A Strategy for Differentiating Oak Barrel Aged and Non-Oak Barrel Aged Wines by Using UHPLC–HRMS Combined with Chemometrics
Abstract
1. Introduction
2. Materials and Methods
2.1. Samples and Chemicals
2.2. Sample Preparation
2.3. UHPLC–QTOF-MS Analysis
2.4. Data Analysis
3. Results and Discussion
3.1. UHPLC–HRMS Untargeted Metabolomic Analysis of Oak Barrel Aged and Non-Oak Barrel Aged Wines
3.2. Chemometric Analysis of High-Throughput Metabolomic Data
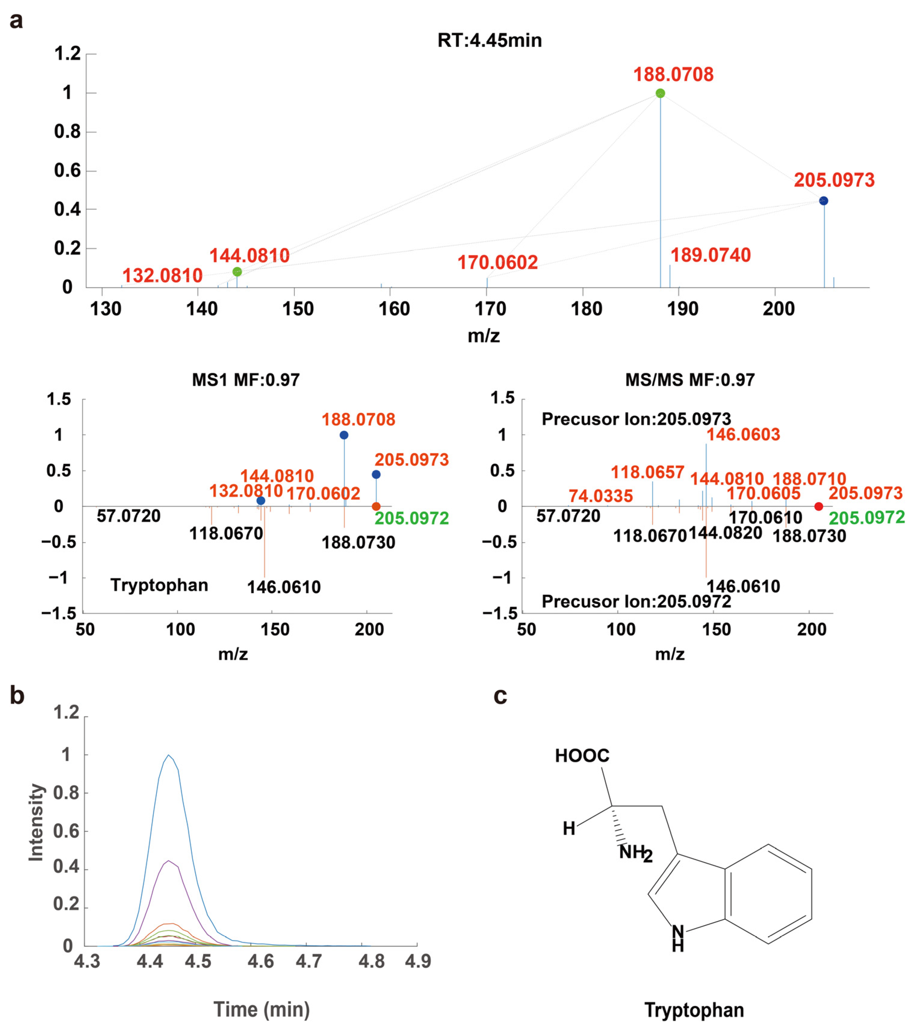
3.3. Identification and Analysis of Candidate Metabolites
4. Conclusions
Author Contributions
Funding
Institutional Review Board Statement
Informed Consent Statement
Data Availability Statement
Conflicts of Interest
References
- Castaldo, L.; Narváez, A.; Izzo, L.; Graziani, G.; Gaspari, A.; Minno, G.D.; Ritieni, A. Red wine consumption and cardiovascular health. Molecules 2019, 24, 3626. [Google Scholar] [CrossRef]
- German, J.B.; Walzem, R.L. The health benefits of wine. Annu. Rev. Nutr. 2000, 20, 561–593. [Google Scholar] [CrossRef] [PubMed]
- Li, S.Y.; Duan, C.Q. Astringency, bitterness and color changes in dry red wines before and during oak barrel aging: An updated phenolic perspective review. Crit. Rev. Food Sci. 2019, 59, 1840–1867. [Google Scholar] [CrossRef] [PubMed]
- Teresa Garde-Cerdán; Carmen Ancín-Azpilicueta. Review of quality factors on wine ageing in oak barrels. Trends Food Sci. Tech. 2006, 17, 438–447. [Google Scholar] [CrossRef]
- Casassa, L.F.; Harbertson, J.F. Extraction, evolution, and sensory impact of phenolic compounds during red wine maceration. Annu. Rev. Food. Sci. Technol. 2014, 5, 83–109. [Google Scholar] [CrossRef]
- Xu, Q.; Fang, Y.J.; Jian, C.; Ying, S.; Chang, Q.D.; Yi, B.L. Characterization and evolution of volatile compounds of cabernet sauvignon wines from two different clones during oak barrel aging. Foods 2022, 11, 74. [Google Scholar]
- Coelho, E.; Domingues, L.; Teixeira, J.A.; Oliveira, J.M.; Tavares, T. Understanding wine sorption by oak wood: Modeling of wine uptake and characterization of volatile compounds retention. Food Res. Int. 2019, 116, 249–257. [Google Scholar] [CrossRef] [PubMed]
- Carpena, M.; Pereira, A.G.; Prieto, M.A.; Simal-Gandara, J. Wine aging technology: Fundamental role of wood barrels. Foods 2020, 9, 1160. [Google Scholar] [CrossRef]
