Predicting Outcome of Traumatic Brain Injury: Is Machine Learning the Best Way?
Abstract
:1. Introduction
2. Materials and Methods
2.1. Population
2.2. Proposed Approach
2.2.1. Outcome Measure
2.2.2. Predictors’ Selection
- Age, Sex.
- Marshall classification (T0): one of the most used systems for grading traumatic brain injury at admission [12]. It is based on the observation of the brain non-contrast CT scan and of the degree of swelling and the presence and size of hemorrhages. Patients are divided into six increasing severity categories: diffuse injury I (no visible pathology), diffuse injury II, diffuse injury III (swelling), diffuse injury IV (shift), evacuated mass lesion V, non-evacuated mass lesion VI. Therefore, the highest categories correspond to the worst prognosis.
- Entry Diagnosis (T0): this categorical variable reports the diagnosis at admission consisting of three possible classes: Vegetative state (VS), Minimally Conscious State (MCS) and Emersion from MCS.
- Coma Recovery Scale-Revised (CRS-R) [13]: the gold standard diagnostic tool for the assessment of DOC patients over the course of recovery. It is composed of six items ranging from 0 to 23, where a higher score corresponds to better functionality.
- Rancho Los Amigos Levels of Cognitive Functioning Scale (RLAS) [14]: scale for the assessment of patients’ cognitive performance. It is composed of eight categories: No Response (Cognitive Level I), Generalized Response (CL II), Localized Response (CL III), Confused—Agitated (CL IV), Confused—Inappropriate—Nonagitated (CL V), Confused—Appropriate (CL VI), Automatic—Appropriate (CL VII), Purposeful—Appropriate (CL VIII).
- Disability Rating Scale (DRS) [15]: scale for the measurement of general functional changes over the course of recovery. It is composed of eight items belonging to four categories: Arousability, Awareness and Responsivity (Eye Opening, Communication Ability, Motor Response), Cognitive Ability for Self-Care Activities (Feeding, Toileting, Grooming), Dependence on Others (Level of Functioning), Psychosocial Adaptability (Employability). The total score ranged from 0 (No Disability) to 29 (Extreme Vegetative State).
