Preparation, Characterization and Electrochemical Response of Nanostructured TiAlV with Potentiostatically Deposited IrOx as a pH Sensor for Rapid Detection of Inflammation
Abstract
1. Introduction
2. Materials and Methods
3. Results and Discussion
3.1. Base Material
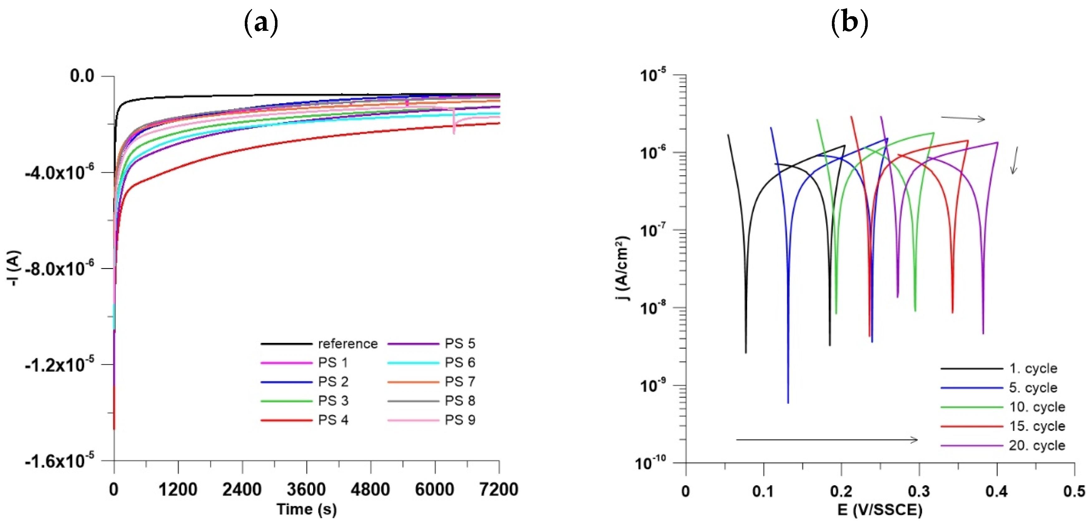
3.2. Sample Preparation and Characterization
3.3. Electrochemical Response to pH Change
4. Conclusions
Author Contributions
Funding
Institutional Review Board Statement
Informed Consent Statement
Data Availability Statement
Conflicts of Interest
References
- Tomšík, E.; Gunár, K.; Krunclová, T.; Ivanko, I.; Trousil, J.; Fojt, J.; Hybášek, V.; Daniel, M.; Sepitka, J.; Judl, T.; et al. Development of Smart Sensing Film with Nonbiofouling Properties for Potentiometric Detection of Local pH Changes Caused by Bacterial and Yeast Infections around Orthopedic Implants. Adv. Mater. Interfaces 2023, 10, 2201878. [Google Scholar] [CrossRef]
- Busscher, H.J.; van der Mei, H.C.; Subbiahdoss, G.; Jutte, P.C.; van den Dungen, J.J.; Zaat, S.A.; Schultz, M.J.; Grainger, D.W. Biomaterial-associated infection: Locating the finish line in the race for the surface. Sci. Transl. Med. 2012, 4, 153rv110. [Google Scholar] [CrossRef] [PubMed]
- Zhu, Y.; Weng, X.; Zhang, J.; Mao, J. Protective effect of additional cathelicidin antimicrobial peptide PR-39 on prosthetic-joint infections. J. Orthop. Surg. 2023, 31, 10225536231175237. [Google Scholar] [CrossRef] [PubMed]
- Parvizi, J.; Tan, T.L.; Goswami, K.; Higuera, C.; Della Valle, C.; Chen, A.F.; Shohat, N. The 2018 Definition of Periprosthetic Hip and Knee Infection: An Evidence-Based and Validated Criteria. J. Arthroplast. 2018, 33, 1309–1314.e1302. [Google Scholar] [CrossRef] [PubMed]
- Trampuz, A.; Zimmerli, W. Diagnosis and treatment of infections associated with fracture-fixation devices. Injury 2006, 37 (Suppl. S2), S59–S66. [Google Scholar] [CrossRef] [PubMed]
- Veletić, M.; Apu, E.H.; Simić, M.; Bergsland, J.; Balasingham, I.; Contag, C.H.; Ashammakhi, N. Implants with Sensing Capabilities. Chem. Rev. 2022, 122, 16329–16363. [Google Scholar] [CrossRef] [PubMed]
- Judl, T.; Popelka, S.; Tomšík, E.; Hrubý, M.; Daniel, M.; Fojt, J.; Melicherčík, P.; Landor, I.; Jahoda, D. Acidity Is an Excellent Marker of Infection in Hip and Knee Arthroplasty. J. Clin. Med. 2024, 13, 688. [Google Scholar] [CrossRef] [PubMed]
- Fisher, C.R.; Masters, T.L.; Johnson, S.; Greenwood-Quaintance, K.E.; Chia, N.; Abdel, M.P.; Patel, R. Comparative transcriptomic analysis of Staphylococcus epidermidis associated with periprosthetic joint infection under in vivo and in vitro conditions. Int. J. Med. Microbiol. 2024, 315, 151620. [Google Scholar] [CrossRef] [PubMed]
