Impact of Thyroid Function on Pregnancy and Neonatal Outcome in Women with and without PCOS
Abstract
1. Introduction
2. Materials and Methods
2.1. Study Design/Setting
2.2. Outcome Measures
2.3. Data Sources/Measurement
2.4. Sample Size Calculation
2.5. Statistical Methods
3. Results
3.1. Participants
3.2. Thyroid Dysfunction at Time of Birth
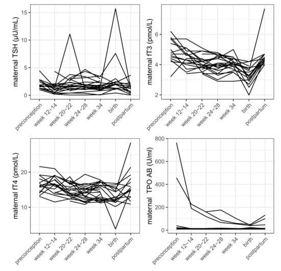
3.3. Thyroid Parameters
3.4. Correlation of Maternal and Neonatal Parameters
3.5. Association of Thyroid Parameters at Birth and Perinatal Outcome
4. Discussion
5. Conclusions
Author Contributions
Funding
Institutional Review Board Statement
Informed Consent Statement
Data Availability Statement
Acknowledgments
Conflicts of Interest
References
- Boomsma, C.M.; Eijkemans, M.J.; Hughes, E.G.; Visser, G.H.; Fauser, B.C.; Macklon, N.S. A meta-analysis of pregnancy outcomes in women with polycystic ovary syndrome. Hum. Reprod. Update 2006, 12, 673–683. [Google Scholar] [CrossRef] [PubMed]
 - Gaberšček, S.; Zaletel, K. Thyroid physiology and autoimmunity in pregnancy and after delivery. Expert Rev. Clin. Immunol. 2011, 7, 697–706. [Google Scholar] [CrossRef] [PubMed]
 - Kollmann, M.; Klaritsch, P.; Martins, W.P.; Guenther, F.; Schneider, V.; Herzog, S.A.; Craciunas, L.; Lang, U.; Obermayer-Pietsch, B.; Lerchbaum, E.; et al. Maternal and neonatal outcomes in pregnant women with PCOS: Comparison of different diagnostic definitions. Hum. Reprod. 2015, 30, 2396–2403. [Google Scholar] [CrossRef]
 - Qin, J.Z.; Pang, L.H.; Li, M.J.; Fan, X.J.; Huang, R.D.; Chen, H.Y. Obstetric complications in women with polycystic ovary syndrome: A systematic review and meta-analysis. Reprod. Biol. Endocrinol. 2013, 11, 56. [Google Scholar] [CrossRef]
 - Korevaar, T.I.M.; Medici, M.; Visser, T.J.; Peeters, R.P. Thyroid disease in pregnancy: New insights in diagnosis and clinical management. Nat. Rev. Endocrinol. 2017, 13, 610–622. [Google Scholar] [CrossRef] [PubMed]
 - Dosiou, C. Thyroid and Fertility: Recent Advances. Thyroid 2020, 30, 479–486. [Google Scholar] [CrossRef]
 - Springer, D.; Jiskra, J.; Limanova, Z.; Zima, T.; Potlukova, E. Thyroid in pregnancy: From physiology to screening. Crit. Rev. Clin. Lab. Sci. 2017, 54, 102–116. [Google Scholar] [CrossRef] [PubMed]
 - Palomba, S.; de Wilde, M.A.; Falbo, A.; Koster, M.P.; La Sala, G.B.; Fauser, B.C. Pregnancy complications in women with polycystic ovary syndrome. Hum. Reprod. Update 2015, 21, 575–592. [Google Scholar] [CrossRef]
 - Janssen, O.E.; Mehlmauer, N.; Hahn, S.; Offner, A.H.; Gärtner, R. High prevalence of autoimmune thyroiditis in patients with polycystic ovary syndrome. Eur. J. Endocrinol. 2004, 150, 363–369. [Google Scholar] [CrossRef]
