Synthesis, Hydrolytic Stability and In Vivo Biological Study of Bioconjugates of the Tetrapeptides FELL Containing Pyrrole Moiety
Abstract
:1. Introduction
2. Materials and Methods
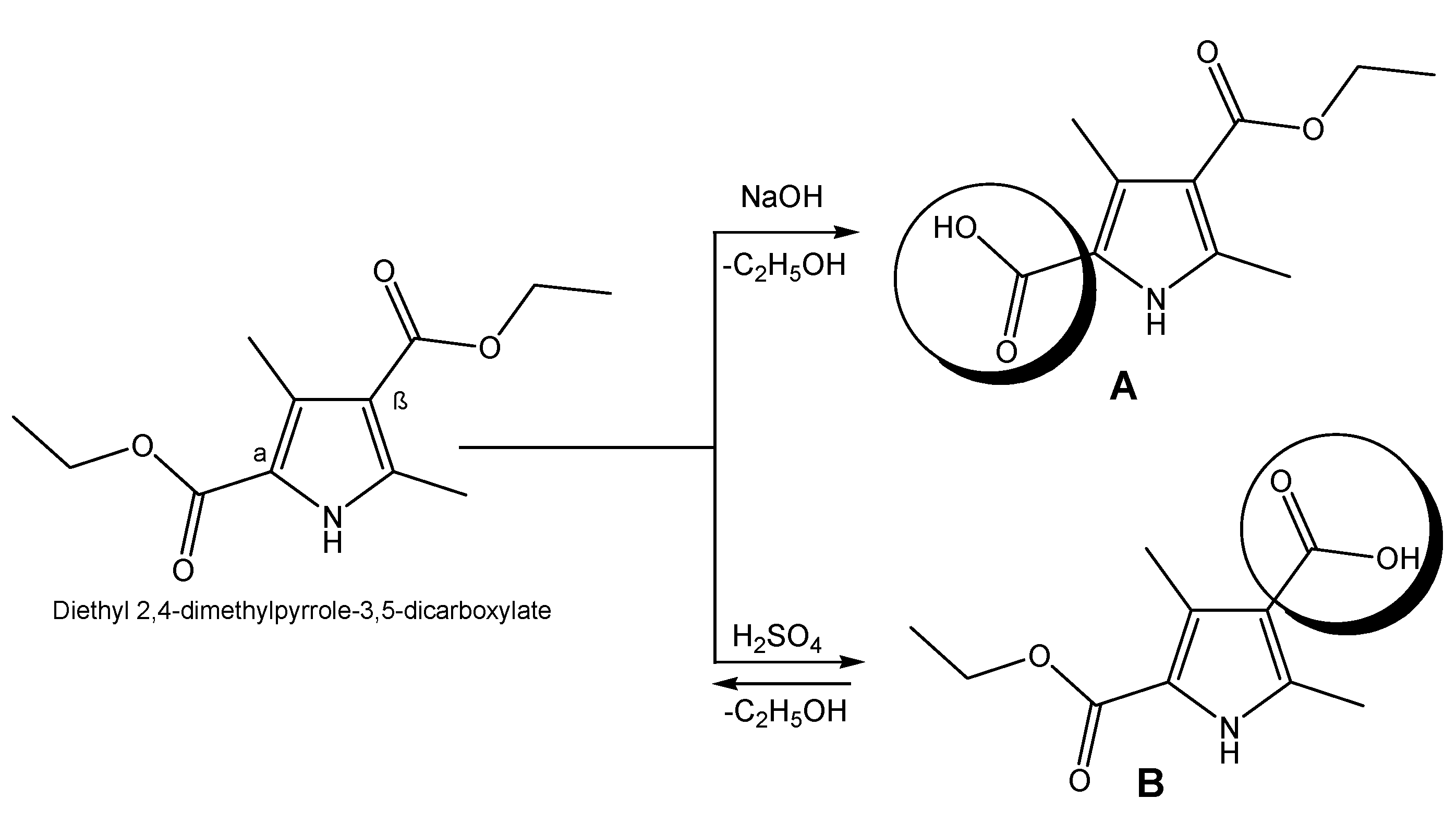
2.1. Synthesis of Pyrrole Derivatives Containing COOH Group
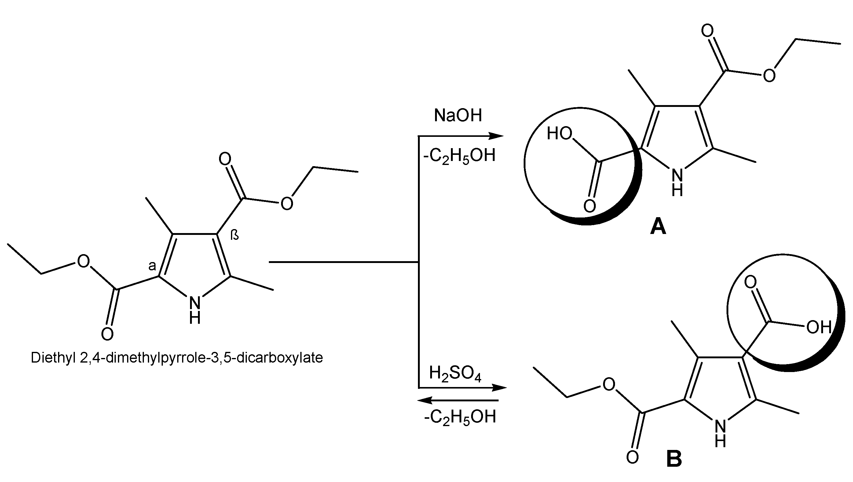
2.1.1. Synthesis of 4-(Ethoxycarbonyl)-3,5-dimethyl-1H-pyrrole-2-carboxylic Acid (A)
2.1.2. Synthesis of 5-(Ethoxycarbonyl)-2,4-dimethyl-1H-pyrrole-3-carboxylic Acid (B)
2.2. Synthesis of Aimed Compounds Using Peptide Synthesis on Solid Support (SPPS)
2.2.1. Attachment of the First Amino Acid to the 2-CTC Resin
2.2.2. Attachment of the First Amino Acid to the Rink Amide MBHA Resin
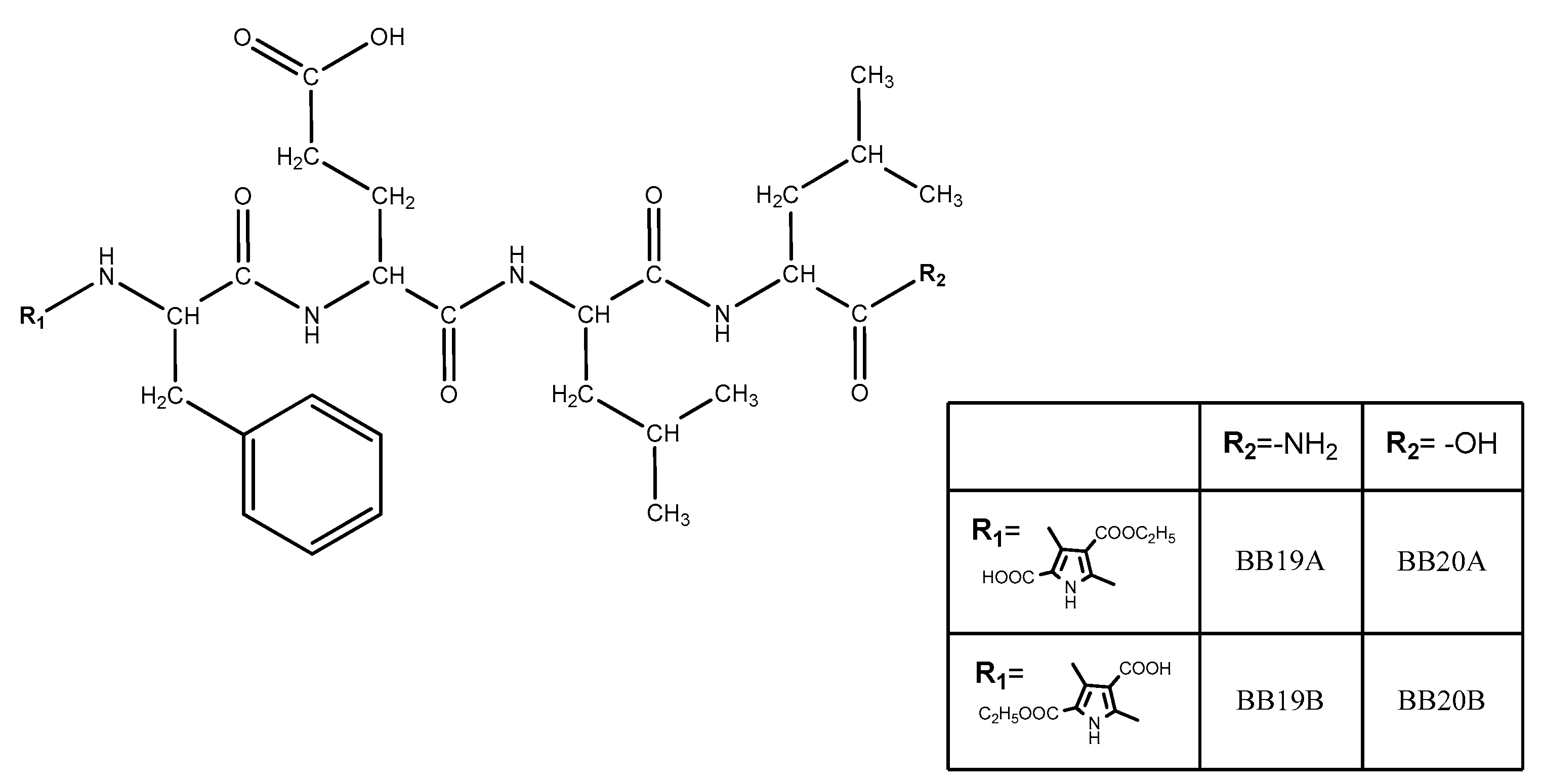
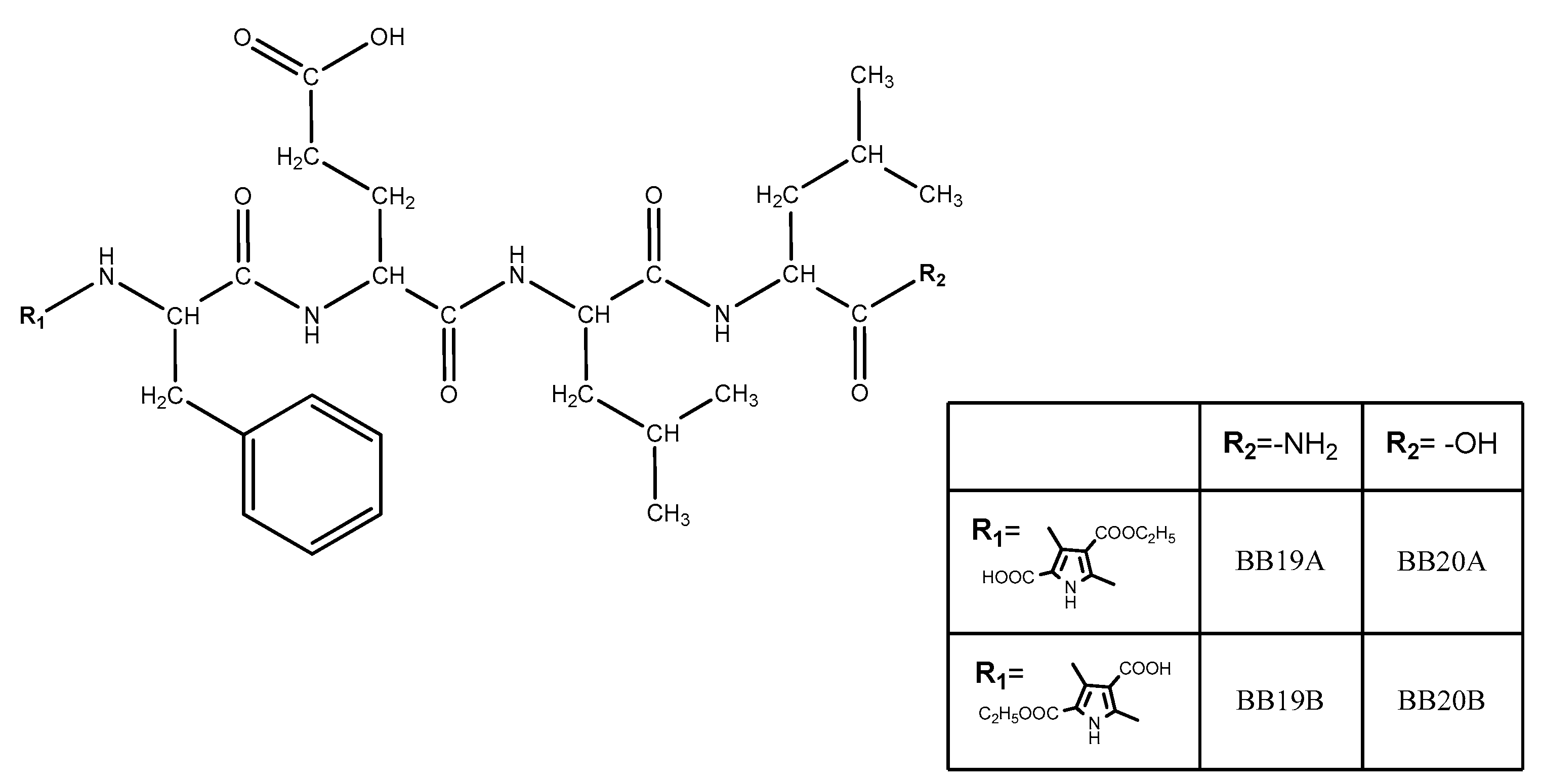
2.3. Synthesis of Targeted Bioconjugates
2.4. Final Deprotection and Releasing from the Resin
- For 4 h with a mixture of 95% TFA, 2.5% TIS, and 2.5% dH2O when the Rink Amide MBHA resin is used;
