Combinatorial Virtual Screening Revealed a Novel Scaffold for TNKS Inhibition to Combat Colorectal Cancer
Abstract
:1. Introduction
2. Materials and Methods
2.1. Data Set Preparation
2.2. Pharmacophore-Based VS
2.3. Structure-Based VS
2.4. MD Simulations
2.5. Compound Similarity
2.6. The Source of Compounds
2.7. Cell Culture
2.8. TNKS-1 Activity Assay
2.9. SuperTopFlash Reporter Assay
2.10. Western Blot
2.11. Colony Formation Assay
2.12. Statistical Analysis
3. Results
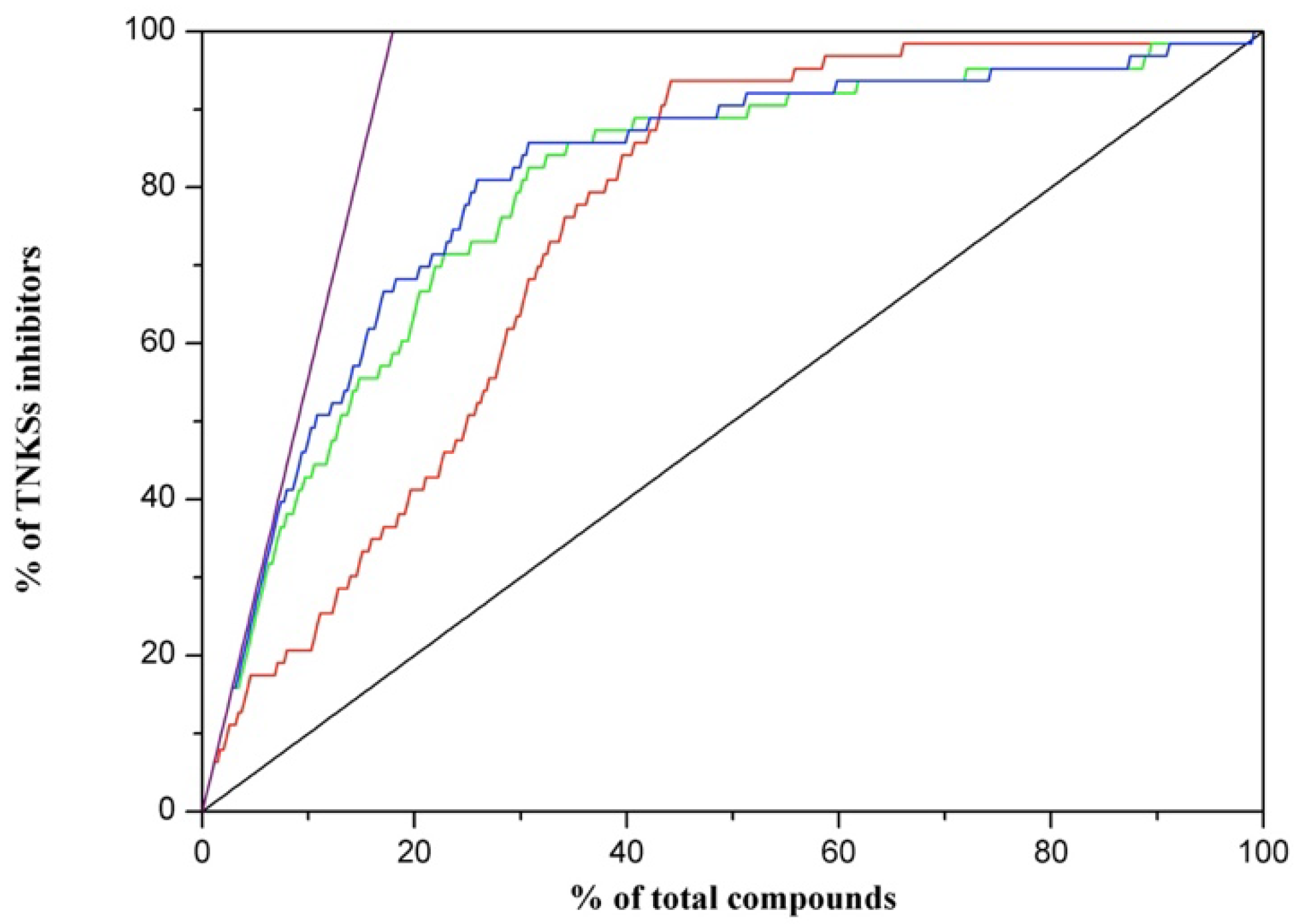
3.1. Structure-Based Pharmacophore VS
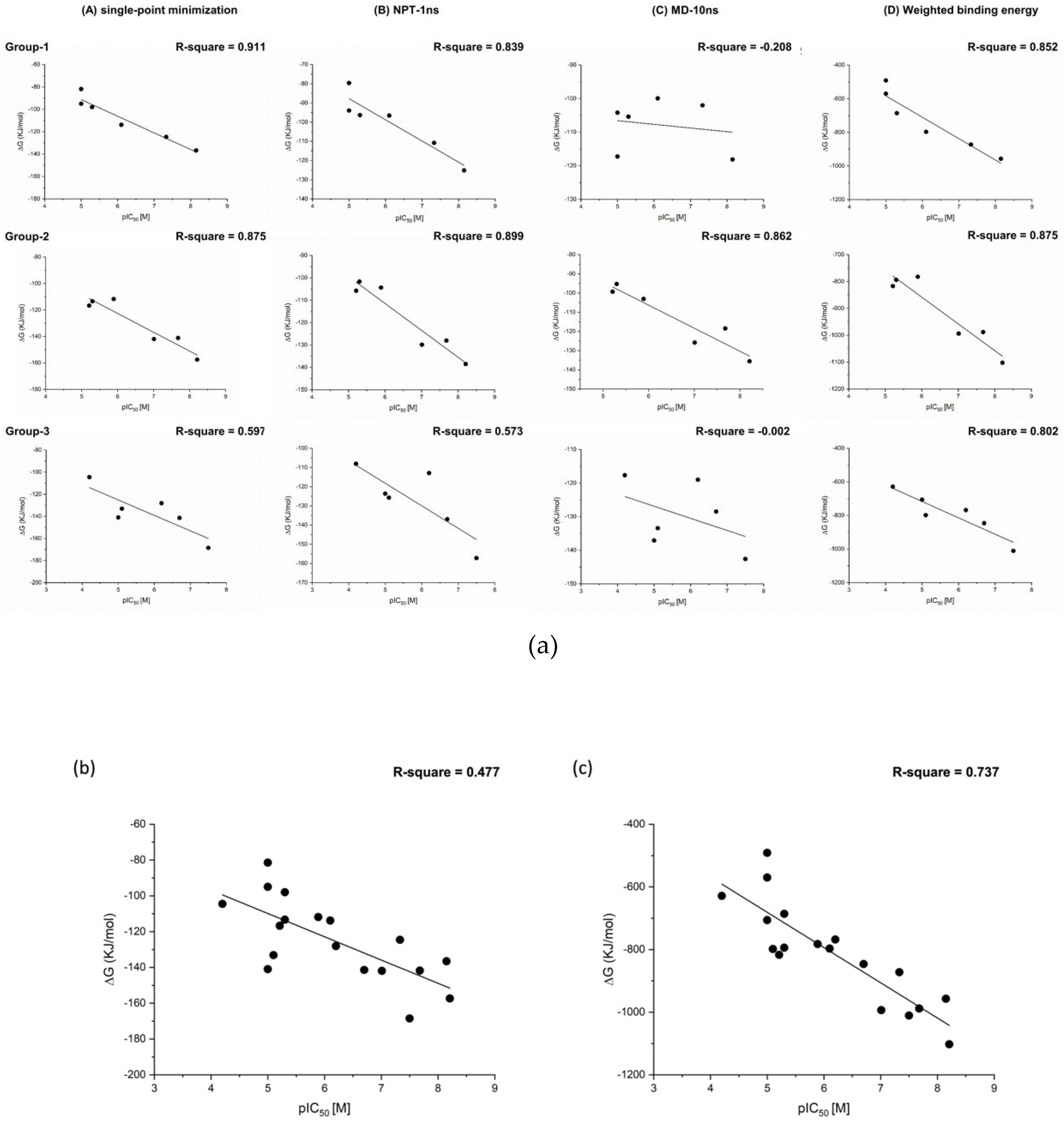
3.2. Binding Free Energy Calculation Applied to Improve Correlation Coefficient
3.3. The Compositive VS Model Applied for New Scaffold Screening
3.4. Inhibition of TNKS-1 and Wnt Signaling Test
3.5. NSC319963 Inhibits Cell Growth on Colony Formation in CRC Cell Lines
4. Discussion
5. Conclusions
Supplementary Materials
Author Contributions
Funding
Institutional Review Board Statement
Informed Consent Statement
Data Availability Statement
Acknowledgments
Conflicts of Interest
References
- Sung, H.; Ferlay, J.; Siegel, R.L.; Laversanne, M.; Soerjomataram, I.; Jemal, A.; Bray, F. Global Cancer Statistics 2020: GLOBOCAN Estimates of Incidence and Mortality Worldwide for 36 Cancers in 185 Countries. CA Cancer J. Clin. 2021, 71, 209–249. [Google Scholar] [CrossRef]
- MacDonald, B.T.; Tamai, K.; He, X. Wnt/beta-catenin signaling: Components, mechanisms, and diseases. Dev. Cell 2009, 17, 9–26. [Google Scholar] [CrossRef] [PubMed] [Green Version]
- Krishnamurthy, N.; Kurzrock, R. Targeting the Wnt/beta-catenin pathway in cancer: Update on effectors and inhibitors. Cancer Treat. Rev. 2018, 62, 50–60. [Google Scholar] [CrossRef] [PubMed]
- Dekker, E.; Tanis, P.J.; Vleugels, J.L.A.; Kasi, P.M.; Wallace, M.B. Colorectal cancer. Lancet 2019, 394, 1467–1480. [Google Scholar] [CrossRef]
- Markowitz, S.D.; Bertagnolli, M.M. Molecular origins of cancer: Molecular basis of colorectal cancer. N. Engl. J. Med. 2009, 361, 2449–2460. [Google Scholar] [CrossRef] [Green Version]
