Serum Cystatin C Levels Could Predict Rapid Kidney Function Decline in A Community-Based Population
Abstract
1. Background
2. Materials and Methods
2.1. Patient Information and Data Collection
2.2. CKD
2.3. Metabolic Syndrome
- (1)
- A waist circumference of ≥ 90 cm in men and ≥ 80 cm in women according to the modified Asian criteria.
- (2)
- Triglycerides ≥ 150 mg/dL or treatment for elevated triglycerides.
- (3)
- High-density lipoprotein cholesterol < 40 mg/dL in men or <50 mg/dL in women, or treatment for low high-density lipoprotein cholesterol.
- (4)
- Blood pressure ≥ 130/85 mmHg or treatment for hypertension.
- (5)
- Fasting glucose ≥ 100 mg/dL or previously diagnosed type 2 diabetes.
2.4. Homeostasis Model Assessment-Insulin Resistance (HOMA-IR)
2.5. BMI
2.6. Measurement of Serum Biomarker Levels
2.7. Outcome Assessment
2.8. Statistical Analysis
3. Results
3.1. Characteristics of the Study Subjects
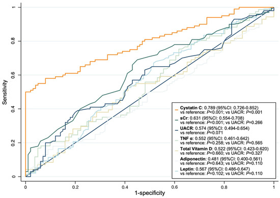
3.2. Cystatin C Could Predict RKFD in Healthy Population
3.3. Analysis of Factors Associated with the Possibility of RKFD
3.4. Subgroup and Sensitivity Analyses
4. Discussion
5. Conclusions
Supplementary Materials
Author Contributions
Funding
Institutional Review Board Statement
Informed Consent Statement
Data Availability Statement
Acknowledgments
Conflicts of Interest
References
- Eckardt, K.-U.; Coresh, J.; Devuyst, O.; Johnson, R.J.; Köttgen, A.; Levey, A.S.; Levin, A. Evolving importance of kidney disease: From subspecialty to global health burden. Lancet 2013, 382, 158–169. [Google Scholar] [CrossRef]
- Ng, J.K.; Li, P.K. Chronic kidney disease epidemic: How do we deal with it? Nephrology 2018, 23 (Suppl. S4), 116–120. [Google Scholar] [CrossRef] [PubMed]
- Alebiosu, C.O. An update on ‘progression promoters’ in renal diseases. J. Natl. Med. Assoc. 2003, 95, 30–42. [Google Scholar] [PubMed]
- Chen, T.K.; Knicely, D.H.; Grams, M.E. Chronic kidney disease diagnosis and management: A review. JAMA 2019, 322, 1294. [Google Scholar] [CrossRef] [PubMed]
- Peralta, C.A.; Katz, R.; Sarnak, M.J.; Ix, J.; Fried, L.F.; De Boer, I.; Palmas, W.; Siscovick, D.; Levey, A.S.; Shlipak, M.G. Cystatin C identifies chronic kidney disease patients at higher risk for complications. J. Am. Soc. Nephrol. 2011, 22, 147–155. [Google Scholar] [CrossRef]
- Guebre-Egziabher, F.; Bernhard, J.; Funahashi, T.; Hadj-Aissa, A.; Fouque, D. Adiponectin in chronic kidney disease is related more to metabolic disturbances than to decline in renal function. Nephrol. Dial. Transplant. 2005, 20, 129–134. [Google Scholar] [CrossRef]
- Shankar, A.; Syamala, S.; Xiao, J.; Muntner, P. Relationship between plasma leptin level and chronic kidney disease. Int. J. Nephrol. 2012, 2012, 269532. [Google Scholar] [CrossRef] [PubMed]
- Lee, B.T.; Ahmed, F.A.; Hamm, L.L.; Teran, F.J.; Chen, C.-S.; Liu, Y.; Shah, K.; Rifai, N.; Batuman, V.; Simon, E.E. Association of C-reactive protein, tumor necrosis factor-alpha, and interleukin-6 with chronic kidney disease. BMC Nephrol. 2015, 16, 1–6. [Google Scholar] [CrossRef]
- Levin, A.; Li, Y.C. Vitamin D and its analogues: Do they protect against cardiovascular disease in patients with kidney disease? Kidney Int. 2005, 68, 1973–1981. [Google Scholar] [CrossRef]
