Abstract
Humidity and oxygen have significant impacts on the accuracy of hydrogen detection, especially for metal oxide semiconductor sensors at room temperature. Addressing this challenge, this study employs a screen-printed 1 × 2 resistive sensor array made from an identical 1 wt.% platinum-modified tin oxide nanoparticle material. Fabrication variability between the two sensing elements was intentionally leveraged to enhance array output differentiation and information content. Systematic hydrogen-sensing tests were conducted on the array under diverse oxygen and moisture conditions. Three distinct feature types—the steady-state value, resistance change, and area under the curve—were extracted from the output of each array element. These features, integrated with their quotient, formed a nine-feature vector matrix. A multiple linear regression model based on this array output was developed and validated for hydrogen prediction, achieving a coefficient of determination of 0.95, a mean absolute error of 125 ppm, and a mean relative standard deviation of 7.07%. The combined information of the array provided significantly more stable and precise hydrogen concentration predictions than linear or nonlinear models based on individual sensor features. This approach offers a promising path for mass-producing highly interference-resistant, precise, and stable room-temperature hydrogen sensor arrays.
1. Introduction
Hydrogen has a high calorific value upon combustion, and its only byproduct is water, which renders it one of the most promising sources of clean and renewable energy. It has various technical applications, including in fuel cells, industrial processing, and aerospace [1]. However, given the high permeability and flammability of H2, safety issues must be given high priority during its transportation, storage, and use. Therefore, reliable sensors for monitoring H2 gas concentrations and providing real-time leak detection are crucial for the widespread adoption of hydrogen energy.
In recent years, various types of H2 sensors have been reported, including metal oxide semiconductor (MOS)-based resistive sensors [2], thermoelectric sensors [3], optical sensors [4], and surface acoustic wave sensors [5]. Among these, MOS sensors have gained prominence owing to their superior sensitivity, cost-effectiveness, and straightforward design, which mean that they exhibit exceptional utility in the field of portable sensing devices. Among numerous MOSs, SnO2 is a representative material for gas-sensing, with the most extensive research and well-established theories. The gas-sensing capabilities of SnO2 have been further enhanced through surface modification [6,7] or the application of nanostructures [8,9]. In H2-sensing applications, MOS materials typically require modification with noble metals to facilitate the reduction of pre-adsorbed oxygen on the material’s surface by H2, thereby increasing the sensor’s response and reducing its operating temperature. However, the incorporation of noble metals makes MOS materials highly susceptible to fluctuations in the ambient O2 concentration and humidity [10]. Related research has reported that the reaction between pre-adsorbed oxygen and water vapor can alter the electrical conductivity and gas-sensing capabilities of the sensing material, leading to instability in the sensor signal [11]. In practical H2 leak detection applications, the O2 concentration and humidity in the environment may vary dynamically depending on the weather, climate, location, and time of day; during the process of H2 leakage, there may also be uncertain fluctuations in O2 concentration and humidity [12]. These practical issues can seriously affect the accuracy and stability of sensors.
Various strategies have been employed to mitigate the interference with MOS sensors caused by environmental factors [13,14,15]. Kim et al. reported that the humidity dependence of SnO2 sensors was dramatically reduced by NiO doping, since NiO has a strong affinity toward water, and most water-driven species were predominantly absorbed by the NiO rather than the SnO2 [13]. Fan et al. doped Co3O4 with Pr, which led to remarkable humidity independence because the redox reaction of Pr3+/Pr4+ facilitates the removal of surface hydroxyl groups [15]. Despite these efforts, a single MOS sensor is still unable to eliminate these interferences. In complex gas analysis, the integration of sensor arrays with algorithms provides a robust method to eliminate interference [16,17]. Oh et al. fabricated an array of five In2O3 sensors modified with different inert metals [16]. By integrating machine learning algorithms, the array’s sensing performance circumvented interference from humidity and temperature. However, the distinct preparation methods and varying operating temperatures for different sensing materials complicate the manufacturing process of these sensor arrays and increase the challenges in their control, resulting in disadvantages in terms of sensor miniaturization and integration on a single Si substrate. Ji et al. innovatively proposed a method to simplify array structures by using a single commercial MOS sensor with cyclic temperature modulation to emulate array effects [18]. The output of the sensor at different temperatures was reconstructed into multidimensional features, achieving “array virtualization” at the algorithmic level while reducing humidity interference. Currently, to the best of our knowledge, research on effectively reducing humidity and oxygen concentration interference for hydrogen detection through on-chip arrays on the same silicon substrate is limited.
