Palliative Radiotherapy for Bleeding from Unresectable Gastric Cancer Using Three-Dimensional Conformal Technique
Abstract
:1. Introduction
2. Materials and Methods
2.1. Patients
2.2. Radiotherapy
2.3. Evaluation
2.4. Statistical Analysis
3. Results
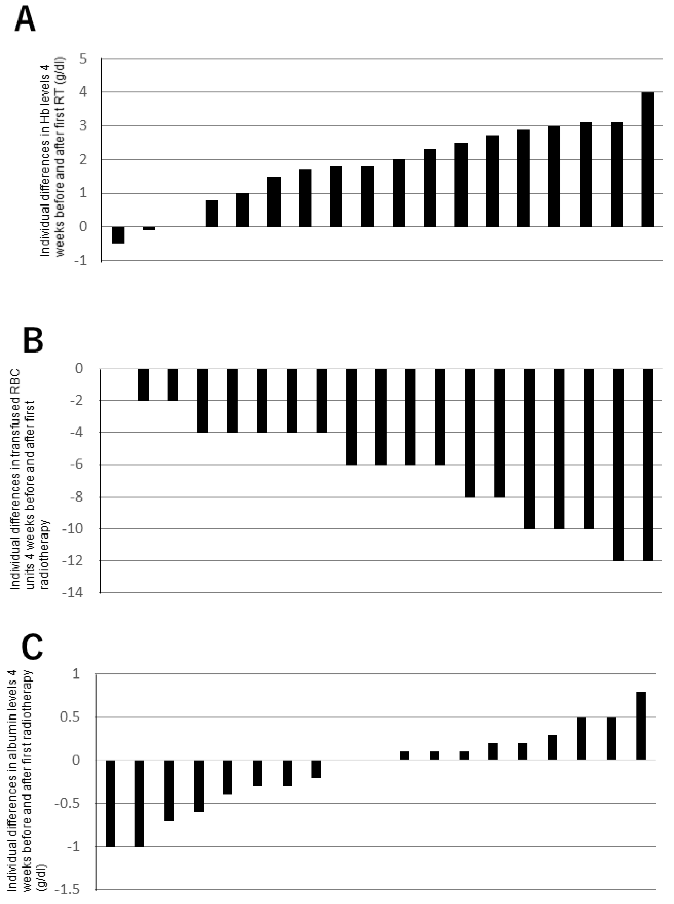
3.1. First Irradiation
3.2. Reirradiation
4. Discussion
5. Conclusions
Author Contributions
Funding
Institutional Review Board Statement
Informed Consent Statement
Data Availability Statement
Conflicts of Interest
References
- Sung, H.; Ferlay, J.; Siegel, R.L.; Laversanne, M.; Soerjomataram, I.; Jemal, A.; Bray, F. Global Cancer Statistics 2020: GLOBOCAN Estimates of Incidence and Mortality Worldwide for 36 Cancers in 185 Countries. CA Cancer J. Clin. 2021, 71, 209–249. [Google Scholar] [CrossRef] [PubMed]
- Bray, F.; Ferlay, J.; Soerjomataram, I.; Siegel, R.L.; Torre, L.A.; Jemal, A. Global cancer statistics 2018: GLOBOCAN estimates of incidence and mortality worldwide for 36 cancers in 185 countries. CA Cancer J. Clin. 2018, 68, 394–424. [Google Scholar] [CrossRef] [PubMed] [Green Version]
- Rawla, P.; Barsouk, A. Epidemiology of gastric cancer: Global trends, risk factors and prevention. Prz. Gastroenterol. 2019, 14, 26–38. [Google Scholar] [CrossRef] [PubMed]
- Wang, L.; Wang, X.; Hao, J.; Zhang, L.; Li, M.; Wu, X.; Weng, H.; Lv, W.; Zhang, W.; Chen, L.; et al. Long-term outcomes after radical gastrectomy in gastric cancer patients with overt bleeding. World J. Gastroenterol. 2015, 21, 13316–13324. [Google Scholar] [CrossRef]
- Park, H.; Ahn, J.Y.; Jung, H.Y.; Chun, J.H.; Nam, K.; Lee, J.H.; Jung, K.W.; Kim, D.H.; Choi, K.D.; Song, H.J.; et al. Can endoscopic bleeding control improve the prognosis of advanced gastric cancer patients? A retrospective case-control study. J. Clin. Gastroenterol. 2017, 51, 599–606. [Google Scholar] [CrossRef]
- Kim, Y.J.; Park, J.C.; Kim, E.H.; Shin, S.K.; Lee, S.K.; Lee, Y.C. Hemostatic powder application for control of acute upper gastrointestinal bleeding in patients with gastric malignancy. Endosc. Int. Open 2018, 6, E700–E705. [Google Scholar] [CrossRef] [Green Version]
- Park, S.; Shin, J.H.; Gwon, D.I.; Kim, H.J.; Sung, K.B.; Yoon, H.K.; Ko, G.Y.; Ko, H.K. Transcatheter arterial embolization for gastrointestinal bleeding associated with gastric carcinoma: Prognostic factors predicting successful hemostasis and survival. J. Vasc. Interv. Radiol. 2017, 28, 1012–1021. [Google Scholar] [CrossRef]
- Kawabata, H.; Uno, K.; Yasuda, K.; Yamashita, M. Experience of low-dose, short-course palliative radiotherapy for bleeding from unresectable gastric cancer. J. Palliat. Med. 2017, 20, 177–180. [Google Scholar] [CrossRef]
