A Study Based on the First-Principle Study of the Adsorption and Sensing Properties of Mo-Doped WSe2 for N2O, CO2, and CH4
Abstract
1. Introduction
2. Computational Method
3. Results
3.1. Analysis of Monolayer Mo-WSe2
3.2. Adsorption Performance Analysis of Mo-WSe2
3.2.1. Adsorption Configuration Analysis
3.2.2. Analysis of the Interaction Force
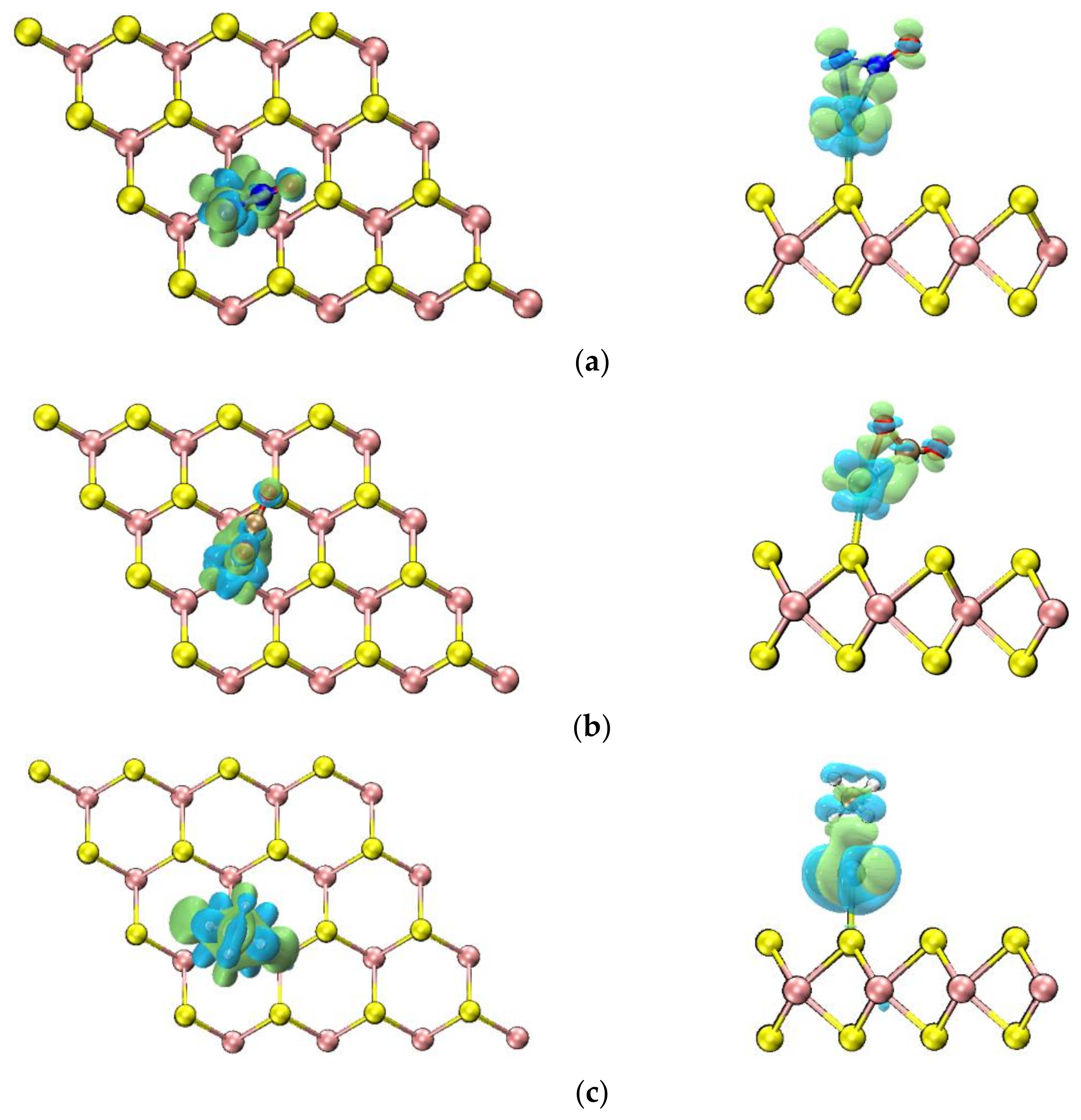
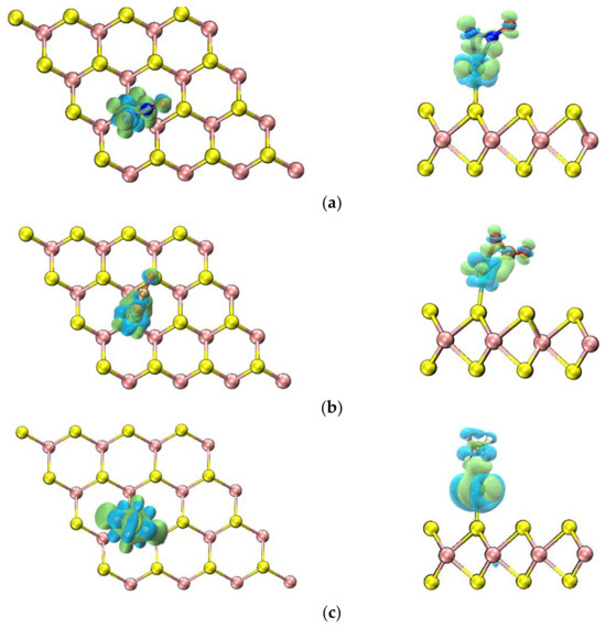
3.2.3. Analysis of ELF
3.2.4. Analysis of the DOS of the Adsorption Systems
3.3. Analysis of the Sensing Performance of Mo-WSe2
4. Discussion
Author Contributions
Funding
Institutional Review Board Statement
Informed Consent Statement
Data Availability Statement
Conflicts of Interest
References
- Wang, Y.; Ding, D.; Zhang, Y.; Yuan, Z.; Tian, S.; Zhang, X. Research on infrared spectrum characteristics and detection technology of environmental-friendly insulating medium C5F10O. Vib. Spectrosc. 2022, 118, 103336. [Google Scholar]
- Wu, Y.; Ding, D.; Wang, Y.; Zhou, C.; Lu, H.; Zhang, X. Defect recognition and condition assessment of epoxy insulators in gas insulated switchgear based on multi-information fusion. Measurement 2022, 190, 0263–2241. [Google Scholar]
- Lv, Y.; Wang, Y.; Sun, Y.; Li, N.; Wang, X.; Hao, R. Status analysis of domestic and foreign strategies for climate change health adaptation. J. Environ. Health 2022, 12, 241–253. [Google Scholar]
- Fan, Z.; Song, C.; Qi, X.; Zeng, L.; Wu, F. Accounting of greenhouse gas emissions in the Chinese agricultural system from 1980 to 2020. Sheng Tai Xue Bao 2022, 42, 1–13. [Google Scholar]
- Chen, Z.; Li, J.; Zhang, X.; Jiang, F. Progress on Construction and Research of Sensing Films of Molecularly Imprinted Electrochemical Sensors. J. Instrum. 2010, 29, 97–104. [Google Scholar]
- Li, W.; Huang, S.; Chen, W. Recent developments of gas sensors for methane detection. J. Fujian Univ. Technol. 2006, 4, 4–8. [Google Scholar]
- Zhang, Y.; Zhang, X.; Fu, M.; Wang, D.; Wang, T.; Tian, S. Quantitative Analysis Method of C4F7N and Its Decomposition Products Based on Infrared Spectroscopy Technology. High Volt. Eng. 2022, 48, 1836–1845. [Google Scholar]