In this work, a 1 × 2 resistive sensor array based on 1 wt.% Pt-modified SnO2 (Pt-SnO2) was prepared via a low-cost screen printing technique for the high-precision detection of H2 under the interference of O2 concentration and humidity fluctuations. All the sensors in the array were fabricated with the same material, on the same substrate, and in one step, and the inevitable differences between the sensor elements were exploited to form differentiated output signals. Three kinds of features were extracted. The outputs of the two elements and their quotient were combined to form a feature matrix. Finally, a highly accurate H2 detection model was established through multiple linear regression. The sensor array construction approach and H2 detection model proposed in this research not only significantly reduce the cost and technical difficulty of array fabrication, but also greatly improve the accuracy and stability of the quantitative analysis of H2 concentration under the interference of the O2 concentration and humidity level, enabling high-precision detection of H2.
2. Materials and Methods
2.1. Sensor Array Fabrication and Experimental Methodology
Figure 1 shows the device preparation process and the research methodology used in this study. All the chemical reagents used for the preparation of sensitive materials were commercially sourced. Isopropanol ((CH3)2CHOH) was purchased from Xilong Technology Co., Ltd. (Shantou, China). Ethyl cellulose ((C12H22O5)n) was obtained from Sinopharm Chemical Reagent Co., Ltd. (Shanghai, China). Chloroplatinic acid solution (H2PtCl6, 8 wt.%, dissolved in H2O) was purchased from Shanghai McLain Biochemical Technology Co., Ltd. (Shanghai, China). Tin oxide nanoparticles, approximately 90 nm in diameter, were purchased from Shanghai McLain Biochemical Technology Co., Ltd.
Figure 1.
The preparation flow of the sensor array and the research methodology for high-precision H2 prediction.
First, SnO2 nanoparticles and H2PtCl6 solution were mixed in (CH3)2CHOH according to the calculated mass ratio to ensure that the concentration of Pt in the subsequently formed solid sensing layer was 1 wt.%. Then an appropriate amount of (C12H22O5)n was added as a binder, and stirred in an agate mortar until a uniform slurry with suitable viscosity for screen printing was obtained. Figure 2 shows an optical photograph of the fabricated array and the characterization results of the sensing materials for each sensing element within the array. In this study, two pairs of single-finger gold electrodes were formed on a Si substrate with a 285 nm thick SiO2 insulating layer to prepare the 1 × 2 sensor array. Figure 2a shows a schematic of the sensor array without sensing layers. The width of each electrode was 100 μm. The spacing between the two electrodes in each pair was 500 μm, and the spacing between the two pairs of electrodes was 2 mm. The prepared precursor paste was then screen-printed on top of the substrate, and the area of the sensing material was about 500 μm × 500 μm. Notably, the two sensor elements in the array were formed simultaneously; these are denoted as Sensor1 (S1) and Sensor2 (S2). Next, the array was dried on a constant-temperature heating platform at 80 °C for 30 min and annealed in an atmosphere furnace at 350 °C for 1 h. Figure 2b shows an optical photograph of the sensor array with Pt-SnO2.
Figure 2.
Optical photographs of the fabricated array and the characterization results of the sensing materials for each sensing element within the array. (a) A schematic of the sensor array without sensing layers. (b) The top view of the sensor array with Pt-SnO2. (c,d) Magnified local SEM images of the sensing layers of S1 and S2, respectively. (e,f) Distribution patterns of O, Sn, and Pt corresponding to (c,d), respectively. (g,h) EDS spectra corresponding to (c,d), respectively.
Figure 2c,d display magnified local SEM images of the sensing layers of S1 and S2, respectively. The corresponding distribution patterns of O, Sn, and Pt, along with their EDS spectra, are presented in Figure 2e–h, respectively. These characterization results indicate that the Pt atoms were homogeneously distributed in both sensing elements, with an approximate concentration of 1 wt.%. Crucially, although the two elements were fabricated simultaneously, variations in the screen printing process led to differences in Pt loading within their sensing layers: one exhibited 0.80 wt.%, while the other showed 1.09 wt.%. Furthermore, differences in hydrogen-sensing performance characteristics between the two elements, as presented later in this work, originated primarily from this compositional discrepancy.
To achieve highly accurate H2 concentration prediction in the presence of O2 concentration and humidity interference, a systematic gas-sensing test was conducted on the fabricated sensor array. The experimental design follows the method of controlling variables, with the H2 concentration (CH) ranging from 500 ppm to 2500 ppm (a step of 500 ppm), the O2 concentration (CO) ranging from 10% to 30% (a step of 55%), and the relative humidity (RH) ranging from 30% to 55% (a step of 5%). Afterward, according to the process shown in Figure 1, appropriate features were extracted from the raw data and then divided into training and validation sets for the establishment of the H2-sensing model. A detailed description of the experimental procedure and data processing can be found in the Results and Discussion Section.