- Menon, V.; Shlipak, M.G.; Wang, X.; Coresh, J.; Greene, T.; Stevens, L.; Kusek, J.W.; Beck, G.J.; Collins, A.J.; Levey, A.S. Cystatin C as a risk factor for outcomes in chronic kidney disease. Ann. Intern. Med. 2007, 147, 19–27. [Google Scholar] [CrossRef]
- Wahba, I.M.; Mak, R.H. Obesity and obesity-initiated metabolic syndrome: Mechanistic links to chronic kidney disease. Clin. J. Am. Soc. Nephrol. 2007, 2, 550–562. [Google Scholar] [CrossRef] [PubMed]
- Zhang, X.; Lerman, L.O. The metabolic syndrome and chronic kidney disease. Transl. Res. 2017, 183, 14–25. [Google Scholar] [CrossRef] [PubMed]
- Navarro-García, J.A.; Fernández-Velasco, M.; Delgado, C.; Delgado, J.F.; Kuro-o, M.; Ruilope, L.M.; Ruiz-Hurtado, G. PTH, vitamin D, and the FGF-23–klotho axis and heart: Going beyond the confines of nephrology. Eur. J. Clin. Investig. 2018, 48, e12902. [Google Scholar] [CrossRef] [PubMed]
- Blau, J.E.; Collins, M.T. The PTH-Vitamin D-FGF23 axis. Rev. Endocr. Metab. Disord. 2015, 16, 165–174. [Google Scholar] [CrossRef] [PubMed]
- Jhee, J.H.; Nam, K.H.; An, S.Y.; Cha, M.-U.; Lee, M.; Park, S.; Kim, H.; Yun, H.-R.; Kee, Y.K.; Park, J.T. Severe vitamin D deficiency is a risk factor for renal hyperfiltration. Am. J. Clin. Nutr. 2018, 108, 1342–1351. [Google Scholar] [CrossRef] [PubMed]
- Ostermann, M.; Zarbock, A.; Goldstein, S.; Kashani, K.; Macedo, E.; Murugan, R.; Bell, M.; Forni, L.; Guzzi, L.; Joannidis, M. Recommendations on acute kidney injury biomarkers from the acute disease quality initiative consensus conference: A consensus statement. JAMA Netw. Open 2020, 3, e2019209. [Google Scholar] [CrossRef]
- Hsu, C.-y.; Yang, W.; Parikh, R.V.; Anderson, A.H.; Chen, T.K.; Cohen, D.L.; He, J.; Mohanty, M.J.; Lash, J.P.; Mills, K.T. Race, genetic ancestry, and estimating kidney function in CKD. N. Engl. J. Med. 2021, 385, 1750–1760. [Google Scholar] [CrossRef]
- Inker, L.A.; Eneanya, N.D.; Coresh, J.; Tighiouart, H.; Wang, D.; Sang, Y.; Crews, D.C.; Doria, A.; Estrella, M.M.; Froissart, M. New creatinine-and cystatin C–based equations to estimate GFR without race. N. Engl. J. Med. 2021, 385, 1737–1749. [Google Scholar] [CrossRef]
- Lee, M.-J.; Hsu, H.-J.; Wu, I.-W.; Sun, C.-Y.; Ting, M.-K.; Lee, C.-C. Vitamin D deficiency in northern Taiwan: A community-based cohort study. BMC Public Health 2019, 19, 1–8. [Google Scholar] [CrossRef]
- Lipsy, R.J. The National Cholesterol Education Program Adult Treatment Panel III guidelines. J. Manag. Care Pharm. JMCP 2003, 9 (Suppl. S1), 2–5. [Google Scholar]
- Matthews DR, H.J. Rudenski AS, Naylor BA, Treacher DF, Turner RC, Homeostasis model assessment: Insulin resistance and beta-cell function from fasting plasma glucose and insulin concentrations in man. Diabetologia 1985, 28, 412–419. [Google Scholar] [CrossRef] [PubMed]
- Bonora, E.; Targher, G.; Alberiche, M.; Bonadonna, R.C.; Saggiani, F.; Zenere, M.B.; Monauni, T.; Muggeo, M. Homeostasis model assessment closely mirrors the glucose clamp technique in the assessment of insulin sensitivity: Studies in subjects with various degrees of glucose tolerance and insulin sensitivity. Diabetes Care 2000, 23, 57–63. [Google Scholar] [CrossRef] [PubMed]
