Detection of Water Vapor by Chemiluminescence
Abstract
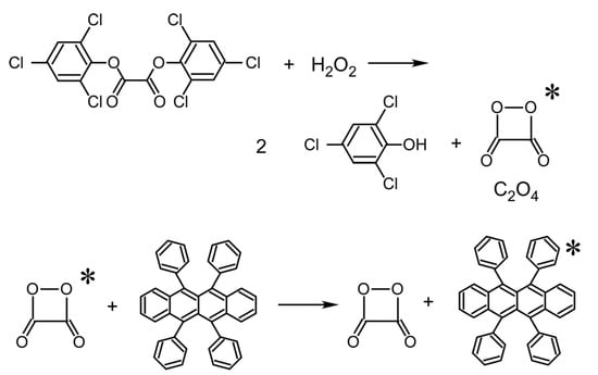
1. Introduction
2. Materials and Methods
2.1. Materials
2.2. Emission of H2O2 from Sodium Percarbonate
2.3. Luminescence Initiated by Water Vapor in the Ambient
2.4. Demonstration of Local Detection
2.5. Molecular Dynamics Simulations
3. Results and Discussion
3.1. Emission of H2O2 from Sodium Percarbonate When Exposed to Water Vapor
3.2. Chemiluminescence from a Polymer Composite Induced by Water in the Air
3.3. Demonstration of Position-Sensitive Detection of Water Vapor
3.4. Molecular Dynamics Simulation
4. Discussion
4.1. Discussion on the Experimental Results
4.2. Discussion on the Molecular Dynamics Simulation
4.3. Expected Sensitivity
4.4. Comparison with Currently Available WVTR Measurement Techniques
4.5. Problems and Challenges
5. Conclusions
6. Patents
Author Contributions
Funding
Institutional Review Board Statement
Informed Consent Statement
Data Availability Statement
Acknowledgments
Conflicts of Interest
References
- Burrows, P.E.; Graff, G.L.; Gross, M.E.; Martin, P.M.; Hall, M.; Mast, E.; Bonham, C.C.; Bennett, W.D.; Michalski, L.A.; Weaver, M.S.; et al. Gas permeation and lifetime tests on polymer-based barrier coatings. Proc. SPIE 2001, 4105, 75. [Google Scholar] [CrossRef]
- Choi, M.C.; Kim, Y.; Ha, C.S. Polymers for flexible displays: From material selection to device applications. Polym. Sci. 2008, 33, 581. [Google Scholar] [CrossRef]
- Jinno, H.; Fukuda, K.; Xu, X.M.; Park, S.; Suzuki, Y.; Koizumi, M.; Yokota, T.; Soaka, I.; Takimiya, K.; Someya, T. Stretchable and waterproof elastomer-coated organic photovoltaics for washable electronic textile applications. Nat. Energy 2017, 2, 780–785. [Google Scholar] [CrossRef]
- Mackanic, D.G.; Kao, M.; Bao, Z. Enabling deformable and stretchable batteries. Adv. Energy Mater. 2010, 10, 2001424. [Google Scholar] [CrossRef]
- Paetzold, R.; Winnacker, A.; Henseler, D.; Cesari, V.; Heuser, K. Permeation rate measurements by electrical analysis of calcium corrosion. Rev. Sci. Instrum. 2003, 74, 5147–5150. [Google Scholar] [CrossRef]
- Carcia, P.F.; McLean, R.S.; Reilly, M.H.; Groner, M.D.; George, S.M. Ca test of Al2O3 gas diffusion barriers grown by atomic layer deposition on polymers. Appl. Phys. Lett. 2006, 89, 031915. [Google Scholar] [CrossRef]
- Klumbies, H.; Müller-Meskamp, L.; Mönch, T.; Schubert, S.; Leo, K. The influence of laterally inhomogeneous corrosion on electrical and optical calcium moisture barrier characterization. Rev. Sci. Instrum. 2013, 84, 024103. [Google Scholar] [CrossRef]
- Suzuki, A.; Takahagi, H.; Uehigashi, A.; Hara, S. Development of reliable technique for evaluating the properties of water vapor barriers. AIP Adv. 2015, 5, 117204. [Google Scholar] [CrossRef]
- Nörenberg, H.; Miyamoto, T.; Tsukahara, Y.; Smith, G.D.W.; Briggs, G.A.D. Mass spectrometric estimation of gas permeation coefficients for thin polymer membrane. Rev. Sci. Intstum. 1999, 70, 2414–2420. [Google Scholar] [CrossRef]
- Shimada, T.; Takahashi, Y.; Kanno, T. Highly sensitive and rapid measurement of gas barrier properties of flexible films and sealing resins based on a low temperature trap and mass spectroscopy. Appl. Phys. Exp. 2010, 3, 021701. [Google Scholar] [CrossRef]