2.2. Measurement Setup
Figure 3 shows a schematic diagram of the experimental setup for the H2-sensing tests under the interference of O2 and RH. The gas samples were prepared with 0.5% H2 in N2, pure O2 (≥ 99.999%), and pure N2 (≥ 99.999%). The target gas refers to a gas sample containing H2 at a specific concentration that was used to measure the H2-sensing characteristics of the sensing array, whereas the reference gas contained no H2, allowing the sensing array to enter or recover to its initial state. Throughout the entire test process, the total gas flow into the test chamber was consistently controlled at 200 sccm.
Figure 3.
A schematic of the experimental setup.
In the experiments involving humidity interference, a dry mixture of H2 and N2 (dry H2/N2 in Figure 3) was formed by controlling MFC1 and MFC2, while MFC5 controlled the flow of dry pure N2 (dry N2 in Figure 3) gas to be the same as the flow of the dry H2/N2 gas. MFC3 and MFC4 were controlled to form a dry mixture of O2 and N2 (dry O2/N2), which was then introduced through a bubbler (Sichuan Shubo (Group) Co., Ltd., Chongzhou, China) to carry water vapor (humid O2/N2). Switch 1 regulated the process, blending humid O2/N2 with dry H2/N2 to create a 200 sccm humid H2/O2/N2 mixture to serve as the target gas, or with dry N2 for a 200 sccm humid O2/N2 mixture to serve as the reference gas. Switch 2 worked in conjunction with switch 1 to control whether the target gas sample or the reference gas entered the test chamber. In this way, the O2 concentration and RH level in both the target and reference gases were kept consistent. The RH level of the gas introduced into the test chamber was calibrated by a humidity meter, as shown in Figure 3. In the experiments without humidity interference, the H2/N2 mixture controlled by MFC3 and MFC4 was not introduced into the bubbler, but was instead mixed directly with dry H2/N2 to form the dry target gas, or with dry pure N2 to form the dry reference gas.
The sensor array was placed on a heating plate in the test chamber, and its operating temperature was maintained at room temperature (27 °C) using a temperature controller to prevent potential temperature fluctuations. During the response phase, a target gas mixture containing certain concentrations of H2, O2, and N2 (balance gas) at a certain RH level was introduced into the test chamber. In the stabilization and recovery phases, interference gases with the same O2 concentration and RH level as the target gas were introduced. The electrical characteristics of the fabricated sensor array were tested using a Keithley 2636B analyzer (Tektronix Technology (China) Co., Ltd., Shanghai, China). The computer directly controlled the source meter, temperature controller, and humidity meter.
3. Results and Discussion
3.1. H2-Sensing Properties of the Elements
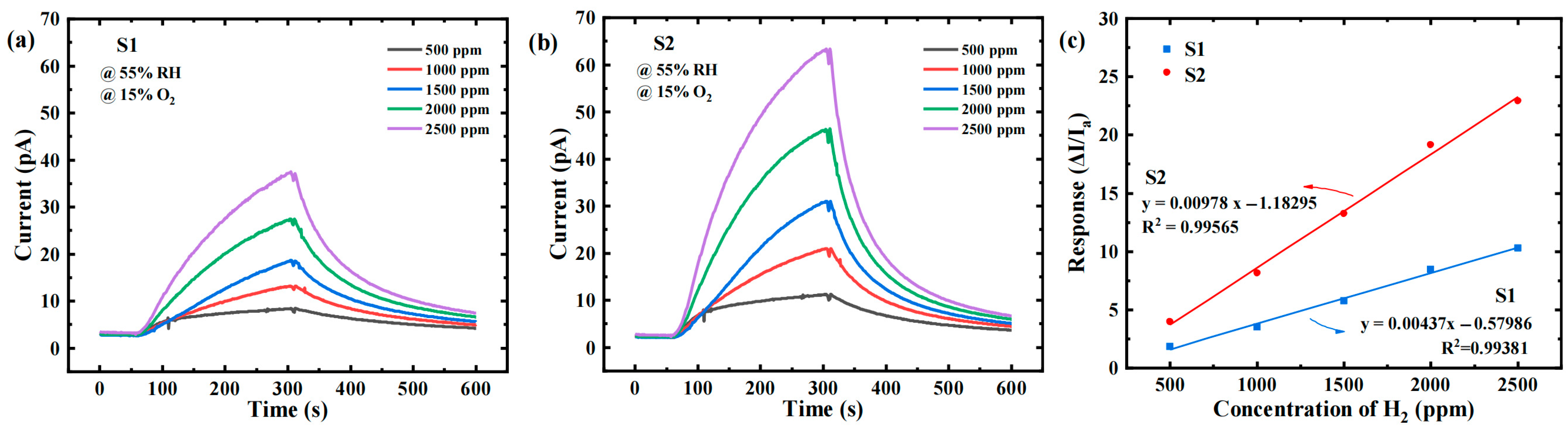
First, a systematic H2-sensing test was carried out on the sensor array to collect experimental data, following the process described in the Experimental Section. Throughout the test, all the gas mixtures were controlled to be exposed to the sensor array for 250 s for H2 response, and the sensor array was then given sufficient time to fully recover after the response phase. Figure 4 shows an example of how each element of the sensor array responded to H2 concentrations from 500 ppm to 2500 ppm (in steps of 500 ppm) at a fixed O2 concentration of 15% and an RH of 55%.