- Arapitsas, P.; Ugliano, M.; Perenzoni, D.; Angeli, A.; Pangrazzi, P.; Mattivi, F. Wine metabolomics reveals new sulfonated products in bottled white wines, promoted by small amounts of oxygen. J. Chromatogr. A 2016, 1429, 155–165. [Google Scholar] [CrossRef]
- Gil, M.; Reynes, C.; Cazals, G.; Enjalbal, C.; Sabatier, R.; Saucier, C. Discrimination of rosé wines using shotgun metabolomics with a genetic algorithm and MS ion intensity ratios. Sci. Rep. 2020, 10, 1170. [Google Scholar] [CrossRef]
- Ontañón, I.; Sánchez, D.; Sáez, V.; Mattivi, F.; Ferreira, V.; Arapitsas, P. Liquid chromatography-mass spectrometry-based metabolomics for understanding the compositional changes induced by oxidative or anoxic storage of red wines. J. Agr. Food Chem. 2020, 68, 13367–13379. [Google Scholar] [CrossRef] [PubMed]
- Laureati, M.; Cattaneo, C.; Tateo, F.; Bononi, M. Identification of the volatile compounds and sensory attributes of long-term aging Vin Santo Wine from Malvasia di Candia aromatic grapes. Foods 2020, 9, 1736. [Google Scholar] [CrossRef] [PubMed]
- Wei, Z.; Liu, X.H.; Huang, Y.; Lu, J.; Zhang, Y.L. Volatile aroma compounds in wines from Chinese wild/hybrid species. J. Food Biochem. 2018, 43, 12684. [Google Scholar] [CrossRef] [PubMed]
- Chen, L.; Darriet, P. Strategies for the identification and sensory evaluation of volatile constituents in wine. Compr. Rev. Food Sci. Saf. 2021, 20, 4549–4583. [Google Scholar] [CrossRef] [PubMed]
- Arena, E.; Rizzo, V.; Licciardello, F.; Fallico, B.; Muratore, G. Effects of light exposure, bottle colour and storage temperature on the quality of Malvasia delle Lipari sweet wine. Foods 2021, 10, 1881. [Google Scholar] [CrossRef]
- Yuan, J.F.; Lai, Y.T.; Chen, Z.Y.; Song, H.X.; Zhang, J.; Wang, D.H.; Gong, M.G.; Sun, J.R. Microwave irradiation: Effects on the change of colour characteristics and main phenolic compounds of Cabernet Gernischt dry Red Wine during storage. Foods 2022, 11, 1778. [Google Scholar] [CrossRef]
- Phan, Q.; Tomasino, E. Untargeted lipidomic approach in studying pinot noir wine lipids and predicting wine origin. Food Chem. 2021, 355, 129409. [Google Scholar] [CrossRef]