- Mariotti, L.; Pollock, K.; Guettler, S. Regulation of Wnt/β-catenin signalling by tankyrase-dependent poly(ADP-ribosyl)ation and scaffolding. Br. J. Pharmacol. 2017, 174, 4611–4636. [Google Scholar] [CrossRef] [PubMed] [Green Version]
- Reya, T.; Clevers, H. Wnt signalling in stem cells and cancer. Nature 2005, 434, 843–850. [Google Scholar] [CrossRef] [PubMed]
- Schreiber, V.; Dantzer, F.; Ame, J.-C.; de Murcia, G. Poly(ADP-ribose): Novel functions for an old molecule. Nat. Rev. Mol. Cell. Biol. 2006, 7, 517–528. [Google Scholar] [CrossRef]
- Lupo, B.; Trusolino, L. Inhibition of poly(ADP-ribosyl)ation in cancer: Old and new paradigms revisited. Biochim. Biophys. Acta 2014, 1846, 201–215. [Google Scholar] [CrossRef] [Green Version]
- Liu, C.; Takada, K.; Zhu, D. Targeting Wnt/β-Catenin Pathway for Drug Therapy. Med. Drug Discov. 2020, 8, 100066. [Google Scholar] [CrossRef]
- Thomson, D.W.; Wagner, A.J.; Bantscheff, M.; Benson, R.E.; Dittus, L.; Duempelfeld, B.; Drewes, G.; Krause, J.; Moore, J.T.; Mueller, K.; et al. Discovery of a Highly Selective Tankyrase Inhibitor Displaying Growth Inhibition Effects against a Diverse Range of Tumor Derived Cell Lines. J. Med. Chem. 2017, 60, 5455–5471. [Google Scholar] [CrossRef] [PubMed]
- Huang, S.M.; Mishina, Y.M.; Liu, S.; Cheung, A.; Stegmeier, F.; Michaud, G.A.; Charlat, O.; Wiellette, E.; Zhang, Y.; Wiessner, S.; et al. Tankyrase inhibition stabilizes axin and antagonizes Wnt signalling. Nature 2009, 461, 614–620. [Google Scholar] [CrossRef] [PubMed]
- Waltenberger, B.; Garscha, U.; Temml, V.; Liers, J.; Werz, O.; Schuster, D.; Stuppner, H. Discovery of Potent Soluble Epoxide Hydrolase (sEH) Inhibitors by Pharmacophore-Based Virtual Screening. J. Chem. Inf. Model. 2016, 56, 747–762. [Google Scholar] [CrossRef]
- Horoiwa, S.; Yokoi, T.; Masumoto, S.; Minami, S.; Ishizuka, C.; Kishikawa, H.; Ozaki, S.; Kitsuda, S.; Nakagawa, Y.; Miyagawa, H. Structure-based virtual screening for insect ecdysone receptor ligands using MM/PBSA. Bioorg. Med. Chem. 2019, 27, 1065–1075. [Google Scholar] [CrossRef] [PubMed]
