A Biological-Based Photovoltaic Electrochemical Cell: Modelling the Impedance Spectra
Abstract
1. Introduction
2. Experiments
3. Theory
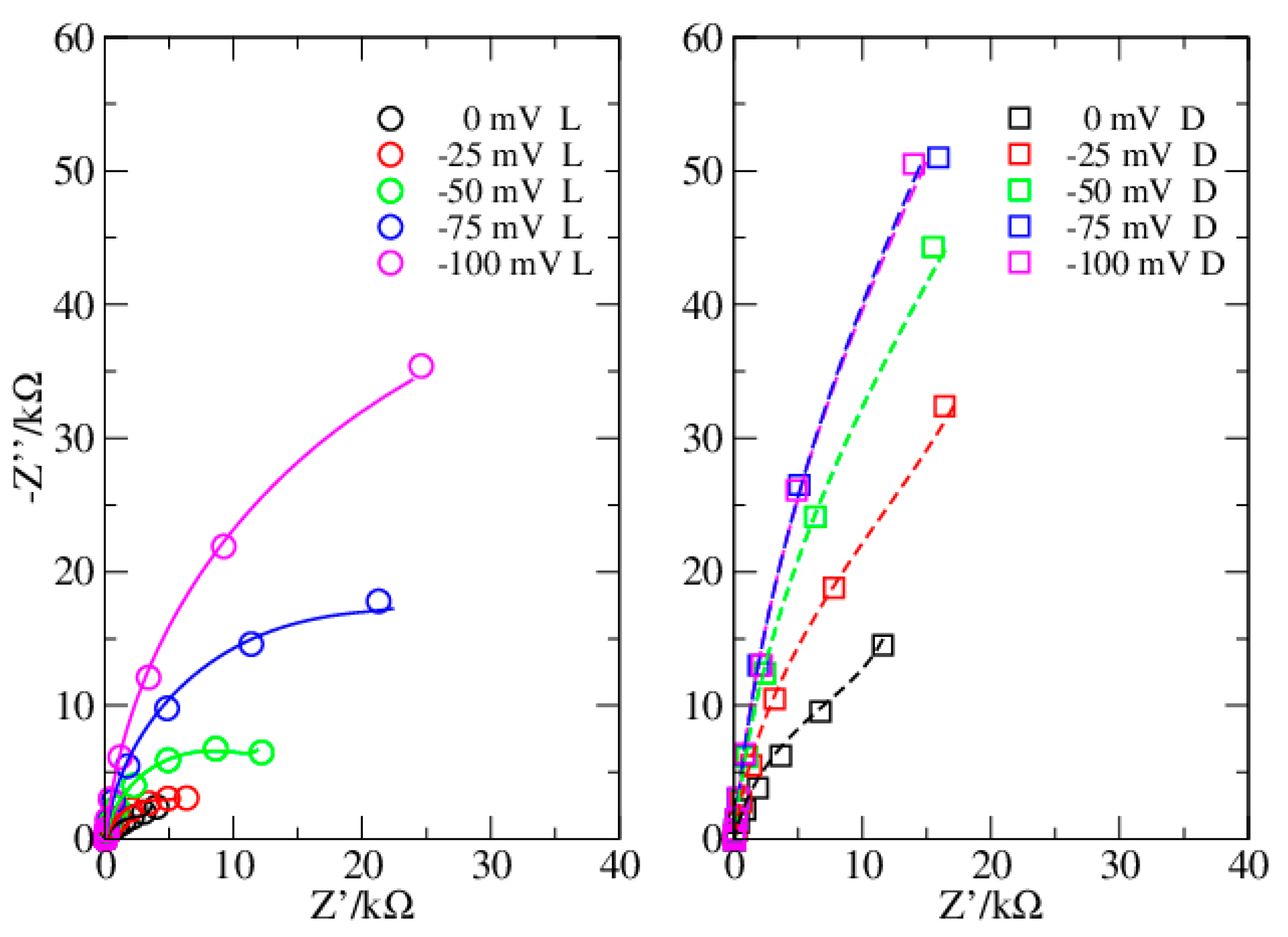
3.1. Graphical Analysis
3.2. The EEC
3.3. The Custom-Fit Software
3.4. Analytical vs. Computational Procedure
4. Conclusions
Author Contributions
Funding
Acknowledgments
Conflicts of Interest
References
- O’Regan, B.; Grätzel, M. A low-cost, high-efficiency solar cell based on dye-sensitized colloidal TiO2 films. Nature 1991, 353, 737. [Google Scholar] [CrossRef]
- Alfinito, E.; Pousset, J.; Reggiani, L.; Lee, K. Photoreceptors for a light biotransducer: a comparative study of the electrical responses of two (type-1) opsins. Nanotechnology 2013, 24, 395501. [Google Scholar] [CrossRef] [PubMed]
- Alfinito, E.; Reggiani, L. Mechanisms responsible for the photocurrent in bacteriorhodopsin. Phys. Rev. E 2015, 91, 032702. [Google Scholar] [CrossRef] [PubMed]
- Białek, R.; Swainsbury, D.J.; Wiesner, M.; Jones, M.R.; Gibasiewicz, K. Modelling of the cathodic and anodic photocurrents from Rhodobacter sphaeroides reaction centres immobilized on titanium dioxide. Photosynth. Res. 2018, 138, 103–114. [Google Scholar] [CrossRef] [PubMed]
- Milano, F.; Ciriaco, F.; Trotta, M.; Chirizzi, D.; De Leo, V.; Agostiano, A.; Valli, L.; Giotta, L.; Guascito, M.R. Design and modelling of a photo-electrochemical transduction system based on solubilized photosynthetic reaction centres. Electrochim. Acta 2019, 293, 105–115. [Google Scholar] [CrossRef]
- Espiritu, E.; Chamberlain, K.D.; Williams, J.C.; Allen, J.P. Bound manganese oxides capable of reducing the bacteriochlorophyll dimer of modified reaction centers from Rhodobacter sphaeroides. Photosynth. Res. 2019, 143, 129–141. [Google Scholar] [CrossRef] [PubMed]
- Milano, F.; Gerencsér, L.; Agostiano, A.; Nagy, L.; Trotta, M.; Maróti, P. Mechanism of Quinol Oxidation by Ferricenium Produced by Light Excitation in Reaction Centers of Photosynthetic Bacteria. J. Phys. Chem. B 2007, 111, 4261–4270. [Google Scholar] [CrossRef] [PubMed]
- Chatzipetrou, M.; Milano, F.; Giotta, L.; Chirizzi, D.; Trotta, M.; Massaouti, M.; Guascito, M.R.; Zergioti, I. Functionalization of gold screen printed electrodes with bacterial photosynthetic reaction centers by laser printing technology for mediatorless herbicide biosensing. Elettrochem. Commun. 2016, 64, 46–50. [Google Scholar] [CrossRef]
- Ravi, S.K.; Tan, S.C. Progress and perspectives in exploiting photosynthetic biomolecules for solar energy harnessing. Energy Environ. Sci. 2015, 8, 2551–2573. [Google Scholar] [CrossRef]