- Zhang, D.; Tong, J.; Xia, B. Humidity-sensing properties of chemically reduced graphene oxide/polymer nanocomposite film sensor based on layer-by-layer nano self-assembly. Sens. Actuators B Chem. 2014, 197, 66–72. [Google Scholar]
- Cui, H.; Zhang, X.; Zhang, J.; Zhang, Y. Nanomaterials-based gas sensors of SF6 decomposed species for evaluating the operation status of high-voltage insulation devices. High Volt. 2019, 4, 242–258. [Google Scholar]
- Zhang, D.; Sun, Y.; Li, P.; Zhang, Y. Facile fabrication of MoS2-modified SnO2 hybrid nanocomposite for ultrasensitive humidity sensing. ACS Appl. Mater. Interfaces 2016, 8, 14142–14149. [Google Scholar]
- Chen, D.; Zhang, X.; Xiong, H.; Li, Y.; Tang, J.; Xiao, S.; Zhang, D. A First-Principles Study of the SF6 Decomposed Products Adsorbed Over Defective WS2 Monolayer as Promising Gas Sensing Device. IEEE Trans. Device Mater. Reliab. 2019, 19, 473–483. [Google Scholar] [CrossRef]
- Zhang, X.; Yu, L.; Wu, X.; Hu, W. Experimental sensing and density functional theory study of H2S and SOF2 adsorption on Au-modified graphene. Adv. Sci. 2015, 2, 1500101. [Google Scholar]
- Zhang, X.; Wu, F.; Tie, J.; Xiong, H.; Jiang, H.; Tang, J. TiO2 Nanotube Array Sensor for Detecting SF6 Decomposition Component SO2F2. High Volt. Eng. 2014, 40, 3396–3402. [Google Scholar]
- Tian, Y.; Feng, Q.; Zhou, K.; Liu, P. Effect of optical gas sensing properties rutile phase oxide TiO2, SnO2 and GeO2 surface oxidation with HCl molecules. Chin. Sci. Bull. 2017, 62, 1729–1737. [Google Scholar]
- Pi, S.; Zhang, X.; Fang, J.; Chen, D. Different PtNPs Doped Graphene Sensor for Detecting Gas Sensitive Property of SF6 Decomposition Components. High Volt. Appar. 2022, 58, 67–72. [Google Scholar]
- Zhang, X.; Wang, J.; Chen, D.; Liu, L. The adsorption performance of harmful gas on Cu doped WS2: A First principle study. Mater. Today Commun. 2021, 28, 102488. [Google Scholar] [CrossRef]
- Li, H.; Liu, S.; Feng, Q. Research and Application Progress of Electrochemical Sensors Based on Two-dimensional Layered Semiconductor Materials. Mater. Rep. 2022, 36, 20080298. [Google Scholar]