- For 4 h with a mixture of 50% TFA/50% dH2O:TIS (97.5:2.5 eq.) for 2-CTC resin.
2.5. Analysis of Targeted Molecules
2.6. Hydrolytic Stability Study
- i.
- pH 2.0 model system—Solution A: An amount of 6.57 g KCl in a CO2 free water and 119.0 mL 0.1 mol/L HCl are mixed in the volumetric flask and the final solution is completed to 1000.0 mL with dH2O. Solution B: An amount of 5 mg of pepsin was added to a 10 mL volumetric flask and completed to the mark with solution A. Thus, the final model solution is pH 2.0 and has a 0.5 mg/mL concentration of the trypsin.
- ii.
- pH 7.4 model system—Amounts of 0.1 g of trypsin, 2.38 g Na2HPO4, 0.19 g KH2PO4 and 8.0 g NaCl are dissolved to a total of 1000.0 mL in dH2O in order to obtain a 0.1 mg/mL final concentration of trypsin in a model system with pH 7.4. An amount of 1 ml blood plasma (ACCUCLOTM Reference plasma, Normal, Sigma Diagnostics) is the recovery with 15 mL of obtained buffer with pH 7.4.
- iii.
- The pH 9.0 model system is obtained by mixing of 1000 mL of the solution containing 6.18 g H3BO3 in 0.1 mol/L KCl in dH2O and 420.0 mL of solution containing 0.1 mol/L NaOH in dH2O. A further 0.1 mg of trypsin is dissolved in the solution with pH 9.0 and completed to 10 mL in a volumetric flask in order to obtain the final concentration of 0.1 mg/mL of the trypsin.
2.7. In Vivo Analysis
2.7.1. Experimental Animals
2.7.2. Analgesic Activity Evaluation
- The control group receives 0.2 mL of saline intraperitoneally injected (i.p.);
- Six experimental groups receiving one of the 6 tested substances (0.25 mg/kg, i.p.)—pyrrole acid A, pyrrole acid B, BB19A, BB19B, BB20A, and BB20B;
- Four experimental groups receiving Naloxone (1 mg/kg, i.p.) before the administration of the newly synthesized bioconjugates BB19A, BB19B, BB20A, and BB20B;
- Four experimental groups receiving AM251 (1.25 mg/kg, i.p.) before the administration of the newly synthesized bioconjugates BB19A, BB19B, BB20A, and BB20B.