 - Garelli, S.; Masiero, S.; Plebani, M.; Chen, S.; Furmaniak, J.; Armanini, D.; Betterle, C. High prevalence of chronic thyroiditis in patients with polycystic ovary syndrome. Eur. J. Obstet. Gynecol. Reprod. Biol. 2013, 169, 248–251. [Google Scholar] [CrossRef]
 - Dhillon-Smith, R.K.; Coomarasamy, A. TPO antibody positivity and adverse pregnancy outcomes. Best Pract. Res. Clin. Endocrinol. Metab. 2020, 34, 101433. [Google Scholar] [CrossRef] [PubMed]
 - Pearce, E.N. Management of thyrotoxicosis: Preconception, Pregnancy, and the postpartum period. Endocr. Pract. 2019, 25, 62–68. [Google Scholar] [CrossRef] [PubMed]
 - Sterrett, M. Maternal and Fetal Thyroid Physiology. Clin. Obstet. Gynecol. 2019, 62, 302–307. [Google Scholar] [CrossRef] [PubMed]
 - Nazarpour, S.; Ramezani Tehrani, F.; Simbar, M.; Azizi, F. Thyroid autoantibodies and the effect on pregnancy outcomes. J. Obstet. Gynaecol. 2016, 36, 3–9. [Google Scholar] [CrossRef]
 - Maraka, S.; Ospina, N.M.; O’Keeffe, D.T.; Espinosa De Ycaza, A.E.; Gionfriddo, M.R.; Erwin, P.J.; Coddington, C.C., 3rd; Stan, M.N.; Murad, M.H.; Montori, V.M. Subclinical Hypothyroidism in Pregnancy: A Systematic Review and Meta-Analysis. Thyroid 2016, 26, 580–590. [Google Scholar] [CrossRef]
 - Mahadik, K.; Choudhary, P.; Roy, P.K. Study of thyroid function in pregnancy, its feto-maternal outcome; a prospective observational study. BMC Pregnancy Childbirth 2020, 20, 769. [Google Scholar] [CrossRef]
 - Lee, S.Y.; Cabral, H.J.; Aschengrau, A.; Pearce, E.N. Associations Between Maternal Thyroid Function in Pregnancy and Obstetric and Perinatal Outcomes. J. Clin. Endocrinol. Metab. 2020, 105, e2015–e2023. [Google Scholar] [CrossRef]
 - Inagaki, Y.; Takeshima, K.; Nishi, M.; Ariyasu, H.; Doi, A.; Kurimoto, C.; Uraki, S.; Morita, S.; Furukawa, Y.; Inaba, H.; et al. The influence of thyroid autoimmunity on pregnancy outcome in infertile women: A prospective study. Endocr. J. 2020, 67, 859–868. [Google Scholar] [CrossRef]
 - De Leo, S.; Pearce, E.N. Autoimmune thyroid disease during pregnancy. Lancet Diabetes Endocrinol. 2018, 6, 575–586. [Google Scholar] [CrossRef]
 - Iwen, K.A.; Lehnert, H. [Thyroid and pregnancy]. Internist 2018, 59, 654–660. [Google Scholar] [CrossRef]
 - Okosieme, O.E.; Khan, I.; Taylor, P.N. Preconception management of thyroid dysfunction. Clin. Endocrinol. 2018, 89, 269–279. [Google Scholar] [CrossRef] [PubMed]
 - Derakhshan, A.; Peeters, R.P.; Taylor, P.N.; Bliddal, S.; Carty, D.M.; Meems, M.; Vaidya, B.; Chen, L.; Knight, B.A.; Ghafoor, F.; et al. Association of maternal thyroid function with birthweight: A systematic review and individual-participant data meta-analysis. Lancet Diabetes Endocrinol. 2020, 8, 501–510. [Google Scholar] [CrossRef]
 - Fatima, M.; Amjad, S.; Sharaf Ali, H.S.; Ahmed, T.; Khan, S.; Raza, M.; Inam, M. Correlation of Subclinical Hypothyroidism With Polycystic Ovary Syndrome (PCOS). Cureus 2020, 12, e8142. [Google Scholar] [CrossRef]