- Onzo, A.; Acquavia, M.A.; Pascale, R.; Iannece, P.; Gaeta, C.; Lelario, F.; Ciriello, R.; Tesoro, C.; Bianco, G.; Di Capua, A. Untargeted metabolomic analysis by ultra-high-resolution mass spectrometry for the profiling of new Italian wine varieties. Anal. Bioanal. Chem. 2022, 414, 7805–7812. [Google Scholar] [CrossRef]
- Zhang, Q.; Zhang, Y.Y.; Liu, Z.; Zhang, Y.M.; Lu, N.; Hai, G.Q.; Shao, S.Z.; Zheng, Q.X.; Zhang, X.; Fu, H.Y.; et al. DifferentiatingWestlake Longjing tea from the first- and second-grade producing regions using ultra high performance liquid chromatography with quadrupole time-of-flight mass spectrometry-based untargeted metabolomics in combination with chemometrics. J. Sep. Sci. 2020, 43, 2794–2803. [Google Scholar] [CrossRef]
- Zhao, J.-J.; Zhang, Y.; Wang, X.-C.; Wang, X.; Zhang, Q.; Lu, P.; Liu, P.-P.; Yu, Y.-J.; Han, L.; Zhou, H.-N.; et al. A new platform for untargeted UHPLC-HRMS data analysis to address the time-shift problem. Anal. Chim. Acta. 2022, 1193, 339393. [Google Scholar] [CrossRef]
- Lu, Y.; Yao, G.; Wang, X.; Zhang, Y.; Zhao, J.; Yu, Y.-J.; Wang, H. Chemometric discrimination of the geographical origin of licorice in China by untargeted metabolomics. Food Chem. 2022, 380, 132235. [Google Scholar] [CrossRef]
- El-Gindy, A.; Hadad, G.M. Chemometrics in Pharmaceutical Analysis: An Introduction, Review, and Future Perspectives. J. Aoac. Int. 2012, 95, 609–623. [Google Scholar] [CrossRef]
- Huang, Y.P.; Wu, Z.W.; Su, R.H.; Ruan, G.H.; Du, F.Y.; Li, G.K. Current application of chemometrics in traditional Chinese herbal medicine research. J. Chromatogr. B 2016, 1026, 27–35. [Google Scholar] [CrossRef]
- Vaclavik, L.; Lacina, O.; Hajslova, J.; Zweigenbaum, J. The use of high performance liquid chromatography–quadrupole time-of-flight mass spectrometry coupled to advanced data mining and chemometric tools for discrimination and classification of red wines according to their variety. Anal. Chim. Acta. 2011, 685, 45–51. [Google Scholar] [CrossRef] [PubMed]
- Liu, P.P.; Zhou, H.N.; Zheng, Q.X.; Lu, P.; Yu, Y.J.; Cao, P.J. An automaticUPLC-HRMS data analysis platform for plant metabolomics. Plant Biotechnol. J. 2019, 17, 2038–2040. [Google Scholar] [CrossRef] [PubMed]
- Cadahia, E.; Simon BF, D.; Sanz, M.; Poveda, P.; Colio, J. Chemical and chromatic characteristics of Tempranillo, Cabernet Sauvignon and Merlot wines from DO Navarra aged in Spanish and French oak barrels. Food Chem. 2009, 115, 639–649. [Google Scholar] [CrossRef]