- Kamran, M.; Delgado, J.D.; Friebe, V.; Aartsma, T.J.; Frese, R.N. Photosynthetic protein complexes as bio-photovoltaic building blocks retaining a high internal quantum efficiency. Biomacromolecules 2014, 15, 2833–2838. [Google Scholar] [CrossRef] [PubMed]
- Friebe, V.M.; Millo, D.; Swainsbury, D.J.K.; Jones, M.R.; Frese, R.N. Cytochrome c provides an electron-funneling antenna for efficient photocurrent generation in a reaction center biophotocathode. ACS Appl. Mater. Interfaces 2017, 9, 23379–23388. [Google Scholar] [CrossRef] [PubMed]
- Milano, F.; Giotta, L.; Cataldo, R.; Carlino, A.; Cotardo, E.; De Bartolomeo, A.R.; Guascito, M.R.; Trotta, M.; Alfinito, E. A screen-printed photo-responsive electrochemical cell based on polyvinyl alcohol-entrapped photosynthetic reaction center proteins. in preparation.
- De Leo, V.; Catucci, L.; Falqui, A.; Marotta, R.; Striccoli, M.; Agostiano, A.; Comparelli, R.; Milano, F. Hybrid Assemblies of Fluorescent Nanocrystals and Membrane Proteins in Liposomes. Langmuir 2014, 30, 1599–1608. [Google Scholar] [CrossRef]
- Tandori, J.; Hideg, É.; Nagy, L.; Maróti, P.; Vass, I. Photoinhibition of carotenoidless reaction centers from Rhodobacter sphaeroides by visible light. Effects on protein structure and electron transport. Photosynth. Res. 2001, 70, 175–184. [Google Scholar]
- Orazem, M.E.; Tribollet, B. Electrochemical impedance spectroscopy; John Wiley & Sons: Hoboken, NJ, USA, 2011. [Google Scholar]
- Sacco, A. Electrochemical impedance spectroscopy: Fundamentals and application in dye-sensitized solar cells. Renew. Sustainable Energy Rev. 2017, 79, 814–829. [Google Scholar] [CrossRef]
- Guascito, M.R.; Alfinito, E.; Cataldo, R.; Giotta, L. Tips for a (simple) interpretation of the impedance response of an electrochemical cell. IEEE Sens. J. 2019, 19, 11318–11322. [Google Scholar] [CrossRef]
- Bard, A.J.; Faulkner, L. Electrochemical Methods: Fundamentals and Applications, 2nd ed.; John Wiley & Sons: Hoboken, NJ, USA, 2000. [Google Scholar]
- Huang, J. Diffusion impedance of electroactive materials, electrolytic solutions and porous electrodes: Warburg impedance and beyond. Electrochim. Acta 2018, 281, 170–188. [Google Scholar] [CrossRef]
- Milano, F.; Giotta, L.; Chirizzi, D.; Papazoglou, S.; Kryou, C.; De Bartolomeo, A.; De Leo, V.; Guascito, M.R.; Zergioti, I. Phosphate Modified Screen Printed Electrodes by LIFT Treatment for Glucose Detection. Biosensors 2018, 8, 91. [Google Scholar] [CrossRef] [PubMed]
- Dropsens.com. Available online: http://www.dropsens.com/en/pdfs_productos/new_brochures/550_c550.pdfrif (accessed on 28 February 2020).