- Lin, Y.F.; Peng, K.Y.; Chang, C.H.; Hu, Y.H.; Wu, V.C.; Chung, S.D. Changes in Glucose Metabolism after Adrenalectomy or Treatment with a Mineralocorticoid Receptor Antagonist for Primary Aldosteronism. Endocrinol. Metab. 2020, 35, 838–846. [Google Scholar] [CrossRef] [PubMed]
- Liao, P.-J.; Ting, M.-K.; Wu, I.-W.; Chen, S.-W.; Yang, N.-I.; Hsu, K.-H. Higher Leptin-to-Adiponectin Ratio Strengthens the Association Between Body Measurements and Occurrence of Type 2 Diabetes Mellitus. Front. Public Health 2021, 9, 1006. [Google Scholar] [CrossRef]
- Chen, L.-W.; Kuo, S.-F.; Chen, C.-H.; Chien, C.-H.; Lin, C.-L.; Chien, R.-N. A community-based study on the association between Helicobacter pylori Infection and obesity. Sci. Rep. 2018, 8, 10746. [Google Scholar] [CrossRef]
- Chu, S.-C.; Wang, P.-H.; Lu, K.-Y.; Ko, C.-C.; She, Y.-H.; Lee, C.-C.; Wu, I.-W.; Sun, C.-Y.; Hsu, H.-J.; Pan, H.-C. Relationships Between Metabolic Body Composition Status and Rapid Kidney Function Decline in a Community-Based Population: A Prospective Observational Study. Front. Public Health 2022, 10, 895787. [Google Scholar] [CrossRef]
- Young, B.A.; Katz, R.; Boulware, L.E.; Kestenbaum, B.; de Boer, I.H.; Wang, W.; Fülöp, T.; Bansal, N.; Robinson-Cohen, C.; Griswold, M. Risk factors for rapid kidney function decline among African Americans: The Jackson Heart Study (JHS). Am. J. Kidney Dis. 2016, 68, 229–239. [Google Scholar] [CrossRef]
- Pan, H.-C.; Huang, T.-M.; Sun, C.-Y.; Chou, N.-K.; Tsao, C.-H.; Yeh, F.-Y.; Lai, T.-S.; Chen, Y.-M.; Wu, V.-C. Predialysis serum lactate levels could predict dialysis withdrawal in Type 1 cardiorenal syndrome patients. EClinicalMedicine 2022, 44, 101232. [Google Scholar] [CrossRef]
- Pan, H.-C.; Huang, T.T.-M.; Huang, C.-T.; Sun, C.-Y.; Chen, Y.-M.; Wu, V.-C. Urinary Biomarkers Can Predict Weaning From Acute Dialysis Therapy in Critically Ill Patients. Arch. Pathol. Lab. Med. 2022, 146, 1353–1363. [Google Scholar] [CrossRef]
- Hin, L.; Lau, T.; Rogers, M.; Chang, A. Dichotomization of continuous measurements using generalized additive modelling–application in predicting intrapartum caesarean delivery. Stat. Med. 1999, 18, 1101–1110. [Google Scholar] [CrossRef]
- Chen, H.-Y.; Sun, C.-Y.; Lee, C.-C.; Wu, I.-W.; Chen, Y.-C.; Lin, Y.-H.; Fang, W.-C.; Pan, H.-C. Ketoanalogue supplements reduce mortality in patients with pre-dialysis advanced diabetic kidney disease: A nationwide population-based study. Clin. Nutr. 2021, 40, 4149–4160. [Google Scholar] [CrossRef] [PubMed]
- Funk, M.J.; Westreich, D.; Wiesen, C.; Stürmer, T.; Brookhart, M.A.; Davidian, M. Doubly robust estimation of causal effects. Am. J. Epidemiol. 2011, 173, 761–767. [Google Scholar] [CrossRef] [PubMed]
- Austin, P.C.; Stuart, E.A. Moving towards best practice when using inverse probability of treatment weighting (IPTW) using the propensity score to estimate causal treatment effects in observational studies. Stat. Med. 2015, 34, 3661–3679. [Google Scholar] [CrossRef]
- Rifkin, D.E.; Shlipak, M.G.; Katz, R.; Fried, L.F.; Siscovick, D.; Chonchol, M.; Newman, A.B.; Sarnak, M.J. Rapid kidney function decline and mortality risk in older adults. Arch. Intern. Med. 2008, 168, 2212–2218. [Google Scholar] [CrossRef]