- Early Rehabilitation Barthel Index (ERBI) A and B [16]: extended version of the Barthel index for the assessment of early neurological rehabilitation patients over the course of recovery. It contains highly relevant items, such as mechanical ventilation, tracheostomy, or dysphagia and it ranges from −325 to +100.
2.3. Feature Selection
- Minimum Redundancy Maximum Relevance (MRMR) algorithm [18]: this method explores the optimal subset of features with the maximum relevance for the response and the minimum redundancy using the pairwise mutual information among features and between each feature and the outcome.
- Chi-square Test [19]: an approach based on individual chi-square tests to examine the relationship between each dependent variable and the outcome.
2.4. Classification Methods
- Support Vector Machine (SVM) [20]: a widely used method based on mapping data into a higher dimensional feature space using kernel functions to make them separable and then finding the best hyperplane for classification. In this study, we used a Radial Basis Function (RBF) kernel:
- k-Nearest Neighbors (k-NN) [21]: a simple approach where each object is assigned to the most common class among its k nearest neighbors applying the majority voting technique. In this study, we set a number of nearest neighbors equal to 5 following a general rule to identify the optimal value, where n is the number of samples in training data [22] and employing the standardized Euclidean distance as a metric:
- Naïve Bayes (NB) [23]: based on Bayes’ Theorem, this technique applies density estimation to the data and assigns an observation to the most probable class assuming that the predictors are conditionally independent, given the class. In this study, probabilities were computed modeling data with Gaussian distribution:
- Decision Tree (DT) [17]: based on a tree-like model in which each internal node specifies a test involving an attribute, each branch descending from the node corresponds to one of the possible outcomes of the test and each leaf node represents a class label. Classifying an object with a decision tree means performing a sequence of cascading tests, starting with the root node and finishing with a leaf node. In this study, for