- Ramanavicius, A.; Genys, P.; Ramanaviciene, A. Electrochemical impedance spectroscopy based evaluation of 1, 10-phenanthroline-5, 6-dione and glucose oxidase modified graphite electrode. Electrochim. Acta 2014, 146, 659–665. [Google Scholar] [CrossRef]
- SciPy.org. Available online: https://scipy.org (accessed on 21 January 2020).
- Alfinito, E.; Pousset, J.; Reggiani, L. Proteotronics: Development of Protein-Based Electronics; Pan Stanford Publishing: Danvers, MA, USA, 2015. [Google Scholar]







| Bias (mV) | RCT (Ω) | α | C (μF) | CDL (μF) | ε | 
|---|---|---|---|---|---|
| 0 L | 7860 | 0.89 | 3.3 | 110 | 0.89 | 
| 0 D | 28000 | 0.89 | 4.6 | 10 | 1.76 | 
| −25 L | 30677 | 0.92 | 3.2 | 43 | 1 | 
| −25 D | 38900 | 0.90 | 4.6 | 8.2 | 2.12 | 
| −50 L | 53000 | 0.94 | 3.0 | 40 | 1.06 | 
| −50 D | 60000 | 0.93 | 4.5 | 6.1 | 2.49 | 
| −100 L | 96000 | 0.94 | 3.6 | 10 | 1.63 | 
| −100 D | 105000 | 0.94 | 4.4 | 7.2 | 2.11 | 
| Bias (mV) | RCT (Ω) | α | C (μF) | CDL (μF) | ε | 
|---|---|---|---|---|---|
| 0 L | 4000 | 0.76 | 6.25 | 100 | 0.8 | 
| 0 D | 15700 | 0.85 | 5.3 | 18 | 1.37 | 
| −25 L | 6521 | 0.83 | 4.6 | 83 | 0.87 | 
| −25 D | 27000 | 0.89 | 5.4 | 8.8 | 1.95 | 
| −50 L | 13300 | 0.89 | 3.6 | 56 | 1.0 | 
| −50 D | 50543 | 0.91 | 5.0 | 6.7 | 2.35 | 
| −75 L | 29458 | 0.92 | 3.3 | 31 | 1.1 | 
| −75 D | 81750 | 0.915 | 5.1 | 6.6 | 2.42 | 
| −100 L | 59000 | 0.93 | 3.3 | 19 | 1.25 | 
| −100 D | 87000 | 0.92 | 4.9 | 6.9 | 2.29 | 
© 2020 by the authors. Licensee MDPI, Basel, Switzerland. This article is an open access article distributed under the terms and conditions of the Creative Commons Attribution (CC BY) license (http://creativecommons.org/licenses/by/4.0/).
Share and Cite
Alfinito, E.; Milano, F.; Beccaria, M.; Cataldo, R.; Giotta, L.; Trotta, M.; Guascito, M.R. A Biological-Based Photovoltaic Electrochemical Cell: Modelling the Impedance Spectra. Chemosensors 2020, 8, 20. https://doi.org/10.3390/chemosensors8010020
Alfinito E, Milano F, Beccaria M, Cataldo R, Giotta L, Trotta M, Guascito MR. A Biological-Based Photovoltaic Electrochemical Cell: Modelling the Impedance Spectra. Chemosensors. 2020; 8(1):20. https://doi.org/10.3390/chemosensors8010020
Chicago/Turabian StyleAlfinito, Eleonora, Francesco Milano, Matteo Beccaria, Rosella Cataldo, Livia Giotta, Massimo Trotta, and Maria Rachele Guascito. 2020. "A Biological-Based Photovoltaic Electrochemical Cell: Modelling the Impedance Spectra" Chemosensors 8, no. 1: 20. https://doi.org/10.3390/chemosensors8010020
APA StyleAlfinito, E., Milano, F., Beccaria, M., Cataldo, R., Giotta, L., Trotta, M., & Guascito, M. R. (2020). A Biological-Based Photovoltaic Electrochemical Cell: Modelling the Impedance Spectra. Chemosensors, 8(1), 20. https://doi.org/10.3390/chemosensors8010020
 
        






 
       