- Fernández De Simón, B.; Cadahía, E.; Conde, E.; García-Vallejo, M.C. Evolution of phenolic compounds of Spanish oak wood during natural seasoning. First results. J. Agric. Food Chem. 1999, 47, 1687–1694. [Google Scholar] [CrossRef]
- Figueiredo-González, M.; Cancho-Grande, B.; Simal-Gándara, J.; Teixeira, N.; Mateus, N.; De Freitas, V. The phenolic chemistry and spectrochemistry of red sweet wine-making and oak-aging. Food Chem. 2014, 152, 522–530. [Google Scholar] [CrossRef]
- Monagas, M.; Gomez-Cordoves, C.; Bartolome, B. Evolution of the phenolic content of red wines from L. during ageing in bottle. Food Chem. 2006, 95, 405–412. [Google Scholar] [CrossRef]
- Gutierrez, I.H.; Lorenzo, S.P.; Espinosa, A.V. Phenolic composition and magnitude of copigmentation in young and shortly aged red wines made from the cultivars, Cabernet Sauvignon, Cencibel, and Syrah. Food Chem. 2005, 92, 269–283. [Google Scholar] [CrossRef]






| No. | Experimental Mass | RT/min | Match Factor (MS1 + MS/MS) | Formula | Compound Name | MS/MS Compound Fragments | IonType |
|---|---|---|---|---|---|---|---|
| 1 | 121.0651 | 5.813 | 1.24 | C8H8O | Phenylacetaldehyde | 53.0395, 77.0393 93.0705, 95.0497 103.0547, 105.0452 | [M+H]+ |
| 2 | 123.0442 | 8.158 | 1.86 | C7H6O2 | 4-Hydroxybenzaldehyde | 53.0395, 67.0550 77.0394, 95.0497 105.0452 | [M+H]+ |
| 3 | 124.0396 | 1.449 | 1.90 | C6H5NO2 | Niacin | 78.0346, 80.0502 96.0450, 124.0396 | [M+H]+ |
| 4 | 136.0620 | 1.273 | 1.86 | C5H5N5 | Adenine | 67.0299, 94.0406 109.0514, 119.0356 | [M+H]+ |
| 5 | 138.0551 | 1.181 | 1.08 | C7H7NO2 | Trigonelline | 65.0394, 78.0344 92.0500, 94.0656 110.0603 | [M+H]+ |
| 6 | 138.0914 | 1.691 | 1.52 | C8H11NO | Tyramine | 77.0393, 91.0548 95.0497, 103.0547 121.0651 | [M+H]+ |
| 7 | 144.0481 | 2.737 | 1.34 | C6H9NOS | 4-Methyl-5-thiazoleethanol | 112.0218, 113.0299 126.0376, | [M+H]+ |
| 8 | 144.1020 | 1.230 | 1.14 | C7H13NO2 | Proline betaine | 58.0660, 84.0815 98.0970, | [M+H]+ |
| 9 | 146.1655 | 0.995 | 1.84 | C7H19N3 | Spermidine | 58.0661, 72.0816 84.0815, 112.1126 | [M+H]+ |
| 10 | 150.0584 | 1.423 | 1.98 | C5H11NO2S | Methionine | 56.0504, 61.0115 74.0245, 87.0270 133.0322 | [M+H]+ |
