022; pp. 1628–1634. [Google Scholar]
- Li, Y.; Zhu, H.-J. MFENet: An 1D CNN-based Model for Automatic Feature Extraction and Fusion. In Proceedings of the 2020 International Conference on Internet of Things and Intelligent Applications (ITIA), Zhenjiang, China, 27–29 November 2020; pp. 1–5. [Google Scholar]
- Renji, P.C.; Noby, T.; Sunder, V. Weight optimized neural network for heart disease prediction using hybrid lion plus particle swarm algorithm. J. Biomed. Inform. 2020, 110, 103543. [Google Scholar]
- Prassanna, J.; Md, A.Q.; Jackson, C.; Sharma, S.; Rajesh, B. Skin Cancer Detection using Deep Learning. Res. J. Pharm. Technol. 2022, 15, 4519–4525. [Google Scholar]
- Khan, M.A.; Algarni, F. A Healthcare Monitoring System for the Diagnosis of Heart Disease in the IoMT Cloud Environment Using MSSO-ANFIS. IEEE Access 2020, 8, 122259–122269. [Google Scholar] [CrossRef]
- Chen, X.; Xu, Y.; Liu, A. Cross Layer Design for Optimizing Transmission Reliability, Energy Efficiency, and Lifetime in Body Sensor Networks. Sensors 2017, 17, 900. [Google Scholar] [CrossRef]
- DAndreagiovanni, F.; Nardin, A. Towards the fast and robust optimal design of wireless body area networks. Appl. Soft Comput. 2015, 37, 971–982. [Google Scholar] [CrossRef]
- D’Andreagiovanni, F.; Nardin, A.; Natalizio, E. A Fast ILP-Based Heuristic for the Robust Design of Body Wireless Sensor Networks. In Applications of Evolutionary Computation—EvoApplications 2017; Springer: Cham, Switzerland, 2017; Volume 10199, pp. 234–250. [Google Scholar]
- Mkongwa, K.G.; Liu, Q.; Zhang, C. Link Reliability and Performance Optimization in Wireless Body Area Networks. IEEE Access 2019, 7, 155392–155404. [Google Scholar] [CrossRef]
- Khanijahani, A.; Iezadi, S.; Dudley, S.; Goettler, M.; Kroetsch, P.; Wise, J. Organizational, professional, and patient characteristics associated with artificial intelligence adoption in healthcare: A systematic review. Health Policy Technol. 2022, 11, 100602. [Google Scholar] [CrossRef]
- Su, Y.-S.; Ding, T.-J.; Chen, M.-Y. Deep Learning Methods in Internet of Medical Things for Valvular Heart Disease Screening System. IEEE Internet Things J. 2021, 8, 16921–16932. [Google Scholar] [CrossRef]
- Md, A.Q.; Kapoor, S.; AV, C.J.; Sivaraman, A.K.; Tee, K.F.; Sabireen, H.; Janakiraman, N. Novel optimization approach for stock price forecasting using multi-layered sequential LSTM. Appl. Soft Comput. 2022, 134, 109830. [Google Scholar] [CrossRef]
- Gjoreski, M.; Gradišek, A.; Budna, B.; Gams, M.; Poglajen, G. Machine Learning and End-to-End Deep Learning for the Detection of Chronic Heart Failure From Heart Sounds. IEEE Access 2020, 8, 20313–20324. [Google Scholar] [CrossRef]
- Pathak, A.; Mandana, K.; Saha, G. Ensembled Transfer Learning and Multiple Kernel Learning for Phonocardiogram Based Atherosclerotic Coronary Artery Disease Detection. IEEE J. Biomed. Health Inform. 2022, 26, 2804–2813. [Google Scholar] [CrossRef]
- Agarwal, N.M.A.; Vigneswaran, T.; Punitha, K.; Sivaraman, A.K. A Robust Pipeline Approach for DDoS Classification using Machine Learning. In Proceedings of the 2022 3rd International Conference on Intelligent Computing, Instrumentation, and Control Technologies: Computational Intelligence for Smart Systems, ICICICT, Kannur, India, 11–12 August 2022; pp. 1621–1627. [Google Scholar]
