Detection of Levofloxacin Using a Simple and Green Electrochemically Polymerized Glycine Layered Carbon Paste Electrode
Abstract
:1. Introduction
2. Materials and Methods
2.1. Apparatus and Chemicals
2.2. Instrumentation
2.3. Preparation of BCPE
2.4. Preparation of EPGNLCPE
3. Results and Discussion
3.1. Surface Morphology of EPGNLCPE and BCPE
3.2. Electrochemical Impedance Analysis of EPGNLCPE and BCPE
3.3. Electrochemical Behavior of K4Fe (CN)6 on the Modified Electrode
3.4. Electro-Polymerization of EPGNLCPE on BCPE
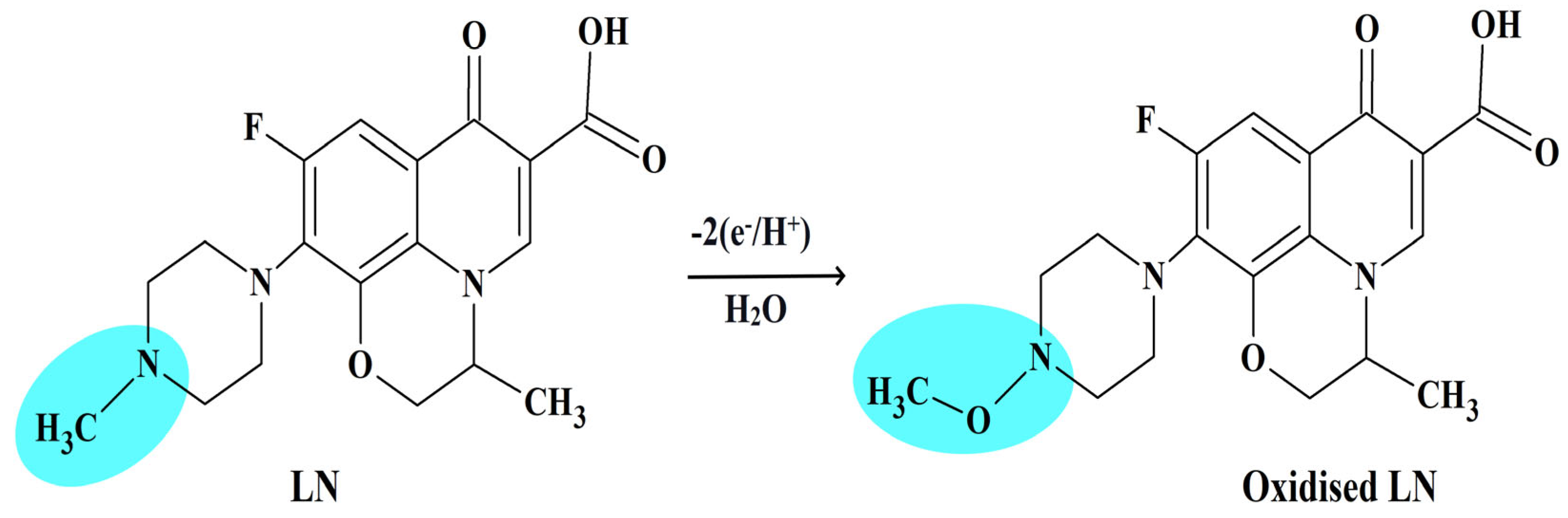
3.5. Electrocatalytic Oxidation of LN on EPGNLCPE and BCPE
3.6. Effect of pH
3.7. Influence of Scan Rate
3.8. Interference Analysis
3.9. Limit of Detection Using EPGNLCPE
3.10. Reproducibility, Repeatability and Stability Studies
3.11. Application to a Pharmaceutical Preparation
4. Conclusions
Author Contributions
Funding
Institutional Review Board Statement
Informed Consent Statement
Data Availability Statement
Acknowledgments
Conflicts of Interest
References
- Berendsen, B.; Lahr, J.; Nibbeling, C.; Jansen, L.; Bongers, I.; Wipfler, E.; Van de Schans, M. The persistence of a broad range of antibiotics during calve, pig and broiler manure storage. Chemosphere 2018, 204, 267–276. [Google Scholar] [CrossRef]
- Han, L.; Yan, Z.; Chao, C.; Feng, L. A novel electrochemical sensor based on poly (p-aminobenzene sulfonic acid)-reduced graphene oxide composite film for the sensitive and selective detection of levofloxacin in human urine. J. Electroanal. Chem. 2018, 817, 141–148. [Google Scholar] [CrossRef]
- Gonzalez, J.A.O.; Mochon, M.C.; De la Rosa, F.J.B. Spectrofluorimetric determination of levofloxacin in tablets, human urine and serum. Talanta 2000, 52, 1149. [Google Scholar] [CrossRef] [PubMed]
- Ocaña, J.A.; Callejón, M.; Barragán, F.J. Terbium-sensitized luminescence determination of levofloxacin in tablets and human urine and serum. Analyst 2000, 125, 1851–1854. [Google Scholar] [CrossRef] [PubMed]
- Wong, F.; Juzwin, S.; Flor, S. Rapid stereospecific high-performance liquid chromatographic determination of levofloxacin in human plasma and urine. J. Pharm. Biomed. Anal. 1997, 15, 765–771. [Google Scholar] [CrossRef]
- Duan, K.; Si, J.; Yan, B. The Jews’ in Chinese Cultural Debate, 1915–1930. Zhongguo Yaoxuehui 1999, 34, 43. [Google Scholar]
- Gong, Q.J.; Qiao, J.L.; Du, L.M.; Dong, C.; Jin, W.J. Recognition and simultaneous determination of ofloxacin enantiomers by synchronization–1st derivative fluorescence spectroscopy. Talanta 2000, 53, 359. [Google Scholar] [CrossRef]