- Yang, Z.; Li, B.; Han, Y.; Su, C.; Chen, W.; Zhou, Z. Gas sensors based on two-dimensional transition metal dichalcogenide nanoheterojunctions. Chin. Sci. Bull. 2019, 64, 3699–3716. [Google Scholar]
- Zhang, Y.; Wei, X.; Yu, Y.; Zhang, H. Research Progress on the Application of Transition-metal Dichalcogenides in FET. J. Synth. Cryst. 2017, 46, 868–873. [Google Scholar]
- Pham, V.P.; Yeom, G.Y. Recent Advances in Doping of Molybdenum Disulfide: Industrial Applications and Future Prospects. Adv. Mater. 2016, 28, 9024–9059. [Google Scholar]
- Chen, Z.; Zhang, X.; Xiong, H.; Chen, D.; Cheng, H.; Tang, J.; Tian, Y.; Xiao, S. Dissolved GasAnalysis in Transformer Oil Using Pt-Doped WSe2 Monolayer Based on FirstPrinciples Method. IEEE Access 2019, 7, 72012–72019. [Google Scholar] [CrossRef]
- Ni, J.; Wang, W.; Quintana, M.; Jia, F.; Song, S. Adsorption of small gas molecules onstrained monolayer WSe2 doped with Pd, Ag, Au, and Pt: A computationalinvestigation. Appl. Surf. Sci. 2020, 514, 145911. [Google Scholar] [CrossRef]
- Mi, H.; Zhou, Q.; Zeng, W. A density functional theory study of the adsorption of Cl2, NH3, and NO2 on Ag3-doped WSe2 monolayers. Appl. Surf. Sci. 2021, 563, 150329. [Google Scholar] [CrossRef]
- Chen, J.; Chen, J.; Zeng, W.; Zhou, Q. Adsorption of HCN on WSe2 monolayer doped with transition metal (Fe, Ag, Au, As and Mo). Sens. Actuators A Phys. 2022, 341, 113612. [Google Scholar] [CrossRef]
- Wang, D.; Chen, D.; Pi, S.; Zhang, X.; Tang, J. Density Functional Theory Study of SF6 Decomposed Products Over ZnO (0001) with Gas Sensing Properties. CES TEMS 2020, 35, 1592–1602. [Google Scholar]
- Zhang, D.; Cao, Y.; Yang, Z.; Wu, J. Nanoheterostructure construction and DFT study of Ni-doped In2O3 nanocubes/WS2 hexagon nanosheets for formaldehyde sensing at room temperature. ACS Appl. Mater. 2020, 12, 11979–11989. [Google Scholar] [CrossRef]
- Liu, L.; Yao, H.; Jiang, Z. Theoretical study of methanol synthesis form CO2 hydrogenation on PdCu3(111) Surfaces. Appl. Surf. Sci. 2018, 451, 333–345. [Google Scholar] [CrossRef]
- Xiao, S.; Zhang, J.; Zhang, X.; Chen, D.; Fu, M.; Tang, J.; Li, Y. Adsorption Characteristics of γ-Al2O3 for the Environment-friendly Insulation Medium C3F7CN/N2 and Its Decomposition Products. High Volt. Eng. 2018, 44, 3135–3140. [Google Scholar]