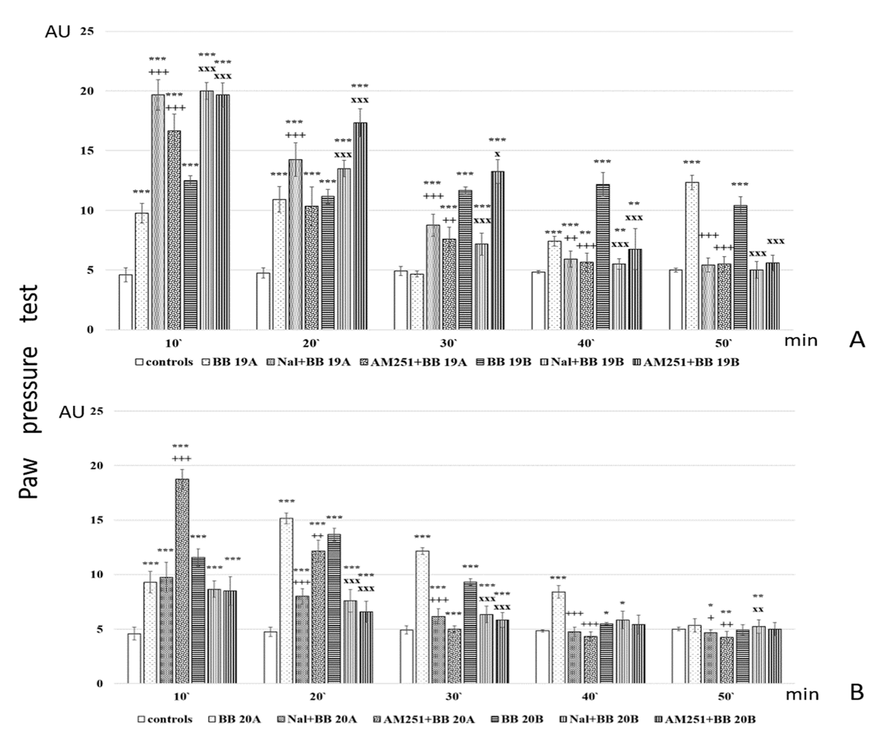
2.7.3. Nociceptive Paw Pressure Test (Randall–Selitto Test)
2.7.4. Data Analysis
3. Results
3.1. Synthesis of Pyrrole Acids A and B
3.2. Synthesis and Characterization of Targeted Bioconjugates
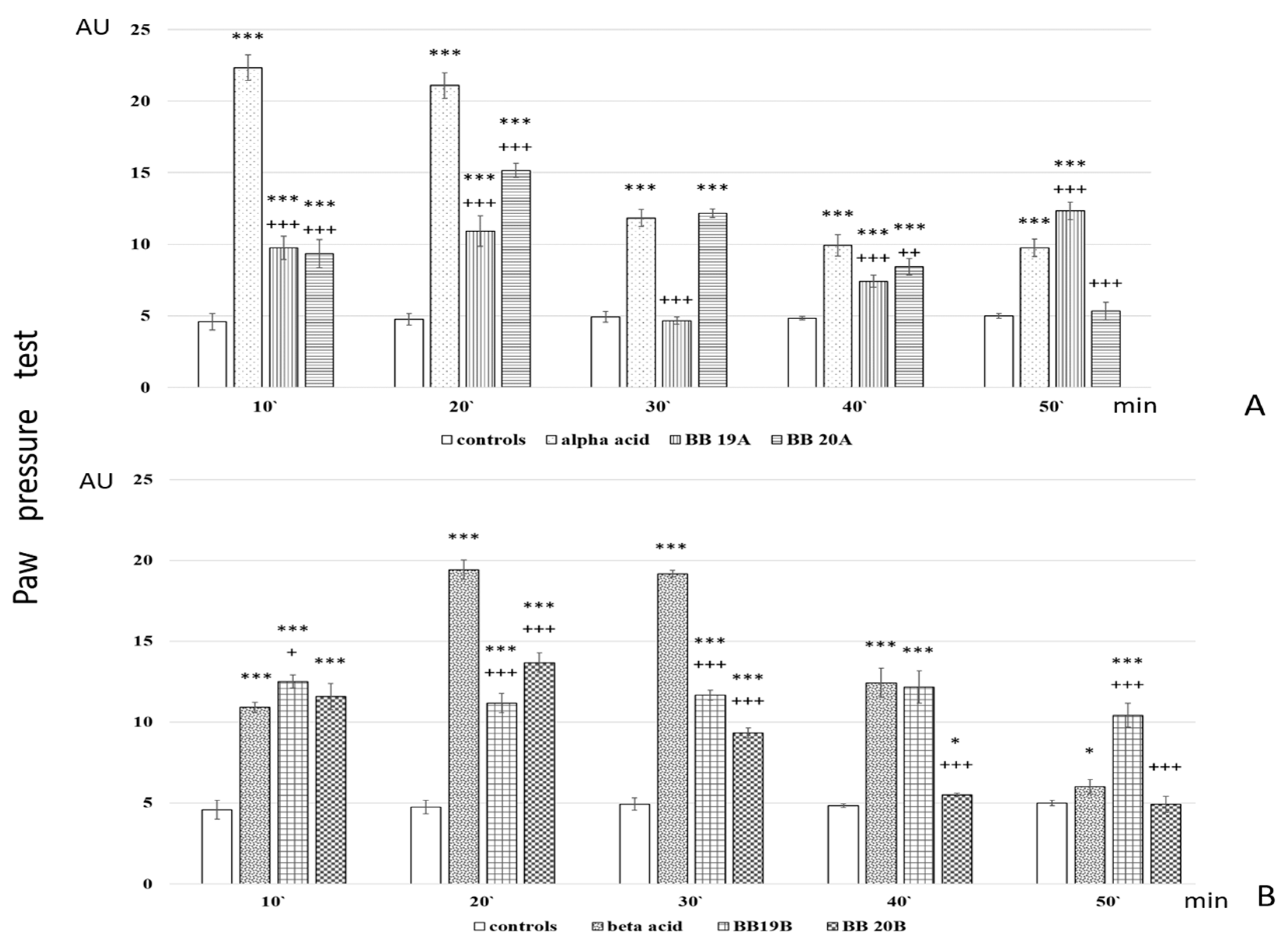
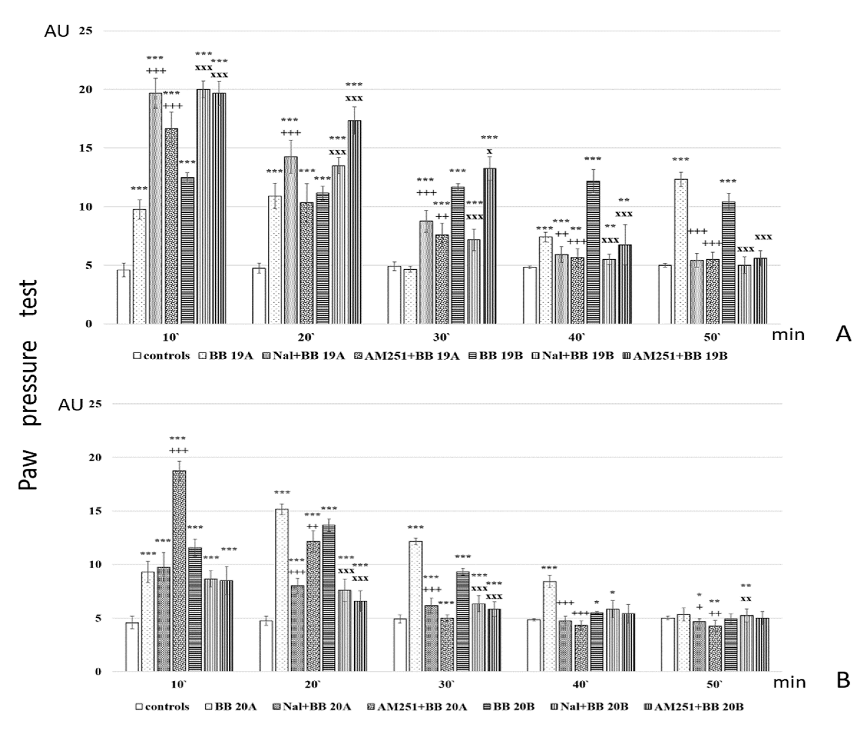
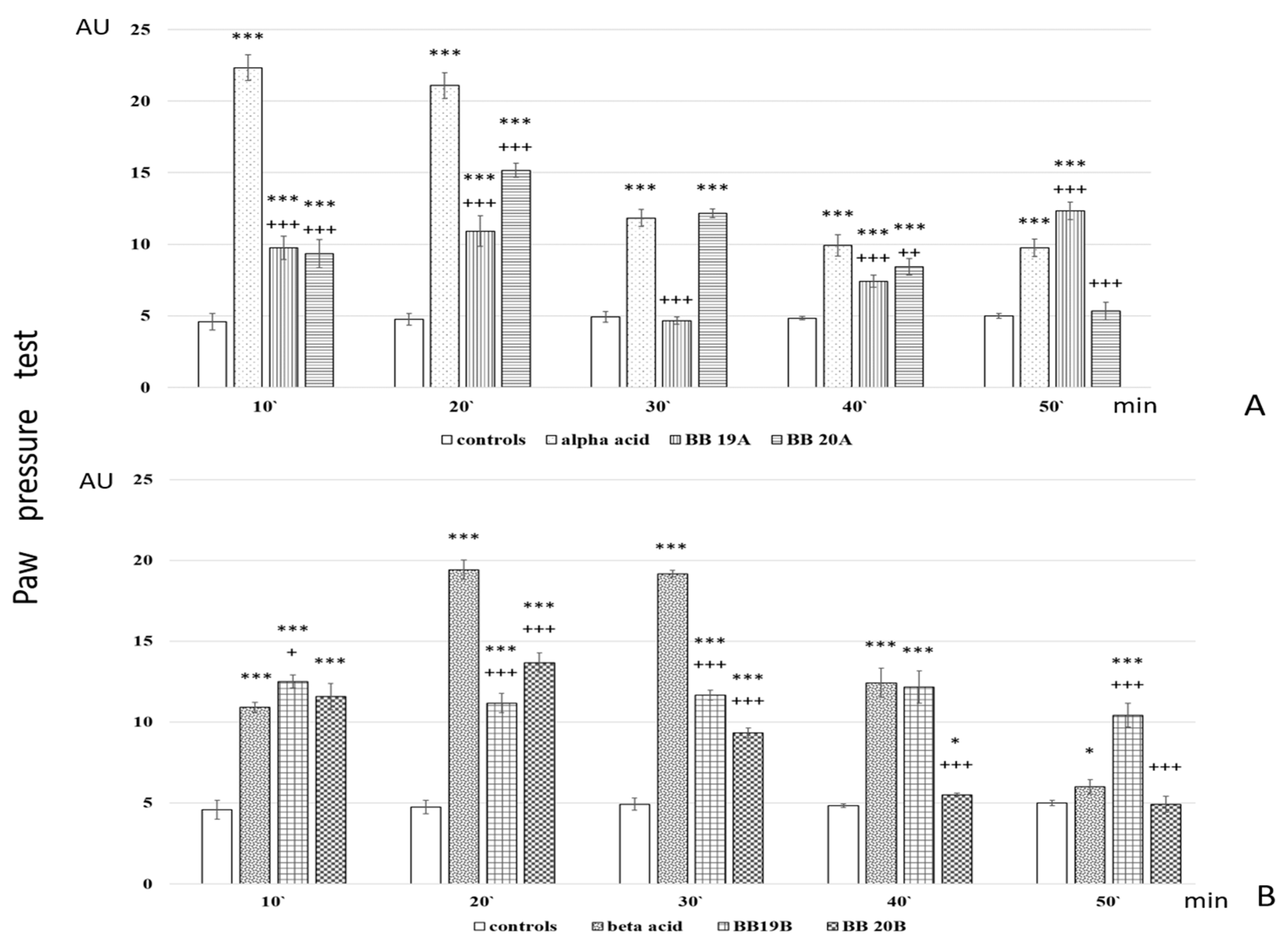
3.3. Study of the Analgesic Activity of the New Compounds
3.4. Hydrolytic Stability Study
4. Discussion
- Both acids A and B show short-lasting analgesic activity (of about 10 min)—between the 10th and 20th min for acid A, and between the 20th and 30th min for acid B;
- Acid A retains its analgesic activity (even with a 56% decrease) until the end of the estimated time, while on the 50th min, PPTs for acid B are almost equivalent to the controls’;
- All four of the newly synthesized bioconjugates possess analgesic activity, which results in being inferior (with a few exceptions) to that of the parent acids A and B;
- The pyrrole A-containing bioconjugate BB20A reaches the highest analgesic activity, with more than 87% of that of the parent acid A;
- An interesting biphasic analgesic activity has been observed for of BB19A that appears to be naloxone-independent in the first phase and naloxone-dependent in the second;
- BB19B presents with the most constant analgesic activity—varying less than 7% during the whole time of the experiment, and reaching 64.4% of the parent acid B analgesic activity;
- Opioid receptors appear to be involved in the analgesic effects of the FELL-OH-peptide-containing (BB20A and BB20B) bioconjugates;
- Cannabinoid receptors are also involved in the analgesic effects of the FELL-OH-peptide-containing (BB20A and BB20B) bioconjugates, but with BB20A, they “turn on” at a later stage—after the 20th minute;
- Neither naloxone nor AM251 succeeded in preventing some analgesic activity after the pretreatments—the two types of receptors, opioid and cannabinoid, obviously are synergistic in their analgesic effects, and even some other types of receptors, e. g. NOP, could be involved;
- A paradoxical analgesic activity (higher than the one without naloxone pretreatment) has been observed for the compounds BB19A and BB19B that could be due to the anti-opioid effects of the compounds, as well as the involvement of another type of receptor, e.g., NOP, in the described effects.
