Complement Activation Profile in Myasthenia Gravis Patients: Perspectives for Tailoring Anti-Complement Therapy
Abstract
:1. Introduction
2. Results
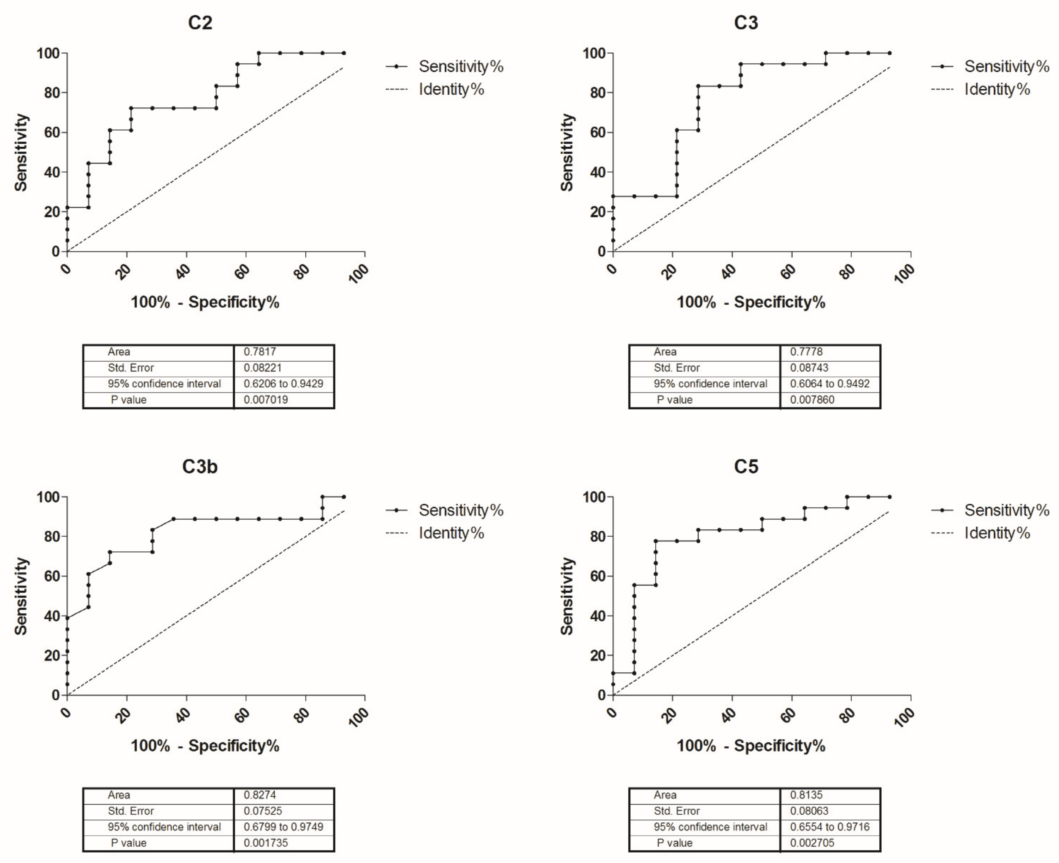
2.1. Complement Component Profiling Shows C2 and C5 Decrease, and C3 Increase in Plasma of AChR-MG Patients
2.2. Complement Activation Product Profiling Shows C5a and C3b Increase in Plasma of AChR-MG Patients
2.3. Complement Activation Biomarkers in AChR-MG
3. Discussion
4. Materials and Methods
4.1. Patients and Samples
4.2. Multiplex Immunoassays for Complement Panel Analysis
4.3. ELISA
4.4. Statistical Analyses
5. Conclusions
Supplementary Materials
Author Contributions
Funding
Institutional Review Board Statement
Informed Consent Statement
Data Availability Statement
Acknowledgments
Conflicts of Interest
References
- Gilhus, N.E.; Tzartos, S.; Evoli, A.; Palace, J.; Burns, T.M.; Verschuuren, J.J.G.M. Myasthenia Gravis. Nat. Rev. Dis. Primers 2019, 5, 30. [Google Scholar] [CrossRef] [PubMed]
- Mantegazza, R.; Cavalcante, P. Diagnosis and treatment of myasthenia gravis. Curr. Opin. Rheumatol. 2019, 31, 623–633. [Google Scholar] [CrossRef] [PubMed]
- Liu, Y.; Wang, W.; Li, J. Evaluation of serum IgG subclass concentrations in myasthenia gravis patients. Int. J. Neurosci. 2011, 121, 570–574. [Google Scholar] [CrossRef] [PubMed]
- Tüzün, E.; Christadoss, P. Complement associated pathogenic mechanisms in myasthenia gravis. Autoimmun. Rev. 2013, 12, 904–911. [Google Scholar] [CrossRef] [PubMed] [Green Version]
- Tüzün, E.; Scott, B.G.; Goluszko, E.; Higgs, S.; Christadoss, P. Genetic evidence for involvement of classical complement pathway in induction of experimental autoimmune myasthenia gravis. J. Immunol. 2003, 171, 3847–3854. [Google Scholar] [CrossRef] [PubMed] [Green Version]
- Merle, N.S.; Church, S.E. Complement system part I–molecular mechanisms of activation and regulation. Front. Immunol. 2015, 6, 262. [Google Scholar] [CrossRef] [Green Version]
- Sahashi, K.; Engel, A.G.; Linstrom, J.M.; Lambert, E.H.; Lennon, V.A. Ultrastructural localization of immune complexes (IgG and C3) at the end-plate in experimental autoimmune myasthenia gravis. J. Neuropathol. Exp. Neurol. 1978, 37, 212–223. [Google Scholar] [CrossRef]