the decision tree model, we set a maximal number of decision splits equal to 10. As an algorithm for selecting the best split predictor at each node, we chose standard CART, which selects the split predictor maximizing Gain. Gain is a split criterion given by the difference between the information needed to classify an object (I) and the amount of residual information needed after the value of attribute A have been learned (Ires):
2.5. Performance Metrics
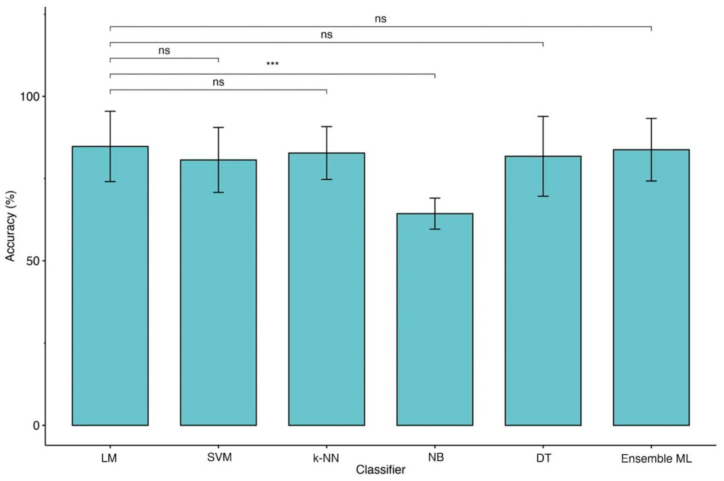
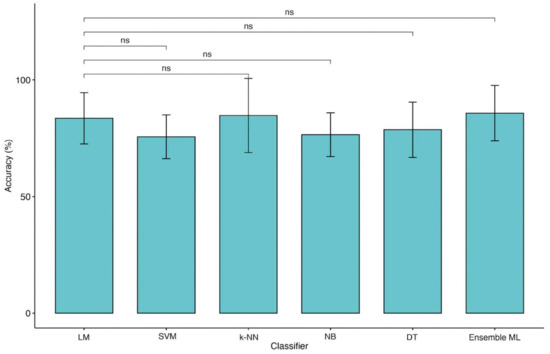
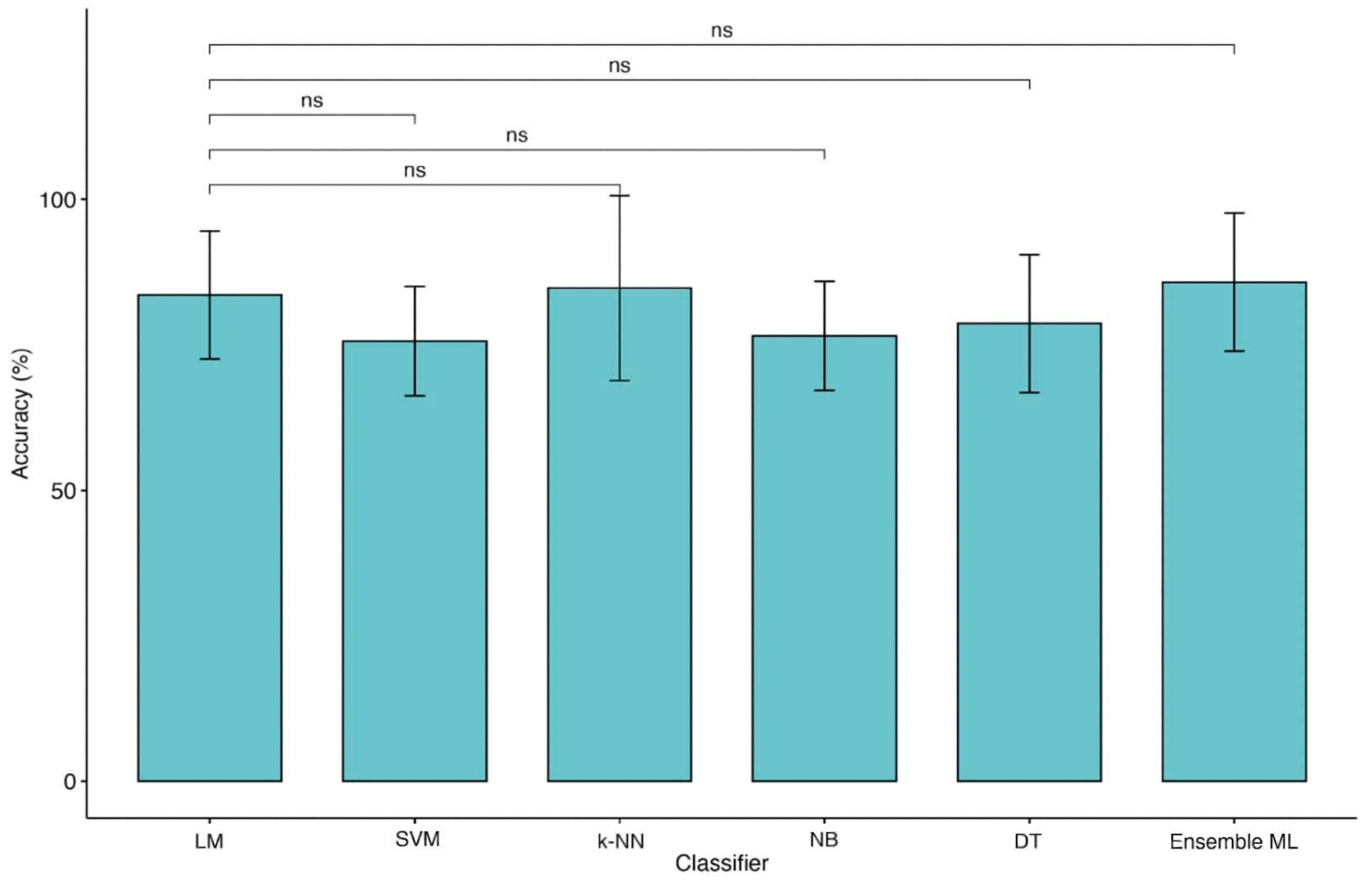
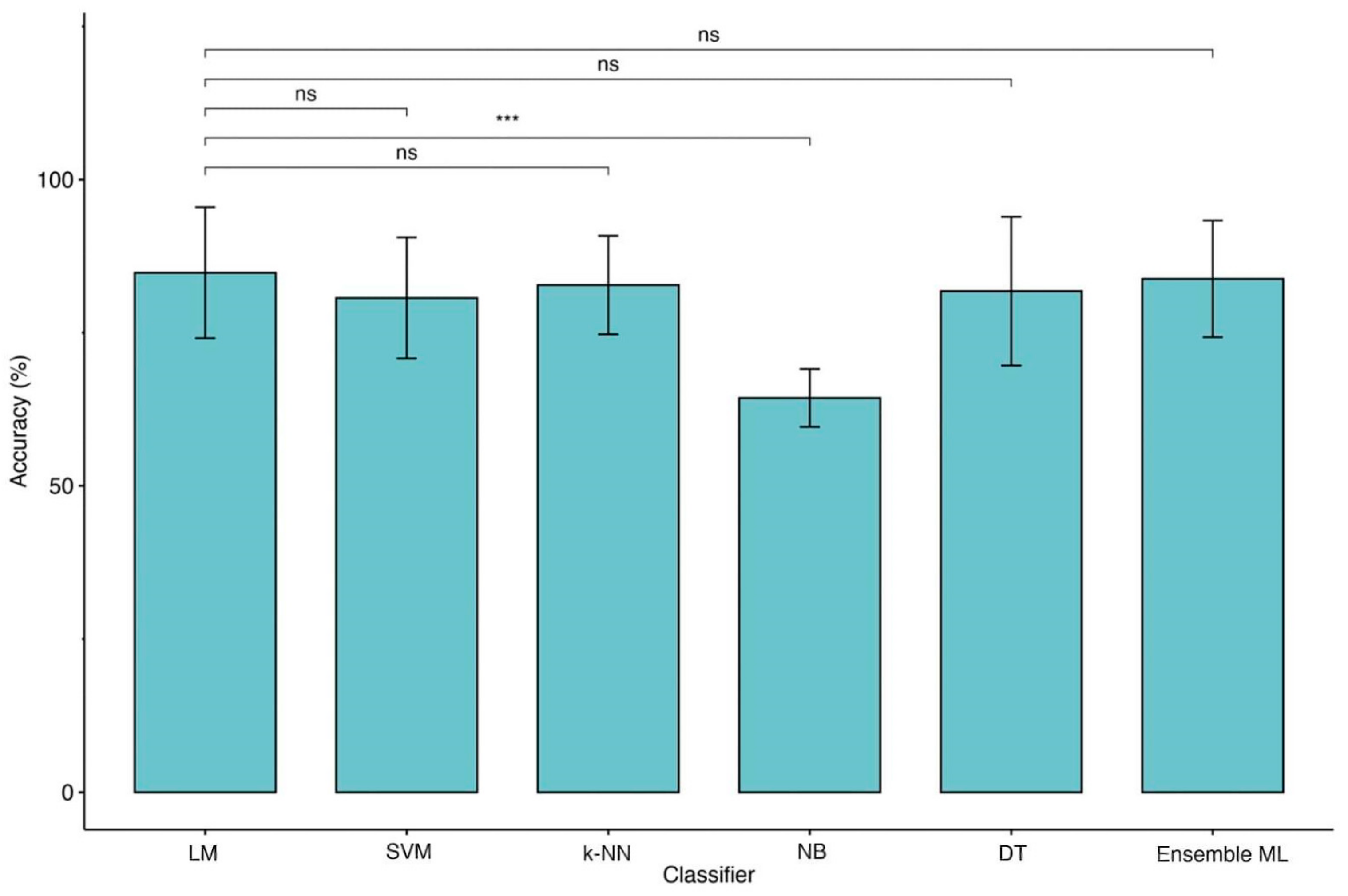
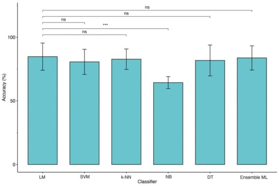
3. Results
4. Discussion
5. Conclusions
Author Contributions
Funding
Institutional Review Board Statement
Informed Consent Statement
Data Availability Statement
Conflicts of Interest
References
- Peeters, W.; van den Brande, R.; Polinder, S.; Brazinova, A.; Steyerberg, E.W.; Lingsma, H.F.; Maas, A.I.R. Epidemiology of traumatic brain injury in Europe. Acta Neurochir. 2015, 157, 1683–1696. [Google Scholar] [CrossRef] [PubMed] [Green Version]
- Frost, R.B.; Farrer, T.J.; Primosch, M.; Hedges, D.W. Prevalence of traumatic brain injury in the general adult population: A meta-analysis. Neuroepidemiology 2013, 40, 154–159. [Google Scholar] [CrossRef] [PubMed]
- Lingsma, H.F.; Roozenbeek, B.; Steyerberg, E.W.; Murray, G.D.; Maas, A.I.R. Early prognosis in traumatic brain injury: From prophecies to predictions. Lancet Neurol. 2010, 9, 543–554. [Google Scholar] [CrossRef]
- Lucca, L.F.; Lofaro, D.; Pignolo, L.; Leto, E.; Ursino, M.; Cortese, M.D.; Conforti, D.; Tonin, P.; Cerasa, A. Outcome prediction in disorders of consciousness: The role of coma recovery scale revised. BMC Neurol. 2019, 19, 68. [Google Scholar] [CrossRef] [PubMed] [Green Version]
- Liu, N.T.; Salinas, J. Machine Learning for Predicting Outcomes in Trauma. Shock. Inj. Inflamm. Sepsis: Lab. Clin. Approaches 2017, 48, 504–510. [Google Scholar] [CrossRef] [PubMed]
- Abujaber, A.; Fadlalla, A.; Gammoh, D.; Abdelrahman, H.; Mollazehi, M.; El-Menyar, A. Prediction of in-hospital mortality in patients with post traumatic brain injury using National Trauma Registry and Machine Learning Approach. Scand. J. Trauma Resusc. Emerg. Med. 2020, 28, 44. [Google Scholar] [CrossRef]