Figure 4.
The response of each element of the sensor array to H2 concentrations ranging from 500 ppm to 2500 ppm (in steps of 500 ppm) at 15% O2 and 55% RH. (a) The dynamic response curve of S1 to different concentrations of H2. (b) The dynamic response curve of S2 to different concentrations of H2. (c) The linear fit between the current response (ΔI/Ia) of S1 and S2 and the concentration of H2 (ppm).
Figure 4a,b show the dynamic H2 response curves of S1 and S2. The operating temperature was maintained at 27 °C. Both sensor elements were biased at 0.5 V. The gas response was calculated via ΔI/Ia, where ΔI = Ig − Ia, Ia is the current of the sensor in the reference gas and Ig is the current in the target gas mixture. The results show that at room temperature, the current response of both sensors S1 and S2 increased significantly with increasing H2 concentration, and the responses reached 10.27 and 22.93 at 2500 ppm H2, respectively, which are comparable to the good H2 responses of existing H2 sensors [19,20,21,22]. These good H2 responses can be attributed to the modifying effect of the noble metal. Compared with pure SnO2, the modification of Pt effectively enhances the sensor’s response to H2 by promoting the dissociation of H2 molecules into H atoms and promoting reduction reactions on the surface of SnO2 nanoparticles [23]. Figure 4c shows the linear fit between the gas response (ΔI/Ia) of both sensor elements and the H2 concentration (ppm). The slope for S1 is 0.00437, with an R2 of 0.99381, whereas the slope for S2 is 0.00978, with an R2 of 0.99565. The promising sensitivity and linearity of the sensors provided precise data for subsequent experiments. Moreover, the above results indicate the differences between S1 and S2. Even if the materials and processes used for fabricating the sensor array are identical, there will inevitably be individual differences in each sensor element [12]. For example, differences in film thickness, roughness, etc., can cause individual components to exhibit different gas sensitivities.
3.2. Impact of RH and O2
Figure 5 shows the dynamic response curves of S1 (a) and S2 (b) in the array to a fixed H2 concentration of 1000 ppm when the O2 concentration and RH were varied. Figure 5c,d plot the gas response values (ΔI/Ia) at 300 s extracted from Figure 5a,b for both sensor elements. Since the sensing materials are the same, the effects of RH and O2 tend to affect both elements in a similar way. The response of both sensor elements decreases when the O2 concentration increases at a constant RH; on the other hand, an increase in the RH also reduces the current response when the O2 concentration is fixed. Therefore, it is difficult for either sensor element to yield accurate H2 concentration prediction results based on the response value alone.
Figure 5.
The response of each element of the sensor array to H2 at a fixed concentration of 1000 ppm when the O2 concentration and RH were varied. (a) The dynamic response curves of S1 at various O2 concentrations and RH levels. (b) The dynamic response curves of S2 at various O2 concentrations and RH levels. (c) The response of S1 and S2 as a function of O2 concentration. (d) The response of S1 and S2 as a function of RH.
The sensing principle of the Pt-SnO2 sensor, shown in Figure 6, is used to briefly illustrate the H2-sensing mechanism and the influence of O2 and water molecules on the H2-sensing characteristics of the sensor. As shown in Figure 6, the two electrodes of each sensing element are connected to each other by SnO2 nanoparticles embedded with Pt. When the sensor is exposed to air at room temperature, O2 is adsorbed onto the surface of the SnO2 nanoparticles in the form of O2− due to the presence of oxygen vacancies in the sensing material, as shown in Equation (1) [24].
Figure 6.
A schematic diagram of the H2-sensing mechanism of Pt-SnO2 resistive-type sensors.
During this process, electrons transfer from SnO2 nanoparticles to the adsorbed oxygen species, depleting electrons near the surface, forming a space-charge layer, and causing the conduction band to bend upward from ECb to ECs. This phenomenon occurs between each nanoparticle, forming a barrier potential of |Vs| that impedes electron migration and determines the overall resistance of the sensing material. When the sensor is exposed to the reducing gas H2, H2 molecules dissociate into H atoms via Pt catalysis, react with the adsorbed O2− on the SnO2 surface to form water, and release free electrons, as shown in Equation (2) [25].
