A Label-Free Fluorescence Polarization for Protein Detection Based on Albumin Nanoparticles
Abstract
1. Introduction
2. Materials and Methods
2.1. Materials
2.2. Preparation of HSA NPs
2.3. The Investigation of FP Changes in HSA NPs Incubated with DNA Sequences
2.4. The Effect of LYZ on HSA NPs/DNA-1 System
2.5. The Effect of TBA on HSA NPs/DNA-2 System or HSA NPs/DNA-3
3. Results and Discussions
4. Conclusions
Author Contributions
Funding
Informed Consent Statement
Data Availability Statement
Acknowledgments
Conflicts of Interest
References
- Xiao, X.; Zhen, S. Recent advances in fluorescence anisotropy/polarization signal amplification. RSC Adv. 2022, 12, 6364–6376. [Google Scholar] [CrossRef] [PubMed]
- Hendrickson, O.D.; Taranova, N.A.; Zherdev, A.V.; Dzantiev, B.B.; Eremin, S.A. Fluorescence Polarization-Based Bioassays: New Horizons. Sensors 2020, 20, 7132. [Google Scholar] [CrossRef] [PubMed]
- Camacho, R.; Täuber, D.; Scheblykin, I.G. Fluorescence Anisotropy Reloaded-Emerging Polarization Microscopy Methods for Assessing Chromophores’ Organization and Excitation Energy Transfer in Single Molecules, Particles, Films, and Beyond. Adv. Mater. 2019, 31, e1805671. [Google Scholar] [CrossRef] [PubMed]
- Jameson, D.M.; Ross, J.A. Fluorescence polarization/anisotropy in diagnostics and imaging. Chem. Rev. 2010, 110, 2685–2708. [Google Scholar] [CrossRef]
- Vinegoni, C.; Feruglio, P.F.; Gryczynski, I.; Mazitschek, R.; Weissleder, R. Fluorescence anisotropy imaging in drug discovery. Adv. Drug Deliv. Rev. 2019, 151–152, 262–288. [Google Scholar] [CrossRef]
- Bai, Y.; Shu, T.; Su, L.; Zhang, X. Functional nucleic acid-based fluorescence polarization/anisotropy biosensors for detection of biomarkers. Anal. Bioanal. Chem. 2020, 412, 6655–6665. [Google Scholar] [CrossRef]
- Fukuyama, M.; Nakamura, A.; Nishiyama, K.; Imai, A.; Tokeshi, M.; Shigemura, K.; Hibara, A. Noncompetitive Fluorescence Polarization Immunoassay for Protein Determination. Anal. Chem. 2020, 92, 14393–14397. [Google Scholar] [CrossRef]
- Zhang, Y.; Yan, P.; Tang, H.; Zhang, J. Rapid detection of tear lactoferrin for diagnosis of dry eyes by using fluorescence polarization-based aptasensor. Sci. Rep. 2023, 13, 15179. [Google Scholar] [CrossRef]
