Abstract
Vapors of volatile organic compounds such as benzene, toluene, and xylene (BTX) may cause health concerns. The sensitive detection of these compounds in air remains challenging. In this study, we reported on modification of the Quartz Crystal Microbalance (QCM) sensing chip using polyvinyl acetate (PVAc) film as active coating for the analysis of BTX vapors. The PVAc film was deposited on the QCM sensing chip surface by a spin coating technique. The morphology of the PVAc films was confirmed by scanning electron microscopy (SEM) and atomic force microscopy (AFM). The sensitivities of PVAc based QCM system for benzene, toluene, and xylene analyses were 0.018, 0.041, and 0.081 Hz/ppm, respectively. The high sensitivity of the proposed QCM system for analysis of BTX vapors is believed to be due to the effective interaction between the PVAc film and BTX molecules. The analyte vapor pressure appears to also affect the sensitivity. These data show that the prepared QCM sensor has a low time constant, good reproducibility, and excellent stability. It offers an alternative to the developed methods for detection of BTX and possibly other aromatic hydrocarbons in the air.
1. Introduction
In recent years, solving air pollution problems caused by volatile organic compounds (VOC) such as benzene, toluene, and xylene (BTX) has become increasingly important. Continuous exposure to BTX vapors may cause impairment of the nervous system, hormonal imbalance for men, and unexpected miscarriage for women [,]. The need for a real-time BTX vapor sensing system remains challenging. The detection system of these compounds should be cheap, reproducible, and stable for long term operation even when the device is operated in an ambient environment.
Recent work on a BTX vapor sensing system has been reported by many groups. The detection of these compounds has been based on various sensing mechanisms including resistive [,,], optical [,,], and piezoelectric []. The sensitivity of the sensing system based on the resistivity for benzene, toluene, and xylene was found to be in the range of 6−16, 18−47, and 22−76 Ω/ppm, respectively [,,]. Meanwhile, for the piezoelectric system, the sensitivity for benzene, toluene, and xylene was found to be 0.013, 0.006, and 0.033 Hz/ppm, respectively []. The quartz crystal microbalance (QCM) system is a promising method for producing a sensitive, real-time, and handy method for vapor detection [,]. The QCM sensing mechanism is based on the acoustic–electric effect, which is capable of determining sub-nanogram mass changes [,]. By deposition an active film on the QCM chip surface, the response could be specific to certain analytes as indicated by the decrease in the resonant frequency. The decrease in the resonant frequency corresponds to the mass increase adsorbed by the film, which can be calculated using the Sauerbrey equation [,].
Reports on the development of the BTX sensing system using QCM are abounded [,,,]. The studied materials as active films were pentacene [], n-octadecylsilane [], poly(4-vinyl benzyl chloride) [], and organosilicate []. The sensitivity of the QCM system modified with pentacene, n-octadecylsilane, poly (4-vinyl benzyl chloride), and organosilicate for toluene detection was found to be 0.008, 0.2, 0.02, and 0.08 Hz/ppm, respectively. The obtained sensitivity was not satisfactory. In this study, we applied hydrophobic polyvinyl acetate (PVAc) as a QCM surface modifier. The hydrophobic material is needed since the response of the QCM system is heavily influenced by the ambient relative humidity. Our work aimed to develop a QCM system for a BTX vapor sensing method using PVAc film with good sensitivity and long-term stability in ambient environments.
2. Materials and Methods
Polyvinyl acetate (PVAc) (Mw = 500,000 g/mol) was supplied by Sigma–Aldrich, St. Louis, MO, USA. N,N–dimethylformamide (DMF) was purchased from Merck, Darmstadt, Germany. The analytes benzene, toluene, and xylene were purchased from Merck, Darmstadt, Germany. The chemicals used were analytical grade and were used as received. The AT–Cut QCM sensors with the bare gold electrode and 10 MHz base resonant frequency were acquired from OpenQCM, Novaetech. R&D, Napoli, Italy.
For preparing the PVAc film, we used the spin-coating method with Compact Spin Coater VTC–100. PVAc solution was prepared by dissolving 0.10 g of PVAc powder onto 2 mL of dimethylformamide (DMF) followed by mechanical stirring at ambient temperature for 2 h until a homogeneous solution was achieved. A PVAc solution (10 µL) was dropped on the surface of the QCM Au electrode using microsyringe (10 µL, Hamilton Model 701 RN SYR). The spin process was breakdown into two steps. First, the spinning speed was set at 500 rpm for 5 s. Second, the spinning speed was increased to 5000 rpm for 30 s. The film was dried in a dry box overnight before use. For morphological analysis, we used a JEOL JSM−6510 scanning electron microscope (SEM). For topological analysis, we used an atomic force microscope (AFM) XE–70 of Park System Corp., Suwon, Korea. The chemical structures of the compounds used in this study are shown in Figure 1.