- Bottcher, S.; Baum, H.V.; Hoppe-Tichy, T.; Benmz, C.; Sonntag, H.G.; Pharm., J. An HPLC assay and a microbiological assay to determine levofloxacin in soft tissue, bone, bile and serum. Biomed. Anal. 2001, 25, 197. [Google Scholar] [CrossRef]
- Cheng, F.; Tsai, T.; Chen, Y.; Hung, L.; Tsai, T.H. Pharmacokinetic study of levofloxacin in rat blood and bile by microdialysis and high-performance liquid chromatography. J. Chromatogr. A 2002, 961, 131–136. [Google Scholar] [CrossRef]
- Liang, H.; Kays, M.B.; Sowinski, K.M. Separation of levofloxacin, ciprofloxacin, gatifloxacin, moxifloxacin, trovafloxacin and cinoxacin by high-performance liquid chromatography: Application to levofloxacin determination in human plasma. J. Chromatogr. B 2002, 772, 53–63. [Google Scholar] [CrossRef]
- Neckel, U.; Joukhadar, C.; Frossard, M.; Jäger, W.; Müller, M.; Mayer, B.X. Simultaneous determination of levofloxacin and ciprofloxacin in microdialysates and plasma by high-performance liquid chromatography. Anal. Chim. Acta 2002, 463, 199–206. [Google Scholar] [CrossRef]
- Gupta, V.K.; Jain, R.; Radhapyari, K.; Jadon, N.; Agarwal, S. Voltammetric techniquesfor the assay of pharmaceuticals. Anal. Biochem. 2011, 408, 179–196. [Google Scholar]
- Radi, A.; El-Sherif, Z. Since 2023 Since 2022 Since 2019 Custom range… Sort by relevance Sort by date Any type Review articles Determination of levofloxacin in human urine by adsorptive square-wave anodic stripping voltammetry on a glassy carbon electrode. Talanta 2002, 58, 319. [Google Scholar] [CrossRef] [PubMed]
- Baum, H.V.; Bottcher, S.; Abel, R.; Gerner, H.J.; Sonntag, H.G. Tissue and serum concentrations of levofloxacin in orthopaedic patients. Int. J. Antimicrob. Agents 2001, 18, 335. [Google Scholar] [CrossRef] [PubMed]
- Zhang, W.; Zhu, S.; Luque, R.; Han, S.; Hu, L.; Xu, G. Recent development of carbonelectrode materials and their bioanalytical and environmental applications. Chem. Soc. Rev. 2016, 45, 715–752. [Google Scholar] [CrossRef]
- Kanthappa, B.; Manjunatha, J.G.; Hareesha, N.; Tighezza, A.M.; Albaqami, M.D.; Sillanpää, M. Electroanalytical Detection of Indigo Carmine in Presence of Tartrazine Using a Poly(dl-phenylalanine) Modified Carbon Nanotube Paste Electrode. Chemosensors 2022, 10, 461. [Google Scholar]
- Hareesha, N.; Manjunatha, J.G.; Zeid, A.; Alothman, M.; Sillanpää, M. Simple and affordable graphene nano-platelets and carbon nanocomposite surface decorated with cetrimonium bromide as a highly responsive electrochemical sensor for rutin detection. J. Electroanal. Chem. 2022, 917, 116388. [Google Scholar] [CrossRef]
- Tigari, G.; Manjunatha, J.G.; Souza, E.D.; Raril, C.; Hareesha, N.; Charithra, M.M. Electrochemical determination of levofloxacin drug at poly(clayton yellow)/carbon paste electrode. Monatsh. Chem. 2022, 153, 311–319. [Google Scholar] [CrossRef]