- Jia, W.; Jin, X.; Wu, Y.; Xie, D.; Yin, W.; Zhao, B.; Huang, Z.; Liu, L.; Yang, Y.; Cao, T.; et al. Amplification of fluorescence polarization signal based on specific recognition of aptamers combined with quantum quenching effect for ultrasensitive and simple detection of PCB-77. Spectrochim. Acta A Mol. Biomol. Spectrosc. 2022, 278, 121341. [Google Scholar] [CrossRef]
- Zhang, Z.; Tang, C.; Zhao, L.; Xu, L.; Zhou, W.; Dong, Z.; Yang, Y.; Xie, Q.; Fang, X. Aptamer-based fluorescence polarization assay for separation-free exosome quantification. Nanoscale 2019, 11, 10106–10113. [Google Scholar] [CrossRef]
- Lee, C.Y.; Degani, I.; Cheong, J.; Lee, J.H.; Choi, H.J.; Cheon, J.; Lee, H. Fluorescence polarization system for rapid COVID-19 diagnosis. Biosens. Bioelectron. 2021, 178, 113049. [Google Scholar] [CrossRef]
- Ma, P.; Duan, N.; Ye, H.; Xia, Y.; Ding, Z.; Wang, Z. Selection, truncation and fluorescence polarization based aptasensor for Weissella viridescens detection. Talanta 2022, 246, 123499. [Google Scholar] [CrossRef] [PubMed]
- Yang, H.; He, Q.; Eremin, S.A.; Pan, J.; Zou, Y.; Cui, X.; Zhao, S. Fluorescence polarization immunoassay for rapid determination of dehydroepiandrosterone in human urine. Anal. Bioanal. Chem. 2021, 413, 4459–4469. [Google Scholar] [CrossRef] [PubMed]
- Zhao, Q.; Tao, J.; Feng, W.; Uppal, J.S.; Peng, H.; Le, X.C. Aptamer binding assays and molecular interaction studies using fluorescence anisotropy—A review. Anal. Chim. Acta 2020, 1125, 267–278. [Google Scholar] [CrossRef] [PubMed]
- Zhao, Q.; Bai, Y.; Wang, H. Directing a rational design of aptamer-based fluorescence anisotropy assay for sensitive detection of immunoglobulin E by site-specific binding study. Talanta 2020, 217, 121018. [Google Scholar] [CrossRef]
- Liu, L.; Zhao, Q. A simple fluorescence anisotropy assay for detection of bisphenol A using fluorescently labeled aptamer. J. Environ. Sci. 2020, 97, 19–24. [Google Scholar] [CrossRef]
- Fan, S.; Wang, J.; Wen, X.; Feng, Y.; Shao, F.; Xu, L.; Liu, S.; Liu, W. A label-free fluorescence polarization technology for the detection of food additives. Spectrochim. Acta A Mol. Biomol. Spectrosc. 2026, 344, 126634. [Google Scholar] [CrossRef]