- Koyner, J.L.; Bennett, M.R.; Worcester, E.M.; Ma, Q.; Raman, J.; Jeevanandam, V.; Kasza, K.E.; O’Connor, M.F.; Konczal, D.J.; Trevino, S. Urinary cystatin C as an early biomarker of acute kidney injury following adult cardiothoracic surgery. Kidney Int. 2008, 74, 1059–1069. [Google Scholar] [CrossRef] [PubMed]
- Shlipak, M.G.; Sarnak, M.J.; Katz, R.; Fried, L.F.; Seliger, S.L.; Newman, A.B.; Siscovick, D.S.; Stehman-Breen, C. Cystatin C and the risk of death and cardiovascular events among elderly persons. N. Engl. J. Med. 2005, 352, 2049–2060. [Google Scholar] [CrossRef]
- Buffet, L.; Ricchetti, C. Chronic Kidney Disease and Hypertension: A Destructive Combination; Regis University: Denver, CO, USA, 2012. [Google Scholar]
- Ficociello, L.H.; Perkins, B.A.; Roshan, B.; Weinberg, J.M.; Aschengrau, A.; Warram, J.H.; Krolewski, A.S. Renal hyperfiltration and the development of microalbuminuria in type 1 diabetes. Diabetes Care 2009, 32, 889–893. [Google Scholar] [CrossRef][Green Version]
- Palatini, P. Glomerular hyperfiltration: A marker of early renal damage in pre-diabetes and pre-hypertension. Nephrol Dial Transpl. 2012, 27, 1708–1714. [Google Scholar] [CrossRef]
- Palatini, P.; Dorigatti, F.; Saladini, F.; Benetti, E.; Mos, L.; Mazzer, A.; Zanata, G.; Garavelli, G.; Casiglia, E. Factors associated with glomerular hyperfiltration in the early stage of hypertension. Am. J. Hypertens. 2012, 25, 1011–1016. [Google Scholar] [CrossRef]
- Chagnac, A.; Herman, M.; Zingerman, B.; Erman, A.; Rozen-Zvi, B.; Hirsh, J.; Gafter, U. Obesity-induced glomerular hyperfiltration: Its involvement in the pathogenesis of tubular sodium reabsorption. Nephrol. Dial. Transpl. 2008, 23, 3946–3952. [Google Scholar] [CrossRef]
- Maeda, I.; Hayashi, T.; Sato, K.K.; Koh, H.; Harita, N.; Nakamura, Y.; Endo, G.; Kambe, H.; Fukuda, K. Cigarette smoking and the association with glomerular hyperfiltration and proteinuria in healthy middle-aged men. Clin. J. Am. Soc. Nephrol. 2011, 6, 2462–2469. [Google Scholar] [CrossRef] [PubMed]
- Hosokawa, Y.; Yamada, Y.; Obata, Y.; Baden, M.Y.; Saisho, K.; Ihara, A.; Yamamoto, K.; Katsuragi, K.; Matsuzawa, Y. Relationship between serum cystatin C and serum adiponectin level in type 2 diabetic patients. Clin. Exp. Nephrol. 2012, 16, 399–405. [Google Scholar] [CrossRef] [PubMed]
- Pittas, A.G.; Joseph, N.A.; Greenberg, A.S. Adipocytokines and insulin resistance. J. Clin. Endocrinol. Metab. 2004, 89, 447–452. [Google Scholar] [CrossRef] [PubMed]
- Vilela, B.S.; Vasques, A.C.J.; Cassani, R.S.L.; Forti, A.C.E.; Pareja, J.C.; Tambascia, M.A.; Investigators, B.; Geloneze, B. The HOMA-Adiponectin (HOMA-AD) closely mirrors the HOMA-IR index in the screening of insulin resistance in the Brazilian Metabolic Syndrome Study (BRAMS). PLoS ONE 2016, 11, e0158751. [Google Scholar] [CrossRef]
- Dunkler, D.; Gao, P.; Lee, S.F.; Heinze, G.; Clase, C.M.; Tobe, S.; Teo, K.K.; Gerstein, H.; Mann, J.F.; Oberbauer, R. Risk prediction for early CKD in type 2 diabetes. Clin. J. Am. Soc. Nephrol. 2015, 10, 1371–1379. [Google Scholar] [CrossRef]
- Fang, W.-C.; Chou, K.-M.; Sun, C.-Y.; Lee, C.-C.; Wu, I.-W.; Chen, Y.-C.; Pan, H.-C. Thermal Perception Abnormalities Can Predict Diabetic Kidney Disease in Type 2 Diabetes Mellitus Patients. Kidney Blood Press. Res. 2020, 45, 926–938. [Google Scholar] [CrossRef]