 - Ho, C.W.; Chen, H.H.; Hsieh, M.C.; Chen, C.C.; Hsu, S.P.; Yip, H.T.; Kao, C.H. Increased Risk of Polycystic Ovary Syndrome and It’s Comorbidities in Women with Autoimmune Thyroid Disease. Int. J. Environ. Res. Public Health 2020, 17, 2422. [Google Scholar] [CrossRef] [PubMed]
 - Ding, X.; Yang, L.; Wang, J.; Tang, R.; Chen, Q.; Pan, J.; Yang, H.; Chen, X.; Chen, Z.; Mu, L. Subclinical Hypothyroidism in Polycystic Ovary Syndrome: A Systematic Review and Meta-Analysis. Front. Endocrinol. 2018, 9, 700. [Google Scholar] [CrossRef]
 - Romitti, M.; Fabris, V.C.; Ziegelmann, P.K.; Maia, A.L.; Spritzer, P.M. Association between PCOS and autoimmune thyroid disease: A systematic review and meta-analysis. Endocr. Connect. 2018, 7, 1158–1167. [Google Scholar] [CrossRef]
 - Hepşen, S.; Karaköse, M.; Çakal, E.; Öztekin, S.; Ünsal, İ.; Akhanlı, P.; Uçan, B.; Özbek, M. The assessment of thyroid autoantibody levels in euthyroid patients with polycystic ovary syndrome. J. Turk. Ger. Gynecol. Assoc. 2018, 19, 215–219. [Google Scholar] [CrossRef]
 - Kowalczyk, K.; Franik, G.; Kowalczyk, D.; Pluta, D.; Blukacz, Ł.; Madej, P. Thyroid disorders in polycystic ovary syndrome. Eur. Rev. Med. Pharmacol. Sci. 2017, 21, 346–360. [Google Scholar]
 - Arora, S.; Sinha, K.; Kolte, S.; Mandal, A. Endocrinal and autoimmune linkage: Evidences from a controlled study of subjects with polycystic ovarian syndrome. J. Hum. Reprod. Sci. 2016, 9, 18–22. [Google Scholar] [CrossRef]
 - Gaberšček, S.; Zaletel, K.; Schwetz, V.; Pieber, T.; Obermayer-Pietsch, B.; Lerchbaum, E. Mechanisms in endocrinology: Thyroid and polycystic ovary syndrome. Eur. J. Endocrinol. 2015, 172, R9–R21. [Google Scholar] [CrossRef]
 - Du, D.; Li, X. The relationship between thyroiditis and polycystic ovary syndrome: A meta-analysis. Int. J. Clin. Exp. Med. 2013, 6, 880–889. [Google Scholar] [PubMed]
 - Al Juraibah, F.; Alothaim, A.; Al Eyaid, W.; AlMutair, A.N. Cord blood versus heel-stick sampling for measuring thyroid stimulating hormone for newborn screening of congenital hypothyroidism. Ann. Saudi Med. 2019, 39, 291–294. [Google Scholar] [CrossRef] [PubMed]
 - Tan, K.M.L.; Chu, A.H.Y.; Loy, S.L.; Rajadurai, V.S.; Ho, C.K.M.; Chong, Y.S.; Karnani, N.; Lee, Y.S.; Yap, F.K.P.; Chan, S.Y. Association of Cord Blood Thyroid-Stimulating Hormone Levels with Maternal, Delivery and Infant Factors. Ann. Acad. Med. Singap. 2020, 49, 937–947. [Google Scholar] [CrossRef] [PubMed]
 - ESHRE, The Rotterdam, and ASRM-Sponsored PCOS Consensus Workshop Group. Revised 2003 consensus on diagnostic criteria and long-term health risks related to polycystic ovary syndrome. Fertil. Steril. 2004, 81, 19–25. [Google Scholar]