- Nakano, S.; Engel, A.G. Myasthenia gravis: Quantitative immunocytochemical analysis of inflammatory cells and detection of complement membrane attack complex at the end-plate in 30 patients. Neurology 1993, 43, 1167–1172. [Google Scholar] [CrossRef]
- Romi, F.; Kristoffersen, E.K.; Aarli, J.A.; Gilhus, N.E. The role of complement in myasthenia gravis: Serological evidence of complement consumption in vivo. J. Neuroimmunol. 2005, 158, 191–194. [Google Scholar] [CrossRef]
- Barohn, R.J.; Brey, R.L. Soluble terminal complement components in human myasthenia gravis. Clin. Neurol. Neurosurg. 1993, 95, 285–290. [Google Scholar] [CrossRef]
- Biesecker, G.; Gomez, C.M. Inhibition of acute passive transfer experimental autoimmune myasthenia gravis with Fab antibody to complement C6. J. Immunol. 1989, 142, 2654–2659. [Google Scholar] [PubMed]
- Zhou, Y.; Gong, B.; Lin, F.; Rother, R.P.; Medof, M.E.; Kaminski, H.J. AntiC5 antibody treatment ameliorates weakness in experimentally acquired myasthenia gravis. J. Immunol. 2007, 179, 8562–8567. [Google Scholar] [CrossRef] [PubMed] [Green Version]
- Soltys, J.; Kusner, L.L.; Young, A.; Richmonds, C.; Hatala, D.; Gong, B.; Shanmugavel, V.; Kaminski, H.J. Novel complement inhibitor limits severity of experimentally myasthenia gravis. Ann. Neurol. 2009, 65, 67–75. [Google Scholar] [CrossRef] [PubMed]
- Kusner, L.L.; Yucius, K.; Sengupta, M.; Sprague, A.G.; Desai, D.; Nguyen, T.; Charisse, K.; Kuchimanchi, S.; Kallanthottathil, R.; Fitzgerald, K.; et al. Investigational RNAi Therapeutic targeting C5 is efficacious in pre-clinical models of myasthenia gravis. Mol. Ther. Methods Clin. Dev. 2019, 13, 484–492. [Google Scholar] [CrossRef] [PubMed] [Green Version]
- Huda, R.; Tüzün, E.; Christadoss, P. Complement C2 siRNA mediated therapy of myasthenia gravis in mice. J. Autoimmun. 2013, 42, 94–104. [Google Scholar] [CrossRef] [PubMed]
- Alexion Pharmaceuticals Inc. Soliris (Eculizumab): US Prescribing Information. 2015. Available online: https://www.accessdata.fda.gov/drugsatfda_docs/label/2017/125166s422lbl.pdf (accessed on 8 April 2022).