| 11 | 156.0775 | 1.037 | 1.98 | C6H9N3O2 | Histidine | 56.0505, 82.0533 83.0611, 93.0454 95.0610, 110.0718 | [M+H]+ |
| 12 | 161.0598 | 7.001 | 1.46 | C10H8O2 | 6-Methylcoumarin | 79.0550, 103.0548 105.0704, 133.0653 | [M+H]+ |
| 13 | 162.1124 | 1.148 | 1.68 | C7H15NO3 | L-Carnitine | 85.0291, 102.0919 103.0395 | [M+H]+ |
| 14 | 165.0547 | 6.143 | 1.80 | C9H8O3 | p-Coumaric acid | 65.0394, 91.0549 119.0496, 123.0444 147.0443 | [M+H]+ |
| 15 | 166.0864 | 10.098 | 2.00 | C9H11NO2 | Phenylalanine | 79.0545, 93.0704 103.0547, 120.0812 | [M+H]+ |
| 16 | 170.0813 | 1.357 | 2.00 | C8H11NO3 | Pyridoxine | 106.0658, 124.0761 134.0603, 150.0558 152.0709 | [M+H]+ |
| 17 | 175.1190 | 1.131 | 2.00 | C6H14N4O2 | Arginine | 60.0565, 70.0659 72.0816, 116.0711 130.0978 | [M+H]+ |
| 18 | 179.0339 | 7.422 | 1.94 | C9H6O4 | 6,7-Dihydroxycoumarin | 123.0445, 132.0285 133.0285, 151.0397 | [M+H]+ |
| 19 | 181.0495 | 7.461 | 1.60 | C9H8O4 | Caffeic acid | 83.0392, 117.0340 145.0287, 163.0393 | [M+H]+ |
| 20 | 182.0815 | 2.138 | 1.90 | C9H11NO3 | Tyrosine | 91.0549, 95.0497 119.0495, 136.0759 147.0445 | [M+H]+ |
| 21 | 183.0654 | 12.008 | 1.76 | C9H10O4 | Syringaldehyde | 67.0552, 95.0498 105.0453, 123.0444 125.0239, 140.0470 | [M+H]+ |
| 22 | 185.1541 | 22.853 | 1.96 | C11H20O2 | delta-Undecalactone | 149.1329, 150.1363 167.1435, 168.1468 | [M+H]+ |
| 23 | 189.1348 | 1.131 | 1.90 | C7H16N4O2 | Targinine | 57.0456, 70.0660 88.0764, 116.0711 144.1134, 158.0931 172.1083 | [M+H]+ |
| 24 | 189.1600 | 3.843 | 1.98 | C9H20N2O2 | Propamocarb | 58.0660, 74.0245 86.0971, 144.1022 | [M+H]+ |
| 25 | 192.0768 | 5.232 | 1.98 | C9H9N3O2 | Carbendazim | 132.0560, 160.0508 | [M+H]+ |
| 26 | 199.0603 | 8.516 | 1.76 | C9H10O5 | Syringic acid | 95.0498, 125.0236 140.0470,181.0502 | [M+H]+ |
| 27 | 200.1187 | 20.348 | 2.00 | C12H13N3 | Pyrimethanil | 82.0659, 107.0609 125.0710,183.0922 | [M+H]+ |
| 28 | 204.1238 | 1.323 | 1.80 | C9H18NO4 | Acetylcarnitine | 60.0817, 85.0291 145.0498, | [M+H]+ |
| 29 | 205.0973 | 4.451 | 1.94 | C11H12N2O2 | Tryptophan | 118.0657, 144.0810, 146.0603, 170.0605, 188.0710 | [M+H]+ |
| 30 | 206.0813 | 11.553 | 1.92 | C11H11NO | Indolelactic acid | 118.0656, 130.0656 160.0762, 170.0602 | [M+H]+ |