- Pushpanjali, P.A.; Manjunatha, J.G.; Hareesha, N.; Amrutha, B.M.; Raril, C.; Zeid, A.; ALOthman, A.L.; Amer, M.; Pandith, A. Fabrication of poly (ʟ-aspartic acid) layer on graphene nanoplatelets paste electrode for riboflavin sensing. Mater. Chem. Phys. 2022, 276, 125392. [Google Scholar] [CrossRef]
- Tahernejad-Javazmi, F.; Shabani-Nooshabadi, M.; Karimi-Maleh, H. Analysis of glutathione in the presence of acetaminophen and tyrosine via an amplifed electrode with MgO/SWCNTs as a sensor in the hemolyzed erythrocyte. Talanta 2018, 176, 208–213. [Google Scholar] [CrossRef]
- Alavi-Tabari, S.A.R.; Khalilzadeh, M.A.; Karimi-Maleh, H. Simultaneous determination of doxorubicin and dasatinib as two breast anticancer drugs uses an amplifed sensor with ionic liquid and ZnO nanoparticle. J. Electroanal. Chem. 2018, 811, 84–88. [Google Scholar] [CrossRef]
- Laurinavičius, L.; Radzevič, A.; Ignatjev, I.; Niaura, G.; Vitkutė, K.; Širšinaitis, T.; Trusovas, R.; Pauliukaite, R. Investigation of electrochemical polymerisation of L-lysine and application for immobilisation of functionalised graphene as platform for electrochemical sensing. Electrochim. Acta 2019, 299, 936–945. [Google Scholar] [CrossRef]
- Monnappa, A.B.; Manjunatha, J.G.G.; Bhatt, A.S.; Nagarajappa, H. Sensitive and selective electrochemical detection of vanillin at graphene-based poly (methyl orange) modified electrode. J. Sci. Adv. Mater. Devices 2021, 6, 415–424. [Google Scholar] [CrossRef]
- Liu, S.; Liu, L.; Guo, H.; Oguzie, E.E.; Li, Y.; Wang, F. Electrochemical polymerization of polyaniline-reduced graphene oxide composite coating on 5083 Al alloy: Role of reduced graphene oxide. Electrochem. Commun. 2019, 98, 110–114. [Google Scholar] [CrossRef]
- Manjunatha, J.G.; Pushpanjali, P.A.; Hareesha, N. An overview of recent developments of carbon-based sensors for the analysis of drug molecules. J. Electrochem. Sci. Eng. 2021, 11, 161–177. [Google Scholar] [CrossRef]
- Hareesha, N.; Manjunatha, J.G. Electro-oxidation of formoterol fumarate on the surface of novel poly(thiazole yellow-G) layered multi-walled carbon nanotube paste electrode. Sci. Rep. 2021, 11, 12797. [Google Scholar] [CrossRef]
- Prinith, N.S.; Manjunatha, J.G.; Hareesha, N. Electrochemical validation of L-tyrosine with dopamine using composite surfactant modified carbon nanotube electrode. J. Iran. Chem. Soc. 2021, 18, 3493–3503. [Google Scholar] [CrossRef]
- Rkik, M.; Brahim, M.B.; Samet, Y. Electrochemical determination of levoflixacin antibiotic in biological samples using boron doped diamond electrode. J. Electroanal. Chem. 2017, 794, 175–181. [Google Scholar] [CrossRef]
