Ion Channels and Transporters as Therapeutic Agents: From Biomolecules to Supramolecular Medicinal Chemistry
Abstract
:1. Introduction
1.1. Ion Channels and Ion Transporters as Therapeutic Targets
1.2. Therapeutic Activation of Ion Channels and Ion Transporters
2. Biomolecular Ion Channels and Transporters as Therapeutic Agents
2.1. Ion-Channel Biomolecules as Therapeutic Agents
2.2. Biomolecular Ion Transporters as Therapeutic Agents
3. Artificial Ion Channels and Transporters as Therapeutic Agents
3.1. Artificial Anion Channels as Anticancer Agents
3.2. Artificial Anion Channels as Antimicrobial (AM) Agents
3.3. Artificial Anion Transporters as Anticancer Agents
3.4. Artificial Cation Transporters as Anticancer Agents
3.5. Artificial Ion Transporters as Antimicrobial (AM) Agents
4. Conclusions and Future Perspectives
Author Contributions
Funding
Institutional Review Board Statement
Informed Consent Statement
Data Availability Statement
Conflicts of Interest
References
- Roux, B. Ion channels and ion selectivity. Essays Biochem. 2017, 61, 201–209. [Google Scholar] [CrossRef] [PubMed]
- Zhang, J.; Chen, X.; Xue, Y.; Gamper, N.; Zhang, X. Beyond voltage-gated ion channels: Voltage-operated membrane proteins and cellular processes. J. Cell. Physiol. 2018, 233, 6377–6385. [Google Scholar] [CrossRef] [PubMed]
- Phillips, M.B.; Nigam, A.; Johnson, J.W. Interplay between Gating and Block of Ligand-Gated Ion Channels. Brain Sci. 2020, 10, 928. [Google Scholar] [CrossRef] [PubMed]
- Murthy, S.E.; Dubin, A.E.; Patapoutian, A. Piezos thrive under pressure: Mechanically activated ion channels in health and disease. Nat. Rev. Mol. Cell Biol. 2017, 18, 771–783. [Google Scholar] [CrossRef]
- Kefauver, J.M.; Ward, A.B.; Patapoutian, A. Discoveries in structure and physiology of mechanically activated ion channels. Nature 2020, 587, 567–576. [Google Scholar] [CrossRef]
- Paoletti, P.; Ellis-Davies, G.C.R.; Mourot, A. Optical control of neuronal ion channels and receptors. Nat. Rev. Neurosci. 2019, 20, 514–532. [Google Scholar] [CrossRef]
- Liu, Y.; Wang, K. Exploiting the Diversity of Ion Channels: Modulation of Ion Channels for Therapeutic Indications. Handb. Exp. Pharmacol. 2019, 260, 187–205. [Google Scholar] [CrossRef]
- Santos, R.; Ursu, O.; Gaulton, A.; Bento, A.P.; Donadi, R.S.; Bologa, C.G.; Karlsson, A.; Al-Lazikani, B.; Hersey, A.; Oprea, T.I.; et al. A comprehensive map of molecular drug targets. Nat. Rev. Drug Discov. 2017, 16, 19–34. [Google Scholar] [CrossRef]
- Zhang, Y.; Wang, K.; Yu, Z. Drug Development in Channelopathies: Allosteric Modulation of Ligand-Gated and Voltage-Gated Ion Channels. J. Med. Chem. 2020, 63, 15258–15278. [Google Scholar] [CrossRef]
- Poveda, J.A.; Marcela Giudici, A.; Lourdes Renart, M.; Morales, A.; Gonzalez-Ros, J.M. Towards understanding the molecular basis of ion channel modulation by lipids: Mechanistic models and current paradigms. Biochim. Biophys. Acta Biomembr. 2017, 1859, 1507–1516. [Google Scholar] [CrossRef]
- Thompson, M.J.; Baenziger, J.E. Ion channels as lipid sensors: From structures to mechanisms. Nat. Chem. Biol. 2020, 16, 1331–1342. [Google Scholar] [CrossRef] [PubMed]
- Harraz, O.F.; Hill-Eubanks, D.; Nelson, M.T. PIP2: A critical regulator of vascular ion channels hiding in plain sight. Proc. Natl. Acad. Sci. USA 2020, 117, 20378–20389. [Google Scholar] [CrossRef] [PubMed]
- Kozlov, S. Animal toxins for channelopathy treatment. Neuropharmacology 2018, 132, 83–97. [Google Scholar] [CrossRef] [PubMed]
- Stortelers, C.; Pinto-Espinoza, C.; Van Hoorick, D.; Koch-Nolte, F. Modulating ion channel function with antibodies and nanobodies. Curr. Opin. Immunol. 2018, 52, 18–26. [Google Scholar] [CrossRef]
- Norton, R.S.; Chandy, K.G. Venom-derived peptide inhibitors of voltage-gated potassium channels. Neuropharmacology 2017, 127, 124–138. [Google Scholar] [CrossRef] [PubMed]
- Chow, C.Y.; Absalom, N.; Biggs, K.; King, G.F.; Ma, L. Venom-derived modulators of epilepsy-related ion channels. Biochem. Pharmacol. 2020, 181, 114043. [Google Scholar] [CrossRef] [PubMed]
- Sawarkar, R.; Bhandarkar, S.; Mendhi, S.; More, S. Channelopathies an approach to elevate level of cure- a review. Int. J. Pharm. Sci. Rev. Res. 2021, 70, 65–74. [Google Scholar] [CrossRef]
- Matthews, E.; Holmes, S.; Fialho, D. Skeletal muscle channelopathies: A guide to diagnosis and management. Pract. Neurol. 2021, 21, 196–204. [Google Scholar] [CrossRef]
- Vaeth, M.; Feske, S. Ion channelopathies of the immune system. Curr. Opin. Immunol. 2018, 52, 39–50. [Google Scholar] [CrossRef]
- Demirbilek, H.; Galcheva, S.; Vuralli, D.; Al-Khawaga, S.; Hussain, K. Ion Transporters, Channelopathies, and Glucose Disorders. Int. J. Mol. Sci. 2019, 20, 2590. [Google Scholar] [CrossRef] [Green Version]
- Meisler, M.H.; Hill, S.F.; Yu, W. Sodium channelopathies in neurodevelopmental disorders. Nat. Rev. Neurosci. 2021, 22, 152–166. [Google Scholar] [CrossRef] [PubMed]
- Fonseca, D.J.; Vaz da Silva, M.J. Cardiac channelopathies: The role of sodium channel mutations. Rev. Port. Cardiol. 2018, 37, 179–199. [Google Scholar] [CrossRef] [PubMed]
- Albury, C.L.; Stuart, S.; Haupt, L.M.; Griffiths, L.R. Ion channelopathies and migraine pathogenesis. Mol. Genet. Genom. 2017, 292, 729–739. [Google Scholar] [CrossRef] [Green Version]