- Shimada, T.; Yanase, T.; Nagahama, T.; Kanno, T. Estimation of Gas Permeation Characteristics of Ultrahigh Barrier Edge Sealing Materials from Asymptotic Solution of Diffusion Equation. Jpn. J. Appl. Phys. 2013, 52, 05DA12. [Google Scholar] [CrossRef]
- Nakano, Y.; Yanase, T.; Nagahama, T.; Yoshida, H.; Shimada, T. Accurate and stable equal-pressure measurements of water vapor transmission rate reaching the 10−6 g m−2 day−1 range. Sci. Rep. 2016, 6, 35408. [Google Scholar] [CrossRef] [PubMed]
- Keidel, F.A. Determination of water by direct amperometric measurement. Anal. Chem. 1959, 31, 2043–2048. [Google Scholar] [CrossRef]
- O’Keefe, A.; Deacon, D.A.G. Cavity ring-down optical spectrometer for absorption measurements using pulsed laser sources. Rev. Sci. Instrum. 1988, 59, 2544. [Google Scholar] [CrossRef]
- Kim, H.; Singh, A.K.; Wang, C.Y.; Fuentes-Hernandez, C.; Kippelen, B.; Graham, S. Experimental investigation of defect-assisted and intrinsic water vapor permeation through ultrabarrier films. Rev. Sci. Instrum. 2016, 87, 033902. [Google Scholar] [CrossRef]
- Reese, M.O.; Dameron, A.A.; Kempe, M.D. Quantitative calcium resistivity based method for accurate and scalable water vapor transmission rate measurement. Rev. Sci. Instrum. 2011, 82, 085101. [Google Scholar] [CrossRef]
- Bhaskar, S.; Singh, A.K.; Das, P.; Jana, P.; Kanvah, S.; Bhaktha, B.N.S.; Ramamurthy, S.S. Superior resonant nanocavities engineering on the photonic crystal-coupled emission platform for the detection of femtomolar iodide and zeptomolar cortisol. ACS Appl. Mater. Interfaces 2020, 12, 34323. [Google Scholar] [CrossRef]
- Xiong, Y.; Shepherd, S.; Tibbs, J.; Bacon, J.; Liu, W.; Akin, L.D.; Ayupova, T.; Bashkar, S.; Cunningham, B.T. Photonic crystal enhanced fluorescence: A review on design strategies and applications. Miromachines 2023, 14, 668. [Google Scholar] [CrossRef]
- Hirano, T. Basic chemistry of chemiluminscence and bioluminescence. Chem. Educ. 2016, 64, 376–379. (In Japanese) [Google Scholar]
- Nakatsu, T.; Ichiyama, S.; Hiratake, J.; Saldanha, A.; Kobashi, N.; Sakata, K.; Kato, H. Structural basis for the spectral difference in luciferase bioluminescence. Nature 2006, 440, 372–376. [Google Scholar] [CrossRef]
- Kaskova, Z.M.; Tsarkova, A.S.; Yampolsky, I.V. 1001 lights: Luciferins, luciferases, their mechanisms of action and applications in chemical analysis, biology and medicine. Chem. Soc. Rev. 2016, 45, 6048–6077. [Google Scholar] [CrossRef] [PubMed]
- Inouye, S.; Tsuji, F.I. Aequorea green fluorescent protein-expression of the gene and fluorescence characteristics of the recombinant protein. FeBS Lett. 1994, 341, 277–280. [Google Scholar] [CrossRef] [PubMed]
- Albrecht, H.O. Über die Chemiluminescenz des Aminophthalsäurehydrazids. Z. Für Phys. Chem. 1928, 136, 321–330. [Google Scholar] [CrossRef]
- Chen, Y.L.; Spiering, A.J.H.; Karthikeyan, S.; Peters, G.W.M.; Meijer, E.W.; Sijbesma, R.P. Mechanically induced chemiluminescence from polymers incorporating a 1,2-dioxetane unit in the main chain. Nat. Chem. 2012, 4, 559–562. [Google Scholar] [CrossRef] [PubMed]