Figure 1.
Chemical structure of polymer and analyte used in this study.
For investigation of the sensing performance of the proposed system, we used the static batch system as reported in the previous works [,]. The concentration of the injected analyte in the chamber is expressed in ppm and calculated using the equation available in the previous works [,]. For analyte injection, we used a microliter syringe (10 µL) (Model 701 RN SYR, Hamilton Company, Bonaduz, Switzerland). For desorption of the analyte from the QCM sensing surface, dry ambient air was used for purging.
3. Results and Discussion
SEM images of PVAc films deposited on the QCM surface are presented in Figure 2. PVAc films were successfully deposited onto the gold surface. The films appear to have a slightly rough and porous surface. The rough and porous structure of the PVAc film is favorable as the QCM active layer since the sensing surface area is large. The average diameter of the pores is about 1 µm. The 2-D and 3-D images of PVAc film were taken by atomic force microscopy (AFM). The results are shown in Figure 3. The PVAc film’s surface was homogeneous and porous as confirmed by the SEM. The root means square roughness (RRMS) of the PVAc films was found about 130 nm with 2,573 nm2 surface area as obtained from the 50 μm × 50 μm of AFM images. The surface morphology and topology of the film lead to a high surface area that allows analyte permeation and give a better interaction.

Figure 2.
Scanning electron microscopy (SEM) images of polyvinyl acetate film with different magnifications (a) 500×, (b) 1000×, and (c) 5000×.

Figure 3.
Atomic force microscopy (AFM) topography of deposited polyvinyl acetate (PVAc) film on quartz crystal microbalance (QCM) electrode (area of 50 µm × 50 µm).
The success of polyvinyl acetate (PVAc) film deposition on the QCM surface was confirmed by the QCM frequency change measurement. The frequency change after PVAc coating was found to be 16.3 kHz. The decrease in the QCM resonant frequency indicates that the PVAc film was deposited on top of the gold electrodes. The film mass deposited on the QCM surface was calculated using the Sauerbrey equation [] and was found to be 20.4 µg.
Figure 4a shows the frequency shift of the QCM exposed to the BTX vapors at a concentration of 622 ppm. Soon after analyte injection into the chamber, the QCM resonant frequency decreased and reached a constant value after several minutes. After 5 min of contact, the response of QCM to benzene, toluene, and xylene vapors was found to be 8.2, 19.7, and 31.6 Hz, respectively. The frequency shift of the xylene was highest.

Figure 4.
(a) Frequency shift of PVAc-based QCM sensor after exposure to BTX analytes of 622 ppm, and (b) collated frequency shift after exposure to BTX with different concentrations for benzene of 622, 1244, 1866, 2488, and 3110 ppm, for toluene of 526, 1052, 1578, 2104, and 2630 ppm, and for xylene of 458, 916, 1374, 1832, and 2290 ppm.
Figure 4b shows the frequency change (∆f) after the QCM was exposed to BTX vapors. The concentration of analytes of 500–3000 ppm was continuously injected into the sensing chamber. The ∆f was recorded after 5 min in contact. The sensitivity of QCM was expressed as the slope of the linear fit of the curve of Figure 4b. The sensitivity for benzene, toluene, and xylene was found to be 0.018, 0.041, and 0.081 Hz/ppm, respectively. The sensitivity for xylene was the highest and that of benzene was the lowest. The correlation coefficient (R2) of the plot of concentration versus ∆f for all analytes was higher than 0.998, indicating good linearity in the concentration range of 500–3000 ppm. The calculated limit of detection (LOD) of the QCM-PVAc film sensor to benzene, toluene, and xylene was found to be 38, 13, and 10 ppm, respectively.