- Terragni, B.; Scalmani, P.; Franceschetti, S.; Cestele, S.; Mantegazza, M. Post-translational dysfunctions in channelopathies of the nervous system. Neuropharmacology 2018, 132, 31–42. [Google Scholar] [CrossRef] [PubMed]
- Curran, J.; Mohlr, P.J. Alternative paradigms for ion channelopathies: Disorders of ion channel membrane trafficking and posttranslational modification. Annu. Rev. Physiol. 2015, 77, 505–524. [Google Scholar] [CrossRef] [PubMed]
- Li, G.; De Oliveira, D.M.P.; Walker, M.J. The antimicrobial and immunomodulatory effects of ionophores for the treatment of human infection. J. Inorg. Biochem. 2022, 227, 111661. [Google Scholar] [CrossRef] [PubMed]
- Kaushik, V.; Yakisich, J.S.; Kumar, A.; Azad, N.; Iyer, A.K.V. Ionophores: Potential Use as Anticancer Drugs and Chemosensitizers. Cancers 2018, 10, 360. [Google Scholar] [CrossRef] [Green Version]
- Steinbrueck, A.; Sedgwick, A.C.; Brewster, J.T., 2nd; Yan, K.C.; Shang, Y.; Knoll, D.M.; Vargas-Zúñiga, G.I.; He, X.P.; Tian, H.; Sessler, J.L. Transition metal chelators, pro-chelators, and ionophores as small molecule cancer chemotherapeutic agents. Chem. Soc. Rev. 2020, 49, 3726–3747. [Google Scholar] [CrossRef]
- Bharti, H.; Singal, A.; Raza, M.; Ghosh, P.C.; Nag, A. Ionophores as Potent Anti-malarials: A Miracle in the Making. Curr. Top. Med. Chem. 2019, 18, 2029–2041. [Google Scholar] [CrossRef]
- Antoszczak, M.; Steverding, D.; Huczyński, A. Anti-parasitic activity of polyether ionophores. Eur. J. Med. Chem. 2019, 166, 32–47. [Google Scholar] [CrossRef] [Green Version]
- Prabhakar, P.K. Bacterial Siderophores and Their Potential Applications: A Review. Curr. Mol. Pharmacl. 2020, 13, 295–305. [Google Scholar] [CrossRef] [PubMed]
- Bhullar, S.K.; Shah, A.K.; Dhalla, N.S. Store-operated calcium channels: Potential target for the therapy of hypertension. Rev. Cardiovasc. Med. 2019, 20, 139–151. [Google Scholar] [CrossRef] [PubMed]
- Hu, H.J.; Song, M. Disrupted Ionic Homeostasis in Ischemic Stroke and New Therapeutic Targets. J. Stroke Cerebrovasc. Dis. 2017, 26, 2706–2719. [Google Scholar] [CrossRef] [PubMed]
- Thapak, P.; Vaidya, B.; Joshi, H.C.; Singh, J.N.; Sharma, S.S. Therapeutic potential of pharmacological agents targeting TRP channels in CNS disorders. Pharmacol. Res. 2020, 159, 105026. [Google Scholar] [CrossRef]
- Bergantin, L.B. The Interactions Between Alzheimer’s Disease and Major Depression: Role of Ca(2+) Channel Blockers and Ca(2+)/cAMP Signalling. Curr. Drug Res. Rev. 2020, 12, 97–102. [Google Scholar] [CrossRef]
- Tong, B.C.; Wu, A.J.; Li, M.; Cheung, K.H. Calcium signaling in Alzheimer’s disease & therapies. Biochim. Biophys. Acta. Mol. Cell Res. 2018, 1865, 1745–1760. [Google Scholar] [CrossRef]
- Popugaeva, E.; Pchitskaya, E.; Bezprozvanny, I. Dysregulation of neuronal calcium homeostasis in Alzheimer’s disease—A therapeutic opportunity? Biochem. Biophys. Res. Commun. 2017, 483, 998–1004. [Google Scholar] [CrossRef] [Green Version]
- Kato, T. Current understanding of bipolar disorder: Toward integration of biological basis and treatment strategies. Psychiatry Clin. Neurosci. 2019, 73, 526–540. [Google Scholar] [CrossRef] [Green Version]
- Dubovsky, S.L. Applications of calcium channel blockers in psychiatry: Pharmacokinetic and pharmacodynamic aspects of treatment of bipolar disorder. Exp. Opin. Drug Metab. Toxicol. 2019, 15, 35–47. [Google Scholar] [CrossRef]
- Garneau, A.P.; Slimani, S.; Fiola, M.J.; Tremblay, L.E.; Isenring, P. Multiple Facets and Roles of Na(+)-K(+)-Cl(−) Cotransport: Mechanisms and Therapeutic Implications. Physiology 2020, 35, 415–429. [Google Scholar] [CrossRef]
- Viswanath, O.; Urits, I.; Jones, M.R.; Peck, J.M.; Kochanski, J.; Hasegawa, M.; Anyama, B.; Kaye, A.D. Membrane Stabilizer Medications in the Treatment of Chronic Neuropathic Pain: A Comprehensive Review. Curr. Pain Headache Rep. 2019, 23, 37. [Google Scholar] [CrossRef] [PubMed]
- Karsan, N.; Gonzales, E.B.; Dussor, G. Targeted Acid-Sensing Ion Channel Therapies for Migraine. Neurotherapeutics 2018, 15, 402–414. [Google Scholar] [CrossRef] [PubMed] [Green Version]
- Jacobson, D.A.; Shyng, S.L. Ion Channels of the Islets in Type 2 Diabetes. J. Mol. Biol. 2020, 432, 1326–1346. [Google Scholar] [CrossRef]
- Selvaraj, C.; Selvaraj, G.; Kaliamurthi, S.; Cho, W.C.; Wei, D.Q.; Singh, S.K. Ion Channels as Therapeutic Targets for Type 1 Diabetes Mellitus. Curr. Drug Targets 2020, 21, 132–147. [Google Scholar] [CrossRef] [PubMed]
- Ali, E.S.; Petrovsky, N. Calcium Signaling As a Therapeutic Target for Liver Steatosis. Trends Endocrinol. Metab. 2019, 30, 270–281. [Google Scholar] [CrossRef] [PubMed]
- Wulff, H.; Christophersen, P.; Colussi, P.; Chandy, K.G.; Yarov-Yarovoy, V. Antibodies and venom peptides: New modalities for ion channels. Nat. Rev. Drug Discov. 2019, 18, 339–357. [Google Scholar] [CrossRef] [PubMed]
- Jeevaratnam, K.; Chadda, K.R.; Huang, C.L.H.; Camm, A.J. Cardiac Potassium Channels: Physiological Insights for Targeted Therapy. J. Cardiovasc. Pharmacol. Ther. 2018, 23, 119–129. [Google Scholar] [CrossRef] [PubMed] [Green Version]