Therefore, H2 reduces the thickness of the depletion layer on the surface of SnO2, decreasing the |Vs| and increasing the current. When the sensor is exposed to a humid atmosphere, water molecules adsorb onto the SnO2 surface, occupying oxygen adsorption sites and reducing the concentration of available adsorption sites [26]. At higher humidity levels, a water film forms on the surface of the sensing material, physically blocking the adsorption of both H2 and O2. This phenomena of water vapor poisoning affects the sensor’s performance [27]. On the other hand, when O2 and H2 coexist in the environment, a combustion reaction may occur under the catalytic action of Pt, which consumes the H2 that has been dissociated and adsorbed on the surface of the sensing material to a certain extent, thereby reducing the sensitivity of the sensor. Moreover, when the O2 concentration and RH level fluctuate at the same time, the chemical reactions on the surface of the sensing material are further complicated.
3.3. Data Analysis
In the experimental design of this study, the H2 concentrations were set from 500 ppm to 2500 ppm with steps of 500 ppm, the O2 concentrations from 10% to 30% with steps of 5%, and the RH levels from 30% to 55% with steps of 5%. A total of 150 (5 × 5 × 6) sets of data were obtained. The dynamic response, as shown in Figure 4 and Figure 5, consisted of three phases: the stabilization phase (0–55 s), the response phase (55–305 s), and the recovery phase (after 305 s). Three distinct features were extracted from the stabilization phase and the response phase of the sensor array, including the steady-state value (SS), resistance change (VR), and area under the curve (AUC), as shown in Figure 7. In this study, the SS represents the steady-state resistance of the sensor in the stabilization phase, which equals the average resistance Ra from 0 to 55 s. The VR is defined as Ra/Rg, where Rg represents the sensor’s resistance after the reaction with the target gas, which is calculated as the average resistance between 280 s and 300 s (corresponding to the stage between the two dotted lines in Figure 7). The AUC is the area enclosed between the sensor resistance value and the time axis from 55 s to 300 s.
Figure 7.
Illustration of feature extraction.
Based on the above description, three features were extracted for sensors S1 and S2, respectively, to obtain two 3 × 150-dimensional raw feature data matrices. Among them, the 120th group of data (corresponding to a H2 concentration of 500 ppm, an O2 concentration of 10%, and an RH of 40%) was obviously abnormal, and was excluded before further data analysis and processing. The remaining 149 sets of data were normalized via Z-score normalization for each feature dimension, resulting in two feature data matrices of 3 × 149 dimensions. Twenty sets of data under four nonextreme O2 concentration and humidity conditions—15% O2 + 40% RH, 15% O2 + 50% RH, 25% O2 + 40% RH, and 25% O2 + 50% RH—were selected as the validation set. The remaining 129 sets of data were used as the training set for quantitative analysis modeling. The sensing model was built via multiple linear regression using Equation (3) below:
It was fitted with different inputs to determine the fitting coefficients α0 to αn, where CH is the H2 concentration, Vari is the i-th dimensional feature (SS, VR, or AUC), and n is the total number of feature dimensions involved in the modeling.
Table 1 shows the quantitative analysis performance of seven multiple linear regression models established with different types of data as inputs. The 3 × 129-dimensional feature data corresponding to elements S1 and S2 are denoted as M1 and M2, respectively. Models 1 and 2 took M1 and M2 as inputs, respectively. Model 3 took as input the 3 × 129-dimensional quotient data obtained by dividing M1 by M2, which helped to eliminate multiplicative noise in the signal. Model 4 took as input the 6 × 129-dimensional feature data combining M1 and M2. Model 5 took as input the 9 × 129-dimensional data combining the inputs of Models 1, 2, and 3. For each data point within M1 and M2, square and cube transformations were applied to generate the matrices M12, M13, M2 2, and M23. The concatenation of M1, M12, and M13 subsequently constituted a 9 × 129-dimensional data matrix, which was employed as the input for Model 6. Analogously, the concatenation of M2, M22, and M23 formed a 9 × 129-dimensional data matrix, which was utilized as the input for Model 7.
Table 1.
Comparison of the quantitative analysis performances of different models.
The accuracy of the validation results was assessed using the coefficient of determination (R2) and the mean absolute error (MAE), whereas the stability of the validation results was evaluated using the relative standard deviation (RSD). A comprehensive evaluation of the quantitative analysis performance of the model was subsequently conducted. Table 1 lists the R2 and MAE values between the predicted H2 concentration results and the reference values for 20 groups of data in the validation set. RSDm represents the mean of the RSD values for multiple sample predictions at each H2 concentration within the range of 500~2500 ppm in the validation set.