- Wen, W.; Zhao, D.M.; Zhang, X.H.; Xiong, H.Y.; Wang, S.F.; Chen, W.; Zhao, Y.D. One-step fabrication of poly(o-aminophenol)/multi-walled carbon nanotubes composite film modified electrode and its application for levofloxacin determination in pharmaceuticals. Sens. Actuators B Chem. 2012, 174, 202–209. [Google Scholar] [CrossRef]
- Wang, F.; Wang, L.; Zhang, J. Electrochemical sensor for levofloxacin based on molecularly imprinted polypyrrole-graphene-gold nanoparticles modified electrode. Sens. Actuators B Chem. 2014, 192, 642–647. [Google Scholar] [CrossRef]
- Borowiec, J.; Yan, K.; Tin, C.-C.; Zhang, J. Synthesis of PDDA Functionalized Reduced Graphene Oxide Decorated with Gold Nanoparticles and Its Electrochemical Response toward Levofloxacin. J. Electrochem. Soc. 2015, 162, 164–169. [Google Scholar] [CrossRef]
- Radi, A.; El Ries, M.; Kandil, S. Electrochemical study of the interaction of levofloxacin with DNA. Anal. Chim. Acta 2003, 61, 495. [Google Scholar] [CrossRef]
- Moraes, F.C.; Silva, T.A.; Cesarino, I.; Lanza, M.R.V.; Machado, S.A.S. Antibiotic Detection in Urine Using Electrochemical Sensors Based on Vertically Aligned Carbon Nanotubes. Electroanalysis 2013, 25, 2092–2099. [Google Scholar] [CrossRef]
- Fekry, A.M. An Innovative Simple Electrochemical Levofloxacin Sensor Assembled from Carbon Paste Enhanced with Nano-Sized Fumed Silica. Biosensors 2022, 12, 906. [Google Scholar] [CrossRef]
- Chi, Y.; Li, J. Determination of levofloxacin hydrochloride with multiwalled carbon nanotubes-polymeric alizarin film modified electrode. Russ. J. Electrochem. 2010, 46, 155–160. [Google Scholar] [CrossRef]
- Yafeng, J.; Guangri, X.; Xiaobo, L.; Jingjing, M.; Yang, L.; Yuanchao, L.; Zhang, H.; Zhang, Z.; Donghao, Y.; Donghao, L. Fast cathodic reduction electrodeposition of a binder-free cobalt-doped Ni-MOF film for directly sensing of levofloxacin. J. Alloys Compd. 2021, 851, 156823. [Google Scholar]
- Da Silva, M.K.L.; Simões, R.; Cesarino, I. Evaluation of Reduced Graphene Oxide Modified with Antimony and Copper Nanoparticles for Levofloxacin Oxidation. Electroanalysis 2018, 30, 2066–2076. [Google Scholar] [CrossRef]
- Sharma, T.S.K.; Hwa, K.Y. Facile Synthesis of Ag/AgVO3/N-rGO Hybrid Nanocomposites for Electrochemical Detection of Levofloxacin for Complex Biological Samples Using Screen-Printed. Inorg. Chem. 2021, 60, 6585–6599. [Google Scholar] [CrossRef]
- Cesarino, V.; Cesarino, I.; Moraes, F.C.; Machado, S.A.S.; Mascaro, L.H. Carbon Nanotubes Modified with SnO2Rods for Levofloxacin Detection. J. Braz. Chem. Soc. 2014, 25, 502–508. [Google Scholar] [CrossRef]











| Electrodes | Method | Linear Range (mM) | LOD (mM) | References |
|---|---|---|---|---|