- Bushart, D.D.; Shakkottai, V.G. Ion channel dysfunction in cerebellar ataxia. Neurosci. Lett. 2019, 688, 41–48. [Google Scholar] [CrossRef] [PubMed]
- Szabo, I.; Zoratti, M.; Biasutto, L. Targeting mitochondrial ion channels for cancer therapy. Redox Biol. 2021, 42, 101846. [Google Scholar] [CrossRef]
- Sterea, A.M.; Almasi, S.; El Hiani, Y. The hidden potential of lysosomal ion channels: A new era of oncogenes. Cell Calcium 2018, 72, 91–103. [Google Scholar] [CrossRef]
- Marchi, S.; Giorgi, C.; Galluzzi, L.; Pinton, P. Ca(2+) Fluxes and Cancer. Mol. Cell 2020, 78, 1055–1069. [Google Scholar] [CrossRef] [PubMed]
- Fnu, G.; Weber, G.F. Alterations of Ion Homeostasis in Cancer Metastasis: Implications for Treatment. Front. Oncol. 2021, 11, 765329. [Google Scholar] [CrossRef] [PubMed]
- Seitter, H.; Koschak, A. Relevance of tissue specific subunit expression in channelopathies. Neuropharmacol. 2018, 132, 58–70. [Google Scholar] [CrossRef] [PubMed]
- Gargan, S.; Stevenson, N.J. Unravelling the Immunomodulatory Effects of Viral Ion Channels, towards the Treatment of Disease. Viruses 2021, 13, 2165. [Google Scholar] [CrossRef] [PubMed]
- Verkman, A.S.; Galietta, L.J.V. Chloride transport modulators as drug candidates. Am. J. Physiol. Cell Physiol. 2021, 321, C932–C946. [Google Scholar] [CrossRef]
- Bergeron, C.; Cantin, A.M. New Therapies to Correct the Cystic Fibrosis Basic Defect. Int. J. Mol. Sci. 2021, 22, 6193. [Google Scholar] [CrossRef]
- Laselva, O.; Guerra, L.; Castellani, S.; Favia, M.; Di Gioia, S.; Conese, M. Small-molecule drugs for cystic fibrosis: Where are we now? Pulm. Pharmacol. Ther. 2021, 72, 102098. [Google Scholar] [CrossRef]
- Fonseca, C.; Bicker, J.; Alves, G.; Falcão, A.; Fortuna, A. Cystic fibrosis: Physiopathology and the latest pharmacological treatments. Pharmacol. Res. 2020, 162, 105267. [Google Scholar] [CrossRef]
- Shteinberg, M.; Haq, I.J.; Polineni, D.; Davies, J.C. Cystic fibrosis. Lancet 2021, 397, 2195–2211. [Google Scholar] [CrossRef]
- Bishnoi, M.; Khare, P.; Brown, L.; Panchal, S.K. Transient receptor potential (TRP) channels: A metabolic TR(i)P to obesity prevention and therapy. Obes. Rev. 2018, 19, 1269–1292. [Google Scholar] [CrossRef]
- Dueñas-Cuellar, R.A.; Santana, C.J.C.; Magalhães, A.C.M.; Pires, O.R., Jr.; Fontes, W.; Castro, M.S. Scorpion Toxins and Ion Channels: Potential Applications in Cancer Therapy. Toxins 2020, 12, 326. [Google Scholar] [CrossRef]
- Yang, X.; Lou, J.; Shan, W.; Hu, Y.; Du, Q.; Liao, Q.; Xie, R.; Xu, J. Pathogenic roles of altered calcium channels and transporters in colon tumorogenesis. Life Sci. 2019, 239, 116909. [Google Scholar] [CrossRef] [PubMed]
- Prasad, H.; Visweswariah, S.S. Impaired Intestinal Sodium Transport in Inflammatory Bowel Disease: From the Passenger to the Driver’s Seat. Cell. Mol. Gastroenterol. 2021, 12, 277–292. [Google Scholar] [CrossRef] [PubMed]
- Das, S.; Jayaratne, R.; Barrett, K.E. The Role of Ion Transporters in the Pathophysiology of Infectious Diarrhea. Cell. Mol. Gastroenterol. 2018, 6, 33–45. [Google Scholar] [CrossRef] [PubMed] [Green Version]
- Auwercx, J.; Rybarczyk, P.; Kischel, P.; Dhennin-Duthille, I.; Chatelain, D.; Sevestre, H.; Van Seuningen, I.; Ouadid-Ahidouch, H.; Jonckheere, N.; Gautier, M. Mg(2+) Transporters in Digestive Cancers. Nutrients 2021, 13, 210. [Google Scholar] [CrossRef] [PubMed]
- Adulcikas, J.; Sonda, S.; Norouzi, S.; Sohal, S.S.; Myers, S. Targeting the Zinc Transporter ZIP7 in the Treatment of Insulin Resistance and Type 2 Diabetes. Nutrients 2019, 11, 408. [Google Scholar] [CrossRef] [PubMed] [Green Version]
- Shen, J.; Ye, R.; Zeng, H. Crystal Packing-Guided Construction of Hetero-Oligomeric Peptidic Ensembles as Synthetic 3-in-1 Transporters. Angew. Chem. Int. Ed. 2021, 60, 12924–12930. [Google Scholar] [CrossRef]
- Inoue, K. Diversity, Mechanism, and Optogenetic Application of Light-Driven Ion Pump Rhodopsins. Adv. Exp. Med. Biol. 2021, 1293, 89–126. [Google Scholar] [CrossRef]
- Kandori, H. History and Perspectives of Ion-Transporting Rhodopsins. Adv. Exp. Med. Biol. 2021, 1293, 3–19. [Google Scholar] [CrossRef]
- Engelhard, C.; Chizhov, I.; Siebert, F.; Engelhard, M. Microbial Halorhodopsins: Light-Driven Chloride Pumps. Chem. Rev. 2018, 118, 10629–10645. [Google Scholar] [CrossRef]
- Lu, Q.; Pan, Z.H. Optogenetic Strategies for Vision Restoration. Adv. Exp. Med. Biol. 2021, 1293, 545–555. [Google Scholar] [CrossRef] [PubMed]
- Barboiu, M. Encapsulation versus Self-Aggregation toward Highly Selective Artificial K(+) Channels. Acc. Chem. Res. 2018, 51, 2711–2718. [Google Scholar] [CrossRef] [PubMed]
- Schneider, S.; Licsandru, E.D.; Kocsis, I.; Gilles, A.; Dumitru, F.; Moulin, E.; Tan, J.; Lehn, J.M.; Giuseppone, N.; Barboiu, M. Columnar Self-Assemblies of Triarylamines as Scaffolds for Artificial Biomimetic Channels for Ion and for Water Transport. J. Am. Chem. Soc. 2017, 139, 3721–3727. [Google Scholar] [CrossRef] [PubMed]
- Wang, W.Z.; Huang, L.B.; Zheng, S.P.; Moulin, E.; Gavat, O.; Barboiu, M.; Giuseppone, N. Light-Driven Molecular Motors Boost the Selective Transport of Alkali Metal Ions through Phospholipid Bilayers. J. Am. Chem. Soc. 2021, 143, 15653–15660. [Google Scholar] [CrossRef] [PubMed]