- Alexion Europe SAS. Soliris (Eculizumab): Summary of Product Characteristics. 2017. Available online: http://www.ema.europa.eu/docs/en_GB/document_library/EPAR_Product_Information/human/000791/WC500054208.pdf (accessed on 8 April 2022).
- Japan Ministry of Health Labour and Welfare. Soliris (Eculizumab): Japanese Prescribing Information. 2017. Available online: https://www.businesswire.com/news/home/20171226005046/en/Soliris%C2%AEEculizumab-Receives-Marketing-Authorization-Japan-Treatment (accessed on 8 April 2022).
- Howard, J.F.; Barohn, R.J.; Cutter, G.R.; Freimer, M.; Juel, V.C.; Mozaffar, T.; Mellion, M.L.; Benatar, M.G.; Farrugia, M.E.; Wang, J.J.; et al. A randomized, double-blind, placebo-controlled phase II study of eculizumab in patients with refractory generalized myasthenia gravis. Muscle Nerve 2013, 48, 76–84. [Google Scholar] [CrossRef]
- Howard, J.F.; Utsugisawa, K.; Benatar, M.; Murai, H.; Barohn, R.J.; Illa, I.; Jacob, S.; Vissing, J.; Burns, T.M.; Kissel, J.T.; et al. Safety and efficacy of eculizumab in antiacetylcholine receptor antibody-positive refractory generalized myasthenia gravis (REGAIN): A Phase 3, randomised, double-blind, placebo-controlled, multicentre study. Lancet Neurol. 2017, 16, 976–986. [Google Scholar] [CrossRef]
- Muppidi, S.; Utsugisawa, K.; Benatar, M.; Murai, H.; Barohn, R.J.; Illa, I.; Jacob, S.; Vissing, J.; Burns, T.M.; Kissel, J.T.; et al. Long-term safety and efficacy of eculizumab in generalized myasthenia gravis. Muscle Nerve 2019, 60, 14–24. [Google Scholar] [CrossRef] [Green Version]
- Mantegazza, R.; O’Brien, F.L.; Yountz, M.; Howard, J.F., Jr.; Mazia, C.G.; Wilken, M.; Barroso, F.; Saba, J.; Rugiero, M.; Bettini, M.; et al. REGAIN study group. Consistent improvement with eculizumab across muscle groups in myasthenia gravis. Ann. Clin. Transl. Neurol. 2020, 7, 1327–1339. [Google Scholar] [CrossRef]
- Howard, J.F.; Nowak, R.J.; Wolfe, G.I. Clinical Effects of the Self-administered Subcutaneous Complement Inhibitor Zilucoplan in Patients With Moderate to Severe Generalized Myasthenia Gravis: Results of a Phase 2 Randomized, Double-Blind, Placebo-Controlled, Multicenter Clinical Trial. JAMA Neurol. 2020, 77, 582–592. [Google Scholar] [CrossRef]
- Narayanaswami, P.; Sanders, D.B.; Wolfe, G.; Benatar, M.; Cea, G.; Evoli, A.; Gilhus, N.E.; Illa, I.; Kuntz, N.L.; Massey, J.; et al. International Consensus Guidance for Management of Myasthenia Gravis: 2020 Update. Neurology 2021, 96, 114–122. [Google Scholar] [CrossRef] [PubMed]
- Mantegazza, R.; Antozzi, C. When myasthenia gravis is deemed refractory: Clinical signposts and treatment strategies. Ther. Adv. Neurol. Disord. 2018, 11, 1756285617749134. [Google Scholar] [CrossRef] [PubMed] [Green Version]
- Conti-Fine, B.M.; Milani, M.; Kaminski, H.J. Myasthenia gravis: Past, present, and future. J. Clin. Investig. 2006, 116, 2843–2854. [Google Scholar] [CrossRef] [PubMed] [Green Version]