- Ziai, Y.; Rinoldi, C.; Petronella, F.; Zakrzewska, A.; De, S.L.; Pierini, F. Lysozyme-sensitive plasmonic hydrogel nanocomposite for colorimetric dry-eye inflammation biosensing. Nanoscale 2024, 16, 13492–13502. [Google Scholar] [CrossRef]
- Kirk, K.A.; Vasilescu, A.; Andreescu, D.; Senarathna, D.; Mondal, S.; Andreescu, S. Collision-Based Electrochemical Detection of Lysozyme Aggregation. Anal. Chem. 2021, 93, 2026–2037. [Google Scholar] [CrossRef]
- Melinte, G.; Selvolini, G.; Cristea, C.; Marrazza, G. Aptasensors for lysozyme detection: Recent advances. Talanta 2021, 226, 122169. [Google Scholar] [CrossRef]
- Yang, Z.H.; Huang, L.F.; Wang, Y.S.; Chang, C.C. Turn-off enzyme activity of histidine-rich peptides for the detection of lysozyme. Mikrochim. Acta 2024, 191, 307. [Google Scholar] [CrossRef]
- Oushyani, R.Z.; Ghasemi, H.; Khatami, S.H.; Khorsand, M.; Rahdan, F.; Chehri, D.; Sheydaei, O.; Aiiashi, S.; Mahmoudi, R.; Movahedpour, A. Aptamer biosensors for thrombin. Clin. Chim. Acta 2025, 565, 119976. [Google Scholar] [CrossRef]
- Deng, Z.; Tan, X.; Guo, D.; Zhang, J.; Xu, D.; Hou, X.; Wang, S.; Zhang, J.; Wei, F.; Zhang, D. MXene-sensitized electrochemiluminescence sensor for thrombin activity detection and inhibitor screening. Mikrochim. Acta 2023, 190, 328. [Google Scholar] [CrossRef] [PubMed]
- Ҫimen, D.; Bereli, N.; Günaydın, S.; Denizli, A. Molecular imprinted nanoparticle assisted surface plasmon resonance biosensors for detection of thrombin. Talanta 2022, 246, 123484. [Google Scholar] [CrossRef] [PubMed]
- Zheng, S.; Zhang, X.; Pang, Z.; Liu, J.; Liu, S.; Sheng, R. Anti-Pan-Rspo Chimeric Protein-Conjugated Albumin Nanoparticle Provides Promising Opportunities in Cancer Targeted Therapy. Adv. Healthc. Mater. 2023, 12, e2301441. [Google Scholar] [CrossRef] [PubMed]
- Yang, Q.; Ye, Z.; Zhong, M.; Chen, B.; Chen, J.; Zeng, R.; Wei, L.; Li, H.W.; Xiao, L. Self-Assembled Fluorescent Bovine Serum Albumin Nanoprobes for Ratiometric pH Measurement inside Living Cells. ACS Appl. Mater. Interfaces 2016, 8, 9629–9634. [Google Scholar] [CrossRef]
- Lacroix, A.; Edwardson, T.G.W.; Hancock, M.A.; Dore, M.D.; Sleiman, H.F. Development of DNA Nanostructures for high-affinity binding to human serum albumin. J. Am. Chem. Soc. 2017, 139, 7355–7362. [Google Scholar] [CrossRef]