- Lin, T.E.; HuangFu, W.-C.; Chao, M.-W.; Sung, T.-Y.; Chang, C.-D.; Chen, Y.-Y.; Hsieh, J.-H.; Tu, H.-J.; Huang, H.-L.; Pan, S.-L.; et al. A Novel Selective JAK2 Inhibitor Identified Using Pharmacological Interactions. Front. Pharmacol. 2018, 9, 1379. [Google Scholar] [CrossRef]
- Gibbons, G.S.; Chakraborty, A.; Grigsby, S.M.; Umeano, A.C.; Liao, C.; Moukha-Chafiq, O.; Pathak, V.; Mathew, B.; Lee, Y.T.; Dou, Y.; et al. Identification of DOT1L inhibitors by structure-based virtual screening adapted from a nucleoside-focused library. Eur. J. Med. Chem. 2020, 189, 112023. [Google Scholar] [CrossRef]
- Moser, D.; Achenbach, J.; Klingler, F.M.; Estella, B.; Hahn, S.; Proschak, E. Evaluation of structure-derived pharmacophore of soluble epoxide hydrolase inhibitors by virtual screening. Bioorg. Med. Chem. Lett. 2012, 22, 6762–6765. [Google Scholar] [CrossRef]
- Zhu, T.; Cao, S.; Su, P.C.; Patel, R.; Shah, D.; Chokshi, H.B.; Szukala, R.; Johnson, M.E.; Hevener, K.E. Hit identification and optimization in virtual screening: Practical recommendations based on a critical literature analysis. J. Med. Chem. 2013, 56, 6560–6572. [Google Scholar] [CrossRef] [Green Version]
- Kumari, R.; Kumar, R.; Open Source Drug Discovery Consortium; Lynn, A. g_mmpbsa—A GROMACS tool for high-throughput MM-PBSA calculations. J. Chem. Inf. Model. 2014, 54, 1951–1962. [Google Scholar] [CrossRef] [PubMed]
- Jiang, S.J.; Liou, J.W.; Chang, C.C.; Chung, Y.; Lin, L.F.; Hsu, H.J. Peptides derived from CXCL8 based on in silico analysis inhibit CXCL8 interactions with its receptor CXCR1. Sci. Rep. 2015, 5, 18638. [Google Scholar] [CrossRef] [Green Version]
- Jiang, S.J.; Tsai, P.I.; Peng, S.Y.; Chang, C.C.; Chung, Y.; Tsao, H.H.; Huang, H.T.; Chen, S.Y.; Hsu, H.J. A potential peptide derived from cytokine receptors can bind proinflammatory cytokines as a therapeutic strategy for anti-inflammation. Sci. Rep. 2019, 9, 2317. [Google Scholar] [CrossRef] [PubMed] [Green Version]
- Chang, C.-C.; Liou, J.-W.; Dass, K.T.P.; Li, Y.-T.; Jiang, S.-J.; Pan, S.-F.; Yeh, Y.-C.; Hsu, H.-J. Internal water channel formation in CXCR4 is crucial for Gi-protein coupling upon activation by CXCL12. Commun. Chem. 2020, 3, 133. [Google Scholar] [CrossRef]