5. Conclusions
Supplementary Materials
Author Contributions
Funding
Institutional Review Board Statement
Informed Consent Statement
Data Availability Statement
Acknowledgments
Conflicts of Interest
References
- Sunasee, R.; Narain, R. Covalent and Noncovalent Bioconjugation Strategies. In Chemistry of Bioconjugates; Narain, R., Ed.; Wiley: Hoboken, NJ, USA, 2014; pp. 1–75. ISBN 978-1-118-35914-3. [Google Scholar]
- Fu, C.; Yu, L.; Miao, Y.; Liu, X.; Yu, Z.; Wei, M. Peptide–Drug Conjugates (PDCs): A Novel Trend of Research and Development on Targeted Therapy, Hype or Hope? Acta Pharm. Sin. B 2023, 13, 498–516. [Google Scholar] [CrossRef]
- Rudra, A.; Li, J.; Shakur, R.; Bhagchandani, S.; Langer, R. Trends in Therapeutic Conjugates: Bench to Clinic. Bioconjug Chem. 2020, 31, 462–473. [Google Scholar] [CrossRef]
- Dokka, S.; Toledo-Velasquez, D.; Shi, X.; Wang, L.; Rojanasakul, Y. Cellular Delivery of Oligonucleotides by Synthetic Import Peptide Carrier. Pharm. Res. 1997, 14, 1759–1764. [Google Scholar] [CrossRef]
- Bachmann, A.S.; Surovoy, A.; Jung, G.; Moelling, K. Integrin Receptor-Targeted Transfer Peptides for Efficient Delivery of Antisense Oligodeoxynucleotides. J. Mol. Med. Berl. Ger. 1998, 76, 126–132. [Google Scholar] [CrossRef]
- Midoux, P.; Kichler, A.; Boutin, V.; Maurizot, J.C.; Monsigny, M. Membrane Permeabilization and Efficient Gene Transfer by a Peptide Containing Several Histidines. Bioconjug Chem. 1998, 9, 260–267. [Google Scholar] [CrossRef]
- Ma, L.; Wang, C.; He, Z.; Cheng, B.; Zheng, L.; Huang, K. Peptide-Drug Conjugate: A Novel Drug Design Approach. Curr. Med. Chem. 2017, 24, 3373–3396. [Google Scholar] [CrossRef] [PubMed]
- Danalev, D.; Iliev, I.; Borisova, D.; Dzimbova, T.; Pajpanova, T.; Zaharieva, Z.; Karadjova, V.; Foteva, T.; Naydenova, E. Synthesis, Anticancer Activity, Docking Calculations and Hydrolytic Stability Studies of Bioconjugates of Monofluorenated Analogue of BIM-23052. Protein Pept. Lett. 2022, 29, 721–731. [Google Scholar] [CrossRef] [PubMed]
- Jaber, S.; Nemska, V.; Iliev, I.; Ivanova, E.; Foteva, T.; Georgieva, N.; Givechev, I.; Tanev, D.; Naydenova, E.; Danalev, D. Synthesis, Antiproliferative and Antimicrobial Activities of (KLAKLAK)2-NH2 Analogue Containing nor-Leu and Its Conjugates with a Second Pharmacophore. Biotechnol. Biotechnol. Equip. 2023, 37, 151–158. [Google Scholar] [CrossRef]
- Goldberg, D.S.; McGee, S.J. Pain as a Global Public Health Priority. BMC Public. Health 2011, 11, 770. [Google Scholar] [CrossRef]
- Pain Awareness Month 2022. Available online: https://europeanpainfederation.eu/news/pain-awareness-month-2022/ (accessed on 20 September 2023).
- Pain. Available online: https://www.ninds.nih.gov/health-information/disorders/pain (accessed on 20 September 2023).