- Vita, G.M.; De Simone, G.; De Marinis, E.; Nervi, C.; Ascenzi, P.; Di Masi, A. Serum albumin and nucleic acids biodistribution: From molecular aspects to biotechnological applications. IUBMB Life 2022, 74, 866–879. [Google Scholar] [CrossRef]
- Lin, Y.; Sun, Y.; Dai, Y.; Zhu, X.; Liu, H.; Han, R.; Gao, D.; Luo, C.; Wang, X. A chemiluminescence assay for determination of lysozyme based on the use of magnetic alginate-aptamer composition and hemin@HKUST-1. Mikrochim. Acta 2020, 187, 281. [Google Scholar] [CrossRef]
- Bayramoglu, G.; Kilic, M.; Arica, M.Y. Selective isolation and sensitive detection of lysozyme using aptamer based magnetic adsorbent and a new quartz crystal microbalance system. Food Chem. 2022, 382, 132353. [Google Scholar] [CrossRef]
- Tang, D.; Liao, D.; Zhu, Q.; Wang, F.; Jiao, H.; Zhang, Y.; Yu, C. Fluorescence turn-on detection of a protein through the displaced single-stranded DNA binding protein binding to a molecular beacon. Chem. Commun. 2011, 47, 5485–5487. [Google Scholar] [CrossRef]
- Wang, B.; Yu, C. Fluorescence turn-on detection of a protein through the reduced aggregation of a perylene probe. Angew. Chem. Int. Ed. Engl. 2010, 49, 1485–1488. [Google Scholar] [CrossRef] [PubMed]
- Zhao, L.; Li, L.; Zhu, C.; Ghulam, M.; Qu, F. pH-responsive polymer assisted aptamer functionalized magnetic nanoparticles for specific recognition and adsorption of proteins. Anal. Chim. Acta 2020, 1097, 161–168. [Google Scholar] [CrossRef] [PubMed]
- Dillen, A.; Vandezande, W.; Daems, D.; Lammertyn, J. Unraveling the effect of the aptamer complementary element on the performance of duplexed aptamers: A thermodynamic study. Anal. Bioanal. Chem. 2021, 413, 4739–4750. [Google Scholar] [CrossRef] [PubMed]
- Myres, G.J.; Kitt, J.P.; Harris, J.M. Raman Scattering Reveals Ion-Dependent G-Quadruplex Formation in the 15-mer Thrombin-Binding Aptamer upon Association with α-Thrombin. Anal. Chem. 2023, 95, 16160–16168. [Google Scholar] [CrossRef]
- Riccardi, C.; Napolitano, E.; Platella, C.; Musumeci, D.; Montesarchio, D. G-quadruplex-based aptamers targeting human thrombin: Discovery, chemical modifications and antithrombotic effects. Pharmacol. Ther. 2021, 217, 107649. [Google Scholar] [CrossRef]