 - Kollmann, M.; Obermayer-Pietsch, B.; Lerchbaum, E.; Lang, U.; Herzog, S.A.; Trummer, C.; Scheuchenegger, A.; Ulrich, D.; Klaritsch, P. Androgen and Anti-Mullerian Hormone Concentrations at Term in Newborns and Their Mothers with and without Polycystic Ovary Syndrome. J. Clin. Med. 2019, 8, 1817. [Google Scholar] [CrossRef]
 - Garmendia Madariaga, A.; Santos Palacios, S.; Guillén-Grima, F.; Galofré, J.C. The incidence and prevalence of thyroid dysfunction in Europe: A meta-analysis. J. Clin. Endocrinol. Metab. 2014, 99, 923–931. [Google Scholar] [CrossRef] [PubMed]
 - Leiva, P.; Schwarze, J.E.; Vasquez, P.; Ortega, C.; Villa, S.; Crosby, J.; Balmaceda, J.; Pommer, R. There is no association between the presence of anti-thyroid antibodies and increased reproductive loss in pregnant women after ART: A systematic review and meta-analysis. JBRA Assist. Reprod. 2017, 21, 361–365. [Google Scholar] [CrossRef]
 - Seror, J.; Amand, G.; Guibourdenche, J.; Ceccaldi, P.F.; Luton, D. Anti-TPO antibodies diffusion through the placental barrier during pregnancy. PLoS ONE 2014, 9, e84647. [Google Scholar] [CrossRef]
 - Marín Urueña, S.I.; Infante López, M.E.; Samaniego Fernández, C.M.; Montejo Vicente, M.M.; Escribano García, C.; Izquierdo Caballero, R.; Mulero Collantes, I.; Caserío Carbonero, S. Follow-up of infants born to mothers with autoinmune thyroid disease. What should not be screened? Endocrinol. Diabetes Nutr. 2020, 67, 172–178. [Google Scholar] [CrossRef]
 - Alexander, E.K.; Pearce, E.N.; Brent, G.A.; Brown, R.S.; Chen, H.; Dosiou, C.; Grobman, W.A.; Laurberg, P.; Lazarus, J.H.; Mandel, S.J.; et al. 2017 Guidelines of the American Thyroid Association for the Diagnosis and Management of Thyroid Disease During Pregnancy and the Postpartum. Thyroid 2017, 27, 315–389. [Google Scholar] [CrossRef]
 - Landers, K.; Richard, K. Traversing barriers—How thyroid hormones pass placental, blood-brain and blood-cerebrospinal fluid barriers. Mol. Cell Endocrinol. 2017, 458, 22–28. [Google Scholar] [CrossRef]
 - Lazarus, J.; Brown, R.S.; Daumerie, C.; Hubalewska-Dydejczyk, A.; Negro, R.; Vaidya, B. 2014 European thyroid association guidelines for the management of subclinical hypothyroidism in pregnancy and in children. Eur. Thyroid J. 2014, 3, 76–94. [Google Scholar] [CrossRef] [PubMed]
 - Dong, A.C.; Stephenson, M.D.; Stagnaro-Green, A.S. The Need for Dynamic Clinical Guidelines: A Systematic Review of New Research Published After Release of the 2017 ATA Guidelines on Thyroid Disease During Pregnancy and the Postpartum. Front. Endocrinol. 2020, 11, 193. [Google Scholar] [CrossRef] [PubMed]