- Cohen, S.P.; Wang, E.J.; Doshi, T.L.; Vase, L.; Cawcutt, K.A.; Tontisirin, N. Chronic Pain and Infection: Mechanisms, Causes, Conditions, Treatments, and Controversies. BMJ Med. 2022, 1, e000108. [Google Scholar] [CrossRef]
- Vardanyan, R.; Hruby, V. Chapter 3—Analgesics. In Synthesis of Best-Seller Drugs, 1st ed.; Vardanyan, R., Hruby, V., Eds.; Academic Press: Boston, MA, USA, 2016; pp. 15–64. ISBN 978-0-12-411492-0. [Google Scholar]
- Ramamoorthy, S.; Cidlowski, J.A. Corticosteroids-Mechanisms of Action in Health and Disease. Rheum. Dis. Clin. N. Am. 2016, 42, 15–31. [Google Scholar] [CrossRef]
- Li, J.J. Synthesis of Best-Seller Drugs. By Ruben Vardanyan and Victor Hruby. Angew. Chem. Int. Ed. 2017, 56, 2. [Google Scholar] [CrossRef]
- Zöllner, C.; Stein, C. Opioids. Handb. Exp. Pharmacol. 2007, 177, 31–63. [Google Scholar] [CrossRef]
- Queremel Milani, D.A.; Davis, D.D. Pain Management Medications. In StatPearls; StatPearls Publishing: Treasure Island, FL, USA, 2023. [Google Scholar]
- Danalev, D.L.; Vladimirova, S.P.; Borisov, B.P.; Nocheva, H.H.; Bocheva, A.I.; Marinkova, D.A.; Naydenova, E.D.; Lozanov, V.S. Synthesis and Analgesic Activity of New Analogues of Tyr-MIF Including Pyrrole Moiety. Int. J. Pept. Res. Ther. 2016, 22, 243–248. [Google Scholar] [CrossRef]
- Ivan, B.-C.; Barbuceanu, S.-F.; Hotnog, C.M.; Anghel, A.I.; Ancuceanu, R.V.; Mihaila, M.A.; Brasoveanu, L.I.; Shova, S.; Draghici, C.; Olaru, O.T.; et al. New Pyrrole Derivatives as Promising Biological Agents: Design, Synthesis, Characterization, In Silico, and Cytotoxicity Evaluation. Int. J. Mol. Sci. 2022, 23, 8854. [Google Scholar] [CrossRef]
- Fèvre, M.; Pinaud, J.; Gnanou, Y.; Vignolle, J.; Taton, D. N-Heterocyclic Carbenes (NHCs) as Organocatalysts and Structural Components in Metal-Free Polymer Synthesis. Chem. Soc. Rev. 2013, 42, 2142–2172. [Google Scholar] [CrossRef] [PubMed]
- Ahmad, S.; Alam, O.; Naim, M.J.; Shaquiquzzaman, M.; Alam, M.M.; Iqbal, M. Pyrrole: An Insight into Recent Pharmacological Advances with Structure Activity Relationship. Eur. J. Med. Chem. 2018, 157, 527–561. [Google Scholar] [CrossRef]
- Gholap, S.S. Pyrrole: An Emerging Scaffold for Construction of Valuable Therapeutic Agents. Eur. J. Med. Chem. 2016, 110, 13–31. [Google Scholar] [CrossRef]
- Hill, S.A.; Steinfort, R.; Hartmann, L. Progress, Challenges and Future Directions of Heterocycles as Building Blocks in Iterative Methodologies towards Sequence-Defined Oligomers and Polymers. Polym. Chem. 2021, 12, 4439–4450. [Google Scholar] [CrossRef]
- Cordrey, L.J. Tolmetin Sodium, a New Anti-Arthritis Drug: Double-Blind and Long-Term Studies. J. Am. Geriatr. Soc. 1976, 24, 440–446. [Google Scholar] [CrossRef]
- Lewis, J.R. Zomepirac Sodium: A New Nonaddicting Analgesic. JAMA 1981, 246, 377–379. [Google Scholar] [CrossRef]
- Jeelan Basha, N.; Basavarajaiah, S.M.; Shyamsunder, K. Therapeutic Potential of Pyrrole and Pyrrolidine Analogs: An Update. Mol. Divers. 2022, 26, 2915–2937. [Google Scholar] [CrossRef]
- Nalamachu, S.; Wortmann, R. Role of Indomethacin in Acute Pain and Inflammation Management: A Review of the Literature. Postgrad. Med. 2014, 126, 92–97. [Google Scholar] [CrossRef] [PubMed]
- Bhardwaj, V.; Gumber, D.; Abbot, V.; Dhiman, S.; Sharma, P. Pyrrole: A Resourceful Small Molecule in Key Medicinal Hetero-Aromatics. RSC Adv. 2015, 5, 15233–15266. [Google Scholar] [CrossRef]
- Tzankova, D.; Vladimirova, S.; Peikova, L.; Georgieva, M. Synthesis of Pyrrole and Substituted Pyrroles (Review). J. Chem. Technol. Met. 2018, 53, 451–464. [Google Scholar]
- St. Laurent, C.D.; St. Laurent, K.E.; Mathison, R.D.; Befus, A.D. Calcium-Binding Protein, Spermatid-Specific 1 Is Expressed in Human Salivary Glands and Contains an Anti-Inflammatory Motif. Am. J. Physiol. Regul. Integr. Comp. Physiol. 2015, 308, 569–575. [Google Scholar] [CrossRef] [PubMed]
- Omoigui, S. The Biochemical Origin of Pain: The Origin of All Pain Is Inflammation and the Inflammatory Response. Part 2 of 3 –Inflammatory Profile of Pain Syndromes. Med. Hypotheses 2007, 69, 1169–1178. [Google Scholar] [CrossRef] [PubMed]
- Gossauer, A. Die Chemie der Pyrrole; Springer: Berlin, Germany, 1974; pp. 289–309. ISBN 978-3-642-511189. [Google Scholar]
- Kanemasa, T.; Koike, K.; Takase, K.; Arai, T.; Nakamura, A.; Morioka, Y.; Hasegawa, M. Pharmacological Profile of Naldemedine, a Peripherally Acting μ-Opioid Receptor Antagonist: Comparison with Naloxone and Naloxegol. J. Pharmacol. Exp. Ther. 2020, 373, 438–444. [Google Scholar] [CrossRef]
- Katsuyama, S.; Mizoguchi, H.; Komatsu, T.; Nagaoka, K.; Sakurada, S.; Sakurada, T. The Cannabinoid 1 Receptor Antagonist AM251 Produces Nocifensive Behavior via Activation of ERK Signaling Pathway. Neuropharmacology 2010, 59, 534–541. [Google Scholar] [CrossRef]
- Randall, L.O.; Selitto, J.J. A Method for Measurement of Analgesic Activity on Inflamed Tissue. Arch. Int. Pharmacodyn. Ther. 1957, 111, 409–419. [Google Scholar]
- Ivanov, I. Carboxylic Acids, e-Book, Chapter 18; 2011; pp. 5. Available online: https://ochemist.losttribesource.org/orgchem/pdf/carbox_acids.pdf (accessed on 20 September 2023).