- Wang, Y.H.; Xia, H.; Huang, K.J.; Wu, X.; Ma, Y.Y.; Deng, R.; Lu, Y.F.; Han, Z.W. Ultrasensitive determination of thrombin by using an electrode modified with WSe2 and gold nanoparticles, aptamer-thrombin-aptamer sandwiching, redox cycling, and signal enhancement by alkaline phosphatase. Mikrochim. Acta 2018, 185, 502. [Google Scholar] [CrossRef]
- Avino, A.; Fabrega, C.; Tintore, M.; Eritja, R. Thrombin binding aptamer, more than a simple aptamer: Chemically modified derivatives and biomedical applications. Curr. Pharm. Des. 2012, 18, 2036–2047. [Google Scholar] [CrossRef]
- Bock, L.C.; Griffin, L.C.; Latham, J.A.; Vermaas, E.H.; Toole, J.J. Selection of single-stranded DNA molecules that bind and inhibit human thrombin. Nature 1992, 355, 564–566. [Google Scholar] [CrossRef]
- Wang, J.; Liu, B. Fluorescence resonance energy transfer between an anionic conjugated polymer and a dye-labeled lysozyme aptamer for specific lysozyme detection. Chem. Commun. 2009, 17, 2284–2286. [Google Scholar] [CrossRef]
- Zhang, X.; Tang, B.; Li, Y.; Liu, C.; Jiao, P.; Wei, Y. Molecularly Imprinted Magnetic Fluorescent Nanocomposite-Based Sensor for Selective Detection of Lysozyme. Nanomaterials 2021, 11, 1575. [Google Scholar] [CrossRef] [PubMed]
- Cai, Z.X.; Chen, G.X.; Huang, X.; Ma, M.H. Determination of lysozyme at the nanogram level in chicken egg white using Resonance Rayleigh-scattering method with Cd-doped ZnSe quantum dots as probe. Sens. Actuators B 2011, 157, 368–373. [Google Scholar] [CrossRef]
- Mukhametova, L.I.; Zherdev, D.O.; Kuznetsov, A.N.; Yudina, O.N.; Tsvetkov, Y.E.; Eremin, S.A.; Krylov, V.B.; Nifantiev, N.E. Fluorescence-Polarization-Based Assaying of Lysozyme with Chitooligosaccharide Tracers. Biomolecules 2024, 14, 170. [Google Scholar] [CrossRef] [PubMed]
- Mukhametova, L.I.; Zherdev, D.O.; Eremin, S.A.; Levashov, P.A.; Siebert, H.C.; Tsvetkov, Y.E.; Yudina, O.N.; Krylov, V.B.; Nifantiev, N.E. Application of the Chitooligosaccharides and Fluorescence Polarization Technique for the Assay of Active Lysozyme in Hen Egg White. Biomolecules 2024, 14, 1589. [Google Scholar] [CrossRef]