The sensitivity of xylene was higher than that previously reported [,], 0.026 and 0.071 Hz/ppm, respectively. Meanwhile, it was lower than that reported in [], which is 0.15 Hz/ppm. The BTX sensing performance of the QCM n-octadecylsilane film [] was better than the others, which could be due to the film’s superhydrophobic properties, which is also structurally crystalline. The wettability of the n-octadecylsilane film contributes to the sensing performance. Although the sensitivity of QCM modified with the n-octadecylsilane film was higher, it was much more costly than the others. Moreover, QCM modified with PVAc also showed long-term stability even without being stored at the controlled condition. This work gives a better sensitivity than those reported previously.
Apart from BTX analytes, we also investigated the response of QCM to acetone, methanol, and distilled water vapors. Figure 5 shows the sensitivity of the QCM modified with PVA film to non-aromatic hydrocarbon vapors. They have a different structure compared to BTX compounds. We used methanol, acetone, and water to investigate the effect of active layer–analyte affinities on the sensitivity. The sensitivity increased from water to methanol, acetone, benzene, toluene, and xylene. Several studies suggested that the active layer–analyte affinity was responsible for the sensing mechanism [,]. It must be noted that acetone affects sensitivity, especially of that benzene. The active layer−analyte affinity is expressed by their relative energy dispersion (RED). It can be determined by the ratio of the solubility parameter distance (Ra) to the interaction radius (R0) of the active layer [,].

Figure 5.
Sensitivity of PVAc film QCM sensor towards different analytes.
The calculated RED values are listed in Table 1, where RED less than 1 indicates a high affinity of layer−analyte interaction, while RED greater than 1 indicates a low affinity. The data indicate that methanol and water have low affinity, while the other analytes have high affinity. The higher surface–analyte affinity, the better the sensitivity. However, as shown in Figure 5, QCM modified with PVAc film exhibited lower sensor sensitivity for acetone, although it had the highest affinity.

Table 1.
Relative Energy Density (RED) and analyte vapor pressure used in this study.
We believe that the analyte vapor pressure also influences the sensitivity. The vapor pressure and boiling temperature of the analyte used are listed in Table 1 []. The compounds with low vapor pressure tend to condense at the surface of the active layer well. Among the analytes, acetone has the highest vapor pressure, so it will be difficult to interact with the PVAc film. As a result, the combined effects of the active layer–analyte affinity and analyte vapor pressure could lead to moderate sensitivity for acetone. Both active layer–analyte affinity and ability to condense at the sensing surface are believed to affect the sensitivity of acetone.
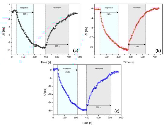
Figure 6 shows the response and recovery plots of the PVAc-based QCM sensing system to BTX vapors. To understand the response and recovery behaviors of QCM, we modified the sensing set up. Two small holes were made on top of the sensing chamber to allow ambient air to flow when the response and recovery measurements were performed. The test was performed using a BTX concentration of 622 ppm. After the response of the sensor reached an equilibrium state, the dry ambient air was streamed into the sensing chamber until the frequency change reached its baseline value. The results show that the frequency reading returns to its initial value to indicate good response and recovery behaviors.

Figure 6.
Response and recovery investigation of the PVAc based film of QCM sensor after being exposed to 622 ppm of (a) benzene, (b) toluene, and (c) xylene vapors.
The response time is usually expressed as the time required by the sensor to reach 90% of its steady state (t90) []. The response time of the PVAc modified QCM for benzene, toluene, and xylene was found to be 225, 230, and 260 s, respectively. The response time of a sensor is believed to depend on the ability of the analyte to evaporate at a given time and temperature. The sensor response time increases with a decrease in the analyte vapor pressure. The vapor pressures of benzene, toluene, and xylene are available in Table 1. The compound with low vapor pressure has a fewer number of molecules in the vapor state at a given temperature. The evaporation process of compounds with low vapor pressure was also slower than that of compounds with high vapor pressure, which will delay the QCM response.
Langmuir adsorption isotherm model was used to better understand the adsorption kinetics of interaction between the analyte and the PVAc film. The time-dependent variation of mass of the adsorbed BTX molecules on the PVAc film surface, (calculated using Sauerbrey equation) can be defined as follows:
where is the maximum amount of adsorbed BTX molecules on the surface for and is the relaxation time. The detailed explanation of the derived formula has been reported in the previous studies [,]. Figure 7 shows the least squares fit (solid line) using the Langmuir adsorption isotherm model given in Equation (1), for the adsorption (a), and for desorption (b) of the data for BTX with the concentration of 662 ppm. The results suggest that the BTX adsorption by the PVAc film follows the Langmuir isotherm model.