 - De Groot, L.; Abalovich, M.; Alexander, E.K.; Amino, N.; Barbour, L.; Cobin, R.H.; Eastman, C.J.; Lazarus, J.H.; Luton, D.; Mandel, S.J.; et al. Management of thyroid dysfunction during pregnancy and postpartum: An Endocrine Society clinical practice guideline. J. Clin. Endocrinol. Metab. 2012, 97, 2543–2565. [Google Scholar] [CrossRef] [PubMed]
 - Subclinical hypothyroidism in the infertile female population: A guideline. Fertil. Steril. 2015, 104, 545–553. [CrossRef] [PubMed]
 - Rao, M.; Zeng, Z.; Zhou, F.; Wang, H.; Liu, J.; Wang, R.; Wen, Y.; Yang, Z.; Su, C.; Su, Z.; et al. Effect of levothyroxine supplementation on pregnancy loss and preterm birth in women with subclinical hypothyroidism and thyroid autoimmunity: A systematic review and meta-analysis. Hum. Reprod. Update 2019, 25, 344–361. [Google Scholar] [CrossRef] [PubMed]
 - Maraka, S.; Mwangi, R.; McCoy, R.G.; Yao, X.; Sangaralingham, L.R.; Singh Ospina, N.M.; O’Keeffe, D.T.; De Ycaza, A.E.; Rodriguez-Gutierrez, R.; Coddington, C.C., 3rd; et al. Thyroid hormone treatment among pregnant women with subclinical hypothyroidism: US national assessment. BMJ 2017, 356, i6865. [Google Scholar] [CrossRef]
 - Korevaar, T.I.M.; Derakhshan, A.; Taylor, P.N.; Meima, M.; Chen, L.; Bliddal, S.; Carty, D.M.; Meems, M.; Vaidya, B.; Shields, B.; et al. Association of Thyroid Function Test Abnormalities and Thyroid Autoimmunity With Preterm Birth: A Systematic Review and Meta-analysis. JAMA 2019, 322, 632–641. [Google Scholar] [CrossRef]
 - Meena, A.; Nagar, P. Pregnancy Outcome in Euthyroid Women with Anti-Thyroid Peroxidase Antibodies. J. Obstet. Gynaecol. India 2016, 66, 160–165. [Google Scholar] [CrossRef][Green Version]
 - Saki, F.; Dabbaghmanesh, M.H.; Ghaemi, S.Z.; Forouhari, S.; Omrani, G.R.; Bakhshayeshkaram, M. Thyroid autoimmunity in pregnancy and its influences on maternal and fetal outcome in Iran (a prospective study). Endocr. Res. 2015, 40, 139–145. [Google Scholar] [CrossRef]
 


| PCOS  (n = 79)  | Non-PCOS  (n = 354)  | p-Value | |
|---|---|---|---|
| Thyroid dysfunction | 24 (30.4) | 42 (11.9) | <0.001 | 
| Thyroid medication | 30 (38.0) | 57 (16.1) | <0.001 | 
| PCOS Women  (n = 79)  | Non-PCOS Women  (n = 354)  | p-Value | ||
|---|---|---|---|---|
| TSH | 2.3 (0.3–7.6) | 2.6 (0.0–8.9) | 0.126 | |
| FT4 | 12.9 (7.9–17.9) | 12.6 (8.4–21.7) | 0.881 | |
| FT3 | 3.8 (2.3–4.9) | 4.0 (2.5–5.4) | 0.005 | |
| TPO-AB | 9.9 (9.9–233) | 9.9 (9.9–203) | 0.001 | |
| PCOS Neonates  (n = 79)  | Non-PCOS  Neonates (n = 354)  | |||
| TSH | Total | 8.1 (1.7–53.7) | 7.8 (2.0–47.5) | 0.769 | 
| Male | 8.9 (3.6–53.7) | 7.1 (2.0–46.4) | 0.421 | |
| Female | 8.0 (1.7–26.9) | 7.9 (2.3–47.5) | 0.720 | |
| FT4 | Total | 13.5 (8.6–23.5) | 13.2 (9.5–17.8) | 0.899 | 
| Male | 13.4 (9.7–23.5) | 13.2 (9.5–17.8) | 0.665 | |
| Female | 13.6 (8.6–17.3) | 13.3 (9.5–17.6) | 0.808 | |
| FT3 | Total | 2.0 (0.8–4.1) | 2.1 (0.9–4.7) | 0.055 | 