- Muegge, I.; Mukherjee, P. An overview of molecular fingerprint similarity search in virtual screening. Exp. Opin. Drug Discov. 2016, 11, 137–148. [Google Scholar] [CrossRef] [PubMed]
- Vogt, M.; Stumpfe, D.; Geppert, H.; Bajorath, J. Scaffold hopping using two-dimensional fingerprints: True potential, black magic, or a hopeless endeavor? Guidelines for virtual screening. J. Med. Chem. 2010, 53, 5707–5715. [Google Scholar] [CrossRef] [PubMed]
- Peach, M.L.; Nicklaus, M.C. Combining docking with pharmacophore filtering for improved virtual screening. J. Cheminform. 2009, 1, 6. [Google Scholar] [CrossRef] [PubMed] [Green Version]
- Genheden, S.; Ryde, U. The MM/PBSA and MM/GBSA methods to estimate ligand-binding affinities. Exp. Opin. Drug Discov. 2015, 10, 449–461. [Google Scholar] [CrossRef]
- Rastelli, G.; Del Rio, A.; Degliesposti, G.; Sgobba, M. Fast and accurate predictions of binding free energies using MM-PBSA and MM-GBSA. J. Comput. Chem. 2010, 31, 797–810. [Google Scholar] [CrossRef]
- Cheng, T.; Li, Q.; Zhou, Z.; Wang, Y.; Bryant, S.H. Structure-based virtual screening for drug discovery: A problem-centric review. AAPS J. 2012, 14, 133–141. [Google Scholar] [CrossRef] [Green Version]
- Kim, D.Y.; Ryu, C.G.; Jung, E.J.; Paik, J.H.; Hwang, D.Y. Brain metastasis from colorectal cancer: A single center experience. Ann. Surg. Treat. Res. 2018, 94, 13–18. [Google Scholar] [CrossRef] [PubMed]
- Narwal, M.; Koivunen, J.; Haikarainen, T.; Obaji, E.; Legala, O.E.; Venkannagari, H.; Joensuu, P.; Pihlajaniemi, T.; Lehtio, L. Discovery of tankyrase inhibiting flavones with increased potency and isoenzyme selectivity. J. Med. Chem. 2013, 56, 7880–7889. [Google Scholar] [CrossRef] [PubMed]
- Shultz, M.D.; Kirby, C.A.; Stams, T.; Chin, D.N.; Blank, J.; Charlat, O.; Cheng, H.; Cheung, A.; Cong, F.; Feng, Y.; et al. [1,2,4]triazol-3-ylsulfanylmethyl)-3-phenyl-[1,2,4]oxadiazoles: Antagonists of the Wnt pathway that inhibit tankyrases 1 and 2 via novel adenosine pocket binding. J. Med. Chem. 2012, 55, 1127–1136. [Google Scholar] [CrossRef] [PubMed]
- Cadigan, K.M.; Waterman, M.L. TCF/LEFs and Wnt signaling in the nucleus. Cold Spring Harbor Perspect. Biol. 2012, 4, a007906. [Google Scholar] [CrossRef] [PubMed]