- Zeng, X.; Zhou, Q.; Wang, L.; Zhu, X.; Cui, K.; Peng, X.; Steele, T.W.J.; Chen, H.; Xu, H.; Zhou, Y. A Fluorescence Kinetic-Based Aptasensor Employing Stilbene Isomerization for Detection of Thrombin. Materials 2021, 14, 6927. [Google Scholar] [CrossRef]
- Chen, L.; Bao, Y.; Denstedt, J.; Zhang, J. Nanostructured bioluminescent sensor for rapidly detecting thrombin. Biosens. Bioelectron. 2016, 77, 83–89. [Google Scholar] [CrossRef]
- Zhu, Y.; Hu, X.C.; Shi, S.; Gao, R.R.; Huang, H.L.; Zhu, Y.Y.; Lv, X.Y.; Yao, T.M. Ultrasensitive and universal fluorescent aptasensor for the detection of biomolecules (ATP, adenosine and thrombin) based on DNA/Ag nanoclusters fluorescence light-up system. Biosens. Bioelectron. 2016, 79, 205–212. [Google Scholar] [CrossRef]
- Li, J.; Zhong, X.; Zhang, H.; Le, X.C.; Zhu, J.J. Binding-induced fluorescence turn-on assay using aptamer-functionalized silver nanocluster DNA probes. Anal. Chem. 2012, 84, 5170–5174. [Google Scholar] [CrossRef]
- Xu, N.; Wang, Q.; Lei, J.; Liu, L.; Ju, H. Label-free triple-helix aptamer as sensing platform for “signal-on” fluorescent detection of thrombin. Talanta 2015, 132, 387–391. [Google Scholar] [CrossRef]










| A1 | τ1 | A2 | τ2 | R2 | |
|---|---|---|---|---|---|
| HSA NPs | 1090.27 | 1.43 | 39.57 | 13.11 | 0.989 |
| HSA NPs/DNA-1 | 1086.85 | 1.38 | 45.07 | 12.44 | 0.991 |
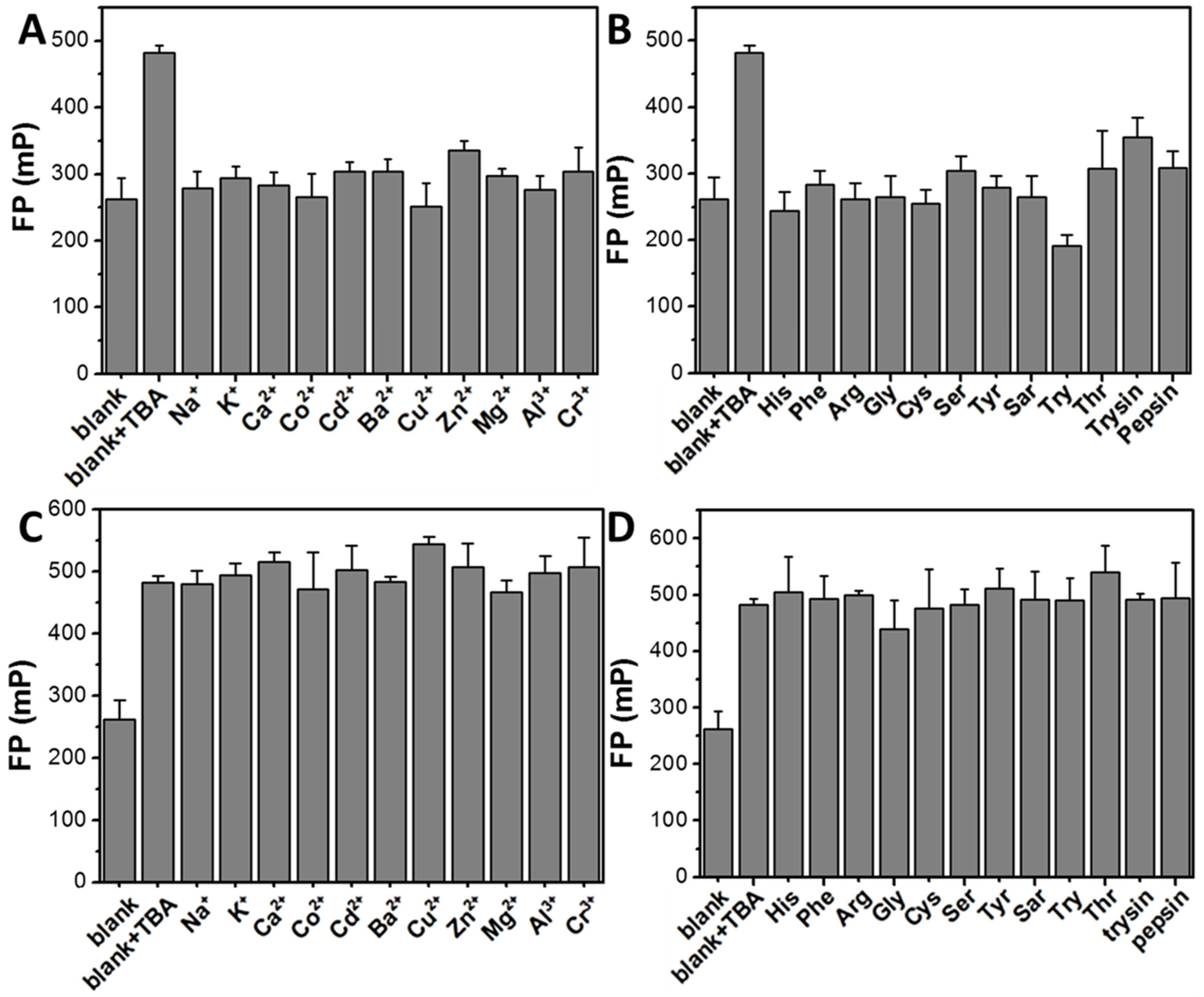
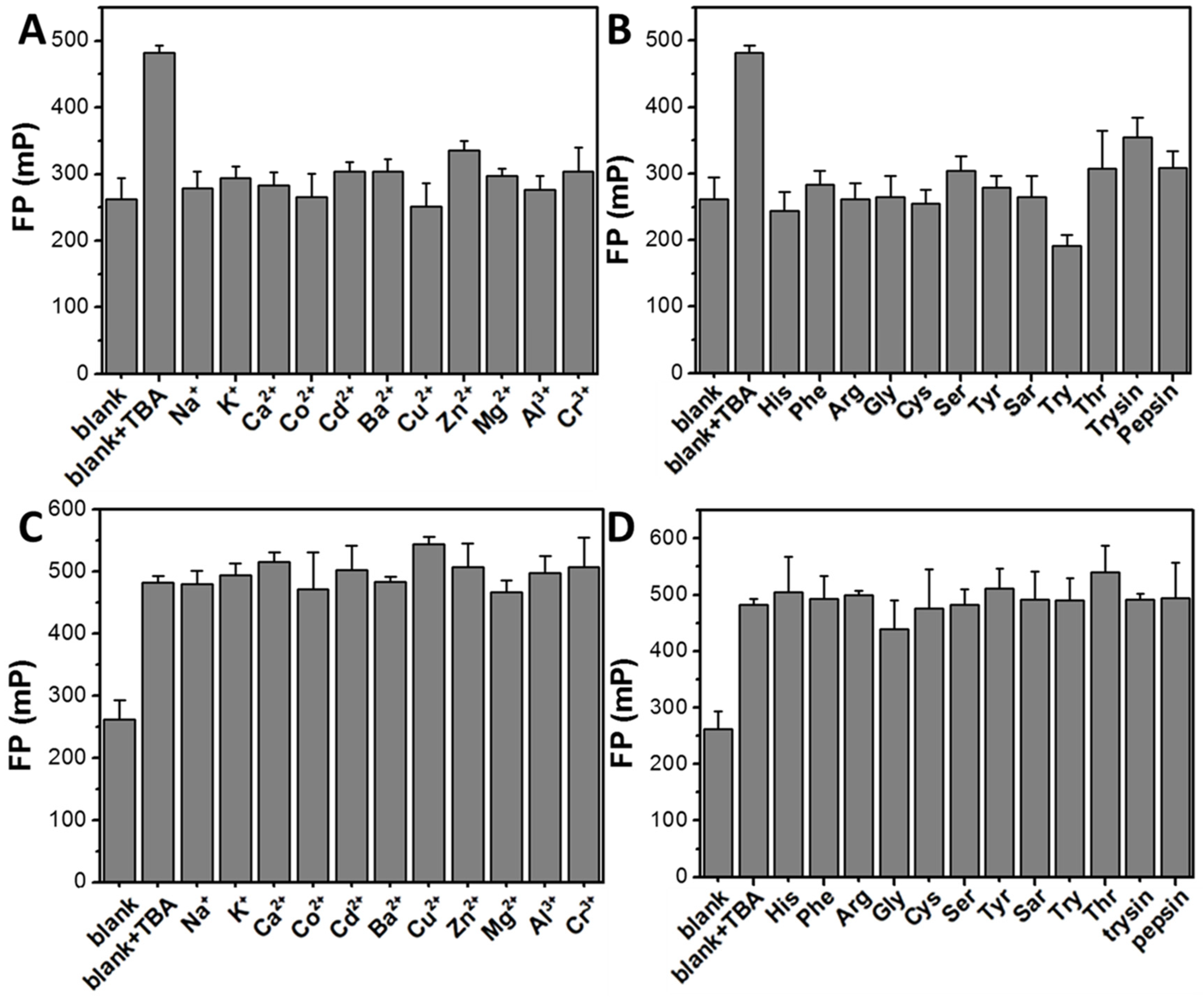
| Individual Substance | Concentration (μg/mL) | FP Change Ratio (%) |
|---|---|---|
| LYZ | 4.167 | 247.0 |
| Na+ | 4.167 | 101.6 |
| K+ | 4.167 | 124.0 |
| Ca2+ | 4.167 | 107.7 |
| Co2+ | 4.167 | 115.7 |
| Cd2+ | 4.167 | 110.3 |
| Ba2+ | 4.167 | 135.0 |
| Cu2+ | 4.167 | 112.5 |
| Zn2+ | 4.167 | 96.9 |
| Mg2+ | 4.167 | 142.2 |
| Al3+ | 4.167 | 111.9 |
| Cr3+ | 4.167 | 110.1 |
| His | 4.167 | 106.0 |
| Phe | 4.167 | 123.3 |
| Arg | 4.167 | 106.3 |
| Gly | 4.167 | 88.4 |
| Cys | 4.167 | 95.9 |
| Ser | 4.167 | 111.8 |
| Tyr | 4.167 | 104.2 |
| Sar | 4.167 | 148.9 |
| Try | 4.167 | 80.8 |
| Thr | 4.167 | 102.8 |
| Trysin | 4.167 | 150.4 |
| Pepsin | 4.167 | 152.8 |
| Concomitant Substance | Concentration (μg/mL) | FP Change Ratio (%) |
|---|---|---|
| Na+ | 4.167 | 249.5 |
| K+ | 4.167 | 251.8 |
| Ca2+ | 4.167 | 250.0 |
| Co2+ | 4.167 | 250.7 |
| Cd2+ | 4.167 | 240.4 |
| Ba2+ | 4.167 | 258.6 |
| Cu2+ | 4.167 | 279.2 |