- Rotstein, O.D.; Nasmith, P.E.; Grinstein, S. The Bacteroides by-product succinic acid inhibits neutrophil respiratory burst by reducing intracellular pH. Infect. Immun. 1987, 55, 864–870. [Google Scholar] [CrossRef]
- Rotstein, O.D.; Pruett, T.L.; Fiegel, V.D.; Nelson, R.D.; Simmons, R.L. Succinic acid, a metabolic by-product of Bacteroides species, inhibits polymorphonuclear leukocyte function. Infect. Immun. 1985, 48, 402–408. [Google Scholar] [CrossRef]
- Shahrestani, S.; Ismail, M.C.; Kakooei, S.; Beheshti, M.; Zabihiazadboni, M.; Zavareh, M.A. Iridium Oxide pH Sensor Based on Stainless Steel Wire for pH Mapping on Metal Surface. IOP Conf. Ser. Mater. Sci. Eng. 2018, 328, 012014. [Google Scholar] [CrossRef]
- Widmer, A.F. New Developments in Diagnosis and Treatment of Infection in Orthopedic Implants. Clin. Infect. Dis. 2001, 33, S94–S106. [Google Scholar] [CrossRef] [PubMed]
- McLister, A.; McHugh, J.; Cundell, J.; Davis, J. New Developments in Smart Bandage Technologies for Wound Diagnostics. Adv. Mater. 2016, 28, 5732–5737. [Google Scholar] [CrossRef] [PubMed]
- Gray, M.; Meehan, J.; Ward, C.; Langdon, S.P.; Kunkler, I.H.; Murray, A.; Argyle, D. Implantable biosensors and their contribution to the future of precision medicine. Vet. J. 2018, 239, 21–29. [Google Scholar] [CrossRef] [PubMed]
- Singewald, T.D.; Traxler, I.; Schimo-Aichhorn, G.; Hild, S.; Valtiner, M. Versatile, low-cost, non-toxic potentiometric pH-sensors based on niobium. Sens. Bio-Sens. Res. 2022, 35, 100478. [Google Scholar] [CrossRef]
- Taheri, M.; Deen, I.A.; Packirisamy, M.; Deen, M.J. Metal oxide -based electrical/electrochemical sensors for health monitoring systems. TrAC Trends Anal. Chem. 2024, 171, 117509. [Google Scholar] [CrossRef]
- Liu, B.; Zhang, J. A ruthenium oxide and iridium oxide coated titanium electrode for pH measurement. RSC Adv. 2020, 10, 25952–25957. [Google Scholar] [CrossRef] [PubMed]
- Marzouk, S.A.M. Improved Electrodeposited Iridium Oxide pH Sensor Fabricated on Etched Titanium Substrates. Anal. Chem. 2003, 75, 1258–1266. [Google Scholar] [CrossRef] [PubMed]
- Mingels, R.H.G.; Kalsi, S.; Cheong, Y.; Morgan, H. Iridium and Ruthenium oxide miniature pH sensors: Long-term performance. Sens. Actuators B Chem. 2019, 297, 126779. [Google Scholar] [CrossRef]
- Prats-Alfonso, E.; Abad, L.; Casan-Pastor, N.; Gonzalo-Ruiz, J.; Baldrich, E. Iridium oxide pH sensor for biomedical applications. Case urea-urease in real urine samples. Biosens. Bioelectron. 2013, 39, 163–169. [Google Scholar] [CrossRef]
- Cruz, A.M.; Abad, L.; Carretero, N.M.; Moral-Vico, J.; Fraxedas, J.; Lozano, P.; Subías, G.; Padial, V.; Carballo, M.; Collazos-Castro, J.E.; et al. Iridium Oxohydroxide, a Significant Member in the Family of Iridium Oxides. Stoichiometry, Characterization, and Implications in Bioelectrodes. J. Phys. Chem. C 2012, 116, 5155–5168. [Google Scholar] [CrossRef]