- Veeman, M.T.; Slusarski, D.C.; Kaykas, A.; Louie, S.H.; Moon, R.T. Zebrafish prickle, a modulator of noncanonical Wnt/Fz signaling, regulates gastrulation movements. Curr. Biol. 2003, 13, 680–685. [Google Scholar] [CrossRef] [Green Version]
- Tanaka, N.; Mashima, T.; Mizutani, A.; Sato, A.; Aoyama, A.; Gong, B.; Yoshida, H.; Muramatsu, Y.; Nakata, K.; Matsuura, M.; et al. APC Mutations as a Potential Biomarker for Sensitivity to Tankyrase Inhibitors in Colorectal Cancer. Mol. Cancer Ther. 2017, 16, 752–762. [Google Scholar] [CrossRef] [Green Version]
- Newton, A.S.; Faver, J.C.; Micevic, G.; Muthusamy, V.; Kudalkar, S.N.; Bertoletti, N.; Anderson, K.S.; Bosenberg, M.W.; Jorgensen, W.L. Structure-Guided Identification of DNMT3B Inhibitors. ACS Med. Chem. Lett. 2020, 11, 971–976. [Google Scholar] [CrossRef] [PubMed]
- Fratev, F.; Miranda-Arango, M.; Lopez, A.B.; Padilla, E.; Sirimulla, S. Discovery of GlyT2 Inhibitors Using Structure-Based Pharmacophore Screening and Selectivity Studies by FEP+ Calculations. ACS Med. Chem. Lett. 2019, 10, 904–910. [Google Scholar] [CrossRef] [PubMed]
- Nkizinkiko, Y.; Suneel Kumar, B.V.S.; Jeankumar, V.U.; Haikarainen, T.; Koivunen, J.; Madhuri, C.; Yogeeswari, P.; Venkannagari, H.; Obaji, E.; Pihlajaniemi, T.; et al. Discovery of potent and selective nonplanar tankyrase inhibiting nicotinamide mimics. Bioorg. Med. Chem. 2015, 23, 4139–4149. [Google Scholar] [CrossRef]
- Zhan, T.; Rindtorff, N.; Boutros, M. Wnt signaling in cancer. Oncogene 2017, 36, 1461–1473. [Google Scholar] [CrossRef]
- Pohl, S.G.; Brook, N.; Agostino, M.; Arfuso, F.; Kumar, A.P.; Dharmarajan, A. Wnt signaling in triple-negative breast cancer. Oncogenesis 2017, 6, e310. [Google Scholar] [CrossRef] [Green Version]
- He, L.; Zhu, H.; Zhou, S.; Wu, T.; Wu, H.; Yang, H.; Mao, H.; Sekhar Kathera, C.; Janardhan, A.; Edick, A.M.; et al. Wnt pathway is involved in 5-FU drug resistance of colorectal cancer cells. Exp. Mol. Med. 2018, 50, 1–12. [Google Scholar] [CrossRef] [Green Version]