- Wang, J.; Ding, H.; Bidgoli, F.A.; Zhou, B.; Iribarren, C.; Molloi, S.; Baldi, P. Detecting Cardiovascular Disease from Mammograms With Deep Learning. IEEE Trans. Med. Imaging 2017, 36, 1172–1181. [Google Scholar] [CrossRef]
- Bairwa, A.K.; Joshi, S.; Singh, D. Dingo Optimizer: A Nature-Inspired Metaheuristic Approach for Engineering Problems. Math. Probl. Eng. 2021, 2021, 2571863. [Google Scholar] [CrossRef]
- Al-Tashi, Q.; Kadir, S.J.A.; Rais, H.M.; Mirjalili, S.; Alhussian, H. Binary Optimization Using Hybrid Grey Wolf Optimization for Feature Selection. IEEE Access 2019, 7, 39496–39508. [Google Scholar] [CrossRef]
- Nashaat, H.; Refaat, O.; Zaki, F.W.; Shaalan, I.E. Dragonfly-Based Joint Delay/Energy LTE Downlink Scheduling Algorithm. IEEE Access 2020, 8, 35392–35402. [Google Scholar] [CrossRef]
- Sivakumar, J.; Quadir, M.A.; Vigneswaran, T.; Punitha, K.; Sivaraman, A.K. Reliability of Smart-Wearables using PSO-GA Optimized Algorithm in Terms of Data Analysis. In Proceedings of the 2022 3rd International Conference on Intelligent Computing, Instrumentation, and Control Technologies: Computational In-telligence for Smart Systems, ICICICT, Kannur, India, 11–12 August 2022; IEEE: New York, NY, USA, 2022; pp. 1614–1620. [Google Scholar]
- Arabali, A.; Khajehzadeh, M.; Keawsawasvong, S.; Mohammed, A.H.; Khan, B. An Adaptive Tunicate Swarm Algorithm for Optimization of Shallow Foundation. IEEE Access 2022, 10, 39204–39219. [Google Scholar] [CrossRef]
- Munagala, N.K.; Langoju, L.R.R.; Rani, A.D.; Reddy, D.R.K. A smart IoT-enabled heart disease monitoring system using meta-heuristic-based Fuzzy-LSTM model. Biocybern. Biomed. Eng. 2022, 42, 1183–1204. [Google Scholar] [CrossRef]















| Author [Citation] | Framework | Superiorities | Downsides |
|---|---|---|---|
| Guo et al. [1] | RFRF-ILM |
|
|
| Su et al. [2] | STM32 |
|
|
| Shuvo et al. [3] | CRNN |
|
|
| Karhade et al. [4] | TFDDL |
|
|
| Sonal et al. [5] | Three-tier network |
|
|
| Basheer et al. [6] | HFDT |
|
|
| Zang et al. [7] | Markov decision processes |
|
|
| Sarmah. [8] | DLMNN |
|
|
| Parameters | Values |
|---|---|
| Number of dingoes | 100 |
| Maximum number of iterations | 25 |
| Hunting or Scavenger rate | 0.5 |
| Maximum number of dingoes that will attack | 50 |
| Group attack or persecution rate | 0.7 |
| beta1 | −2 + 4.094535 |
| beta2 | −1 + 2.95045 |
| Number of dingoes that will attack | [2–50] |
| Group attack | 2.2.1 |
| Minimum Bound | −10 |
| Minimum number of dingoes that will attack | 2 |
| Maximum Bound | 10 |
| dim | 30 |
| Measures | GWO-M-BiLSTM [44] | DA-M-BiLSTM [45] | DOX-M-BiLSTM [46] | SFO-TSA-M-BiLSTM [47] | TS-SFO-RNN [48] | IDOX-BiLSTM |
|---|---|---|---|---|---|---|
| Accuracy | 92.80 | 94.00 | 95.40 | 96.70 | 96.89 | 97.70 |
| Sensitivity | 100.00 | 98.84 | 98.84 | 100.00 | 75.00 | 98.84 |
| Specificity | 92.12 | 93.55 | 95.08 | 96.39 | 98.12 | 97.59 |
| Precision | 54.43 | 59.03 | 65.39 | 72.27 | 69.23 | 79.44 |
| FPR | 7.88 | 6.46 | 4.92 | 3.61 | 1.88 | 2.41 |
| FNR | 0.00 | 1.16 | 1.16 | 0.00 | 25.00 | 1.16 |
| NPV | 92.12 | 93.55 | 95.08 | 96.39 | 98.12 | 97.59 |
| FDR | 45.57 | 40.97 | 34.62 | 27.73 | 30.77 | 20.56 |