- Lee, Y.H.; Lee, J.W.; Jang, H.S. Palliative external beam radiotherapy for the treatment of tumor bleeding in inoperable advanced gastric cancer. BMC Cancer 2017, 17, 541. [Google Scholar] [CrossRef] [Green Version]
- Hiramoto, S.; Kikuchi, A.; Tetsuso, H.; Yoshioka, A.; Kohigashi, Y.; Maeda, I. Efficacy of palliative radiotherapy and chemo-radiotherapy for unresectable gastric cancer demonstrating bleeding and obstruction. Int. J. Clin. Oncol. 2018, 23, 1090–1094. [Google Scholar] [CrossRef]
- Tey, J.; Zheng, H.; Soon, Y.Y.; Leong, C.N.; Koh, W.Y.; Lim, K.; So, J.B.Y.; Shabbir, A.; Tham, I.W.K.; Lu, J. Palliative radiotherapy in symptomatic locally advanced gastric cancer: A phase II trial. Cancer Med. 2019, 8, 1447–1458. [Google Scholar] [CrossRef]
- Tanaka, O.; Sugiyama, A.; Omatsu, T.; Tawada, M.; Makita, C.; Matsuo, M. Hemostatic radiotherapy for inoperable gastric cancer: A pilot study. Br. J. Radiol. 2020, 93, 20190958. [Google Scholar] [CrossRef]
- Lee, J.; Byun, H.K.; Koom, W.S.; Lee, Y.C.; Seong, J. Efficacy of radiotherapy for gastric bleeding associated with advanced gastric cancer. Radiat. Oncol. 2021, 16, 161. [Google Scholar] [CrossRef]
- Saito, T.; Kosugi, T.; Nakamura, N.; Wada, H.; Tonari, A.; Ogawa, H.; Mitsuhashi, N.; Yamada, K.; Takahashi, T.; Ito, K.; et al. Treatment response after palliative radiotherapy for bleeding gastric cancer: A multicenter prospective observational study (JROSG 17-3). Gastric Cancer 2021, 25, 411–421. [Google Scholar] [CrossRef]
- Sugita, H.; Sakuramoto, S.; Mihara, Y.; Matsui, K.; Nishibeppu, K.; Ebara, G.; Fuijta, S.; Fujihata, S.; Oya, S.; Miyawaki, Y.; et al. Verification of the utility of palliative radiotherapy for hemostasis of gastric cancer bleeding: A Case Control Study. J. Gastrointest. Cancer 2021, 53, 420–426. [Google Scholar] [CrossRef]
- Yu, J.; Jung, J.; Park, S.R.; Ryu, M.H.; Park, J.H.; Kim, J.H.; Yoon, S.M. Role of palliative radiotherapy in bleeding control in patients with unresectable advanced gastric cancer. BMC Cancer 2021, 21, 413. [Google Scholar] [CrossRef]
- Kawabata, H.; Hitomi, M.; Motoi, S. Management of bleeding from unresectable gastric cancer. Biomedicines 2019, 7, 54. [Google Scholar] [CrossRef] [Green Version]
- Lee, J.A.; Lim, D.H.; Park, W.; Ahn, Y.C.; Huh, S.J. Radiation therapy for gastric cancer bleeding. Tumori J. 2009, 95, 726–730. [Google Scholar] [CrossRef]
- Fajardo, L.F. The pathology of ionizing radiation as defined by morphologic patterns. Acta Oncol. 2005, 44, 13–22. [Google Scholar] [CrossRef] [Green Version]
- Citrin, D.E. Recent Developments in Radiotherapy. N. Engl. J. Med. 2017, 377, 1065–1075. [Google Scholar] [CrossRef]
- Kim, L.; Markovina, S.; Nest, S.J.V.; Eisaman, S.; Santanam, L.; Sullivan, J.M.; Dominello, M.; Joiner, M.C.; Burmeister, J. Three discipline collaborative radiation therapy (3DCRT) special debate: Equipment development is stifling innovation in radiation oncology. J. Appl. Clin. Med. Phys. 2019, 20, 6–11. [Google Scholar] [CrossRef] [Green Version]