- Takada, Y.; Itoh, H.; Paudel, A.; Panthee, S.; Hamamoto, H.; Sekimizu, K.; Inoue, M. Discovery of gramicidin A analogues with altered activities by multidimensional screening of a one-bead-one-compound library. Nat. Commun. 2020, 11, 4935. [Google Scholar] [CrossRef]
- Haoyang, W.W.; Xiao, Q.; Ye, Z.; Fu, Y.; Zhang, D.W.; Li, J.; Xiao, L.; Li, Z.T.; Hou, J.L. Gramicidin A-based unimolecular channel: Cancer cell-targeting behavior and ion transport-induced apoptosis. Chem. Commun. 2021, 57, 1097–1100. [Google Scholar] [CrossRef]
- Ren, C.; Chen, F.; Ye, R.; Ong, Y.S.; Lu, H.; Lee, S.S.; Ying, J.Y.; Zeng, H. Molecular Swings as Highly Active Ion Transporters. Angew. Chem. Int. Ed. 2019, 58, 8034–8038. [Google Scholar] [CrossRef]
- Shen, J.; Fan, J.; Ye, R.; Li, N.; Mu, Y.; Zeng, H. Polypyridine-Based Helical Amide Foldamer Channels: Rapid Transport of Water and Protons with High Ion Rejection. Angew. Chem. Int. Ed. 2020, 59, 13328–13334. [Google Scholar] [CrossRef]
- Rodríguez-Vázquez, N.; Amorín, M.; Granja, J.R. Recent advances in controlling the internal and external properties of self-assembling cyclic peptide nanotubes and dimers. Org. Biomol. Chem. 2017, 15, 4490–4505. [Google Scholar] [CrossRef]
- Fuertes, A.; Juanes, M.; Granja, J.R.; Montenegro, J. Supramolecular functional assemblies: Dynamic membrane transporters and peptide nanotubular composites. Chem. Commun. 2017, 53, 7861–7871. [Google Scholar] [CrossRef] [Green Version]
- Görbitz, C.H. Microporous organic materials from hydrophobic dipeptides. Chem. Eur. J. 2007, 13, 1022–1031. [Google Scholar] [CrossRef] [PubMed]
- Bellotto, O.; Kralj, S.; De Zorzi, R.; Geremia, S.; Marchesan, S. Supramolecular hydrogels from unprotected dipeptides: A comparative study on stereoisomers and structural isomers. Soft Matter 2020, 16, 10151–10157. [Google Scholar] [CrossRef] [PubMed]
- Bellotto, O.; Kralj, S.; Melchionna, M.; Pengo, P.; Kisovec, M.; Podobnik, M.; De Zorzi, R.; Marchesan, S. Self-Assembly of Unprotected Dipeptides into Hydrogels: Water-Channels Make the Difference. Chembiochem 2022, 23, e202100518. [Google Scholar] [CrossRef] [PubMed]
- Kralj, S.; Bellotto, O.; Parisi, E.; Garcia, A.M.; Iglesias, D.; Semeraro, S.; Deganutti, C.; D’Andrea, P.; Vargiu, A.V.; Geremia, S.; et al. Heterochirality and Halogenation Control Phe-Phe Hierarchical Assembly. ACS Nano 2020, 14, 16951–16961. [Google Scholar] [CrossRef] [PubMed]
- Kurbasic, M.; Parisi, E.; Garcia, A.M.; Marchesan, S. Self-Assembling, Ultrashort Peptide Gels as Antimicrobial Biomaterials. Curr. Top. Med. Chem. 2020, 20, 1300–1309. [Google Scholar] [CrossRef]
- Bellotto, O.; Semeraro, S.; Bandiera, A.; Tramer, F.; Pavan, N.; Marchesan, S. Polymer Conjugates of Antimicrobial Peptides (AMPs) with d-Amino Acids (d-aa): State of the Art and Future Opportunities. Pharmaceutics 2022, 14, 446. [Google Scholar] [CrossRef]
- Muraglia, K.A.; Chorghade, R.S.; Kim, B.R.; Tang, X.X.; Shah, V.S.; Grillo, A.S.; Daniels, P.N.; Cioffi, A.G.; Karp, P.H.; Zhu, L.; et al. Small-molecule ion channels increase host defences in cystic fibrosis airway epithelia. Nature 2019, 567, 405–408. [Google Scholar] [CrossRef]
- Sheppard, D.N.; Davis, A.P. Pore-forming small molecules offer a promising way to tackle cystic fibrosis. Nature 2019, 567, 315–317. [Google Scholar] [CrossRef]
- Chen, C.H.; Lu, T.K. Development and Challenges of Antimicrobial Peptides for Therapeutic Applications. Antibiotics 2020, 9, 24. [Google Scholar] [CrossRef] [Green Version]
- Huang, H.W. DAPTOMYCIN, its membrane-active mechanism vs. that of other antimicrobial peptides. Biochim. Biophys. Acta Biomembr. 2020, 1862, 183395. [Google Scholar] [CrossRef]
- Malla, J.A.; Ahmad, M.; Talukdar, P. Molecular Self-Assembly as a Tool to Construct Transmembrane Supramolecular Ion Channels. Chem. Rec. 2021, 22, e202100225. [Google Scholar] [CrossRef] [PubMed]
- Zheng, S.P.; Huang, L.B.; Sun, Z.; Barboiu, M. Self-Assembled Artificial Ion-Channels toward Natural Selection of Functions. Angew. Chem. Int. Ed. 2021, 60, 566–597. [Google Scholar] [CrossRef] [PubMed]
- Peng, S.; He, Q.; Vargas-Zúñiga, G.I.; Qin, L.; Hwang, I.; Kim, S.K.; Heo, N.J.; Lee, C.H.; Dutta, R.; Sessler, J.L. Strapped calix[4]pyrroles: From syntheses to applications. Chem. Soc. Rev. 2020, 49, 865–907. [Google Scholar] [CrossRef] [PubMed]
- Nitti, A.; Pacini, A.; Pasini, D. Chiral Nanotubes. Nanomaterials 2017, 7, 167. [Google Scholar] [CrossRef]
- Roy, A.; Talukdar, P. Recent Advances in Bioactive Artificial Ionophores. Chembiochem 2021, 22, 2925–2940. [Google Scholar] [CrossRef]
- Tosolini, M.; Pengo, P.; Tecilla, P. Biological Activity of Trans-Membrane Anion Carriers. Curr. Med. Chem. 2018, 25, 3560–3576. [Google Scholar] [CrossRef]
- Gale, P.A.; Davis, J.T.; Quesada, R. Anion transport and supramolecular medicinal chemistry. Chem. Soc. Rev. 2017, 46, 2497–2519. [Google Scholar] [CrossRef] [Green Version]
- Gilchrist, A.M.; Chen, L.; Wu, X.; Lewis, W.; Howe, E.N.W.; Macreadie, L.K.; Gale, P.A. Tetrapodal Anion Transporters. Molecules 2020, 25, 5179. [Google Scholar] [CrossRef]
- Zhang, C.; Tian, J.; Qi, S.; Yang, B.; Dong, Z. Highly Efficient Exclusion of Alkali Metal Ions via Electrostatic Repulsion Inside Positively Charged Channels. Nano Lett. 2020, 20, 3627–3632. [Google Scholar] [CrossRef]