| Zn2+ | 4.167 | 256.7 |
| Mg2+ | 4.167 | 228.9 |
| Al3+ | 4.167 | 242.9 |
| Cr3+ | 4.167 | 245.2 |
| His | 4.167 | 254.0 |
| Phe | 4.167 | 244.9 |
| Arg | 4.167 | 256.9 |
| Gly | 4.167 | 240.6 |
| Cys | 4.167 | 235.4 |
| Ser | 4.167 | 259.8 |
| Tyr | 4.167 | 242.3 |
| Sar | 4.167 | 250.6 |
| Try | 4.167 | 260.1 |
| Thr | 4.167 | 248.7 |
| Trysin | 4.167 | 241.6 |
| Pepsin | 4.167 | 204.5 |
| Individual Substance | Concentration (μg/mL) | FP Changes Ratio (%) |
|---|---|---|
| TBA | 8.334 | 184.0 |
| Na+ | 8.334 | 106.5 |
| K+ | 8.334 | 112.2 |
| Ca2+ | 8.334 | 108.0 |
| Co2+ | 8.334 | 101.1 |
| Cd2+ | 8.334 | 116.0 |
| Ba2+ | 8.334 | 116.1 |
| Cu2+ | 8.334 | 95.8 |
| Zn2+ | 8.334 | 128.2 |
| Mg2+ | 8.334 | 113.3 |
| Al3+ | 8.334 | 105.3 |
| Cr3+ | 8.334 | 115.8 |
| His | 8.334 | 93.1 |
| Phe | 8.334 | 108.0 |
| Arg | 8.334 | 100.1 |
| Gly | 8.334 | 101.1 |
| Cys | 8.334 | 97.3 |
| Ser | 8.334 | 116.0 |
| Tyr | 8.334 | 106.5 |
| Sar | 8.334 | 101.1 |
| Try | 8.334 | 0.729 |
| Thr | 8.334 | 117.6 |
| Trysin | 8.334 | 135.4 |
| Pepsin | 8.334 | 117.9 |
| Concomitant Substance | Concentration (μg/mL) | FP Changes Ratio (%) |
|---|---|---|
| Na+ | 8.334 | 183.0 |
| K+ | 8.334 | 188.5 |
| Ca2+ | 8.334 | 196.7 |
| Co2+ | 8.334 | 179.8 |
| Cd2+ | 8.334 | 191.9 |
| Ba2+ | 8.334 | 184.3 |
| Cu2+ | 8.334 | 207.5 |
| Zn2+ | 8.334 | 193.7 |
| Mg2+ | 8.334 | 177.9 |
| Al3+ | 8.334 | 190.0 |
| Cr3+ | 8.334 | 193.7 |
| His | 8.334 | 192.5 |
| Phe | 8.334 | 187.9 |
| Arg | 8.334 | 190.8 |
| Gly | 8.334 | 167.6 |
| Cys | 8.334 | 181.7 |
| Ser | 8.334 | 184.1 |
| Tyr | 8.334 | 194.9 |
| Sar | 8.334 | 187.7 |
| Try | 8.334 | 187.3 |
| Thr | 8.334 | 206.2 |
| Trysin | 8.334 | 187.5 |
| Pepsin | 8.334 | 188.8 |
| Analyte | Detection Mode | Detection System | Detection Range (μg/mL) | Detection Limit (μg/mL) | Reference |
|---|---|---|---|---|---|
| LYZ | Fluorescence | FAM-labeled aptamer/PFP -SO3Na | 0–39.7 | 0.80 | [40] |
| Fluorescence | MNP/QD@MIPs | 0.286–2.86 | 0.006 | [41] | |
| Resonance Rayleigh Scattering | GSH−Cd doped ZnSe QDs | 0–1.5 | 0.1 | [42] | |
| FP | FITC-Chito- Oligosaccharid | 0.43–3.57 | 0.43 | [43] | |
| FP | FITC-labeled oligosaccharide | 17–87.5 | 17 | [44] | |
| FP | HSA NPs and DNA | 0–0.417 | 0.032 | This work | |