- Amorim, R.L.; Oliveira, L.M.; Malbouisson, L.M.; Nagumo, M.M.; Simoes, M.; Miranda, L.; Bor-Seng-Shu, E.; Beer-Furlan, A.; De Andrade, A.F.; Rubiano, A.M.; et al. Prediction of Early TBI Mortality Using a Machine Learning Approach in a LMIC Population. Front. Neurol. 2019, 10, 1366. [Google Scholar] [CrossRef] [Green Version]
- Hanko, M.; Grendár, M.; Snopko, P.; Opšenák, R.; Šutovský, J.; Benčo, M.; Soršák, J.; Zeleňák, K.; Kolarovszki, B. Random Forest-Based Prediction of Outcome and Mortality in Patients with Traumatic Brain Injury Undergoing Primary Decompressive Craniectomy. World Neurosurg. 2021, 148, e450–e458. [Google Scholar] [CrossRef]
- Lucca, L.F.; De Tanti, A.; Cava, F.; Romoli, A.; Formisano, R.; Scarponi, F.; Estraneo, A.; Frattini, D.; Tonin, P.; Bertolino, C.; et al. Predicting Outcome of Acquired Brain Injury by the Evolution of Paroxysmal Sympathetic Hyperactivity Signs. J. Neurotrauma 2021, 38, 1988–1994. [Google Scholar] [CrossRef]
- Lucca, L.F.; Lofaro, D.; Leto, E.; Ursino, M.; Rogano, S.; Pileggi, A.; Vulcano, S.; Conforti, D.; Tonin, P.; Cerasa, A. The Impact of Medical Complications in Predicting the Rehabilitation Outcome of Patients With Disorders of Consciousness after Severe Traumatic Brain Injury. Front. Hum. Neurosci. 2020, 14, 406. [Google Scholar] [CrossRef]
- Jennett, B.; Snoek, J.; Bond, M.R.; Brooks, N. Disability after severe head injury: Observations on the use of the Glasgow Outcome Scale. J. Neurol. Neurosurg. Psychiatry 1981, 44, 285–293. [Google Scholar] [CrossRef] [PubMed]
- Marshall, L.F.; Marshall, S.B.; Klauber, M.R.; Van Berkum Clark, M.; Eisenberg, H.; Jane, J.A.; Luerssen, T.G.; Marmarou, A.; Foulkes, M.A. The diagnosis of head injury requires a classification based on computed axial tomography. J. Neurotrauma 1992, 9 (Suppl. 1), S287–S292. [Google Scholar] [PubMed]
- Gerrard, P.; Zafonte, R.; Giacino, J.T. Coma Recovery Scale-Revised: Evidentiary support for hierarchical grading of level of consciousness. Arch. Phys. Med. Rehabil. 2014, 95, 2335–2341. [Google Scholar] [CrossRef] [PubMed]