- Ricklin, D.; Reis, E.S.; Mastellos, D.C.; Gros, P.; Lambris, J.D. Complement component C3—The “Swiss Army Knife” of innate immunity and host defense. Immunol. Rev. 2016, 274, 33–58. [Google Scholar] [CrossRef] [PubMed] [Green Version]
- Kalia, N.; Singh, J.; Kaur, M. The ambiguous role of mannose-binding lectin (MBL) in human immunity. Open Med. 2021, 16, 299–310. [Google Scholar] [CrossRef]
- Kemper, C.; Atkinson, J.P.; Hourcade, D.E. Properdin: Emerging roles of a pattern-recognition molecule. Annu. Rev. Immunol. 2010, 28, 131–155. [Google Scholar] [CrossRef]
- Thurman, J.M.; Holers, V.M. The Central Role of the Alternative Complement Pathway in Human Disease. J. Immunol. 2006, 176, 1305–1310. [Google Scholar] [CrossRef] [Green Version]
- Obaid, A.H.; Zografou, C.; Vadysirisack, D.D.; Munro-Sheldon, B.; Fichtner, M.L.; Roy, B.; Philbrick, W.M.; Bennett, J.L.; Nowak, R.J.; O’Connor, K.C. Heterogeneity of Acetylcholine Receptor Autoantibody-Mediated Complement Activity in Patients with Myasthenia Gravis. Neurol. Neuroimmunol. Neuroinflamm. 2022, 9, e1169. [Google Scholar] [CrossRef]
- Gilhus, N.E. Eculizumab: A Treatment Option for Myasthenia Gravis? Lancet Neurol. 2017, 16, 947–948. [Google Scholar] [CrossRef]
- Ekdahl, K.N.; Persson, B.; Mohlin, C.; Sandholm, K.; Skattum, L.; Nilsson, B. Interpretation of Serological Complement Biomarkers in Disease. Front. Immunol. 2018, 24, 2237. [Google Scholar] [CrossRef]
- Guo, R.-F.; Ward, P.A. Role of C5a in inflammatory responses. Annu. Rev. Immunol. 2005, 23, 821–852. [Google Scholar] [CrossRef] [PubMed]
- Cavalcante, P.; Cufi, P.; Mantegazza, R.; Berrih-Aknin, S.; Bernasconi, P.; Le Panse, R. Etiology of myasthenia gravis: Innate immunity signature in pathological thymus. Autoimmun. Rev. 2013, 12, 863–874. [Google Scholar] [CrossRef] [PubMed]
- Lubbers, R.; van Essen, M.F. Intracellular complement activation sustains T cell homeostasis and mediates effector differentiation. Immunity 2013, 39, 1143–1157. [Google Scholar]
- Keller, C.W.; Lopez, A.J.; Wendel, E.-M.; Ramanathan, S.; Gross, C.C.; Klotz, L.; Reindl, M.; Dale, R.C.; Wiendl, H.; Rostásy, K.; et al. Complement Activation Is a Prominent Feature of MOGAD. Ann. Neurol. 2021, 90, 976–982. [Google Scholar] [CrossRef] [PubMed]
- Aguirre, F.; Manin, A.; Fernandez, V.C.; Justo, M.E.; Leoni, J.; Paz, M.L.; Villa, A.M. C3, C5a and anti-acetylcholine receptor antibody as severity biomarkers in myasthenia gravis. Ther. Adv. Neurol. Disord. 2020, 13, 1756286420935697. [Google Scholar] [CrossRef]
- Liu, A.; Lin, H.; Liu, Y.; Cao, X.; Wang, X.; Li, Z. Correlation of C3 level with severity of generalized myasthenia gravis. Muscle Nerve 2009, 40, 801–808. [Google Scholar] [CrossRef]
- Mohebnasab, M.; Eriksson, O.; Persson, B.; Sandholm, K.; Mohlin, C.; Huber-Lang, M.; Keating, B.J.; Ekdahl, K.N.; Nilsson, B. Current and Future Approaches for Monitoring Responses to Anti-complement Therapeutics. Front. Immunol. 2019, 10, 2539. [Google Scholar] [CrossRef] [Green Version]
- Wolfe, G.I.; Herbelin, L.; Nations, S.P.; Foster, B.; Bryan, W.W.; Barohn, R.J. Myasthenia gravis activities of daily living profile. Neurology 1999, 52, 1487–1489. [Google Scholar] [CrossRef]