Figure 7.
Least squares fit using the Langmuir adsorption isotherm model for QCM-PVAc film sensor against BTX, (a) response and (b) recovery.
Figure 8 shows the repeatability and long-term stability of the PVAc-based QCM for sensing of BTX. The QCM measurement had been regularly performed with 622 ppm of BTX vapors for 30 days to evaluate their stability. During this period, the QCM chip was used to measure the analyte once in a week. The PVAc-based QCM chip was stored at ambient environment without control of temperature and humidity. Figure 8 displays the frequency shift as a function of time over 30 days. The frequency response was stable during 30 days of measurement, indicating that the film was good for up to 30 days. The QCM measurement was repeated five times each day, and the resulted standard deviation is indicated by the error bar. Furthermore, the maximum frequency bias for benzene, toluene, and xylene vapor was 1.2 Hz (12%), 1.0 Hz (5%), and 1.5 Hz (5%), respectively, as calculated by using weighing average []. These results suggest that the PVAc-modified QCM is stable for a long-term run, even when the QCM was stored in an uncontrolled ambient environment. The inset of Figure 8 shows the calculated standard deviation of the PVAc-modified QCM for 10 repeated measurements. The measurement standard deviations for benzene, toluene, and xylene were found to be 7.6%, 2.6%, and 2.2%, respectively. The small bias in frequency shift after 10 cycles suggests that the modified QCM sensing chips show good repeatability.

Figure 8.
long-term stability of PVAc film QCM sensor exposed to 622 ppm of BTX vapors (inset: repeatability calculation of 10 repeated measurements).
4. Conclusions
The PVAc layer was deposited on the QCM surface by a spin-coating technique. The sensitivity of the QCM sensing system modified with PVAc film for BTX vapors was evaluated. The SEM and AFM data confirmed the microstructure of the PVAc layer. As expected, the proposed method shows high sensitivity for detection of BTX vapors. The high affinity and ability of the BTX molecules to orient well at the PVAc layer are believed to affect the sensor sensitivity. They show low sensitivity for analysis of acetone, methanol, and water vapor. The modified QCM has a short time constant and high repeatability. Moreover, it shows good long-term stability for up to 30 days, even when stored in an uncontrolled environment. The performance of QCM modified with PVAc film for BTX vapor analysis was comparable to the QCM studies reported previously. It could also be very promising for the routine detection of BTX vapors in the air. We believe that the QCM sensing chip modified with polymer film may offer a new direction for real-time sensing methods of environmental pollutants such as volatile organic compounds.
Author Contributions
A.R. performed experiments, analyzed the data, and wrote the initial paper; S.A.H. and D.B.N. performed the experiments; A.K. and R.R. designed the experiments, contributed reagents and materials, analyzed the data, and revised the paper; K.T. calibrated the frequency measurement system, conceived and designed the experiments, revised the paper, and led the project.
Funding
This research and APC were funded by the Ministry of Research, Technology and Higher Education of the Republic of Indonesia through a research scheme of Penelitian Terapan Unggulan Perguruan Tinggi (PTUPT 2019).
Acknowledgments
A. Rianjanu acknowledges a Ph.D. scholarship issued by the Ministry of Research, Technology and Higher Education of the Republic of Indonesia through PMDSU program. We are also immensely grateful to Risa Suryana for analyzing the atomic force microscopy (AFM) topography of the PVAc film.
Conflicts of Interest
The authors declare no conflict of interest.