- Atkins, R.C. The epidemiology of chronic kidney disease. Kidney Int. 2005, 67, S14–S18. [Google Scholar] [CrossRef]
- Johnson, R.J.; Nakagawa, T.; Jalal, D.; Sánchez-Lozada, L.G.; Kang, D.-H.; Ritz, E. Uric acid and chronic kidney disease: Which is chasing which? Nephrol. Dial. Transplant. 2013, 28, 2221–2228. [Google Scholar] [CrossRef]
- da Hora Passos, R.; Ramos, J.G.R.; Gobatto, A.; Mendonça, E.J.B.; Miranda, E.A.; Dutra, F.R.D.; Coelho, M.F.R.; Pedroza, A.C.; Batista, P.B.P.; Dutra, M.M.D. Lactate clearance is associated with mortality in septic patients with acute kidney injury requiring continuous renal replacement therapy: A cohort study. Medicine 2016, 95, e5112. [Google Scholar] [CrossRef]
- Ryoo, S.M.; Lee, J.; Lee, Y.-S.; Lee, J.H.; Lim, K.S.; Huh, J.W.; Hong, S.-B.; Lim, C.-M.; Koh, Y.; Kim, W.Y. Lactate level versus lactate clearance for predicting mortality in patients with septic shock defined by sepsis-3. Crit. Care Med. 2018, 46, e489–e495. [Google Scholar] [CrossRef]




| Total (n = 200) | RKFD (n = 100) | No RKFD (n = 100) | p | |
|---|---|---|---|---|
| Demographics | ||||
| Age, years | 60.00 (52.00–67.00) | 58.00 (51.50–64.50) | 60.50 (53.00–68.00) | 0.19 |
| Male gender, n | 45 (22.5%) | 20 (20.0%) | 25 (25.0%) | 0.40 |
| Hypertension, n | 50 (25.0%) | 29 (29.0%) | 21 (21.0%) | 0.19 |
| DM, n | 24 (12.0%) | 15 (15.0%) | 9 (9.0%) | 0.19 |
| CKD, n | 4 (2.0%) | 2 (2.0%) | 2 (2.0%) | 1.00 |
| Cardiovascular disease, n | 14 (7.0%) | 8 (8.0%) | 6 (6.0%) | 0.58 |
| CVA, n | 3 (1.5%) | 3 (3.0%) | 0 (0.0%) | 0.081 |
| HBV, n | 25 (12.5%) | 13 (13.0%) | 12 (12.0%) | 0.83 |
| HCV, n | 5 (2.5%) | 2 (2.0%) | 3 (3.0%) | 0.65 |
| Gout, n | 7 (3.5%) | 5 (5.0%) | 2 (2.0%) | 0.25 |
| Autoimmune disease, n | 2 (1.0%) | 2 (2.0%) | 0 (0.0%) | 0.16 |
| Metabolic syndrome | 59 (29.5%) | 38 (38.0%) | 21 (21.0%) | 0.008 |
| Biochemical and physiological profiles | ||||
| SBP, mmHg | 131.00 (119.00–141.00) | 128.50 (118.00–142.50) | 131.00 (120.50–141.00) | 0.55 |
| BMI, kg/m2 | 23.98 (22.23–26.35) | 24.16 (22.22–26.23) | 23.87 (22.25–26.87) | 0.83 |
| Central obesity, n | 86 (43.0%) | 48 (48.0%) | 38 (38.0%) | 0.15 |
| Hgb, g/dL | 13.70 (12.90–14.60) | 13.80 (12.65–14.60) | 13.70 (13.00–14.60) | 0.78 |
| Total cholesterol, mg/dL | 208.50 (191.00–230.50) | 199.50 (187.50–223.50) | 215.00 (196.00–234.50) | 0.005 |
| LDL cholesterol, mg/dL | 123.15 (105.85–146.10) | 117.80 (101.15–140.15) | 131.95 (112.20–152.40) | 0.010 |
| HDL cholesterol, mg/dL | 56.55 (47.60–66.95) | 54.70 (46.15–65.05) | 57.50 (49.20–71.60) | 0.13 |
| Triglyceride, mg/dL | 95.50 (69.00–139.00) | 93.00 (67.50–156.50) | 96.50 (69.50–130.50) | 0.57 |
| BUN, mg/dL | 12.00 (10.00–15.00) | 12.00 (10.00–15.00) | 13.00 (11.00–15.00) | 0.31 |
| Creatinine, mg/dL | 0.63 (0.55–0.76) | 0.60 (0.54–0.70) | 0.68 (0.57–0.81) | 0.001 |
| eGFR, ml/min/1.73 m2 | 101.27 (87.33–115.08) | 106.77 (91.65–123.41) | 96.24 (82.77–107.93) | <0.001 |
| Uric acid, mg/dL | 5.10 (4.30–6.10) | 5.00 (4.20–6.00) | 5.15 (4.50–6.20) | 0.38 |
| Albumin, g/dL | 4.70 (4.50–4.90) | 4.70 (4.50–4.90) | 4.70 (4.50–4.80) | 0.26 |
| GPT, U/L | 22.00 (17.00–29.50) | 22.00 (17.00–31.00) | 21.00 (17.00–28.00) | 0.37 |
| UACR, mg/g | 5.75 (3.85–9.00) | 6.35 (3.90–10.55) | 5.20 (3.85–7.95) | 0.071 |