- Suzuki, G.; Yamazaki, H.; Aibe, N.; Masui, K.; Sasaki, N.; Tatekawa, K.; Shimizu, D.; Kimoto, T.; Nishimura, T.; Nakashima, A.; et al. Palliative Reirradiation for Painful Bone Metastases: Clinical Cases and Literature Review. Kurume Med. J. 2018, 64, 5–11. [Google Scholar] [CrossRef]
- Milano, M.T.; Mihai, A.; Kong, F.S. Review of thoracic reirradiation with stereotactic body radiation therapy: A focus on toxicity risks. Pract. Radiat. Oncol. 2018, 8, 251–265. [Google Scholar] [CrossRef]
- Chidambaram, S.; Pannullo, S.C.; Schwartz, T.H.; Wernicke, A.G. Reirradiation of recurrent brain metastases: Where do we stand? World Neurosurg. 2019, 125, 156–163. [Google Scholar] [CrossRef]
- Viani, G.A.; Arruda, C.V.; Hamamura, A.C.; Faustino, A.C.; Danelichen, A.F.B.; Matsuura, F.K.; Neves, L.V.F. Palliative radiotherapy for gastric cancer: Is there a dose relationship between bleeding response and radiotherapy? Clinics 2020, 75, e1644. [Google Scholar] [CrossRef] [PubMed]
- McKay, M.J.; Foster, R. Pathobiology, irradiation dosimetric parameters and therapy of radiation-induced gastric damage: A narrative review. J. Gastrointest. Oncol. 2021, 12, 3115–3122. [Google Scholar] [CrossRef]
- Emami, B.; Lyman, J.; Brown, A.; Coia, L.; Goitein, M.; Munzenrider, J.E.; Shank, B.; Solin, L.J.; Wesson, M. Tolerance of normal tissue to therapeutic irradiation. Int. J. Radiat. Oncol. Biol. Phys. 1991, 21, 109–122. [Google Scholar] [CrossRef]




| Characteristics | First Irradiation No. (%) | Reirradiation No. (%) |
|---|---|---|
| Patients | 20 | 3 |
| Sex | ||
| Male | 12 (60) | 1 (33) |
| Median age (range) | 84 (63–96) | 93 (84–97) |
| Objectives | ||
| Hemostasis | 20 (100) | 2 (67) |
| Mass reduction | 0 (0) | 1 (33) |
| Performance status (Eastern Cooperative Oncology Group) | ||
| 2 | 6 (30) | 2 (67) |
| 3 | 11 (55) | 1 (33) |
| 4 | 3 (15) | 0 (0) |
| Location | ||
| Upper | 3 (15) | 0 (0) |
| Middle | 7 (35) | 0 (0) |
| Lower | 5 (25) | 2 (67) |
| Diffuse | 5 (25) | 1 (33) |
| Gross appearance (Borrmann type) | ||
| 2 | 12 (60) | 3 (100) |
| 3 | 7 (35) | 0 (0) |
| 4 | 1 (5) | 0 (0) |
| Histopathology | ||
| Well-differentiated adenocarcinoma | 4 (20) | 2 (67) |
| Moderately differentiated adenocarcinoma | 9 (45) | 1 (33) |
| Poorly differentiated adenocarcinoma | 6 (30) | 0 (0) |
| Differentiation-unknown adenocarcinoma | 1 (5) | 0 (0) |
| Disease status | ||
| Locally advanced disease | 10 (50) | 2 (67) |
| Metastatic disease | 9 (45) | 0 (0) |
| Local recurrence | 1 (5) | 1 (33) |
| Chemotherapy or molecular targeted therapy | ||
| Before RT | 5 (25) | 0 (0) |
| During RT | 0 (0) | 0 (0) |
| After RT | 1 (5) | 0 (0) |