- Martínez-Crespo, L.; Hewitt, S.H.; De Simone, N.A.; Šindelář, V.; Davis, A.P.; Butler, S.; Valkenier, H. Transmembrane Transport of Bicarbonate Unravelled. Chem. Eur. J. 2021, 27, 7367–7375. [Google Scholar] [CrossRef]
- Roy, A.; Joshi, H.; Ye, R.; Shen, J.; Chen, F.; Aksimentiev, A.; Zeng, H. Polyhydrazide-Based Organic Nanotubes as Efficient and Selective Artificial Iodide Channels. Angew. Chem. Int. Ed. 2020, 59, 4806–4813. [Google Scholar] [CrossRef] [PubMed]
- He, Q.; Vargas-Zúñiga, G.I.; Kim, S.H.; Kim, S.K.; Sessler, J.L. Macrocycles as Ion Pair Receptors. Chem. Rev. 2019, 119, 9753–9835. [Google Scholar] [CrossRef] [PubMed]
- McConnell, A.J.; Docker, A.; Beer, P.D. From Heteroditopic to Multitopic Receptors for Ion-Pair Recognition: Advances in Receptor Design and Applications. ChemPlusChem 2020, 85, 1824–1841. [Google Scholar] [CrossRef] [PubMed]
- Mamad-Hemouch, H.; Bacri, L.; Huin, C.; Przybylski, C.; Thiébot, B.; Patriarche, G.; Jarroux, N.; Pelta, J. Versatile cyclodextrin nanotube synthesis with functional anchors for efficient ion channel formation: Design, characterization and ion conductance. Nanoscale 2018, 10, 15303–15316. [Google Scholar] [CrossRef] [PubMed]
- Quan, J.; Zhu, F.; Dhinakaran, M.K.; Yang, Y.; Johnson, R.P.; Li, H. A Visible-Light-Regulated Chloride Transport Channel Inspired by Rhodopsin. Angew. Chem. Int. Ed. 2021, 60, 2892–2897. [Google Scholar] [CrossRef]
- Kerckhoffs, A.; Langton, M.J. Reversible photo-control over transmembrane anion transport using visible-light responsive supramolecular carriers. Chem. Sci. 2020, 11, 6325–6331. [Google Scholar] [CrossRef]
- Ahmad, M.; Metya, S.; Das, A.; Talukdar, P. A Sandwich Azobenzene-Diamide Dimer for Photoregulated Chloride Transport. Chem. Eur. J. 2020, 26, 8703–8708. [Google Scholar] [CrossRef]
- Haynes, C.J.E.; Zhu, J.; Chimerel, C.; Hernández-Ainsa, S.; Riddell, I.A.; Ronson, T.K.; Keyser, U.F.; Nitschke, J.R. Blockable Zn(10) L(15) Ion Channels through Subcomponent Self-Assembly. Angew. Chem. Int. Ed. 2017, 56, 15388–15392. [Google Scholar] [CrossRef]
- Wu, X.; Small, J.R.; Cataldo, A.; Withecombe, A.M.; Turner, P.; Gale, P.A. Voltage-Switchable HCl Transport Enabled by Lipid Headgroup-Transporter Interactions. Angew. Chem. Int. Ed. 2019, 58, 15142–15147. [Google Scholar] [CrossRef]
- Sasaki, R.; Sato, K.; Tabata, K.V.; Noji, H.; Kinbara, K. Synthetic Ion Channel Formed by Multiblock Amphiphile with Anisotropic Dual-Stimuli-Responsiveness. J. Am. Chem. Soc. 2021, 143, 1348–1355. [Google Scholar] [CrossRef]
- Saha, T.; Gautam, A.; Mukherjee, A.; Lahiri, M.; Talukdar, P. Chloride Transport through Supramolecular Barrel-Rosette Ion Channels: Lipophilic Control and Apoptosis-Inducing Activity. J. Am. Chem. Soc. 2016, 138, 16443–16451. [Google Scholar] [CrossRef]
- Akhtar, N.; Biswas, D.; Manna, D. Biological applications of synthetic anion transporters. Chem. Commun. 2020, 56, 14137–14153. [Google Scholar] [CrossRef] [PubMed]
- Malla, J.A.; Umesh, R.M.; Yousf, S.; Mane, S.; Sharma, S.; Lahiri, M.; Talukdar, P. A Glutathione Activatable Ion Channel Induces Apoptosis in Cancer Cells by Depleting Intracellular Glutathione Levels. Angew. Chem. Int. Ed. 2020, 59, 7944–7952. [Google Scholar] [CrossRef] [PubMed]
- Malla, J.A.; Sharma, V.K.; Lahiri, M.; Talukdar, P. Esterase-Activatable Synthetic M+/Cl− Channel Induces Apoptosis and Disrupts Autophagy in Cancer Cells. Chem. Eur. J. 2020, 26, 11946–11949. [Google Scholar] [CrossRef] [PubMed]
- Malla, J.A.; Umesh, R.M.; Vijay, A.; Mukherjee, A.; Lahiri, M.; Talukdar, P. Apoptosis-inducing activity of a fluorescent barrel-rosette M(+)/Cl(−) channel. Chem. Sci. 2020, 11, 2420–2428. [Google Scholar] [CrossRef] [PubMed] [Green Version]
- Ren, C.; Ding, X.; Roy, A.; Shen, J.; Zhou, S.; Chen, F.; Yau Li, S.F.; Ren, H.; Yang, Y.Y.; Zeng, H. A halogen bond-mediated highly active artificial chloride channel with high anticancer activity. Chem. Sci. 2018, 9, 4044–4051. [Google Scholar] [CrossRef] [Green Version]
- Quintana-Cabrera, R.; Fernandez-Fernandez, S.; Bobo-Jimenez, V.; Escobar, J.; Sastre, J.; Almeida, A.; Bolaños, J.P. γ-Glutamylcysteine detoxifies reactive oxygen species by acting as glutathione peroxidase-1 cofactor. Nat. Commun. 2012, 3, 718. [Google Scholar] [CrossRef] [PubMed] [Green Version]
- Traverso, N.; Ricciarelli, R.; Nitti, M.; Marengo, B.; Furfaro, A.L.; Pronzato, M.A.; Marinari, U.M.; Domenicotti, C. Role of Glutathione in Cancer Progression and Chemoresistance. Oxid. Med. Cell. Longev. 2013, 2013, 972913. [Google Scholar] [CrossRef] [Green Version]
- Jentzsch, A.V.; Emery, D.; Mareda, J.; Nayak, S.K.; Metrangolo, P.; Resnati, G.; Sakai, N.; Matile, S. Transmembrane anion transport mediated by halogen-bond donors. Nat. Commun. 2012, 3, 905. [Google Scholar] [CrossRef] [Green Version]
- Lovitt, C.J.; Shelper, T.B.; Avery, V.M. Doxorubicin resistance in breast cancer cells is mediated by extracellular matrix proteins. BMC Cancer 2018, 18, 41. [Google Scholar] [CrossRef] [Green Version]
- Buccioni, M.; Dal Ben, D.; Lambertucci, C.; Maggi, F.; Papa, F.; Thomas, A.; Santinelli, C.; Marucci, G. Antiproliferative Evaluation of Isofuranodiene on Breast and Prostate Cancer Cell Lines. Sci. World J. 2014, 2014, 264829. [Google Scholar] [CrossRef] [PubMed]