| TBA | Fluorescence | Stilbene/DNA | 1.08–3.6 | 0.738 | [45] |
| Fluorescence | Recombinant protein/Au NPs | 0.0288–28.8 | 0.0003 | [46] | |
| Fluorescence | DNA-Ag NCs | 0.18–3.26 | 0.03 | [47] | |
| Fluorescence | Ag NCs | 0.018–7.2 | 0.036 | [48] | |
| Fluorescence | Triple-helix aptamer | 0.018–4.3 | 0.006 | [49] | |
| FP | HSA NPs and DNA | 0–2.084 | 0.095 | This work |
| Added (μg/mL) | Tested (μg/mL) | Recovery (%) | RSD (%) | |
|---|---|---|---|---|
| 1 | 2.5 | 2.3 | 92 | 4.2 |
| 2 | 8.0 | 8.6 | 108 | 3.3 |
| Added (μg/mL) | Tested (μg/mL) | Recovery (%) | RSD (%) | |
|---|---|---|---|---|
| 1 | 8.0 | 8.3 | 104 | 4.7 |
| 2 | 20.0 | 21.8 | 109 | 3.1 |
Disclaimer/Publisher’s Note: The statements, opinions and data contained in all publications are solely those of the individual author(s) and contributor(s) and not of MDPI and/or the editor(s). MDPI and/or the editor(s) disclaim responsibility for any injury to people or property resulting from any ideas, methods, instructions or products referred to in the content. |
© 2025 by the authors. Licensee MDPI, Basel, Switzerland. This article is an open access article distributed under the terms and conditions of the Creative Commons Attribution (CC BY) license (https://creativecommons.org/licenses/by/4.0/).
Share and Cite
Wang, Y.; An, R.; Liu, F.; Dong, Z.; Yang, S.; Liu, S. A Label-Free Fluorescence Polarization for Protein Detection Based on Albumin Nanoparticles. Chemosensors 2025, 13, 396. https://doi.org/10.3390/chemosensors13110396
Wang Y, An R, Liu F, Dong Z, Yang S, Liu S. A Label-Free Fluorescence Polarization for Protein Detection Based on Albumin Nanoparticles. Chemosensors. 2025; 13(11):396. https://doi.org/10.3390/chemosensors13110396
Chicago/Turabian StyleWang, Yunshu, Ruixin An, Fengwei Liu, Zeyan Dong, Sheng Yang, and Siyu Liu. 2025. "A Label-Free Fluorescence Polarization for Protein Detection Based on Albumin Nanoparticles" Chemosensors 13, no. 11: 396. https://doi.org/10.3390/chemosensors13110396
APA StyleWang, Y., An, R., Liu, F., Dong, Z., Yang, S., & Liu, S. (2025). A Label-Free Fluorescence Polarization for Protein Detection Based on Albumin Nanoparticles. Chemosensors, 13(11), 396. https://doi.org/10.3390/chemosensors13110396