- Rossato, E.; Verzini, E.; Scandola, M.; Ferrari, F.; Bonadiman, S. Role of LCF scale as an outcome prognostic index in patients with traumatic brain injury. Neurol. Sci. 2021, 42, 2747–2752. [Google Scholar] [CrossRef]
- Rappaport, M.; Hall, K.M.; Hopkins, K.; Belleza, T.; Cope, D.N. Disability rating scale for severe head trauma: Coma to community. Arch. Phys. Med. Rehabil. 1982, 63, 118–123. [Google Scholar]
- Schönle, P.W. The Early Rehabilitation Barthel Index--an early rehabilitation-oriented extension of the Barthel Index. Rehabilitation 1995, 34, 69–73. [Google Scholar]
- Breiman, L.; Friedman, J.H.; Olshen, R.A.; Stone, C.J. Classification And Regression Trees; Routledge: Boca Raton, FL, USA, 2017. [Google Scholar] [CrossRef]
- Ding, C.; Peng, H. Minimum redundancy feature selection from microarray gene expression data. J. Bioinform. Comput. Biol. 2005, 3, 185–205. [Google Scholar] [CrossRef]
- Jin, X.; Xu, A.; Bie, R.; Guo, P. Machine Learning Techniques and Chi-Square Feature Selection for Cancer Classification Using SAGE Gene Expression Profiles. In Proceedings of the International Workshop on Data Mining for Biomedical Applications, Singapore, 9 April 2006; pp. 106–115. [Google Scholar] [CrossRef]
- Cristianini, N.; Shawe-Taylor, J. An Introduction to Support Vector Machines and Other Kernel-based Learning Methods; Cambridge University Press: Cambridge, UK, 2000. [Google Scholar] [CrossRef]
- Cunningham, P.; Delany, S.J. k-Nearest Neighbour Classifiers: 2nd Edition (with Python examples). ACM Comput. Surv. 2021, 54, 1–25. [Google Scholar] [CrossRef]
- Duda, R.; Hart, P.E.; Stork, E.D. Pattern Classification, 1st ed.; Wiley-Interscience Editor: San Jose, CA, USA, 2000. [Google Scholar]
- Hastie, T.; Tibshirani, R.; Friedman, J. The Elements of Statistical Learning: Data Mining, Inference, and Prediction, 2nd ed.; Springer Science & Business Media: Berlin/Heidelberg, Germany, 2009. [Google Scholar]
- Akanbi, O.; Sadegh Amiri, I.; Fazeldehkordi, E. A Machine Learning Approach to Phishing Detection and Defense; Syngress: Boston, MA, USA, 2014; ISBN 9780128029466. [Google Scholar]
- Berrar, D. Cross-Validation. 2018. Available online: https://doi.org/10.1016/B978-0-12-809633-8.20349-X (accessed on 15 December 2021).