References
- Kumar, A.; Brunet, J.; Varenne, C.; Ndiaye, A.; Pauly, A.; Penza, M.; Alvisi, M. Tetra-tert-butyl copper phthalocyanine-based QCM sensor for toluene detection in air at room temperature. Sens. Actuators B Chem. 2015, 210, 398–407. [Google Scholar] [CrossRef]
- Ng, T.P.; Foo, S.C.; Yoong, T. Risk of spontaneous abortion in workers exposed to toluene. Occup. Environ. Med. 1992, 49, 804–808. [Google Scholar] [CrossRef][Green Version]
- Sui, L.; Zhang, X.; Cheng, X.; Wang, P.; Xu, Y.; Gao, S.; Zhao, H.; Huo, L. Au-loaded hierarchical MoO3 Hollow spheres with enhanced gas-sensing performance for the detection of BTX (Benzene, Toluene, And Xylene) and the sensing mechanism. ACS Appl. Mater. Interfaces 2017, 9, 1661–1670. [Google Scholar] [CrossRef]
- Shen, Z.; Zhang, X.; Ma, X.; Mi, R.; Chen, Y.; Ruan, S. The significant improvement for BTX (benzene, toluene and xylene) sensing performance based on Au-decorated hierarchical ZnO porous rose-like architectures. Sens. Actuators B Chem. 2018, 262, 86–94. [Google Scholar] [CrossRef]
- Acharyya, D.; Bhattacharyya, P. An efficient BTX sensor based on ZnO nanoflowers grown by CBD method. Solid. State. Electron. 2015, 106, 18–26. [Google Scholar] [CrossRef]
- Young, C.R.; Menegazzo, N.; Riley, A.E.; Brons, C.H.; Disanzo, F.P.; Givens, J.L.; Martin, J.L.; Disko, M.M.; Mizaikoff, B. Infrared hollow waveguide sensors for simultaneous gas phase detection of benzene, toluene, and xylenes in field environments. Anal. Chem. 2011, 83, 6141–6147. [Google Scholar] [CrossRef] [PubMed]
- Girschikofsky, M.; Rosenberger, M.; Belle, S.; Brutschy, M.; Waldvogel, S.R.; Hellmann, R. Optical planar Bragg grating sensor for real-time detection of benzene, toluene and xylene in solvent vapour. Sens. Actuators B Chem. 2012, 171–172, 338–342. [Google Scholar] [CrossRef]
- Dubrawski, S.; Levine, M.; DiScenza, D.; Intravaia, L.; Healy, A. Fluorescence-Based Detection of Benzene, Toluene, Ethylbenzene, Xylene, and Cumene (BTEXC) Compounds in Fuel-Contaminated Snow Environments. Chemosensors 2019, 7, 5. [Google Scholar] [CrossRef]
- Bender, S.; Dickert, F.L.; Mokwa, W.; Pachatz, P. Investigations on temperature controlled monolithic integrated surface acoustic wave (SAW) gas sensors. Sens. Actuators B Chem. 2003, 93, 164–168. [Google Scholar] [CrossRef]
- Hidayat, S.N.; Julian, T.; Rianjanu, A.; Kusumaatmadja, A.; Triyana, K.; Roto, R. Quartz crystal microbalance coated by PAN nanofibers and PEDOT:PSS for humidity sensor. In Proceedings of the 2017 International Seminar on Sensors, Instrumentation, Measurement and Metrology (ISSIMM), Surabaya, Indonesia, 25–26 August 2017; pp. 119–123. [Google Scholar]
- Chen, J.Y.; Penn, L.S.; Xi, J. Quartz crystal microbalance: Sensing cell-substrate adhesion and beyond. Biosens. Bioelectron. 2018, 99, 593–602. [Google Scholar] [CrossRef]
- Schirhagl, R.; Bajwa, S.; Afzal, A.; Latif, U.; Feroz, S.; Mujahid, A. Gravimetric Viral Diagnostics: QCM Based Biosensors for Early Detection of Viruses. Chemosensors 2017, 5, 7. [Google Scholar] [CrossRef]
- Çiçek, Ç.; Yılmaz, F.; Özgür, E.; Yavuz, H.; Denizli, A. Molecularly Imprinted Quartz Crystal Microbalance Sensor (QCM) for Bilirubin Detection. Chemosensors 2016, 4, 21. [Google Scholar] [CrossRef]
- Sauerbrey, G. Verwendung von Schwingquarzen zur Wägung dünner Schichten und zur Mikrowägung. Zeitschrift für Phys. 1959, 155, 206–222. [Google Scholar] [CrossRef]
- Rianjanu, A.; Julian, T.; Hidayat, S.N.; Suyono, E.A.; Kusumaatmaja, A.; Triyana, K. Polyacrylonitrile nanofiber as polar solvent N,N-dimethyl formamide sensor based on quartz crystal microbalance technique. J. Phys. Conf. Ser. 2018, 1011, 012067. [Google Scholar] [CrossRef]