| BDDE | SWV | 10–80.9 | 2.88 | [28] |
| CV | 48–100 | 10.01 | ||
| PoAP/MWCNT | DPV | 3.0–200 | 1.00 | [29] |
| MIP/G-Au NPs/GCME | DPV | 1–100 | 0.53 | [30] |
| Au-NPs/PDDA/rGO/GCE | LSV | 10.0–800 | 3900.0 | [31] |
| dsDNA-CPE | DPV | 0.5–5.0 | 100.0 | [32] |
| ssDNA/SWCNT/Au | SWV | 1.0–10 | 0.0752 | [33] |
| NSF-Si/CPE | DPV | 2–1000 | 0.09 | [34] |
| HCl/MWCNTs PAR-ME | LSV | 5–100 | 0.4 | [35] |
| BF-Co/Ni-MOF/GCE | LSV | 0.1–500.0 | 0.022 | [36] |
| CuNPs/rGOM/GCE | DPV | 0.1–2.5 | 10.00 | [37] |
| Ag-NPs/AgVO3/N-rGO/SPCE | DPV | 0.09−671 | 0.00792 | [38] |
| MWCNT/M-SnO2 | DPV | 1.0–9.9 | 0.20 | [39] |
| EPGNLCPE | DPV | 30–90 | 0.678 | Present Work |
| Sample | Trial | Added (µM) | Found (µM) | Recovery % |
|---|---|---|---|---|
| Tablets | 1. | 50 | 49.46 | 98.9 |
| 2. | 60 | 59.5 | 99.2 | |
| 3. | 70 | 69.6 | 99.4 |
Disclaimer/Publisher’s Note: The statements, opinions and data contained in all publications are solely those of the individual author(s) and contributor(s) and not of MDPI and/or the editor(s). MDPI and/or the editor(s) disclaim responsibility for any injury to people or property resulting from any ideas, methods, instructions or products referred to in the content. |
© 2023 by the authors. Licensee MDPI, Basel, Switzerland. This article is an open access article distributed under the terms and conditions of the Creative Commons Attribution (CC BY) license (https://creativecommons.org/licenses/by/4.0/).
Share and Cite
Bhimaraya, K.; Manjunatha, J.G.; Moulya, K.P.; Tighezza, A.M.; Albaqami, M.D.; Sillanpää, M. Detection of Levofloxacin Using a Simple and Green Electrochemically Polymerized Glycine Layered Carbon Paste Electrode. Chemosensors 2023, 11, 191. https://doi.org/10.3390/chemosensors11030191
Bhimaraya K, Manjunatha JG, Moulya KP, Tighezza AM, Albaqami MD, Sillanpää M. Detection of Levofloxacin Using a Simple and Green Electrochemically Polymerized Glycine Layered Carbon Paste Electrode. Chemosensors. 2023; 11(3):191. https://doi.org/10.3390/chemosensors11030191
Chicago/Turabian StyleBhimaraya, Kanthappa, Jamballi G. Manjunatha, Karnayana P. Moulya, Ammar M. Tighezza, Munirah D. Albaqami, and Mika Sillanpää. 2023. "Detection of Levofloxacin Using a Simple and Green Electrochemically Polymerized Glycine Layered Carbon Paste Electrode" Chemosensors 11, no. 3: 191. https://doi.org/10.3390/chemosensors11030191
APA StyleBhimaraya, K., Manjunatha, J. G., Moulya, K. P., Tighezza, A. M., Albaqami, M. D., & Sillanpää, M. (2023). Detection of Levofloxacin Using a Simple and Green Electrochemically Polymerized Glycine Layered Carbon Paste Electrode. Chemosensors, 11(3), 191. https://doi.org/10.3390/chemosensors11030191