- Zhao, R.; Xu, M.; Wang, J.; Chen, G. A pH sensor based on the TiO2 nanotube array modified Ti electrode. Electrochim. Acta 2010, 55, 5647–5651. [Google Scholar] [CrossRef]
- Awad, N.K.; Edwards, S.L.; Morsi, Y.S. A review of TiO2 NTs on Ti metal: Electrochemical synthesis, functionalization and potential use as bone implants. Mater. Sci. Eng. C Mater. Biol. Appl. 2017, 76, 1401–1412. [Google Scholar] [CrossRef] [PubMed]
- Benea, L.; Ravoiu, A.; Neaga, V.; Axente, E.R. Using Applied Electrochemistry to Obtain Nanoporous TiO2 Films on Ti6Al4V Implant Alloys and Their Preclinical In Vitro Characterization in Biological Solutions. Coatings 2023, 13, 614. [Google Scholar] [CrossRef]
- Machackova, N.; Jiru, J.; Hybasek, V.; Fojt, J. A Ru/RuO2-Doped TiO2 Nanotubes as pH Sensors for Biomedical Applications: The Effect of the Amount and Oxidation of Deposited Ru on the Electrochemical Response. Materials 2021, 14, 7912. [Google Scholar] [CrossRef]
- Moravec, H.; Vandrovcova, M.; Chotova, K.; Fojt, J.; Pruchova, E.; Joska, L.; Bacakova, L. Cell interaction with modified nanotubes formed on titanium alloy Ti-6Al-4V. Mater. Sci. Eng. C 2016, 65, 313–322. [Google Scholar] [CrossRef]
- Fojt, J.; Průchová, E.; Hybášek, V. Electrochemical impedance response of the nanostructured Ti–6Al–4V surface in the presence of S. aureus and E. coli. J. Appl. Electrochem. 2023, 53, 2153–2167. [Google Scholar] [CrossRef]
- Saharudin, K.A.; Sreekantan, S.; Aziz, S.N.Q.A.A.; Hazan, R.; Lai, C.W.; Mydin, R.B.S.M.N.; Mat, I. Surface Modification and Bioactivity of Anodic Ti6Al4V Alloy. J. Nanosci. Nanotechnol. 2013, 13, 1696–1705. [Google Scholar] [CrossRef]
- Kim, T.Y.; Yang, S. Fabrication method and characterization of electrodeposited and heat-treated iridium oxide films for pH sensing. Sens. Actuators B Chem. 2014, 196, 31–38. [Google Scholar] [CrossRef]
- Dong, L.; Qiu, Y.; Gu, Y.; Wang, Y.; Li, L. Preparation of an iridium oxide micro pH electrode and its response rate under dynamic stray current interference. Microchem. J. 2024, 196, 109631. [Google Scholar] [CrossRef]
- Jiang, P.; Zhang, Y.; Hu, R.; Shi, B.; Zhang, L.; Huang, Q.; Yang, Y.; Tang, P.; Lin, C. Advanced surface engineering of titanium materials for biomedical applications: From static modification to dynamic responsive regulation. Bioact. Mater. 2023, 27, 15–57. [Google Scholar] [CrossRef]
- Manjakkal, L.; Szwagierczak, D.; Dahiya, R. Metal oxides based electrochemical pH sensors: Current progress and future perspectives. Prog. Mater. Sci. 2020, 109, 100635. [Google Scholar] [CrossRef]
- Jang, H.; Lee, J. Iridium oxide fabrication and application: A review. J. Energy Chem. 2020, 46, 152–172. [Google Scholar] [CrossRef]















| Nanotube Diameter (nm) | Wall Thickness (nm) | Length (nm) | |
|---|---|---|---|
| Ir PS | 97.1 ± 7.1 | 20.9 ± 2.4 | 429 ± 19 |