| Endoscopic hemostasis before RT | ||
| Yes | 4 (20) | 0 (0) |
| Antithrombotic therapy for comorbidities | ||
| Yes | 6 (30) | 1 (33) |
| Mean lowest hemoglobin level (g/dL) | ||
| 6.2 ± 1.2 | 4.3 | |
| Mean hemoglobin level (g/dL) 1 month before first RT | ||
| 8.0 ± 1.1 | 5.2 | |
| Mean units of blood transfusion 1 month before first RT | ||
| 6.8 ± 3.3 | 6.0 | |
| Mean albumin level (g/dL) 1 month before first RT | ||
| 2.6 ± 0.5 | 2.1 | |
| RT schedule | ||
| Median radiation dose | 30 Gy | 15 Gy |
| 10.5 Gy/3 fr | 1 (5) | 0 (0) |
| 15 Gy/5 fr | 1 (5) | 2 (67) |
| 20 Gy/5 fr | 1 (5) | 0 (0) |
| 20 Gy/10 fr | 0 (0) | 1 (33) |
| 28 Gy/8 fr | 0 (0) | 0 (0) |
| 30 Gy/10 fr | 16 (80) | 0 (0) |
| RT, Radiotherapy | ||
| Author /Year | Design | Index Symptom | Study Period | Patients | Radiotherapy | Chemotherapy | Successful Hemostasis, n (%) | Rebleeding n (%) | Rebleeding-free Duration(Months) | RT Technique | ||||||
|---|---|---|---|---|---|---|---|---|---|---|---|---|---|---|---|---|
| Number | Ulcerative appearance | M1 | PS ≥ 3, n (%) | Dose/Fraction | BED (Gy10)(Range) | Previous | Concurrent | Additional | ||||||||
| Kawabata H 2017 [8] | Retrospective | Bleeding | 2004–2014 | 18 | NR | 13 (72%) | 4 (22%) | 6 Gy/3 fr | 7.2 | 13 | 2 | 8 | 55% (10/18) | 60% (6/10) | NR | 2DRT |
| Lee YH 2017 [9] | Retrospective | Bleeding | 1991–2014 | 42 | 36 (85%) | 35 (83%) | 8 (19%) | Median 39.6 Gy/20 fr (14–50.4 Gy/7–28 fr) | Median 47 (16.8–59.4) | 31 | 7 | NR | 69% (29/42) | 37% (11/29) | 3.7 | 2DRT/3DRT |
| Hiramoto S 2018 [10] | Retrospective | Bleeding, obstruction | 2006–2014 | 23 | 6 (26%) | 21 (91%) | 1 (4.3%) | Median 42 Gy/20 fr (30–60 Gy/10–30 fr) | Median 50.8 (39–72) | 10 | 15 | 8 | 88.8% (16/18) | 25% (4/16) | 3.4 | 3DRT |
| Tey J 2019 [11] | Prospective | Bleeding, pain, obstruction | 2009–2014 | 50 | NR | 37 (74%) | 5 (10%) | 36 Gy/12 fr | 48.6 | 5 | 0 | 7 | 80% (40/50) | 5% (2/40) | 3.4 | 3DRT |
| Tanaka O 2020 [12] | Prospective | Bleeding | 2016–2019 | 31 | NR | 4 (12%) | 10 (32%) | Initial: 20 Gy/5 fr, Salvage: 15 Gy/5 fr | Initial: 28, Salvage: 19.5 | NR | NR | 8 | 80.6% (25/31) | 52% (13/25) | NR | 3DRT |
| Lee J 2021 [13] | Retrospective | Bleeding | 2009–2019 | 57 | NR | 50 (87%) | 10 (17%) | Median 25 Gy/5 fr (17.5–45 Gy/4–25 fr) | Median 37.5 (23.6–58.5) | 43 | 10 | 27 | 75.4% (43/57) | 51% (22/43) | 1.6 | 4DRT |
| Saito T 2021 [14] | Prospective | Bleeding | 2017–2020 | 55 | NR | 42 (76%) | 14 (25%) | Median 20 Gy/5 fr (6–45 Gy/1–18 fr) | Median 28 (7.8–56.3) | 36 | 0 | 0 | 69% (38/55) | 32% (12/19) | 2.3 | 3DRT |
| Sugita H 2021 [15] | Retrospective | Bleeding | 2013–2020 | 33 | 28 (84%) | 24 (72%) | 5 (15%) | Median 30 Gy/10 fr (6–30 Gy/1–10 fr) | Median 39 (7.8–39) | NR | NR | 15 | 73% (24/33) | 21% (5/24) | 4.9 | 3DRT |