- Burdett, J.K.; McCormick, T.A. Electron localization in molecules and solids: The meaning of ELF. J. Phys. Chem. A 1998, 102, 6366–6372. [Google Scholar] [CrossRef]
- Lu, T.; Chen, F. Multiwfn: A multifunctional wavefunction analyzer. J. Comput. Chem. 2012, 33, 580–592. [Google Scholar] [CrossRef]
- Duan, K. Design and Study on the Adsorption of WSe2 Gas Doped with Group V and VII Atoms Based on the First Principle. Master’s Thesis, Nanjing University of Posts and Telecommunications, Nanjing, China, 2022. [Google Scholar]
- Xie, Z.; Li, X.; Zeng, L.; Cheng, C.; Song, Z.; Liu, M. Research on Adsorption Mechanism of Mn-doped SnS Two-dimensional Materials Towards Dissolved Gases Analy. High Volt. Appar. 2024, 60, 182–190. [Google Scholar]
- Wu, H.; Zhang, B.; Li, X.; Hu, X. First-principles screening upon Pd-doped HfSe2 monolayer as an outstanding gas sensor for DGA in transformers. Comput. Theor. Chem. 2022, 1, 1208. [Google Scholar] [CrossRef]
- Sharma, A.; Khan, M.S.; Husain, M.; Khan, M.S.; Srivastava, A. Sensing of CO and NO on Cu-doped MoS2 Monolayer Based Single Electron Transistor: A First Principles Study. IEEE Sens. J. 2018, 18, 2853–2860. [Google Scholar] [CrossRef]
- Wang, Y.; Liu, B.; Fang, R.; Jing, L.; Wu, P.; Tian, S. Adsorption and Sensing of CO2, CH4 and N2O Molecules by Ti-Doped HfSe2 Monolayer Based on the First-Principle. Chemosensors 2022, 10, 414. [Google Scholar] [CrossRef]
- Cui, H.; Zhang, X.; Zhang, G.; Tang, J. Pd-doped MoS2 monolayr: A promising candidate for DGA in transformer oil based on DFT method. Appl. Surf. Sci. 2019, 470, 1035. [Google Scholar] [CrossRef]
- Zhang, D.; Yang, Z.; Li, P.; Pang, M.; Xue, Q. Flexible self-poared high-performance ammonia sensor based on Au-decoratedMoSe2 nanoflowers driven by single layer MoS2-flake piezoelectric nanogenerator. Nano Energy 2019, 65, 103974. [Google Scholar] [CrossRef]













| Dope Position | Ebind/eV |
|---|---|
| Above the upper Se atom | −0.830 |
| Center of the three Se atoms | 0.526 |
| Above the W atom | −0.693 |
| Gas | Ead/eV | dgas’/Å | dgas/Å | dMo-Se’/Å | dMo-Se/Å | D/Å |