| 31 | 211.1442 | 11.942 | 1.72 | C11H18N2O2 | Cyclo(Leu-Pro) | 70.0659, 98.0606 114.0918, 138.1279 155.1543, 183.1495 | [M+H]+ |
| 32 | 217.1278 | 1.239 | 1.66 | C8H16N4O3 | N-Acetylarginine | 70.0660, 116.0710 130.0978 | [M+H]+ |
| 33 | 229.0861 | 13.193 | 1.86 | C14H12O3 | Resveratrol | 91.0549, 107.0497 119.0496, 135.0444 211.0750 | [M+H]+ |
| 34 | 231.1021 | 18.211 | 1.08 | C14H14O3 | α,β-Dihydroresveratrol | 91.0549, 107.0497 125.0597, 137.0599 | [M+H]+ |
| 35 | 239.1028 | 2.102 | 1.60 | C11H14N2O4 | Gly-Tyr | 91.0548, 123.0442 136.0759, 147.0444 165.0549, 182.0819 | [M+H]+ |
| 36 | 261.1443 | 3.577 | 1.56 | C11H20N2O5 | gamma-Glutamylleucine | 86.0971, 132.1025 | [M+H]+ |
| 37 | 273.0763 | 13.472 | 2.00 | C15H12O5 | Naringenin chalcone | 119.0501, 147.0443 153.0185 | [M+H]+ |
| 38 | 275.0920 | 17.197 | 2.00 | C15H14O5 | Phloretin | 107.0497, 169.0495 | [M+H]+ |
| 39 | 281.1136 | 5.059 | 1.72 | C13H16N2O5 | Asp-Phe | 120.0812, 130.0622 166.0864, 235.1076 | [M+H]+ |
| 40 | 289.0707 | 16.503 | 1.72 | C15H12O6 | Dihydrokaempferol | 107.0497, 149.0237 153.0185, 215.0709 | [M+H]+ |
| 41 | 291.0863 | 9.724 | 1.98 | C15H14O6 | Epicatechin | 123.0443, 139.391 147.0441, 207.0654 | [M+H]+ |
| 42 | 291.0864 | 6.004 | 2.00 | C15H14O6 | Catechin | 95.0499, 119.0496 123.0444, 139.0392 147.0444, 207.0656 | [M+H]+ |
| 43 | 291.0865 | 6.609 | 1.98 | C15H14O6 | (-)-epicatechin | 119.0496, 123.0444 139.0392, 147.0445 179.0708, 207.0656 | [M+H]+ |
| 44 | 291.0867 | 4.886 | 2.00 | C15H14O6 | CIANIDANOL | 123.0444, 139.0392 147.0443, 165.0552 207.0657 | [M+H]+ |
| 45 | 294.1548 | 1.862 | 1.78 | C12H23NO7 | N-Fructosyl isoleucine | 86.0972, 144.1024 212.1281, 258.1337 276.1449 | [M+H]+ |
| 46 | 305.0655 | 10.078 | 1.98 | C15H12O7 | taxifolin | 123.0443, 149.0239 153.0183, 167.0344 231.0651, 259.0604 | [M+H]+ |
| 47 | 319.0452 | 16.794 | 2.00 | C15H10O8 | Myricetin | 111.0084, 153.0182 245.0452, 273.0398 301.0350 | [M+H]+ |
| 48 | 328.1392 | 2.879 | 1.84 | C15H21NO7 | N-Fructosyl phenylalanine | 97.0289, 264.1228 292.1178, 310.1290 | [M+H]+ |
| 49 | 345.1449 | 4.128 | 2.00 | C18H20N2O5 | Tyr-Tyr | 119.0498, 136.0761 182.0821 | [M+H]+ |
| 50 | 377.1457 | 9.819 | 2.00 | C17H20N4O6 | Riboflavin | 69.0342, 99.0447 243.0879, 359.1360 | [M+H]+ |
| 51 | 434.2028 | 11.504 | 1.64 | C19H28O10 | Sayaendoside | 87.0447, 115.0393 133.0498, 145.0499 | [M+NH4]+ |