| Yu J 2021 [16] | Retrospective | Bleeding | 2002–2018 | 61 | NR | NR | NR | Median 30 Gy (12.5–50) 1.8–3 G/day | Median 39 (16–60) | 50 | 0 | 30 | 88.5% (54/61) | 35.2% (19/61) | 6 | 3DRT |
| Our present study | Retrospective | Bleeding | 2016–2021 | 20 | 19 (95%) | 9 (45%) | 14 (70%) | Median 30 Gy (10.5–30 Gy/3–10 fr) | Median 39 (14.1–39) | 5 | 0 | 1 | 95% (19/20) | 10.5% (2/19) | 12 | 3DRT |
| Author /Year | Toxicity, n (%) | Acute Toxicity (CTC) (Grade ≥ 3) | Late Toxicity | ||
|---|---|---|---|---|---|
| Gastrointestinal | Skin/Connective Tissue | Others | |||
| Kawabata 2017 [8] | 2 (11%) | GI obstruction: 1 | 0 | Leukocytopenia: 1 in CRT | 0 |
| Lee YH 2017 [9] | 0 | 0 | 0 | 0 | 0 |
| Hiramoto 2018 [10] | 0 | 0 | 0 | 0 | 0 |
| Tey 2019 [11] | 2 (4%) | Gastritis: 1 | 0 | Anorexia: 1 | 0 |
| Tanaka O 2020 [12] | 0 | 0 | 0 | 0 | 0 |
| Lee J 2021 [13] | 0 | 0 | 0 | 0 | 0 |
| Saito T 2021 [14] | 1 (2%) | 0 | 0 | Anorexia: 1 | 0 |
| Sugita H 2021 [15] | 0 | 0 | 0 | 0 | 0 |
| Yu J 2021 [16] | 1 (1.6%) | Nausea: 1 | 0 | 0 | 0 |
| Our present study | 4 (20%) | 0 | 0 | Anorexia: 1 | GI perforation: 3 |
Publisher’s Note: MDPI stays neutral with regard to jurisdictional claims in published maps and institutional affiliations. |
© 2022 by the authors. Licensee MDPI, Basel, Switzerland. This article is an open access article distributed under the terms and conditions of the Creative Commons Attribution (CC BY) license (https://creativecommons.org/licenses/by/4.0/).
Share and Cite
Kawabata, H.; Fujii, T.; Yamamoto, T.; Satake, H.; Yamaguchi, K.; Okazaki, Y.; Nakase, K.; Miyata, M.; Motoi, S. Palliative Radiotherapy for Bleeding from Unresectable Gastric Cancer Using Three-Dimensional Conformal Technique. Biomedicines 2022, 10, 1394. https://doi.org/10.3390/biomedicines10061394
Kawabata H, Fujii T, Yamamoto T, Satake H, Yamaguchi K, Okazaki Y, Nakase K, Miyata M, Motoi S. Palliative Radiotherapy for Bleeding from Unresectable Gastric Cancer Using Three-Dimensional Conformal Technique. Biomedicines. 2022; 10(6):1394. https://doi.org/10.3390/biomedicines10061394
Chicago/Turabian StyleKawabata, Hideaki, Takashi Fujii, Tetsuya Yamamoto, Hiroaki Satake, Katsutoshi Yamaguchi, Yuji Okazaki, Kojiro Nakase, Masatoshi Miyata, and Shigehiro Motoi. 2022. "Palliative Radiotherapy for Bleeding from Unresectable Gastric Cancer Using Three-Dimensional Conformal Technique" Biomedicines 10, no. 6: 1394. https://doi.org/10.3390/biomedicines10061394
APA StyleKawabata, H., Fujii, T., Yamamoto, T., Satake, H., Yamaguchi, K., Okazaki, Y., Nakase, K., Miyata, M., & Motoi, S. (2022). Palliative Radiotherapy for Bleeding from Unresectable Gastric Cancer Using Three-Dimensional Conformal Technique. Biomedicines, 10(6), 1394. https://doi.org/10.3390/biomedicines10061394