Compared with Model 1 and Model 2, Model 1 has a larger R2, a smaller MAE, and a lower RSD, indicating that the quantitative analysis performance of the model based on the feature data of S1 is significantly better than that based on S2. Although Model 3 has the minimal RSD among all models, indicating the best stability, the division operation results in the loss of differential information, leading to a catastrophic reduction in accuracy (the R2 is much lower than 0.5 and the MAE exceeds 500). Model 4 achieves comparable accuracy to Model 1 while having a lower RSD, indicating that modeling with the combined data from the two sensor elements results in better stability. Model 5 achieves the highest R2, the smallest MAE, and the second-best RSD next to Model 3, indicating that the comprehensive utilization of the differentiated information from two sensor elements can simultaneously enhance the accuracy and stability of quantitative analysis, leading to better analysis results. Model 6 outperforms Model 1 in all the performance indicators, indicating a nonlinear relationship between the H2 concentration and the extracted features. The accuracy indicators of Model 6 are close to those of Model 5, but there is still a significant gap in stability compared with Model 5, indicating that complex nonlinear models also fail to achieve the stability improvement brought by the comprehensive utilization of different sensor information; instead, such complex models may worsen analytical performance. All the performance indicators of Model 7 are lower than those of Model 2, which implies that when the performance of a single sensor is inherently poor, a complex nonlinear model may worsen the analytical performance.
Figure 8 shows a comparison between the values predicted by Models 5, 6, and 7 and the reference values for the five H2 concentration levels in the validation set. The error bars represent the standard deviation between the predicted values of the validation samples at each H2 concentration, providing a more intuitive view of the improvement in prediction stability obtained with Model 5.
Figure 8.
Comparison of the predicted and reference values of Models 5, 6, and 7 for five H2 concentrations in the validation set.
4. Conclusions
In summary, this study developed a 1 × 2 resistive sensor array based on Pt-SnO2 nanoparticles for high-precision H2 detection at room temperature, effectively mitigating interference from fluctuations in the RH and O2 concentration. The sensor elements were fabricated using the same material via the screen printing technique in a single step, which reduced the process difficulty and production cost. The differential outputs of the sensing elements originated from inevitable variations in the sensitive layer during the fabrication process. Three kinds of features were extracted from the outputs of both sensing elements, including the steady-state value, resistance change, and area under the curve. A feature matrix was then created to combine the features from the two sensing elements and their quotient, and a multivariate linear regression model for H2-sensing was established. The comprehensive information of the prepared arrays yielded stable and accurate H2 concentration predictions, outperforming the results from linear and nonlinear models established based on individual sensor elements with the same features. This study provides a new approach to addressing the influence of O2 and humidity on the H2-sensing process and the mass industrial production of H2 sensor arrays.
Author Contributions
Conceptualization, M.W. and P.Z.; methodology, M.W., Z.W. (Zhixin Wu), and H.C.; software, M.W., H.C., Z.W. (Zhixin Wu), Z.W. (Zhanyu Wu), and X.J.; validation, M.W., Z.W. (Zhanyu Wu), H.Z., and L.Q.; formal analysis, M.W., Z.W. (Zhixin Wu), and H.C.; investigation, M.W., Z.W. (Zhixin Wu), P.Z., and H.C.; resources, M.W., L.Q., H.Z., and X.J.; data curation, M.W., P.Z., L.Q., H.Z., and X.J.; writing—original draft preparation, M.W., Z.W. (Zhixin Wu), and H.C.; writing—review and editing, M.W., Z.W. (Zhixin Wu), Z.W. (Zhanyu Wu), and P.Z.; visualization, M.W. and Z.W. (Zhanyu Wu); supervision, M.W.; project administration, M.W.; Funding acquisition, M.W., L.Q., and X.J. All authors have read and agreed to the published version of the manuscript.
Funding
This research was funded by the National Natural Science Foundation of China under Grants 62204163 and 62404142, the Science and Technology Plan of Liaoning Province under Grant 2023JH2/101700278, the Basic Research Projects of Educational Department of Liaoning Province under Grant JYTMS20231212, and the Natural Science Foundation of Liaoning Province under Grant 2023-BSBA-245.
Institutional Review Board Statement
Not applicable.
Informed Consent Statement
Not applicable.
Data Availability Statement
The original contributions presented in this study are included in the article. Further inquiries can be directed to the corresponding author.
Conflicts of Interest
The authors declare no conflicts of interest.