- Zhang, M.; Zhu, P.-P.; Xin, P.; Si, W.; Li, Z.-T.; Hou, J.-L. Synthetic Channel Specifically Inserts into the Lipid Bilayer of Gram-Positive Bacteria but not that of Mammalian Erythrocytes. Angew. Chem. Int. Ed. 2017, 56, 2999–3003. [Google Scholar] [CrossRef] [PubMed]
- Fonseca, V.; Daumfa, P.; Andersen, O.S.; Heitz, F.; Ranjalahy-Rasoloarijao, L.; Lazaro, R.; Trudelle, Y. Gramicidin Channels That Have No Tryptophan Residues. Biochemistry 1992, 31, 5340–5350. [Google Scholar] [CrossRef] [PubMed]
- Hancock, R.E.W.; Lehrer, R. Cationic peptides: A new source of antibiotics. Trends Biotechnol. 1998, 16, 82–88. [Google Scholar] [CrossRef]
- Patel, M.B.; Garrad, E.; Meisel, J.W.; Negin, S.; Gokel, M.R.; Gokel, G.W. Synthetic ionophores as non-resistant antibiotic adjuvants. RSC Adv. 2019, 9, 2217–2230. [Google Scholar] [CrossRef] [Green Version]
- Atkins, J.L.; Patel, M.B.; Cusumano, Z.; Gokel, G.W. Enhancement of antimicrobial activity by synthetic ion channel synergy. Chem. Commun. 2010, 46, 8166–8167. [Google Scholar] [CrossRef]
- Patel, M.B.; Garrad, E.C.; Stavri, A.; Gokel, M.R.; Negin, S.; Meisel, J.W.; Cusumano, Z.; Gokel, G.W. Hydraphiles enhance antimicrobial potency against Escherichia coli, Pseudomonas aeruginosa, and Bacillus subtilis. Bioorg. Med. Chem. 2016, 24, 2864–2870. [Google Scholar] [CrossRef] [Green Version]
- Li, H.; Valkenier, H.; Thorne, A.G.; Dias, C.M.; Cooper, J.A.; Kieffer, M.; Busschaert, N.; Gale, P.A.; Sheppard, D.N.; Davis, A.P. Anion carriers as potential treatments for cystic fibrosis: Transport in cystic fibrosis cells, and additivity to channel-targeting drugs. Chem. Sci. 2019, 10, 9663–9672. [Google Scholar] [CrossRef]
- Li, H.; Valkenier, H.; Judd, L.W.; Brotherhood, P.R.; Hussain, S.; Cooper, J.A.; Jurček, O.; Sparkes, H.A.; Sheppard, D.N.; Davis, A.P. Efficient, non-toxic anion transport by synthetic carriers in cells and epithelia. Nat. Chem. 2016, 8, 24–32. [Google Scholar] [CrossRef]
- Rodilla, A.M.; Korrodi-Gregório, L.; Hernando, E.; Manuel-Manresa, P.; Quesada, R.; Pérez-Tomás, R.; Soto-Cerrato, V. Synthetic tambjamine analogues induce mitochondrial swelling and lysosomal dysfunction leading to autophagy blockade and necrotic cell death in lung cancer. Biochem. Pharmacol. 2017, 126, 23–33. [Google Scholar] [CrossRef] [Green Version]
- Saha, T.; Hossain, M.S.; Saha, D.; Lahiri, M.; Talukdar, P. Chloride-Mediated Apoptosis-Inducing Activity of Bis(sulfonamide) Anionophores. J. Am. Chem. Soc. 2016, 138, 7558–7567. [Google Scholar] [CrossRef] [PubMed]
- Park, S.-H.; Park, S.-H.; Howe, E.N.W.; Hyun, J.Y.; Chen, L.-J.; Hwang, I.; Vargas-Zuñiga, G.; Busschaert, N.; Gale, P.A.; Sessler, J.L.; et al. Determinants of Ion-Transporter Cancer Cell Death. Chem 2019, 5, 2079–2098. [Google Scholar] [CrossRef] [PubMed]
- Zhang, H.; Ye, R.; Mu, Y.; Li, T.; Zeng, H. Small Molecule-Based Highly Active and Selective K(+) Transporters with Potent Anticancer Activities. Nano Lett. 2021, 21, 1384–1391. [Google Scholar] [CrossRef] [PubMed]
- Elie, C.R.; David, G.; Schmitzer, A.R. Strong Antibacterial Properties of Anion Transporters: A Result of Depolarization and Weakening of the Bacterial Membrane. J. Med. Chem. 2015, 58, 2358–2366. [Google Scholar] [CrossRef]
- Shen, F.-F.; Dai, S.-Y.; Wong, N.-K.; Deng, S.; Wong, A.S.-T.; Yang, D. Mediating K+/H+ Transport on Organelle Membranes to Selectively Eradicate Cancer Stem Cells with a Small Molecule. J. Am. Chem. Soc. 2020, 142, 10769–10779. [Google Scholar] [CrossRef]
- Ko, S.-K.; Kim, S.K.; Share, A.; Lynch, V.M.; Park, J.; Namkung, W.; Van Rossom, W.; Busschaert, N.; Gale, P.A.; Sessler, J.L.; et al. Synthetic ion transporters can induce apoptosis by facilitating chloride anion transport into cells. Nat. Chem. 2014, 6, 885–892. [Google Scholar] [CrossRef]
- Soto-Cerrato, V.; Manuel-Manresa, P.; Hernando, E.; Calabuig-Fariñas, S.; Martínez-Romero, A.; Fernández-Dueñas, V.; Sahlholm, K.; Knöpfel, T.; García-Valverde, M.; Rodilla, A.M.; et al. Facilitated Anion Transport Induces Hyperpolarization of the Cell Membrane That Triggers Differentiation and Cell Death in Cancer Stem Cells. J. Am. Chem. Soc. 2015, 137, 15892–15898. [Google Scholar] [CrossRef]
- Van Rossom, W.; Asby, D.J.; Tavassoli, A.; Gale, P.A. Perenosins: A new class of anion transporter with anti-cancer activity. Org. Biomol. Chem. 2016, 14, 2645–2650. [Google Scholar] [CrossRef] [Green Version]
- Busschaert, N.; Park, S.-H.; Baek, K.-H.; Choi, Y.P.; Park, J.; Howe, E.N.W.; Hiscock, J.R.; Karagiannidis, L.E.; Marques, I.; Félix, V.; et al. A synthetic ion transporter that disrupts autophagy and induces apoptosis by perturbing cellular chloride concentrations. Nat. Chem. 2017, 9, 667–675. [Google Scholar] [CrossRef]
- Zhang, S.; Wang, Y.; Xie, W.; Howe, E.N.W.; Busschaert, N.; Sauvat, A.; Leduc, M.; Gomes-da-Silva, L.C.; Chen, G.; Martins, I.; et al. Squaramide-based synthetic chloride transporters activate TFEB but block autophagic flux. Cell Death Dis. 2019, 10, 242. [Google Scholar] [CrossRef]