| Ir PS+CP | 91.0 ± 5.7 | 19.5 ± 2.5 | 363.3 ± 8.8 |
| Base of Nanotubes (Spectrum 1) | Top of Nanotubes (Spectrum 2) | |
|---|---|---|
| Ti | 84.6 ± 1.2 | 39.9 ± 0.8 |
| Al | 7.0 ± 0.4 | 3.2 ± 0.2 |
| V | 3.4 ± 0.5 | 1.7 ± 0.3 |
| Ir | 4.8 ± 0.9 | 8.7 ± 0.9 |
| Pt | 0.9 ± 0.8 | 46.6 ± 1.0 |
| Base of Nanotubes (Spectrum 1) | Top of Nanotubes (Spectrum 2) | |
|---|---|---|
| Ti | 85.6 ± 1.3 | 47.3 ± 1.6 |
| Al | 7.9 ± 0.5 | 4.6 ± 0.5 |
| V | 4.4 ± 0.6 | 2.1 ± 0.5 |
| Ir | 2.1 ± 1.3 | 3.6 ± 1.9 |
| Pt | - | 42.3 ± 1.7 |
| pH | E (mV/SSCE) |
|---|---|
| 7.6 | 144 |
| 6.5 | 205 |
| 7.6 | 145 |
| 6.5 | 208 |
| Ti | Al | V | Ir | F | |
|---|---|---|---|---|---|
| Ir PS+CP before | 87.4 ± 1.3 | 6.1 ± 0.4 | 4.1 ± 1.4 | 1.3 ± 0.3 | 1.1 ± 0.1 |
| Ir PS+CP after | 87.3 ± 0.3 | 6.1 ± 0.3 | 3.9 ± 0.1 | 1.3 ± 0.1 | 1.4 ± 0.2 |
Disclaimer/Publisher’s Note: The statements, opinions and data contained in all publications are solely those of the individual author(s) and contributor(s) and not of MDPI and/or the editor(s). MDPI and/or the editor(s) disclaim responsibility for any injury to people or property resulting from any ideas, methods, instructions or products referred to in the content. |
© 2024 by the authors. Licensee MDPI, Basel, Switzerland. This article is an open access article distributed under the terms and conditions of the Creative Commons Attribution (CC BY) license (https://creativecommons.org/licenses/by/4.0/).
Share and Cite
Jírů, J.; Hybášek, V.; Michalcová, A.; Korbelová, K.; Koláčný, L.; Fojt, J. Preparation, Characterization and Electrochemical Response of Nanostructured TiAlV with Potentiostatically Deposited IrOx as a pH Sensor for Rapid Detection of Inflammation. Chemosensors 2024, 12, 109. https://doi.org/10.3390/chemosensors12060109
Jírů J, Hybášek V, Michalcová A, Korbelová K, Koláčný L, Fojt J. Preparation, Characterization and Electrochemical Response of Nanostructured TiAlV with Potentiostatically Deposited IrOx as a pH Sensor for Rapid Detection of Inflammation. Chemosensors. 2024; 12(6):109. https://doi.org/10.3390/chemosensors12060109
Chicago/Turabian StyleJírů, Jitřenka, Vojtěch Hybášek, Alena Michalcová, Klára Korbelová, Lukáš Koláčný, and Jaroslav Fojt. 2024. "Preparation, Characterization and Electrochemical Response of Nanostructured TiAlV with Potentiostatically Deposited IrOx as a pH Sensor for Rapid Detection of Inflammation" Chemosensors 12, no. 6: 109. https://doi.org/10.3390/chemosensors12060109
APA StyleJírů, J., Hybášek, V., Michalcová, A., Korbelová, K., Koláčný, L., & Fojt, J. (2024). Preparation, Characterization and Electrochemical Response of Nanostructured TiAlV with Potentiostatically Deposited IrOx as a pH Sensor for Rapid Detection of Inflammation. Chemosensors, 12(6), 109. https://doi.org/10.3390/chemosensors12060109