References
- Ma, N.; Suematsu, K.; Yuasa, M.; Kida, T.; Shimanoe, K. Effect of Water Vapor on Pd-Loaded SnO2 Nanoparticles Gas Sensor. ACS Appl. Mater. Interfaces 2015, 7, 5863–5869. [Google Scholar] [CrossRef] [PubMed]
- Suematsu, K.; Sasaki, M.; Ma, N.; Yuasa, M.; Shimanoe, K. Antimony-Doped Tin Dioxide Gas Sensors Exhibiting High Stability in the Sensitivity to Humidity Changes. ACS Sens. 2016, 1, 913–920. [Google Scholar] [CrossRef]
- Wang, Y.; Liu, B.; Cai, D.; Li, H.; Liu, Y.; Wang, D.; Wang, L.; Li, Q.; Wang, T. Room-Temperature Hydrogen Sensor Based on Grain-Boundary Controlled Pt Decorated In2O3 Nanocubes. Sens. Actuators B 2014, 201, 351–359. [Google Scholar] [CrossRef]
- Lee, J.; Jung, Y.; Sung, S.-H.; Lee, G.; Kim, J.; Seong, J.; Shim, Y.-S.; Jun, S.C.; Jeon, S. High-Performance Gas Sensor Array for Indoor Air Quality Monitoring: The Role of Au Nanoparticles on WO3, SnO2, and NiO-Based Gas Sensors. J. Mater. Chem. A 2021, 9, 1159–1167. [Google Scholar] [CrossRef]
- Lu, S.; Zhang, Y.; Liu, J.; Li, H.-Y.; Hu, Z.; Luo, X.; Gao, N.; Zhang, B.; Jiang, J.; Zhong, A.; et al. Sensitive H2 Gas Sensors Based on SnO2 Nanowires. Sens. Actuators B 2021, 345, 130334. [Google Scholar] [CrossRef]
- Wu, C.-H.; Zhu, Z.; Chang, H.-M.; Jiang, Z.-X.; Hsieh, C.-Y.; Wu, R.-J. Pt@NiO Core–Shell Nanostructure for a Hydrogen Gas Sensor. J. Alloys Compd. 2020, 814, 151815. [Google Scholar] [CrossRef]
- Kabitakis, V.; Gagaoudakis, E.; Moschogiannaki, M.; Kiriakidis, G.; Seitkhan, A.; Firdaus, Y.; Faber, H.; Yengel, E.; Loganathan, K.; Deligeorgis, G.; et al. A Low-Power CuSCN Hydrogen Sensor Operating Reversibly at Room Temperature. Adv. Funct. Mater. 2022, 32, 2102635. [Google Scholar] [CrossRef]
- Punetha, D.; Kar, M.; Pandey, S.K. A New Type Low-Cost, Flexible and Wearable Tertiary Nanocomposite Sensor for Room Temperature Hydrogen Gas Sensing. Sci. Rep. 2020, 10, 2151. [Google Scholar] [CrossRef]
- Abdullah, Q.N.; Ahmed, A.R.; Ali, A.M.; Yam, F.K.; Hassan, Z.; Bououdina, M. Novel SnO2-Coated β-Ga2O3 Nanostructures for Room Temperature Hydrogen Gas Sensor. Int. J. Hydrogen Energy 2021, 46, 7000–7010. [Google Scholar] [CrossRef]
- Nam, Y.; Kim, K.-B.; Kim, S.H.; Park, K.-H.; Lee, M.-I.; Cho, J.W.; Lim, J.; Hwang, I.-S.; Kang, Y.C.; Hwang, J.-H. Synergistic Integration of Machine Learning with Microstructure/Composition-Designed SnO2 and WO3 Breath Sensors. ACS Sens. 2024, 9, 182–194. [Google Scholar] [CrossRef]
- Choi, P.G.; Masuda, Y. Surface Modification of Nanosheet-Type Tin Oxide with Au-Pd for Hydrogen Gas Sensing. J. Alloys Compd. 2023, 960, 170888. [Google Scholar] [CrossRef]
- Hossein-Babaei, F.; Ghafarinia, V. Compensation for the Drift-like Terms Caused by Environmental Fluctuations in the Responses of Chemoresistive Gas Sensors. Sens. Actuators B 2010, 143, 641–648. [Google Scholar] [CrossRef]
- Wang, Y.; Zhou, Y. Recent Progress on Anti-Humidity Strategies of Chemiresistive Gas Sensors. Materials 2022, 15, 8728. [Google Scholar] [CrossRef] [PubMed]
- Kim, H.; Haensch, A.; Kim, I.; Barsan, N.; Weimar, U.; Lee, J. Gas Sensors: The Role of NiO Doping in Reducing the Impact of Humidity on the Performance of SnO2-Based Gas Sensors: Synthesis Strategies, and Phenomenological and Spectroscopic Studies (Adv. Funct. Mater. 23/2011). Adv. Funct. Mater. 2011, 21, 4402. [Google Scholar] [CrossRef]
- Fan, X.; Wang, J.; Sun, C.; Huang, C.; Lu, Y.; Dai, P.; Xu, Y.; He, W. Effect of Pr/Zn on the anti-humidity and acetone-sensing properties of Co3O4 prepared by electrospray. RSC Adv. 2022, 12, 19384–19393. [Google Scholar] [CrossRef]