- Zhang, S.; Stoll, G.; Pedro, J.M.B.S.; Sica, V.; Sauvat, A.; Obrist, F.; Kepp, O.; Li, Y.; Maiuri, L.; Zamzami, N.; et al. Evaluation of autophagy inducers in epithelial cells carrying the ΔF508 mutation of the cystic fibrosis transmembrane conductance regulator CFTR. Cell Death Dis. 2018, 9, 191. [Google Scholar] [CrossRef] [PubMed] [Green Version]
- Stefano, D.D.; Villella, V.R.; Esposito, S.; Tosco, A.; Sepe, A.; Gregorio, F.D.; Salvadori, L.; Grassia, R.; Leone, C.A.; Rosa, G.D.; et al. Restoration of CFTR function in patients with cystic fibrosis carrying the F508del-CFTR mutation. Autophagy 2014, 10, 2053–2074. [Google Scholar] [CrossRef] [PubMed] [Green Version]
- Wan, S.-S.; Zhang, L.; Zhang, X.-Z. An ATP-Regulated Ion Transport Nanosystem for Homeostatic Perturbation Therapy and Sensitizing Photodynamic Therapy by Autophagy Inhibition of Tumors. ACS Centr. Sci. 2019, 5, 327–340. [Google Scholar] [CrossRef]
- Deng, J.; Wang, K.; Wang, M.; Yu, P.; Mao, L. Mitochondria Targeted Nanoscale Zeolitic Imidazole Framework-90 for ATP Imaging in Live Cells. J. Am. Chem. Soc. 2017, 139, 5877–5882. [Google Scholar] [CrossRef] [PubMed]
- Carreira-Barral, I.; Rumbo, C.; Mielczarek, M.; Alonso-Carrillo, D.; Herran, E.; Pastor, M.; Del Pozo, A.; García-Valverde, M.; Quesada, R. Small molecule anion transporters display in vitro antimicrobial activity against clinically relevant bacterial strains. Chem. Commun. 2019, 55, 10080–10083. [Google Scholar] [CrossRef] [PubMed]
- Lang, C.; Deng, X.; Yang, F.; Yang, B.; Wang, W.; Qi, S.; Zhang, X.; Zhang, C.; Dong, Z.; Liu, J. Highly Selective Artificial Potassium Ion Channels Constructed from Pore-Containing Helical Oligomers. Angew. Chem. Int. Ed. 2017, 56, 12668–12671. [Google Scholar] [CrossRef]
- Chen, F.; Shen, J.; Li, N.; Roy, A.; Ye, R.; Ren, C.; Zeng, H. Pyridine/Oxadiazole-Based Helical Foldamer Ion Channels with Exceptionally High K(+) /Na(+) Selectivity. Angew. Chem. Int. Ed. 2020, 59, 1440–1444. [Google Scholar] [CrossRef]
- Ren, C.; Shen, J.; Zeng, H. Combinatorial Evolution of Fast-Conducting Highly Selective K(+)-Channels via Modularly Tunable Directional Assembly of Crown Ethers. J. Am. Chem. Soc. 2017, 139, 12338–12341. [Google Scholar] [CrossRef]
- Li, Y.H.; Zheng, S.; Legrand, Y.M.; Gilles, A.; Van der Lee, A.; Barboiu, M. Structure-Driven Selection of Adaptive Transmembrane Na(+) Carriers or K(+) Channels. Angew. Chem. Int. Ed. 2018, 57, 10520–10524. [Google Scholar] [CrossRef]
- Zheng, S.P.; Li, Y.H.; Jiang, J.J.; van der Lee, A.; Dumitrescu, D.; Barboiu, M. Self-Assembled Columnar Triazole Quartets: An Example of Synergistic Hydrogen-Bonding/Anion-π Interactions. Angew. Chem. Int. Ed. 2019, 58, 12037–12042. [Google Scholar] [CrossRef]
- Schmidt, S.; Alberti, S.; Vana, P.; Soler-Illia, G.; Azzaroni, O. Thermosensitive Cation-Selective Mesochannels: PNIPAM-Capped Mesoporous Thin Films as Bioinspired Interfacial Architectures with Concerted Functions. Chem. Eur. J. 2017, 23, 14500–14506. [Google Scholar] [CrossRef]
- Noda, Y.; Sasaki, S. Updates and Perspectives on Aquaporin-2 and Water Balance Disorders. Int. J. Mol. Sci. 2021, 22, 12950. [Google Scholar] [CrossRef] [PubMed]
- Roy, A.; Shen, J.; Joshi, H.; Song, W.; Tu, Y.M.; Chowdhury, R.; Ye, R.; Li, N.; Ren, C.; Kumar, M.; et al. Foldamer-based ultrapermeable and highly selective artificial water channels that exclude protons. Nat. Nanotechnol. 2021, 16, 911–917. [Google Scholar] [CrossRef]
- Huang, L.B.; Hardiagon, A.; Kocsis, I.; Jegu, C.A.; Deleanu, M.; Gilles, A.; van der Lee, A.; Sterpone, F.; Baaden, M.; Barboiu, M. Hydroxy Channels-Adaptive Pathways for Selective Water Cluster Permeation. J. Am. Chem. Soc. 2021, 143, 4224–4233. [Google Scholar] [CrossRef] [PubMed]
- Binfield, J.G.; Brendel, J.C.; Cameron, N.R.; Eissa, A.M.; Perrier, S. Imaging Proton Transport in Giant Vesicles through Cyclic Peptide-Polymer Conjugate Nanotube Transmembrane Ion Channels. Macromol. Rapid Commun. 2018, 39, e1700831. [Google Scholar] [CrossRef] [PubMed]
- Graeber, S.Y.; Vitzthum, C.; Mall, M.A. Potential of Intestinal Current Measurement for Personalized Treatment of Patients with Cystic Fibrosis. J. Pers. Med. 2021, 11, 384. [Google Scholar] [CrossRef] [PubMed]







| Ion | Function | Drug Candidate | Feature | Target Cancer | Phase |
|---|---|---|---|---|---|
| Ca2+ | Blocker | Amlodipine besylate | Selective for L-type Ca2+ channels, antihypertensive drug | Metastatic triple negative breast cancer | 1,2 |
| Blocker | Verapamil | Antihypertensive drug | Brain Cancer | 2 | |
| K+ | Blocker | Imipramine | Targets voltage-gated channels, drug against depression | HER2 Positive Breast Carcinoma | 0 |
| Cu2+ | Chelator | Trientine | Anti-angiogenesis, normally used to treat Wilson disease | Fallopian Tube Cancer Ovarian Neoplasms Malignant/primary peritoneal cancer | 1,2 |
| Salicylaldehyde pyrazole hydrazone | Anti-angiogenesis | - | - | ||
| Tetrathiomolybdate | Drug used against primary biliary cholangitis, Wilson Disease | Prostate cancer, carcinoma, colorectal cancer non-small cell lung cancer | 1,2 | ||
| Penicillamine | Drug against cystine renal calculi | Brain and CNS tumors | 2 | ||
| Disulfiram | Drug against alcohol dependency | Metastatic breast cancer Metastatic pancreatic cancer | 2 | ||