- Stevani, C.V.; Silva, S.M.; Baader, W.J. Studies on the mechanism of the excitation step in peroxyoxalate chemiluminescence. Eur. J. Org. Chem. 2000, 24, 4037–4046. [Google Scholar] [CrossRef]
- Dodeigne, C.; Thunus, L.; Lejeune, R. Chemiluminescence as diagnostic tool. A review. Talanta 2000, 51, 415–439. [Google Scholar] [CrossRef]
- Tanatar, S. Percarbonate. Ber. Dtsch. Chem. Ges. 1899, 32, 1544–1546. [Google Scholar] [CrossRef]
- Thompson, A.P.; Aktulga, H.M.; Berger, R.; Bolintineanu, D.S.; Brown, W.M.; Crozier, P.S.; in’t Veld, P.J.; Kohlmeyer, A.; Moore, S.G.; Nguyen, T.D.; et al. LAMMPS-a flexible simulation tool for particle-based materials modeling at the atomic, meso, and continuum scales. Comp. Phys. Comm. 2022, 271, 10817. [Google Scholar] [CrossRef]
- Wang, J.; Wolf, R.M.; Caldwell, J.M.; Kollman, P.A.; Case, D.A. Development and testing of a general AMBER force field. J. Comput. Chem. 2004, 25, 1157–1174. [Google Scholar] [CrossRef]
- Jewett, A.I.; Stelter, D.; Lambert, J.; Saladi, S.M.; Roscioni, O.M.; Ricci, M.; Autin, L.; Maritan, M.; Bashusqeh, S.M.; Keyes, T.; et al. Moltemplate: A Tool for Coarse-Grained Modeling of Complex Biological Matter and Soft Condensed Matter Physics. J. Mol. Biol. 2021, 433, 166841. [Google Scholar] [CrossRef]
- Wang, J.; Wang, W.; Kollman, P.A.; Case, D.A. Automatic atom type and bond type perception in molecular mechanical calculations. J. Mol. Graph. Model. 2006, 25, 247260. [Google Scholar] [CrossRef] [PubMed]
- Gaussian 16. Available online: https://www.gaussian.com (accessed on 31 March 2023).
- Stukowski, A. Visualization and analysis of atomistic simulation data with OVITO-the Open Visualization Tool. Model. Simul. Mater. Sci. Eng. 2010, 18, 015012. [Google Scholar] [CrossRef]
- Ishihara, Y.; Kurihara, S.; Ishihara, S.; Toda, M.; Ohmi, T. Trace moisture adsorption onto various stainless steel surfaces-investigation of adsorption heat and adsorption isotherms. J. Surf. Sci. Jpn. 1997, 18, 557–563. [Google Scholar] [CrossRef]
- Weaver, J.H.; Frederikse, H.P.R. CRC Handbook for Chemistry and Physics, 91st ed.; CRC Press: Boca Raton, FL, USA, 2010. [Google Scholar]
- Lichtman, J.W.; Conchello, J.A. Fluorescence microscopy. Nat. Methods 2005, 2, 910–919. [Google Scholar] [CrossRef]
- Flaugher, B.; Diehl, H.T.; Honscheid, K.; Abbott, T.M.C.; Alvarez, O.; Angstadt, R.; Annis, J.T.; Antonik, M.; Ballester, O.; Beaufore, L.; et al. (The DES collaboration). The Dark Energy Camera. Astron. J. 2015, 150, 150. [Google Scholar] [CrossRef]
- Tanioka, K.; Matsubara, T.; Ohkawa, Y.; Miyakawa, K.; Suzuki, S.; Takahata, T.; Egami, N.; Ogusu, K.; Kobayashi, A.; Hirai, T.; et al. Ultra-high-sensitivity new super-HAPR pickup tube and its camera. IEICE Trans. Electron. 2003, E86C, 1790–1795. [Google Scholar]
- Sams, B.J. The effect of microchannel plate gain depression on PAPA photon counting cameras. Rev. Sci. Instrum. 1991, 62, 595. [Google Scholar] [CrossRef]
- Sinclair, A.G.; Kasevich, M.A. Detector for spatial and temporal imaging of single photons. Rev. Sci. Instrum. 1997, 68, 1657. [Google Scholar] [CrossRef]