|---|---|---|---|---|---|---|
| N2O | −1.349 | 1.141 | 1.251 | 2.219 | 2.580 | 2.079 |
| CO2 | −1.194 | 1.178 | 1.315 | 2.214 | 2.552 | 2.084 |
| CH4 | −0.528 | 1.097 | 1.116 | 2.702 | 2.475 | 2.223 |
| Gas | τ/s | |||
|---|---|---|---|---|
| 298 K | 398 K | 498 K | 598 K | |
| N2O | 6.52 × 1011 | 1.21 × 105 | 44.86 | 0.233 |
| CO2 | 1.55 × 108 | 1.316 × 103 | 1.21 | 0.011 |
| CH4 | 1.25 × 10−3 | 6.48 × 10−6 | 2.78 × 10−7 | 3.42 × 10−8 |
Disclaimer/Publisher’s Note: The statements, opinions and data contained in all publications are solely those of the individual author(s) and contributor(s) and not of MDPI and/or the editor(s). MDPI and/or the editor(s) disclaim responsibility for any injury to people or property resulting from any ideas, methods, instructions or products referred to in the content. |
© 2024 by the authors. Licensee MDPI, Basel, Switzerland. This article is an open access article distributed under the terms and conditions of the Creative Commons Attribution (CC BY) license (https://creativecommons.org/licenses/by/4.0/).
Share and Cite
Dong, M.; Wu, Y.; Zhou, S.; Zhang, S.; Peng, J.; Tian, S.; Liu, B. A Study Based on the First-Principle Study of the Adsorption and Sensing Properties of Mo-Doped WSe2 for N2O, CO2, and CH4. Chemosensors 2024, 12, 192. https://doi.org/10.3390/chemosensors12090192
Dong M, Wu Y, Zhou S, Zhang S, Peng J, Tian S, Liu B. A Study Based on the First-Principle Study of the Adsorption and Sensing Properties of Mo-Doped WSe2 for N2O, CO2, and CH4. Chemosensors. 2024; 12(9):192. https://doi.org/10.3390/chemosensors12090192
Chicago/Turabian StyleDong, Mingqi, Yingyu Wu, Shiqi Zhou, Shuai Zhang, Junzhe Peng, Shuangshuang Tian, and Benli Liu. 2024. "A Study Based on the First-Principle Study of the Adsorption and Sensing Properties of Mo-Doped WSe2 for N2O, CO2, and CH4" Chemosensors 12, no. 9: 192. https://doi.org/10.3390/chemosensors12090192
APA StyleDong, M., Wu, Y., Zhou, S., Zhang, S., Peng, J., Tian, S., & Liu, B. (2024). A Study Based on the First-Principle Study of the Adsorption and Sensing Properties of Mo-Doped WSe2 for N2O, CO2, and CH4. Chemosensors, 12(9), 192. https://doi.org/10.3390/chemosensors12090192