- Kohavi, R. A Study of Cross-Validation and Bootstrap for Accuracy Estimation and Model Selection. Ljcai 1995, 14, 1137–1143. [Google Scholar]
- Sokolova, M.; Lapalme, G. A systematic analysis of performance measures for classification tasks. Inf. Process. Manag. 2009, 45, 427–437. [Google Scholar] [CrossRef]
- Demšar, J. Statistical Comparisons of Classifiers over Multiple Data Sets. J. Mach. Learn. Res. 2006, 7, 1–30. [Google Scholar]
- Iosa, M.; Morone, G.; Antonucci, G.; Paolucci, S. Prognostic Factors in Neurorehabilitation of Stroke: A Comparison among Regression, Neural Network, and Cluster Analyses. Brain Sci. 2021, 11, 1147. [Google Scholar] [CrossRef] [PubMed]
- Gravesteijn, B.Y.; Nieboer, D.; Ercole, A.; Lingsma, H.F.; Nelson, D.; van Calster, B.; Steyerberg, E.W. CENTER-TBI collaborators, Machine learning algorithms performed no better than regression models for prognostication in traumatic brain injury. J. Clin. Epidemiol. 2020, 122, 95–107. [Google Scholar] [CrossRef] [PubMed]
- Tunthanathip, T.; Oearsakul, T. Application of machine learning to predict the outcome of pediatric traumatic brain injury. Chin. J. Traumatol. 2021, 24, 350–355. [Google Scholar] [CrossRef] [PubMed]
- Yang, Y. Ensemble Learning. In Temporal Data Mining Via Unsupervised Ensemble Learning; Elsevier: The Netherlands, 2017; Chapter 4; pp. 35–56. [Google Scholar] [CrossRef]
- Porcaro, C.; Nemirovsky, I.E.; Riganello, F.; Zahra, M.; Cerasa, A.; Tonin, P.; Stajanoski, B.; Soddu, A. Behavioral assessments, neuroimaging, and electrophysiology as clinical diagnosis tools for disorders of consciousness. Front. Neurol. 2022, 12, 778951. [Google Scholar] [CrossRef]





| Predictors | TBI (n°102) |
|---|---|
| Age (years) | 48 ± 20.6 |
| Sex | 29F/73M |
| Length of stay ICU (days) | 27.0 (20–35) |
| Length of stay IRU (days) | 72.0 (43.8–128.2) |
| Marshall Score ICU (%) | |
| I | 0% |
| II | 38% |
| III | 19.6% |
| IV | 2.2% |
| V | 39.1% |
| VI | 1.1% |
| Diagnosis at Admission (%) | |
| Emersion | 55.9% |
| MCS | 20.6% |
| VS | 23.5% |
| Diagnosis at Discharge T2 (%) | |
| Emersion | 86.3% |
| MCS | 8.8% |
| VS | 4.9% |
| CRS-R T1 | 23.0 (3–23) |
| CRS-R T2 | 23.0 (5–23) |
| RLAS T1 | 4 (1–8) |
| RLAS T2 | 6 (2–8) |
| DRS T1 | 18 (6–29) |
| DRS T2 | 9 (0–27) |
| ERBI T1 | −175 (0–275) |
| ERBI T2 | 0 (0–175) |
| Outcome at discharge | |
| GOS-E values | 3.0 (1.0–8.0) |
| GOS-E range (%) | |
| negative outcome (<5) | 62.8% |
| positive outcome (>5) | 37.2% |
| Category Number | Name | Definition | 4 Classes | 2 Classes |
|---|---|---|---|---|
| 8 | Good Recovery Upper | No current problems related to brain injury that affects daily life | Good Recovery (26 Subjects) | Positive Outcome |
| 7 | Good Recovery Lower | Minor problems that affect daily life;Recovery of the pre-injury level of social and leisure activities > 50% | ||
| 6 | Moderate Disability Upper | Reduced work capacity; Recovery of the pre-injury level of social and leisure activities < 50% | Moderate Disability (9 Subjects) | |
| 5 | Moderate Disability Lower | Inability to work | ||
| 4 | Severe Disability Upper | Autonomy during the day > 8 h; Inability to travel and/or go shopping without assistance | Severe Disability (38 Subjects) | Negative Outcome |
| 3 | Severe Disability Lower | Necessity of frequent home assistance for most of the time every day | ||
| 2 | Persistent Vegetative State | Unresponsiveness and Speechlessness | Vegetative/Death (25 Subjects) | |