| Fasting glucose, mg/dL | 96.00 (91.50–104.00) | 97.00 (92.00–108.00) | 95.50 (91.00–102.00) | 0.19 |
| HbA1C, % | 5.60 (5.40–6.00) | 5.60 (5.40–6.05) | 5.60 (5.40–5.95) | 0.81 |
| Insulin, μIU/ml | 5.80 (4.06–9.30) | 6.00 (4.68–9.96) | 5.20 (3.67–8.82) | 0.060 |
| HOMA-IR | 1.43 (0.92–2.42) | 1.51 (1.18–2.62) | 1.31 (0.85–2.09) | 0.026 |
| HS-CRP, mg/L | 0.94 (0.41–2.12) | 0.94 (0.40–2.05) | 0.91 (0.42–2.21) | 0.54 |
| Biomarkers | ||||
| Adiponectin, ng/ml | 5.56 (3.31–10.14) | 5.37 (3.17–9.84) | 5.56 (3.52–10.35) | 0.64 |
| Leptin, ng/mL | 12.00 (7.80–17.70) | 12.90 (8.80–18.40) | 10.90 (7.00–17.30) | 0.11 |
| Cystatin C, mg/L | 0.86 (0.75–1.02) | 0.75 (0.60–0.90) | 0.93 (0.83–1.10) | <0.001 |
| TNF-α | 6.73 (5.70–8.17) | 6.76 (6.14–8.32) | 6.62 (5.31–7.97) | 0.26 |
| Total Vitamin D | 24.29 (19.55–31.45) | 25.25 (19.16–33.07) | 24.19 (19.55–31.29) | 0.66 |
| Medication use | ||||
| OHAs, n | 22 (11.1%) | 15 (15.3%) | 7 (7.0%) | 0.063 |
| Anti-hypertensives, n | 46 (23.4%) | 27 (27.8%) | 19 (19.0%) | 0.14 |
| Painkillers, n | 28 (14.8%) | 18 (19.6%) | 10 (10.3%) | 0.073 |
| eGFR | Creatinine | UACR | Cystatin C | Leptin | Adiponectin | Total Vit. D | TNF-α | |
|---|---|---|---|---|---|---|---|---|
| eGFR | - | −0.799 *** | 0.064 | −0.488 *** | 0.014 | −0.105 | −0.246 ** | 0.088 |
| Creatine | −0.799 *** | - | −0.122 | 0.392 *** | −0.153 * | −0.055 | 0.378 *** | −0.016 |
| UACR | 0.064 | −0.122 | - | 0.010 | 0.061 | −0.005 | 0.221 * | −0.047 |
| Cystatin C | −0.488 *** | 0.392 *** | 0.010 | - | −0.013 | 0.173 * | 0.173 * | 0.087 |
| Leptin | 0.014 | −0.153 * | 0.061 | −0.013 | - | −0.061 | −0.053 | 0.052 |
| Adiponectin | −0.105 | −0.055 | −0.005 | 0.173 * | −0.061 | - | −0.014 | −0.082 |
| Total Vit. D | −0.246 ** | 0.378 *** | 0.221 * | 0.173 * | −0.053 | −0.014 | - | 0.138 |
| TNF-α | 0.088 | −0.016 | −0.047 | 0.087 | 0.052 | −0.082 | 0.138 | - |
| Total (n = 200) | Low Cystatin C (<0.82 mg/L) (n = 89) | High Cystatin C (≥0.82 mg/L) (n = 111) | p | |
|---|---|---|---|---|
| Demographics | ||||
| Age, years | 60.00 (52.00–67.00) | 55.00 (48.00–60.00) | 64.00 (55.00–70.00) | <0.001 |
| Male gender, n | 45 (22.5%) | 13 (14.6%) | 32 (28.8%) | 0.017 |
| Hypertension, n | 50 (25.0%) | 14 (15.7%) | 36 (32.4%) | 0.007 |
| DM, n | 24 (12.0%) | 11 (12.4%) | 13 (11.7%) | 0.89 |
| CKD, n | 4 (2.0%) | 0 (0.0%) | 4 (3.6%) | 0.070 |
| Cardiovascular disease, n | 14 (7.0%) | 3 (3.4%) | 11 (9.9%) | 0.072 |
| CVA, n | 3 (1.5%) | 2 (2.2%) | 1 (0.9%) | 0.44 |
| HBV, n | 25 (12.5%) | 7 (7.9%) | 18 (16.2%) | 0.076 |
| HCV, n | 5 (2.5%) | 1 (1.1%) | 4 (3.6%) | 0.26 |
| Gout, n | 7 (3.5%) | 2 (2.2%) | 5 (4.5%) | 0.39 |
| Autoimmune disease, n | 2 (1.0%) | 2 (2.2%) | 0 (0.0%) | 0.11 |
| Metabolic syndrome, n | 59 (29.5%) | 27 (30.3%) | 32 (28.8%) | 0.82 |
| Biochemical and physiological profiles | ||||
| SBP, mmHg | 131.00 (119.00–141.00) | 128.00 (117.00–140.00) | 132.00 (121.00–143.00) | 0.081 |
| BMI, kg/m2 | 23.98 (22.23–26.35) | 24.12 (21.29–26.25) | 23.94 (22.43–26.67) | 0.36 |
| Overweight (BMI >24), n | 99 (49.5%) | 46 (51.7%) | 53 (47.7%) | 0.58 |
| Central obesity, n | 86 (43.0%) | 33 (37.1%) | 53 (47.7%) | 0.13 |
| Hgb, g/dL | 13.70 (12.90–14.60) | 13.70 (12.90–14.40) | 13.70 (12.90–14.70) | 0.54 |