| F1-score | 70.49 | 73.91 | 78.70 | 83.90 | 72.00 | 88.08 |
| MCC | 70.81 | 73.77 | 78.29 | 83.46 | 70.42 | 87.46 |
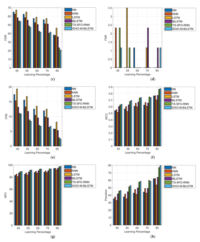
| Measures | NN [49] | KNN [50] | LSTM [51] | BiLSTM [52] | TS-SFO-RNN [48] | IDOX-M-BiLSTM |
|---|---|---|---|---|---|---|
| Accuracy | 94.70 | 94.80 | 92.60 | 95.10 | 96.89 | 97.70 |
| Sensitivity | 100.00 | 100.00 | 100.00 | 98.84 | 75.00 | 98.84 |
| Specificity | 94.20 | 94.31 | 91.90 | 94.75 | 98.12 | 97.59 |
| Precision | 61.87 | 62.32 | 53.75 | 63.91 | 69.23 | 79.44 |
| FPR | 5.80 | 5.69 | 8.10 | 5.25 | 1.88 | 2.41 |
| FNR | 0.00 | 0.00 | 0.00 | 1.16 | 25.00 | 1.16 |
| NPV | 94.20 | 94.31 | 91.90 | 94.75 | 98.12 | 97.59 |
| FDR | 38.13 | 37.68 | 46.25 | 36.09 | 30.77 | 20.56 |
| F1-score | 76.44 | 76.79 | 69.92 | 77.63 | 72.00 | 88.08 |
| MCC | 76.34 | 76.66 | 70.28 | 77.27 | 70.42 | 87.46 |
| Measures | PSO-GA [53] | ATSA [54] | PF-HHO [55] | IDOX-M-BiLSTM |
|---|---|---|---|---|
| Accuracy | 80.5 | 82.8 | 82 | 97.70 |
| Sensitivity | 93.87 | 94.97 | 95.83 | 98.84 |
| Specificity | 78.66 | 81.18 | 80.41 | 97.59 |
| Precision | 90.60 | 93.33 | 91.19 | 94.44 |
| FPR | 21.33 | 18.81 | 19.58 | 2.41 |
| FNR | 43.53 | 27.43 | 11.62 | 1.16 |
| NPV | 78.66 | 81.18 | 80.41 | 97.59 |
| FDR | 69.39 | 66.66 | 67.80 | 20.56 |
| F1-score | 86.86 | 85 | 86.57 | 88.08 |
| MCC | 49.06 | 52.02 | 60.40 | 87.46 |
Disclaimer/Publisher’s Note: The statements, opinions and data contained in all publications are solely those of the individual author(s) and contributor(s) and not of MDPI and/or the editor(s). MDPI and/or the editor(s) disclaim responsibility for any injury to people or property resulting from any ideas, methods, instructions or products referred to in the content. |
© 2023 by the authors. Licensee MDPI, Basel, Switzerland. This article is an open access article distributed under the terms and conditions of the Creative Commons Attribution (CC BY) license (https://creativecommons.org/licenses/by/4.0/).
Share and Cite
Veerabaku, M.G.; Nithiyanantham, J.; Urooj, S.; Md, A.Q.; Sivaraman, A.K.; Tee, K.F. Intelligent Bi-LSTM with Architecture Optimization for Heart Disease Prediction in WBAN through Optimal Channel Selection and Feature Selection. Biomedicines 2023, 11, 1167. https://doi.org/10.3390/biomedicines11041167
Veerabaku MG, Nithiyanantham J, Urooj S, Md AQ, Sivaraman AK, Tee KF. Intelligent Bi-LSTM with Architecture Optimization for Heart Disease Prediction in WBAN through Optimal Channel Selection and Feature Selection. Biomedicines. 2023; 11(4):1167. https://doi.org/10.3390/biomedicines11041167
Chicago/Turabian StyleVeerabaku, Muthu Ganesh, Janakiraman Nithiyanantham, Shabana Urooj, Abdul Quadir Md, Arun Kumar Sivaraman, and Kong Fah Tee. 2023. "Intelligent Bi-LSTM with Architecture Optimization for Heart Disease Prediction in WBAN through Optimal Channel Selection and Feature Selection" Biomedicines 11, no. 4: 1167. https://doi.org/10.3390/biomedicines11041167
APA StyleVeerabaku, M. G., Nithiyanantham, J., Urooj, S., Md, A. Q., Sivaraman, A. K., & Tee, K. F. (2023). Intelligent Bi-LSTM with Architecture Optimization for Heart Disease Prediction in WBAN through Optimal Channel Selection and Feature Selection. Biomedicines, 11(4), 1167. https://doi.org/10.3390/biomedicines11041167