- Oh, J.; Kim, S.H.; Lee, M.-J.; Hwang, H.; Ku, W.; Lim, J.; Hwang, I.-S.; Lee, J.-H.; Hwang, J.-H. Machine Learning-Based Discrimination of Indoor Pollutants Using an Oxide Gas Sensor Array: High Endurance against Ambient Humidity and Temperature. Sens. Actuators B 2022, 364, 131894. [Google Scholar] [CrossRef]
- Chu, J.; Li, W.; Yang, X.; Wu, Y.; Wang, D.; Yang, A.; Yuan, H.; Wang, X.; Li, Y.; Rong, M. Identification of Gas Mixtures via Sensor Array Combining with Neural Networks. Sens. Actuators B 2021, 329, 129090. [Google Scholar] [CrossRef]
- Ji, H.; Zhu, H.; Zhang, R.; Zhang, S.; Yuan, Z.; Meng, F. Semiconductor Sensor Virtual Array: Gas Detection Strategy in Internet of Things to Suppress Humidity Interference. IEEE Internet Things J. 2024, 11, 4934–4941. [Google Scholar] [CrossRef]
- Kim, S.H.; Moon, Y.K.; Lee, J.-H.; Kang, Y.C.; Jeong, S.-Y. Hierarchically Porous PdO-Functionalized SnO2 Nano-Architectures for Exclusively Selective, Sensitive, and Fast Detection of Exhaled Hydrogen. J. Mater. Chem. A 2023, 11, 1159–1169. [Google Scholar] [CrossRef]
- Cai, Z.; Park, S. A Superior Sensor Consisting of Porous, Pd Nanoparticle–Decorated SnO2 Nanotubes for the Detection of Ppb-Level Hydrogen Gas. J. Alloys Compd. 2022, 907, 164459. [Google Scholar] [CrossRef]
- Pandey, G.; Lawaniya, S.D.; Kumar, S.; Dwivedi, P.K.; Awasthi, K. A Highly Selective, Efficient Hydrogen Gas Sensor Based on Bimetallic (Pd–Au) Alloy Nanoparticle (NP)-Decorated SnO2 Nanorods. J. Mater. Chem. A 2023, 11, 26687–26697. [Google Scholar] [CrossRef]
- Badie, C.; Lee, J.-H.; Mirzaei, A.; Kim, H.W.; Sayegh, S.; Bechelany, M.; Santinacci, L.; Kim, S.S. Enhanced Sensitivity towards Hydrogen by a TiN Interlayer in Pd-Decorated SnO2 Nanowires. J. Mater. Chem. A 2023, 11, 12202–12213. [Google Scholar] [CrossRef]
- Perez-Cortes, L.; Hernandez-Rodriguez, C.; Mazingue, T.; Lomello-Tafin, M. Functionality of Surface Acoustic Wave (SAW) Transducer for Palladium–Platinum-Based Hydrogen Sensor. Sens. Actuators A 2016, 251, 35–41. [Google Scholar] [CrossRef]
- Wu, B.; Zhao, C.; Xu, B.; Li, Y. Optical Fiber Hydrogen Sensor with Single Sagnac Interferometer Loop Based on Vernier Effect. Sens. Actuators B 2018, 255, 3011–3016. [Google Scholar] [CrossRef]
- Kim, S.; Song, Y.; Lim, H.-R.; Kwon, Y.-T.; Hwang, T.-Y.; Song, E.; Lee, S.; Lee, Y.-I.; Cho, H.-B.; Choa, Y.-H. Fabrication and Characterization of Thermochemical Hydrogen Sensor with Laminated Structure. Int. J. Hydrogen Energy 2017, 42, 749–756. [Google Scholar] [CrossRef]
- Wu, M.; Hu, S.; Wu, Z.; Wang, Z.; Li, M.; Liu, X.; Jin, X.; Lee, J.-H. Hydrogen Sensing Properties of FET-Type Sensors with Pt-In2O3 at Room Temperature. Chemosensors 2024, 12, 32. [Google Scholar] [CrossRef]
- Li, Z.; Yan, S.; Wu, Z.; Li, H.; Wang, J.; Shen, W.; Wang, Z.; Fu, Y. Hydrogen Gas Sensor Based on Mesoporous In2O3 with Fast Response/Recovery and ppb Level Detection Limit. Int. J. Hydrogen Energy 2018, 43, 22746–22755. [Google Scholar] [CrossRef]
Disclaimer/Publisher’s Note: The statements, opinions and data contained in all publications are solely those of the individual author(s) and contributor(s) and not of MDPI and/or the editor(s). MDPI and/or the editor(s) disclaim responsibility for any injury to people or property resulting from any ideas, methods, instructions or products referred to in the content. |
© 2025 by the authors. Licensee MDPI, Basel, Switzerland. This article is an open access article distributed under the terms and conditions of the Creative Commons Attribution (CC BY) license (https://creativecommons.org/licenses/by/4.0/).