- Kirby, C.A.; Cheung, A.; Fazal, A.; Shultz, M.D.; Stams, T. Structure of human tankyrase 1 in complex with small-molecule inhibitors PJ34 and XAV939. Acta Crystallogr. Sect. F Struct. Biol. Cryst. Commun. 2012, 68, 115–118. [Google Scholar] [CrossRef] [PubMed] [Green Version]
- Thorsell, A.G.; Ekblad, T.; Karlberg, T.; Low, M.; Pinto, A.F.; Tresaugues, L.; Moche, M.; Cohen, M.S.; Schuler, H. Structural Basis for Potency and Promiscuity in Poly(ADP-ribose) Polymerase (PARP) and Tankyrase Inhibitors. J. Med. Chem. 2017, 60, 1262–1271. [Google Scholar] [CrossRef] [PubMed]
- Shultz, M.D.; Majumdar, D.; Chin, D.N.; Fortin, P.D.; Feng, Y.; Gould, T.; Kirby, C.A.; Stams, T.; Waters, N.J.; Shao, W. Structure-efficiency relationship of [1,2,4]triazol-3-ylamines as novel nicotinamide isosteres that inhibit tankyrases. J. Med. Chem. 2013, 56, 7049–7059. [Google Scholar] [CrossRef] [PubMed]
- Elliott, R.J.R.; Jarvis, A.; Rajasekaran, M.B.; Menon, M.; Bowers, L.; Boffey, R.; Bayford, M.; Firth-Clark, S.; Key, R.; Aqil, R.; et al. Design and discovery of 3-aryl-5-substituted-isoquinolin-1-ones as potent tankyrase inhibitors. Med. Chem. Commun. 2015, 6, 1687–1692. [Google Scholar] [CrossRef]
- Wahlberg, E.; Karlberg, T.; Kouznetsova, E.; Markova, N.; Macchiarulo, A.; Thorsell, A.G.; Pol, E.; Frostell, Å.; Ekblad, T.; Öncü, D.; et al. Family-wide chemical profiling and structural analysis of PARP and tankyrase inhibitors. Nat. Biotechnol. 2012, 30, 283–288. [Google Scholar] [CrossRef]
- Haikarainen, T.; Narwal, M.; Joensuu, P.; Lehtiö, L. Evaluation and Structural Basis for the Inhibition of Tankyrases by PARP Inhibitors. ACS Med. Chem. Lett. 2014, 5, 18–22. [Google Scholar] [CrossRef] [Green Version]
- Narwal, M.; Haikarainen, T.; Fallarero, A.; Vuorela, P.M.; Lehtiö, L. Screening and structur-al analysis of flavones inhibiting tankyrases. J. Med. Chem. 2013, 56, 3507–3517. [Google Scholar] [CrossRef]
- Shirai, F.; Tsumura, T.; Yashiroda, Y.; Yuki, H.; Niwa, H.; Sato, S.; Chikada, T.; Koda, Y.; Washizuka, K.; Yoshimoto, N.; et al. Discovery of Novel Spiroindoline Derivatives as Se-lective Tankyrase Inhibitors. J. Med. Chem. 2019, 62, 3407–3427. [Google Scholar] [CrossRef]