| Total cholesterol, mg/dL | 208.50 (191.00–230.50) | 207.00 (191.00–230.00) | 210.00 (191.00–233.00) | 0.92 |
| LDL cholesterol, mg/dL | 123.15 (105.85–146.10) | 119.40 (102.90–146.60) | 123.20 (109.00–145.90) | 0.64 |
| HDL cholesterol, mg/dL | 56.55 (47.60–66.95) | 56.50 (47.10–66.70) | 56.60 (47.80–68.20) | 0.79 |
| Triglyceride, mg/dL | 95.50 (69.00–139.00) | 93.00 (67.00–155.00) | 96.00 (70.00–132.00) | 0.74 |
| BUN, mg/dL | 12.00 (10.00–15.00) | 12.00 (9.00–14.00) | 13.00 (11.00–16.00) | 0.004 |
| Creatinine, mg/dL | 0.63 (0.55–0.76) | 0.59 (0.54–0.66) | 0.71 (0.57–0.82) | <0.001 |
| eGFR, ml/min/1.73 m2 | 101.27 (87.33–115.08) | 106.93 (97.66–123.31) | 93.50 (78.15–109.51) | <0.001 |
| Uric acid, mg/dL | 5.10 (4.30–6.10) | 4.70 (4.20–5.90) | 5.30 (4.50–6.30) | 0.018 |
| Albumin, g/dL | 4.70 (4.50–4.90) | 4.80 (4.60–4.90) | 4.60 (4.40–4.80) | <0.001 |
| GPT, U/L | 22.00 (17.00–29.50) | 21.00 (16.00–30.00) | 22.00 (18.00–28.00) | 0.37 |
| UACR, mg/g | 5.75 (3.85–9.00) | 5.90 (4.20–9.90) | 5.60 (3.70–8.20) | 0.21 |
| Fasting glucose, mg/dL | 96.00 (91.50–104.00) | 96.00 (92.00–104.00) | 96.00 (91.00–104.00) | 0.93 |
| HbA1C, % | 5.60 (5.40–6.00) | 5.60 (5.40–6.00) | 5.70 (5.40–6.00) | 0.32 |
| Insulin, μIU/ml | 5.80 (4.06–9.30) | 5.74 (4.28–9.87) | 5.95 (3.89–9.13) | 0.96 |
| HOMA-IR | 1.43 (0.92–2.42) | 1.41 (0.98–2.45) | 1.46 (0.90–2.39) | 1.00 |
| HS-CRP, mg/L | 0.94 (0.41–2.12) | 0.72 (0.35–1.83) | 1.05 (0.50–2.32) | 0.093 |
| Biomarkers | ||||
| Adiponectin, ng/ml | 5.56 (3.31–10.14) | 4.34 (2.57–8.26) | 6.66 (3.93–10.60) | 0.002 |
| Leptin, ng/mL | 12.00 (7.80–17.70) | 12.60 (8.10–18.50) | 11.10 (7.60–17.20) | 0.35 |
| Cystatin C, mg/L | 0.86 (0.75–1.02) | 0.73 (0.56–0.79) | 1.00 (0.89–1.11) | <0.001 |
| TNF-α, pg/mL | 6.73 (5.70–8.17) | 6.55 (5.18–7.78) | 7.18 (5.73–8.59) | 0.067 |
| Total Vitamin D, ng/mL | 24.29 (19.55–31.45) | 23.20 (17.87–28.58) | 25.71 (22.09–33.92) | 0.028 |
| Medication use | ||||
| OHAs, n | 22 (11.1%) | 10 (11.2%) | 12 (11.0%) | 0.96 |
| Anti-hypertensives, n | 46 (23.4%) | 12 (13.5%) | 34 (31.5%) | 0.003 |
| Painkillers, n | 28 (14.8%) | 14 (16.5%) | 14 (13.5%) | 0.56 |
| Outcome | ||||
| RKFD, n | 100 (50.0%) | 65 (73.0%) | 35 (31.5%) | <0.001 |
| Parameter | Beta Coefficient | Standard Error | Odds Ratios (95% CI) | p-Value |
|---|---|---|---|---|
| Univariable Analysis | ||||
| Age, per 10 years | −0.18 | 0.14 | 0.84 (0.64, 1.09) | 0.190 |
| Male | −0.29 | 0.34 | 0.75 (0.38, 1.46) | 0.398 |
| Hypertension | 0.43 | 0.33 | 1.54 (0.80, 2.93) | 0.193 |
| DM | 0.58 | 0.45 | 1.78 (0.74, 4.29) | 0.196 |
| CKD | 0.00 | 1.01 | 1.00 (0.14, 7.24) | 1.000 |
| Cardiovascular disease | 0.31 | 0.56 | 1.36 (0.45, 4.08) | 0.581 |
| HBV | 0.09 | 0.43 | 1.10 (0.47, 2.53) | 0.831 |
| HCV | −0.42 | 0.92 | 0.66 (0.11, 4.04) | 0.653 |
| Gout | 0.95 | 0.85 | 2.58 (0.49, 13.62) | 0.264 |
| Metabolic syndrome | 0.84 | 0.32 | 2.31 (1.23, 4.32) | 0.009 |
| Overweight (BMI > 24) | 0.36 | 0.28 | 1.43 (0.82, 2.50) | 0.204 |
| Central obesity | 0.41 | 0.29 | 1.51 (0.86, 2.64) | 0.154 |
| Hgb, per 1 g/dL | −0.05 | 0.10 | 0.95 (0.78, 1.17) | 0.635 |
| Total cholesterol, per 10 mg/dL | −0.11 | 0.04 | 0.90 (0.83, 0.98) | 0.011 |
| LDL cholesterol, per 10 mg/dL | −0.12 | 0.05 | 0.89 (0.81, 0.98) | 0.015 |