| Male | 2.0 (0.8–4.1) | 2.2 (0.9–3.8) | 0.058 | |
| Female | 2.0 (0.9–3.3) | 2.1 (0.9–4.7) | 0.418 | |
| TPO-AB | Total | 9.9 (9.9–323) | 9.9 (9.9–483) | 0.049 | 
| Male | 9.9 (9.9–323) | 9.9 (9.9–157) | 0.078 | |
| Female | 9.9 (9.9–46) | 9.9 (9.9–483) | 0.312 | |
| Perinatal  Complications (n = 96)  | No Perinatal  Complications (n = 337)  | p-Value | |
|---|---|---|---|
| Maternal TSH | 2.5 (0.1–6.7) | 2.6 (0.0–8.9) | 0.425 | 
| Neonatal TSH | 9.1 (2.6–46.4) | 7.5 (1.7–53.7) | 0.051 | 
| Maternal fT4 | 12.5 (7.9–21.7) | 12.8 (8.4–19.0) | 0.132 | 
| Neonatal fT4 | 13.3 (9.7–17.8) | 13.3 (8.6–23.5) | 0.638 | 
| Maternal fT3 | 4.0 (2.3–5.4) | 3.9 (2.7–5.4) | 0.551 | 
| Neonatal fT3 | 2.2 (0.9–4.0) | 2.1 (0.8–4.7) | 0.600 | 
| Maternal TPO-AB | 9.9 (9.9–200) | 9.9 (9.9–233) | 0.077 | 
| Neonatal TPO-AB | 9.9 (9.9–323) | 9.9 (9.9–483) | 0.319 | 
| Hypothyroidism  (n = 66)  | Euthyroid Function  (n = 316)  | p-Value | |
|---|---|---|---|
| Maternal  complication  | 35 (53.0) | 164 (51.9) | 0.893 | 
| Neonatal  complication  | 19 (28.8) | 66 (20.9) | 0.192 | 
Publisher’s Note: MDPI stays neutral with regard to jurisdictional claims in published maps and institutional affiliations.  | 
© 2022 by the authors. Licensee MDPI, Basel, Switzerland. This article is an open access article distributed under the terms and conditions of the Creative Commons Attribution (CC BY) license (https://creativecommons.org/licenses/by/4.0/).
Share and Cite
Feigl, S.; Obermayer-Pietsch, B.; Klaritsch, P.; Pregartner, G.; Herzog, S.A.; Lerchbaum, E.; Trummer, C.; Pilz, S.; Kollmann, M. Impact of Thyroid Function on Pregnancy and Neonatal Outcome in Women with and without PCOS. Biomedicines 2022, 10, 750. https://doi.org/10.3390/biomedicines10040750
Feigl S, Obermayer-Pietsch B, Klaritsch P, Pregartner G, Herzog SA, Lerchbaum E, Trummer C, Pilz S, Kollmann M. Impact of Thyroid Function on Pregnancy and Neonatal Outcome in Women with and without PCOS. Biomedicines. 2022; 10(4):750. https://doi.org/10.3390/biomedicines10040750
Chicago/Turabian StyleFeigl, Sarah, Barbara Obermayer-Pietsch, Philipp Klaritsch, Gudrun Pregartner, Sereina Annik Herzog, Elisabeth Lerchbaum, Christian Trummer, Stefan Pilz, and Martina Kollmann. 2022. "Impact of Thyroid Function on Pregnancy and Neonatal Outcome in Women with and without PCOS" Biomedicines 10, no. 4: 750. https://doi.org/10.3390/biomedicines10040750
APA StyleFeigl, S., Obermayer-Pietsch, B., Klaritsch, P., Pregartner, G., Herzog, S. A., Lerchbaum, E., Trummer, C., Pilz, S., & Kollmann, M. (2022). Impact of Thyroid Function on Pregnancy and Neonatal Outcome in Women with and without PCOS. Biomedicines, 10(4), 750. https://doi.org/10.3390/biomedicines10040750
        
                                                