- Román, T.; Acosta, G.; de la Torre, B.G.; Cárdenas, C.; Guzmán, F.; Albericio, F. Improving 2-Chlorotrityl Chloride (2-CTC) Resin Activation. Methods Protoc. 2023, 6, 82. [Google Scholar] [CrossRef]
- Bandyopadhyay, D.; Mukherjee, S.; Granados, J.C.; Short, J.D.; Banik, B.K. Ultrasound-Assisted Bismuth Nitrate-Induced Green Synthesis of Novel Pyrrole Derivatives and Their Biological Evaluation as Anticancer Agents. Eur. J. Med. Chem. 2012, 50, 209–215. [Google Scholar] [CrossRef] [PubMed]
- Williams, I.S.; Joshi, P.; Gatchie, L.; Sharma, M.; Satti, N.K.; Vishwakarma, R.A.; Chaudhuri, B.; Bharate, S.B. Synthesis and Biological Evaluation of Pyrrole-Based Chalcones as CYP1 Enzyme Inhibitors, for Possible Prevention of Cancer and Overcoming Cisplatin Resistance. Bioorg Med. Chem. Lett. 2017, 27, 3683–3687. [Google Scholar] [CrossRef] [PubMed]
- Jung, E.K.; Leung, E.; Barker, D. Synthesis and Biological Activity of Pyrrole Analogues of Combretastatin A-4. Bioorg Med. Chem. Lett. 2016, 26, 3001–3005. [Google Scholar] [CrossRef]
- Imperatore, C.; Scuotto, M.; Valadan, M.; Rivieccio, E.; Saide, A.; Russo, A.; Altucci, C.; Menna, M.; Ramunno, A.; Mayol, L.; et al. Photo-control of Cancer Cell Growth by Benzodiazo N-substituted Pyrrole Derivatives. J. Photochem. Photobiol. 2019, 377, 109–118. [Google Scholar] [CrossRef]
- Tzankova, D.; Aluani, D.; Kondeva-Burdina, M.; Georgieva, M.; Vladimirova, S.; Peikova, L.; Tzankova, V. Antioxidant Properties, Neuroprotective Effects and In Vitro Safety Evaluation of New Pyrrole Derivatives. Pharm. Chem. J. 2022, 55, 1310–1320. [Google Scholar] [CrossRef]
- Borisova, B.; Nocheva, H.; Gérard, S.; Laronze-Cochard, M.; Dobrev, S.; Angelova, S.; Petrin, S.; Danalev, D. Synthesis, In Silico Logp Study, and In Vivo Analgesic Activity of Analogs of Tetrapeptide FELL. Pharmaceuticals 2023, 16, 1183. [Google Scholar] [CrossRef]










| Code | Structure | Molecular formula | Mm exact, g/mol | [M+nH]+observed | [M+Na]+observed | M.p., °C | tR, min | αD20, O | Yield, % | Chromatographic purity, % |
|---|---|---|---|---|---|---|---|---|---|---|
| BB19A | A-Phe-Glu-Leu-Leu-NH2 | C36H52N6O9 | 712.38 | 713.35 | 735.35 | 213±215 | 5.600 | 13 | 89 | 85 |
| BB19B | B-Phe-Glu-Leu-Leu-NH2 | C36H52N6O9 | 712.38 | 713.35 | 733.35 | 207±208 | 6.567 | 8 | 89 | 100 |
| BB20A | A-Phe-Glu-Leu-Leu-OH | C36H51N5O10 | 713.36 | 714.35 | 736.30 | 231±233 | 7.350 | -21 | 49 | 88 |
| BB20B | B-Phe-Glu-Leu-Leu-OH | C36H51N5O10 | 713.36 | 714.35 | 736.30 | 214±216 | 6.833 | 34 | 27 | 100 |
Disclaimer/Publisher’s Note: The statements, opinions and data contained in all publications are solely those of the individual author(s) and contributor(s) and not of MDPI and/or the editor(s). MDPI and/or the editor(s) disclaim responsibility for any injury to people or property resulting from any ideas, methods, instructions or products referred to in the content. |
© 2023 by the authors. Licensee MDPI, Basel, Switzerland. This article is an open access article distributed under the terms and conditions of the Creative Commons Attribution (CC BY) license (https://creativecommons.org/licenses/by/4.0/).
Share and Cite
Borisova, B.; Vladimirova, S.; Nocheva, H.; Laronze-Cochard, M.; Gérard, S.; Petrin, S.; Danalev, D. Synthesis, Hydrolytic Stability and In Vivo Biological Study of Bioconjugates of the Tetrapeptides FELL Containing Pyrrole Moiety. Biomedicines 2023, 11, 3265. https://doi.org/10.3390/biomedicines11123265
Borisova B, Vladimirova S, Nocheva H, Laronze-Cochard M, Gérard S, Petrin S, Danalev D. Synthesis, Hydrolytic Stability and In Vivo Biological Study of Bioconjugates of the Tetrapeptides FELL Containing Pyrrole Moiety. Biomedicines. 2023; 11(12):3265. https://doi.org/10.3390/biomedicines11123265
Chicago/Turabian StyleBorisova, Boryana, Stanislava Vladimirova, Hristina Nocheva, Marie Laronze-Cochard, Stéphane Gérard, Stoyko Petrin, and Dancho Danalev. 2023. "Synthesis, Hydrolytic Stability and In Vivo Biological Study of Bioconjugates of the Tetrapeptides FELL Containing Pyrrole Moiety" Biomedicines 11, no. 12: 3265. https://doi.org/10.3390/biomedicines11123265
APA StyleBorisova, B., Vladimirova, S., Nocheva, H., Laronze-Cochard, M., Gérard, S., Petrin, S., & Danalev, D. (2023). Synthesis, Hydrolytic Stability and In Vivo Biological Study of Bioconjugates of the Tetrapeptides FELL Containing Pyrrole Moiety. Biomedicines, 11(12), 3265. https://doi.org/10.3390/biomedicines11123265