| HDL cholesterol, per 10 mg/dL | −0.15 | 0.10 | 0.86 (0.72, 1.04) | 0.130 |
| Triglyceride, per 10 mg/dL | 0.03 | 0.02 | 1.03 (0.98, 1.07) | 0.235 |
| BUN, per 1 mg/dL | −0.05 | 0.04 | 0.95 (0.88, 1.03) | 0.216 |
| Creatinine, per 1 mg/dL | −2.76 | 0.98 | 0.06 (0.01, 0.44) | 0.005 |
| eGFR, per 10 mL/min/1.73 m2 | 0.26 | 0.07 | 1.29 (1.12, 1.49) | <0.001 |
| Uric acid, per 1 mg/dL | −0.08 | 0.12 | 0.93 (0.74, 1.17) | 0.514 |
| Albumin, per 1 g/dL | 0.51 | 0.54 | 1.66 (0.58, 4.78) | 0.349 |
| GPT, per 10 U/L | 0.03 | 0.06 | 1.03 (0.91, 1.15) | 0.676 |
| UACR, per 1 mg/g | 0.05 | 0.03 | 1.05 (0.99, 1.12) | 0.093 |
| Fasting glucose, per 10 mg/dL | 0.13 | 0.07 | 1.14 (0.99, 1.31) | 0.074 |
| HbA1C, per 1% | 0.34 | 0.20 | 1.40 (0.95, 2.07) | 0.091 |
| Insulin, per 10 μIU/mL | 0.43 | 0.29 | 1.54 (0.87, 2.72) | 0.140 |
| Adiponectin, per 10 ng/mL | 0.07 | 0.26 | 1.07 (0.64, 1.80) | 0.800 |
| Leptin, per 10 ng/mL | 0.23 | 0.18 | 1.25 (0.88, 1.79) | 0.216 |
| HOMA-IR | 0.14 | 0.10 | 1.15 (0.95, 1.39) | 0.142 |
| Cystatin C, low vs. high | 1.77 | 0.31 | 5.88 (3.18, 10.89) | <0.001 |
| HS-CRP, per 10 mg/L | −0.15 | 0.38 | 0.86 (0.41, 1.83) | 0.698 |
| OHA use | 0.88 | 0.48 | 2.40 (0.93, 6.18) | 0.069 |
| Anti-hypertensive use | 0.50 | 0.34 | 1.64 (0.84, 3.21) | 0.145 |
| Painkiller use | 0.75 | 0.42 | 2.12 (0.92, 4.87) | 0.078 |
| Vegetarian | −0.06 | 0.37 | 0.94 (0.46, 1.96) | 0.878 |
| Multivariable analysis | ||||
| eGFR, per 10 mL/min/1.73 m2 | 0.34 | 0.14 | 1.40 (1.06, 1.85) | 0.018 |
| Cystatin C, low vs. high a | 3.01 | 0.59 | 20.35 (6.44, 64.29) | <0.001 |
Publisher’s Note: MDPI stays neutral with regard to jurisdictional claims in published maps and institutional affiliations. |
© 2022 by the authors. Licensee MDPI, Basel, Switzerland. This article is an open access article distributed under the terms and conditions of the Creative Commons Attribution (CC BY) license (https://creativecommons.org/licenses/by/4.0/).
Share and Cite
Fang, W.-C.; Chen, H.-Y.; Chu, S.-C.; Wang, P.-H.; Lee, C.-C.; Wu, I.-W.; Sun, C.-Y.; Hsu, H.-J.; Chen, C.-Y.; Chen, Y.-C.; et al. Serum Cystatin C Levels Could Predict Rapid Kidney Function Decline in A Community-Based Population. Biomedicines 2022, 10, 2789. https://doi.org/10.3390/biomedicines10112789
Fang W-C, Chen H-Y, Chu S-C, Wang P-H, Lee C-C, Wu I-W, Sun C-Y, Hsu H-J, Chen C-Y, Chen Y-C, et al. Serum Cystatin C Levels Could Predict Rapid Kidney Function Decline in A Community-Based Population. Biomedicines. 2022; 10(11):2789. https://doi.org/10.3390/biomedicines10112789
Chicago/Turabian StyleFang, Wei-Ching, Hsing-Yu Chen, Shao-Chi Chu, Po-Hsi Wang, Chin-Chan Lee, I-Wen Wu, Chiao-Yin Sun, Heng-Jung Hsu, Chun-Yu Chen, Yung-Chang Chen, and et al. 2022. "Serum Cystatin C Levels Could Predict Rapid Kidney Function Decline in A Community-Based Population" Biomedicines 10, no. 11: 2789. https://doi.org/10.3390/biomedicines10112789
APA StyleFang, W.-C., Chen, H.-Y., Chu, S.-C., Wang, P.-H., Lee, C.-C., Wu, I.-W., Sun, C.-Y., Hsu, H.-J., Chen, C.-Y., Chen, Y.-C., Wu, V.-C., & Pan, H.-C. (2022). Serum Cystatin C Levels Could Predict Rapid Kidney Function Decline in A Community-Based Population. Biomedicines, 10(11), 2789. https://doi.org/10.3390/biomedicines10112789