- Bearzotti, A.; Macagnano, A.; Papa, P.; Venditti, I.; Zampetti, E. A study of a QCM sensor based on pentacene for the detection of BTX vapors in air. Sens. Actuators B Chem. 2017, 240, 1160–1164. [Google Scholar] [CrossRef]
- Xu, J.; Wang, L.; Cha, X.; Wu, Y.; Xu, J.; Cheng, Z.; Xiang, Q. Superhydrophobic Polymerized n-Octadecylsilane Surface for BTEX Sensing and Stable Toluene/Water Selective Detection Based on QCM Sensor. ACS Omega 2018, 3, 2437–2443. [Google Scholar] [CrossRef]
- Fan, X.; Du, B. Selective detection of trace p-xylene by polymer-coated QCM sensors. Sens. Actuators B Chem. 2012, 166–167, 753–760. [Google Scholar] [CrossRef]
- El Sabahy, J.; Berthier, J.; Ricoul, F.; Jousseaume, V. Toward optimized SiOCH films for BTEX detection: Impact of chemical composition on toluene adsorption. Sens. Actuators B Chem. 2018, 258, 628–636. [Google Scholar] [CrossRef]
- Rianjanu, A.; Roto, R.; Julian, T.; Hidayat, S.N.; Kusumaatmaja, A.; Suyono, E.A.; Triyana, K. Polyacrylonitrile Nanofiber-Based Quartz Crystal Microbalance for Sensitive Detection of Safrole. Sensors 2018, 18, 1150. [Google Scholar] [CrossRef]
- Triyana, K.; Sembiring, A.; Rianjanu, A.; Hidayat, S.; Riowirawan, R.; Julian, T.; Kusumaatmaja, A.; Santoso, I.; Roto, R. Chitosan-Based Quartz Crystal Microbalance for Alcohol Sensing. Electronics 2018, 7, 181. [Google Scholar] [CrossRef]
- Wang, X.; Cui, F.; Lin, J.; Ding, B.; Yu, J.; Al-Deyab, S.S. Functionalized nanoporous TiO2 fibers on quartz crystal microbalance platform for formaldehyde sensor. Sens. Actuators B Chem. 2012, 171–172, 658–665. [Google Scholar] [CrossRef]
- Huang, W.; Wang, X.; Jia, Y.; Li, X.; Zhu, Z.; Li, Y.; Si, Y.; Ding, B.; Wang, X.; Yu, J. Highly sensitive formaldehyde sensors based on polyvinylamine modified polyacrylonitrile nanofibers. RSC Adv. 2013, 3, 22994. [Google Scholar] [CrossRef]
- Rianjanu, A.; Hidayat, S.N.; Julian, T.; Suyono, E.A.; Kusumaatmaja, A.; Triyana, K. Swelling Behavior in Solvent Vapor Sensing based on Quartz Crystal Microbalance (QCM) Coated Polyacrylonitrile (PAN) Nanofiber. IOP Conf. Ser. Mater. Sci. Eng. 2018, 367, 012020. [Google Scholar] [CrossRef]
- Rianjanu, A.; Kusumaatmaja, A.; Suyono, E.A.; Triyana, K. Solvent vapor treatment improves mechanical strength of electrospun polyvinyl alcohol nanofibers. Heliyon 2018, 4, e00592. [Google Scholar] [CrossRef]
- Hansen, C.M. Hansen Solubility Parameters: A User’s Handbook, 2nd ed.; CRC Press Taylor and Francis Group: Boca Raton, FL, USA, 2007. [Google Scholar]
- Speight, J.G. Lange’s handbook of chemistry, 16th ed.; McGraw-Hill: New York, NY, USA, 2005. [Google Scholar]
- Fraden, J. Handbook of Modern Sensors; Springer: Berlin, Germany, 2013. [Google Scholar]
- Bayram, A.; Özbek, C.; Şenel, M.; Okur, S. CO gas sorption properties of ferrocene branched chitosan derivatives. Sens. Actuators B Chem. 2017, 241, 308–313. [Google Scholar] [CrossRef]
- Horzum, N.; Tascioglu, D.; Ozbek, C.; Okur, S.; Demir, M.M. VOC sensors based on a metal oxide nanofibrous membrane/QCM system prepared by electrospinning. New J. Chem. 2014, 38, 5761–5768. [Google Scholar] [CrossRef]
- Taylor, J.R. An Introduction to Error Analysis: The Study of Uncertainties in Physical Measurements; Universities Science Books: Sausalito, CA, USA, 1982; ISBN 0-935702-75-X. [Google Scholar]
© 2019 by the authors. Licensee MDPI, Basel, Switzerland. This article is an open access article distributed under the terms and conditions of the Creative Commons Attribution (CC BY) license (http://creativecommons.org/licenses/by/4.0/).