| 1 | Death |
| Performance Measure | Binary Classification | Multi-Class Classification |
|---|---|---|
| Accuracy | ||
| Precision | ||
| Recall | ||
| F1-Score | ||
| χ2 | p | ε2 | ||
|---|---|---|---|---|
| 2 classes | Accuracy | 0.461 | 0.794 | 0.0271 |
| Precision | 0.467 | 0.792 | 0.0275 | |
| Precision M | 1.207 | 0.547 | 0.071 | |
| Recall | 0.467 | 0.792 | 0.0275 | |
| Recall M | 0.457 | 0.796 | 0.0269 | |
| F1-Score | 0.467 | 0.792 | 0.0275 | |
| F1-Score M | 0.668 | 0.716 | 0.0393 | |
| 4 classes | Accuracy | 3.27 | 0.195 | 0.1921 |
| Precision | 3.28 | 0.194 | 0.1929 | |
| Precision M | 1.3 | 0.523 | 0.0764 | |
| Recall | 3.28 | 0.194 | 0.1929 | |
| Recall M | 2.54 | 0.281 | 0.1493 | |
| F1-Score | 3.28 | 0.194 | 0.1929 | |
| F1-Score M | 2.14 | 0.343 | 0.1259 |
| χ2 | p | ε2 | ||
|---|---|---|---|---|
| 2 classes | Accuracy | 21.6 | <0.001 | 0.367 |
| Precision | 21.6 | <0.001 | 0.367 | |
| Precision M | 20.9 | <0.001 | 0.355 | |
| Recall | 21.6 | <0.001 | 0.367 | |
| Recall M | 26 | <0 .001 | 0.441 | |
| F1-Score | 21.6 | <0.001 | 0.367 | |
| F1-Score M | 25.3 | <0.001 | 0.429 | |
| 4 classes | Accuracy | 32.8 | 0.001 | 0.342 |
| Precision | 26.3 | 0.001 | 0.342 | |
| Precision M | 20 | 0.016 | 0.236 | |
| Recall | 26.3 | 0.001 | 0.342 | |
| Recall M | 20 | 0.002 | 0.329 | |
| F1-Score | 26.3 | 0.001 | 0.342 | |
| F1-Score M | 21.2 | 0.001 | 0.322 |
| Accuracy | Precision M | Recall M | F1-Score M | |||||||||||||
|---|---|---|---|---|---|---|---|---|---|---|---|---|---|---|---|---|
| W | p | W | p | W | p | W | p | W | p | W | p | W | p | |||
| 2 classes | Linear | k-NN | −0.329 | 1.000 | −0.329 | 1.000 | −0.702 | 0.996 | −0.329 | 1.000 | −0.484 | 0.999 | −0.329 | 1.000 | −0.5367 | 0.999 |
| Linear | NB | −5.116 | 0.004 | −5.116 | 0.004 | −5.400 | 0.002 | −5.116 | 0.004 | −5.714 | <0.001 | −5.116 | 0.004 | −5.3983 | 0.002 | |
| Linear | SVM | −1.315 | 0.939 | −1.315 | 0.939 | −1.184 | 0.961 | −1.315 | 0.939 | −1.665 | 0.848 | −1.315 | 0.939 | −1.6627 | 0.849 | |
| Linear | DT | −0.544 | 0.999 | −0.544 | 0.999 | −0.810 | 0.993 | −0.544 | 0.999 | −0.752 | 0.995 | −0.544 | 0.999 | −0.8591 | 0.991 | |
| Linear | Ensemble | −0.164 | 1.000 | −0.164 | 1.000 | −0.378 | 1.000 | −0.164 | 1.000 | −0.322 | 1.000 | −0.164 | 1.000 | −0.4299 | 1.000 | |
| 4 classes | Linear | k-NN | 1.080 | 0.974 | 1.080 | 0.974 | 0.860 | 0.991 | 1.080 | 0.974 | 1.180 | 0.961 | 1.080 | 0.974 | 1.072 | 0.974 |
| Linear | NB | 1.414 | 0.918 | 1.414 | 0.918 | 0.967 | 0.984 | 1.414 | 0.918 | 1.344 | 0.933 | 1.414 | 0.918 | 1.341 | 0.934 | |
| Linear | SVM | −3.671 | 0.098 | −3.671 | 0.098 | −3.371 | 0.162 | −3.671 | 0.098 | −3.801 | 0.078 | −3.671 | 0.098 | −3.636 | 0.105 | |
| Linear | DT | −0.815 | 0.993 | −0.815 | 0.993 | −1.020 | 0.979 | −0.815 | 0.993 | −1.072 | 0.974 | −0.815 | 0.993 | −1.071 | 0.975 | |
| Linear | Ensemble | 1.680 | 0.843 | 1.680 | 0.843 | 1.397 | 0.922 | 1.680 | 0.843 | 1.715 | 0.831 | 1.680 | 0.843 | 1.768 | 0.812 | |
| Classification Model | |||||||
|---|---|---|---|---|---|---|---|
| Cross Validation | Performance Metric | Linear Model | Support Vector Machine (SVM) | k-Nearest Neighbors (k-NN) | Naïve Bayes (NB) | Decision Tree (DT) | Ensemble |
| LOOCV | Accuracy | 84.69% | 80.61% | 82.65% | 64.29% | 79.59% | 83.67% |
| Precision µ | 84.69% | 80.61% | 82.65% | 64.29% | 79.59% | 83.67% | |
| Precision M | 83.46% | 79.51% | 81.20% | 64.29% | 78.14% | 82.47% | |