- Kumpan, K.; Nathubhai, A.; Zhang, C.; Wood, P.J.; Lloyd, M.D.; Thompson, A.S.; Haikarainen, T.; Lehtio, L.; Threadgill, M.D. Structure-based design, synthesis and evalua-tion in vitro of arylnaphthyridinones, arylpyridopyrimidinones and their tetrahydro deriv-atives as inhibitors of the tankyrases. Bioorg. Med. Chem. 2015, 23, 3013–3032. [Google Scholar] [CrossRef] [Green Version]









| Pharmacophore | Frequency | |
|---|---|---|
| F1 | Donor | 7/10 | 
| F2 | Acceptor | 10/10 a | 
| F3 | Aromatic | 10/10 a | 
| F4 | Aromatic or Hydrophobic | 9/10 | 
| F5 | Aromatic or Hydrophobic | 6/10 | 
| Search hit, at least 4 hits, 2 Essential + 2 Others | ||
| Top (%) | Random (%) | Docking (%) | Binding Energy (%) | Weighted Binding Energy (Docking-Based) (%) | Ideal (%) | 
|---|---|---|---|---|---|
| 1.00 | 1.14 | 6.35 | 6.35 | 6.35 | 6.35 | 
| 5.00 | 5.13 | 17.46 | 25.40 | 26.98 | 28.57 | 
| 10.00 | 10.23 | 20.63 | 42.86 | 49.21 | 57.14 | 
| 15.00 | 15.10 | 33.33 | 55.56 | 58.73 | 84.12 | 
| 18.00 | 17.95 | 36.51 | 58.73 | 66.67 | 100.00 | 
| NSC ID | Predicted pIC50 a | Weighted Binding Energy (Docking-Based) b | Weighted Binding Energy (Minimization-Based) c | |
|---|---|---|---|---|
| 1 | 123012 | 6.23 | −333.97 | −819.40 | 
| 2 | 295092 | 6.52 | −321.65 | −852.57 | 
| 3 | 401309 | 6.53 | −313.99 | −853.66 | 
| 4 | 158478 | 6.27 | −312.32 | −823.95 | 
| 5 | 12375 | 5.52 | −307.31 | −739.31 | 
| 6 | 345683 | 5.57 | −304.95 | −745.41 | 
| 7 | 188041 | 7.03 | −303.33 | −909.31 | 
| 8 | 400085 | 6.26 | −301.18 | −823.19 | 
| 9 | 319963 | 6.73 | −300.46 | −875.90 | 
| 10 | 102371 | 6.99 | −299.06 | −905.23 | 
| 11 | 315247 | 7.07 | −298.22 | −914.52 | 
| 12 | 670437 | 9.06 | −295.86 | −1138.15 | 
| 13 | 670428 | 9.18 | −295.52 | −1151.59 | 
| 14 | 121291 | 4.58 | −289.87 | −633.33 | 
| 15 | 102045 d | 6.63 | −289.48 | −864.12 | 
| Compound | Pred pIC50 b | % of Inhibition at 10 μM | pIC50 | |||
|---|---|---|---|---|---|---|
| TNKS-1 c | TCF-Reporter | TNKS-1 | TCF-Reporter | |||
| 1 | XAV939 a | 102.34 | 74.73 ± 2.52 | 8.45 ± 0.29 | 6.85 ± 0.06 | |
| 2 | NSC670437 | 9.06 | −7.33 | nd | nd | nd | 