- Scarcella, C.; Tosi, A.; Villa, F.; Tisa, S.; Zappa, F. Low-noise low-jitter 32-pixels CMOS single-photon avalanche diodes array for single-photon counting from 300 nm to 900 nm. Rev. Sci. Instrum. 2013, 84, 123112. [Google Scholar] [CrossRef]
- Arikawa, Y.; Matsubara, S.; Kishimoto, H.; Abe, H.; Sakata, S.; Morace, A.; Mizutani, R.; Nishibata, J.; Yogo, A.; Nakai, M.; et al. A large-aperture high-sensitivity avalanche image intensifier panel. Rev. Sci. Instrum. 2018, 89, 10I128. [Google Scholar] [CrossRef]
- Lewis, L.; Baker, S.; Corredor, A.; Fegenbush, L.; Fitzpatrick, Z.; Jones, M.; O’Flarity, K.; Walters, K.; Claus, L.; Sanchez, M. New design yields robust large-area framing camera. Rev. Sci. Instrum. 2021, 92, 083103. [Google Scholar] [CrossRef] [PubMed]
- Peter, C.; Johnsen, P.C.; Ryan, S.A.; Gentry, C.; Grafov, A.; Kapteyn, H.; Murnane, M. A beamline for ultrafast extreme ultraviolet magneto-optical spectroscopy in reflection near the shot noise limit. Rev. Sci. Instrum. 2023, 94, 033001. [Google Scholar] [CrossRef]
- D’Andrea, V.; Biondi, R.; Ferrari, C.; Ferella, A.D.; Mahlstedt, J.; Pieramico, G. The ABALONE photosensor. J. Instrum. 2022, 17, C01038. [Google Scholar] [CrossRef]
- Chernyshov, I.Y.; Vener, M.V.; Prikhodchenko, P.V.; Medvedev, A.G.; Lev, O.; Churakov, A.V. Peroxosolvates: Formation criteria, H2O2 hydrogen bonding, and isomorphism with the corresponding hydrates. Cryst. Growth Des. 2018, 17, 214–220. [Google Scholar] [CrossRef]
- Medvedev, A.G.; Churakov, A.V.; Prikhodchenko, P.V.; Lev, O.; Vener, M.V. Crystalline Peroxosolvates: Nature of the Conformer, Hydrogen-Bonded Networks and Clusters, Intermolecular Interactions. Molecules 2021, 26, 26. [Google Scholar] [CrossRef] [PubMed]






Disclaimer/Publisher’s Note: The statements, opinions and data contained in all publications are solely those of the individual author(s) and contributor(s) and not of MDPI and/or the editor(s). MDPI and/or the editor(s) disclaim responsibility for any injury to people or property resulting from any ideas, methods, instructions or products referred to in the content. |
© 2023 by the authors. Licensee MDPI, Basel, Switzerland. This article is an open access article distributed under the terms and conditions of the Creative Commons Attribution (CC BY) license (https://creativecommons.org/licenses/by/4.0/).
Share and Cite
Shimada, T.; Nishimoto, H.; Hayakawa, H.; Ichikawa, H.; Nakacho, Y. Detection of Water Vapor by Chemiluminescence. Chemosensors 2023, 11, 284. https://doi.org/10.3390/chemosensors11050284
Shimada T, Nishimoto H, Hayakawa H, Ichikawa H, Nakacho Y. Detection of Water Vapor by Chemiluminescence. Chemosensors. 2023; 11(5):284. https://doi.org/10.3390/chemosensors11050284
Chicago/Turabian StyleShimada, Toshihiro, Honami Nishimoto, Hikaru Hayakawa, Hisashi Ichikawa, and Yoshifumi Nakacho. 2023. "Detection of Water Vapor by Chemiluminescence" Chemosensors 11, no. 5: 284. https://doi.org/10.3390/chemosensors11050284
APA StyleShimada, T., Nishimoto, H., Hayakawa, H., Ichikawa, H., & Nakacho, Y. (2023). Detection of Water Vapor by Chemiluminescence. Chemosensors, 11(5), 284. https://doi.org/10.3390/chemosensors11050284