| Recall µ | 64.84% | 58.09% | 61.36% | 37.50% | 56.52% | 63.08% | |
| Recall M | 41.51% | 38.65% | 40.40% | 25.00% | 38.25% | 40.79% | |
| F1 Score µ | 73.45% | 67.52% | 70.43% | 47.37% | 66.10% | 71.93% | |
| F1 Score M | 55.44% | 52.02% | 53.95% | 36.00% | 51.36% | 54.59% | |
| 10-fold CV | Accuracy | 85.89% | 81.78% | 82.78% | 64.33% | 76.78% | 81.78% |
| Precision µ | 85.71% | 81.63% | 82.65% | 64.29% | 76.53% | 81.63% | |
| Precision M | 84.44% | 80.50% | 81.20% | 64.29% | 74.53% | 80.00% | |
| Recall µ | 66.67% | 59.70% | 61.36% | 37.50% | 52.08% | 59.70% | |
| Recall M | 42.22% | 39.37% | 40.40% | 25.00% | 36.75% | 40.00% | |
| F1 Score µ | 75.00% | 68.97% | 70.43% | 47.37% | 61.98% | 68.97% | |
| F1 Score M | 56.30% | 52.87% | 53.95% | 36.00% | 49.22% | 53.33% | |
| Classification Model | |||||||
|---|---|---|---|---|---|---|---|
| Cross Validation | Performance Metric | Linear Model | Support Vector Machine (SVM) | k-Nearest Neighbors (k-NN) | Naïve Bayes (NB) | Decision Tree (DT) | Ensemble |
| LOOCV | Accuracy | 65.31% | 43.88% | 66.33% | 68.37% | 59.18% | 71.43% |
| Precision µ | 65.31% | 43.88% | 66.33% | 68.37% | 59.18% | 71.43% | |
| Precision M | 66.49% | 36.49% | 66.50% | 52.94% | 46.16% | 71.73% | |
| Recall µ | 38.55% | 20.67% | 39.63% | 41.88% | 32.58% | 45.45% | |
| Recall M | 36.51% | 23.14% | 37.28% | 38.74% | 30.86% | 41.58% | |
| F1 Score µ | 48.48% | 28.10% | 49.62% | 51.94% | 42.03% | 55.56% | |
| F1 Score M | 47.13% | 28.32% | 47.77% | 44.74% | 36.99% | 52.64% | |
| 10-fold CV | Accuracy | 64.22% | 45.00% | 65.33% | 67.44% | 57.44% | 70.44% |
| Precision µ | 64.28% | 44.89% | 65.31% | 67.34% | 57.14% | 70.41% | |
| Precision M | 65.72% | 36.83% | 65.44% | 52.16% | 45.83% | 70.78% | |
| Recall µ | 37.50% | 21.36% | 38.55% | 40.74% | 30.77% | 44.23% | |
| Recall M | 35.73% | 23.42% | 36.38% | 37.78% | 28.68% | 40.66% | |
| F1 Score µ | 47.37% | 28.95% | 48.48% | 50.77% | 40.00% | 54.33% | |
| F1 Score M | 46.29% | 28.63% | 46.77% | 43.82% | 35.28% | 51.65% | |
Publisher’s Note: MDPI stays neutral with regard to jurisdictional claims in published maps and institutional affiliations. |
© 2022 by the authors. Licensee MDPI, Basel, Switzerland. This article is an open access article distributed under the terms and conditions of the Creative Commons Attribution (CC BY) license (https://creativecommons.org/licenses/by/4.0/).
Share and Cite
Bruschetta, R.; Tartarisco, G.; Lucca, L.F.; Leto, E.; Ursino, M.; Tonin, P.; Pioggia, G.; Cerasa, A. Predicting Outcome of Traumatic Brain Injury: Is Machine Learning the Best Way? Biomedicines 2022, 10, 686. https://doi.org/10.3390/biomedicines10030686
Bruschetta R, Tartarisco G, Lucca LF, Leto E, Ursino M, Tonin P, Pioggia G, Cerasa A. Predicting Outcome of Traumatic Brain Injury: Is Machine Learning the Best Way? Biomedicines. 2022; 10(3):686. https://doi.org/10.3390/biomedicines10030686
Chicago/Turabian StyleBruschetta, Roberta, Gennaro Tartarisco, Lucia Francesca Lucca, Elio Leto, Maria Ursino, Paolo Tonin, Giovanni Pioggia, and Antonio Cerasa. 2022. "Predicting Outcome of Traumatic Brain Injury: Is Machine Learning the Best Way?" Biomedicines 10, no. 3: 686. https://doi.org/10.3390/biomedicines10030686
APA StyleBruschetta, R., Tartarisco, G., Lucca, L. F., Leto, E., Ursino, M., Tonin, P., Pioggia, G., & Cerasa, A. (2022). Predicting Outcome of Traumatic Brain Injury: Is Machine Learning the Best Way? Biomedicines, 10(3), 686. https://doi.org/10.3390/biomedicines10030686