| 3 | NSC670428 | 9.18 | 5.52 | nd | nd | nd | 
| 4 | NSC401309 | 6.54 | 20.14 | nd | nd | nd | 
| 5 | NSC400085 | 6.54 | 16.29 | nd | nd | nd | 
| 6 | NSC319963 | 6.73 | 100.75 | 73.47 ± 6.02 | 7.66 ± 0.05 | 5.45 ± 0.06 | 
| 7 | NSC315247 | 7.07 | 60.07 | −15.93 ± 28.86 | nd | nd | 
| 8 | NSC295092 | 6.53 | 102.09 | 55.33 ± 1.51 | 7.18 ± 0.05 | 5.11 ± 0.05 | 
| 9 | NSC188041 | 7.03 | 11.84 | nd | nd | nd | 
| 10 | NSC158478 | 6.26 | −8.19 | nd | nd | nd | 
| 11 | NSC123012 | 6.24 | 50.92 | 45.23 ± 19.02 | nd | nd | 
| 12 | NSC102371 | 6.99 | 88.54 | −23.67 ± 11.01 | nd | nd | 
| Publisher’s Note: MDPI stays neutral with regard to jurisdictional claims in published maps and institutional affiliations. | 
© 2022 by the authors. Licensee MDPI, Basel, Switzerland. This article is an open access article distributed under the terms and conditions of the Creative Commons Attribution (CC BY) license (https://creativecommons.org/licenses/by/4.0/).
Share and Cite
Chang, C.-C.; Pan, S.-F.; Wu, M.-H.; Cheng, C.-T.; Su, Y.-R.; Jiang, S.-J.; Hsu, H.-J. Combinatorial Virtual Screening Revealed a Novel Scaffold for TNKS Inhibition to Combat Colorectal Cancer. Biomedicines 2022, 10, 143. https://doi.org/10.3390/biomedicines10010143
Chang C-C, Pan S-F, Wu M-H, Cheng C-T, Su Y-R, Jiang S-J, Hsu H-J. Combinatorial Virtual Screening Revealed a Novel Scaffold for TNKS Inhibition to Combat Colorectal Cancer. Biomedicines. 2022; 10(1):143. https://doi.org/10.3390/biomedicines10010143
Chicago/Turabian StyleChang, Chun-Chun, Sheng-Feng Pan, Min-Huang Wu, Chun-Tse Cheng, Yan-Rui Su, Shinn-Jong Jiang, and Hao-Jen Hsu. 2022. "Combinatorial Virtual Screening Revealed a Novel Scaffold for TNKS Inhibition to Combat Colorectal Cancer" Biomedicines 10, no. 1: 143. https://doi.org/10.3390/biomedicines10010143
APA StyleChang, C.-C., Pan, S.-F., Wu, M.-H., Cheng, C.-T., Su, Y.-R., Jiang, S.-J., & Hsu, H.-J. (2022). Combinatorial Virtual Screening Revealed a Novel Scaffold for TNKS Inhibition to Combat Colorectal Cancer. Biomedicines, 10(1), 143. https://doi.org/10.3390/biomedicines10010143
 
         
                                                

 
       