- Benatar, M.; Sanders, D.B.; Burns, T.M.; Cutter, G.R.; Guptill, J.T.; Baggi, F.; Kaminski, H.J.; Mantegazza, R.; Meriggioli, M.N.; Quan, J.; et al. Recommendations for myasthenia gravis clinical trials. Muscle Nerve 2012, 45, 909–917. [Google Scholar] [CrossRef] [Green Version]



| Healthy Controls (n = 14) | AChR-MG Patients (n = 18) | MuSK-MG Patients (n = 5) | |
|---|---|---|---|
| Sex (F:M) | 9:5 | 10:8 | 5:0 |
| Age at onset (years, mean ± SD) | - | 47.9 ± 16.7 1 | 39.0 ± 5.5 2 |
| Age at blood collection (years, mean ± SD) | 33.4 ± 8.7 | 54.0 ± 13.2 | 54.8 ± 14.4 |
| Disease duration (years, mean ± SD) | - | 6.8 ± 5.5 1 | 13.0 ± 11.2 2 |
| MGC at blood collection (mean ± SD) | - | 7.8 ± 9.5 3 | 2.4 ± 2.2 |
| MG-ADL at blood collection (mean ± SD) | - | 5.3 ± 5.6 3 | 2.2 ± 1.8 |
| Immunosuppressive drugs | - | 15 | 4 |
| Thymectomy 4 | - | 7 | 1 |
| Thymic histology (thymoma) 5 | - | 3 | 0 |
| AChR-MG Versus Healthy Controls | |
|---|---|
| Complement components | |
| C2 | Decreased ** |
| C3 | Increased ** |
| C5 | Decreased ** |
| Complement activation products | |
| C3b | Increased ** |
| C5a | Increased * |
Publisher’s Note: MDPI stays neutral with regard to jurisdictional claims in published maps and institutional affiliations. |
© 2022 by the authors. Licensee MDPI, Basel, Switzerland. This article is an open access article distributed under the terms and conditions of the Creative Commons Attribution (CC BY) license (https://creativecommons.org/licenses/by/4.0/).
Share and Cite
Iacomino, N.; Vanoli, F.; Frangiamore, R.; Ballardini, M.; Scandiffio, L.; Bortone, F.; Andreetta, F.; Baggi, F.; Bernasconi, P.; Antozzi, C.; et al. Complement Activation Profile in Myasthenia Gravis Patients: Perspectives for Tailoring Anti-Complement Therapy. Biomedicines 2022, 10, 1360. https://doi.org/10.3390/biomedicines10061360
Iacomino N, Vanoli F, Frangiamore R, Ballardini M, Scandiffio L, Bortone F, Andreetta F, Baggi F, Bernasconi P, Antozzi C, et al. Complement Activation Profile in Myasthenia Gravis Patients: Perspectives for Tailoring Anti-Complement Therapy. Biomedicines. 2022; 10(6):1360. https://doi.org/10.3390/biomedicines10061360
Chicago/Turabian StyleIacomino, Nicola, Fiammetta Vanoli, Rita Frangiamore, Marta Ballardini, Letizia Scandiffio, Federica Bortone, Francesca Andreetta, Fulvio Baggi, Pia Bernasconi, Carlo Antozzi, and et al. 2022. "Complement Activation Profile in Myasthenia Gravis Patients: Perspectives for Tailoring Anti-Complement Therapy" Biomedicines 10, no. 6: 1360. https://doi.org/10.3390/biomedicines10061360
APA StyleIacomino, N., Vanoli, F., Frangiamore, R., Ballardini, M., Scandiffio, L., Bortone, F., Andreetta, F., Baggi, F., Bernasconi, P., Antozzi, C., Cavalcante, P., & Mantegazza, R. (2022). Complement Activation Profile in Myasthenia Gravis Patients: Perspectives for Tailoring Anti-Complement Therapy. Biomedicines, 10(6), 1360. https://doi.org/10.3390/biomedicines10061360