| Clioquinol | Drug against dermatitis and eczema | Acute lymphocytic leukemia Acute myeloid leukemia Chronic lymphocytic leukemia | 1 * | ||
| Fe2+/Fe3+ | Chelator | Ciclopirox olamine | Drug against onychomycosis, foot dermatoses | Hematologic malignancy, acute lymphocytic leukemia, advanced solid tumors | 1 |
| Thiosemicarbazones | Drug against renal failure, renal artery stenosis | Unspecified adult solid tumor, protocol specific, prostate cancer/metastatic well differentiated neuroendocrine neoplasm | 1 | ||
| Deferiprone | Drug against cardiomyopathy, iron overload, deteriorating renal function | Colon cancer, breast cancer, rectal cancer, urethral carcinoma | 2 | ||
| Deferasirox | It suppresses N-Cadherin; drug against acute undifferentiated leukemia/ iron overload | Breast cancer, leukemia | 2 * | ||
| desferrioxamine | restores E-Cadherin localization. Drug against cardiomyopathy/iron overload | Acute myeloid leukemia/acute lymphoblastic leukemia/ myelodysplastic syndrome | * | ||
| Many | Blocker | Chlorotoxin | NKCC channel blocker | Breast cancer/non-small cell lung cancer/melanoma/ brain neoplasm | 1,2 |
| Na+ | Blocker | Propranolol | Targets VGSC 1, used for post-traumatic stress disorder, brain injuries | Invasive epithelial ovarian cancer, primary peritoneal carcinoma, fallopian tube cancer, cervical cancer, pediatric cancer/breast cancer | 1,2 |
| Ranolazine | Targets VGSC 1, used for pulmonary hypertension, angina | Adenocarcinoma of the prostate, bone metastases, soft tissue metastases | - | ||
| Phenytoin | Targets VGSC 1, used for acute kidney injury/impaired renal function/kidney failure | Pancreatic cancer, locally advanced breast cancer and large operable breast cancer/metastatic breast cancer, metastatic pancreatic cancer | 2,3 | ||
| Carbamazepine | Targets VGSC 1, used for bipolar disorder (bd), epilepsy, erythromelalgia | Brain and central nervous system tumors, glioblastoma | 1,2 | ||
| Valproate | Targets VGSC 1, used for acute kidney injury/impaired renal function/kidney failure | Advanced cancer/prostate cancer, breast cancer, pancreatic cancer | 1,2 | ||
| Lamotrigine | Targets VGSC 1, used for bipolar disorder | Brain and central nervous system tumors/malignant glioma | 2,4 | ||
| Ranolazine | Targets VGSC 1 | Adenocarcinoma of the prostate, bone metastases, soft tissue metastases | - | ||
| Ropivacaine | Targets VGSC 1, used for anesthesia, conduction/ arthroplasty, replacement/ postoperative pain | Malignant neoplasm of breast | 3 | ||
| Lidocaine | Targets VGSC 1, used for anesthesia | Lung cancers, unspecified adult solid tumor, prostate cancer | 1,2 | ||
| Riluzole | Targts VGSC 1 | Breast cancer/metastatic cancer | 1 * |
| Compound | LogP | EC50 (μM) | N | Cell Line | Ref. |
|---|---|---|---|---|---|
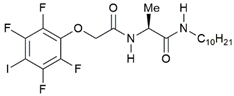
![]() C1 | 5.58 | 2.7 ± 0.1 | 2.4 ± 0.1 | HeLa, MCF-7, U2OS | [112] |
![]() C2 | 5.54 | 6.5 ± 0.3 | 2.4 ± 0.2 | MCF-7 | [113,114] |
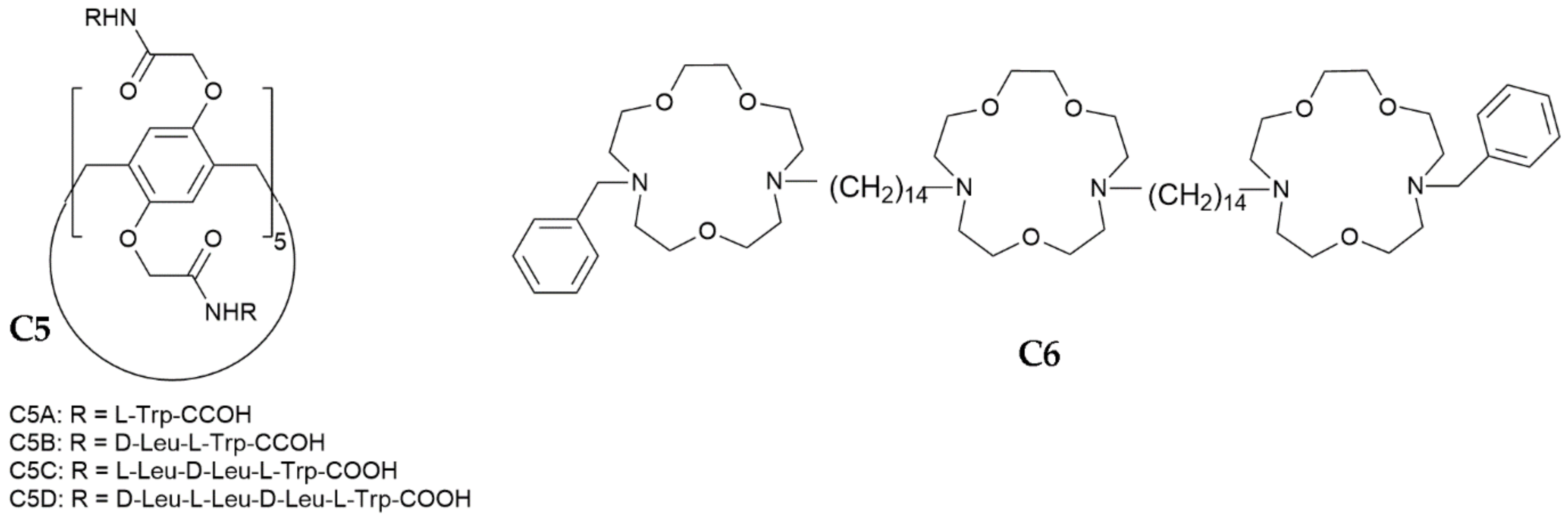
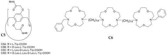
![]() C3 | 7.30 | 0.47 | 1.79 | MCF-7 | [115] |
![]() C4 | - | 2.37 | 3.5 | BT-474 | [116] |
| Compound | LogP | EC50 | n | Cell Line | Ref. |
|---|---|---|---|---|---|
![]() | 4.5 | - | - | YFP-CSBE | [129] |
![]() | 4.8 | - | - | YFP-CSBE | [128] |
![]() | 9.3 | - | - | YFP-CSBE | [128] |
![]() | 10.4 | - | - | YFP-CSBE | [128] |
![]() | 4.13 | 50 ± 8 nM | 1.14 ± 0.3 | A549 | [130] |
![]() | 5.58 | 60 ± 3 nM | 1.20 ± 0.09 | A549 | [130] |
![]() | 4.84 | 5.89 ± 0.15 μM | - | MCF-7, U2OS, A549, NIH3T3 | [131] |
![]() | 3.87 | 1.5 nM | 1.2(0.09) | HeLa, A549 | [132] |
![]() | - | 2.12 nM | 1.22 (0.05) | HeLa, A549 | [132] |
![]() | - | 4.1 nM | 0.7 (0.2) | HeLa, A549 | [132] |
![]() | - | 4.04 mol % | 0.84 | HeLa, HEYA8, SKOV3, CSCs | [133] |
![]() | - | 0.22 ± 0.02 μM | - | PC3 | [134] |
![]() | - | 0.17 ± 0.01 μM | - | PC3 | [135] |
![]() | - | 0.15 ± 0.01 μM | - | PC3 | [135] |
Publisher’s Note: MDPI stays neutral with regard to jurisdictional claims in published maps and institutional affiliations. |
© 2022 by the authors. Licensee MDPI, Basel, Switzerland. This article is an open access article distributed under the terms and conditions of the Creative Commons Attribution (CC BY) license (https://creativecommons.org/licenses/by/4.0/).
Share and Cite
Picci, G.; Marchesan, S.; Caltagirone, C. Ion Channels and Transporters as Therapeutic Agents: From Biomolecules to Supramolecular Medicinal Chemistry. Biomedicines 2022, 10, 885. https://doi.org/10.3390/biomedicines10040885
Picci G, Marchesan S, Caltagirone C. Ion Channels and Transporters as Therapeutic Agents: From Biomolecules to Supramolecular Medicinal Chemistry. Biomedicines. 2022; 10(4):885. https://doi.org/10.3390/biomedicines10040885
Chicago/Turabian StylePicci, Giacomo, Silvia Marchesan, and Claudia Caltagirone. 2022. "Ion Channels and Transporters as Therapeutic Agents: From Biomolecules to Supramolecular Medicinal Chemistry" Biomedicines 10, no. 4: 885. https://doi.org/10.3390/biomedicines10040885
APA StylePicci, G., Marchesan, S., & Caltagirone, C. (2022). Ion Channels and Transporters as Therapeutic Agents: From Biomolecules to Supramolecular Medicinal Chemistry. Biomedicines, 10(4), 885. https://doi.org/10.3390/biomedicines10040885



