| No. | Experimental Mass | RT/min | Match Factor (MS1 + MS/MS) | Formula | Compound Name | MS/MS Compound Fragments | IonType |
|---|---|---|---|---|---|---|---|
| 1 | 121.0283 | 8.166 | 1.94 | C7H6O2 | Benzoic acid | 93.0332, 108.0203 | [M−H]− |
| 2 | 125.0233 | 2.708 | 1.82 | C6H6O3 | Benzene-1,2,4-triol | 69.0331, 95.0122, 97.0281 | [M−H]− |
| 3 | 135.0278 | 1.123 | 1.84 | C4H8O5 | Threonic acid | 59.0124, 72.9916 75.0072 | [M−H]− |
| 4 | 137.0233 | 5.494 | 1.92 | C7H6O3 | Protocatechuic aldehyde | 108.0202, 109.0281 119.0126, 136.0155 | [M−H]− |
| 5 | 147.0289 | 1.450 | 1.32 | C5H8O5 | Citramalate | 85.0280, 87.0073 129.0189 | [M−H]− |
| 6 | 149.0079 | 5.983 | 1.48 | C4H6O6 | Tartaric acid | 59.0124, 72.9916 87.0074 | [M−H]− |
| 7 | 151.0251 | 1.593 | 1.96 | C5H4N4O2 | Xanthine | 108.0189, 126.0298 | [M−H]− |
| 8 | 161.0445 | 1.978 | 1.98 | C6H10O5 | Meglutol | 57.0332, 59.0125 99.0436, 101.0230 | [M−H]− |
| 9 | 163.0388 | 6.141 | 1.98 | C9H8O3 | Phenylpyruvic acid | 93.0332, 117.0334 119.0489 | [M−H]− |
| 10 | 165.0547 | 11.166 | 1.96 | C9H10O3 | 3-phenyllactic acid | 72.9917, 91.0537 119.0489, 147.0446 | [M−H]− |
| 11 | 169.0133 | 2.233 | 1.88 | C7H6O5 | Gallic acid | 69.0331, 97.0280 124.0153, 125.0230 | [M−H]− |
| 12 | 177.0186 | 7.412 | 1.84 | C9H6O4 | esculetin | 89.0382, 105.0332 033.0285, 149.0233 | [M−H]− |
| 13 | 181.0500 | 4.699 | 1.92 | C9H10O4 | 3-(4-Hydroxyphenyl)lactic acid | 72.9916, 119.0489 134.0361, 135.0440 163.0390 | [M−H]− |
| 14 | 191.0190 | 1.441 | 1.98 | C6H8O7 | Citric acid | 57.0331, 85.0280 87.0073, 111.0074 | [M−H]− |
| 15 | 191.0555 | 1.197 | 1.84 | C7H12O6 | 1,3,4,5-Tetrahydroxycyclohexanecarboxylic Acid | 59.0123, 710.0123 85.0280, 93.0332 | [M−H]− |
| 16 | 193.0349 | 1.123 | 1.88 | C6H10O7 | 2-Keto-L-galactonic acid | 57.0331, 59.0124 71.0124, 73.0280 85.0280, 101.0230 113.0230, 131.0337 | [M−H]− |
| 17 | 197.0449 | 8.519 | 1.80 | C9H10O5 | Syringic Acid | 95.0120, 123.0077 166.9973, 182.0211 | [M−H]− |
| 18 | 206.0817 | 12.401 | 1.88 | C11H13NO3 | N-acetylphenylalanine | 58.0284, 91.0540 147.0454, 164.0707 | [M−H]− |
| 19 | 209.0297 | 1.147 | 1.74 | C6H10O8 | Mucic acid | 71.0124, 85.0280 133.0128, 191.0177 | [M−H]− |
| 20 | 263.1289 | 19.411 | 1.68 | C15H20O4 | Abscisic acid | 139.0760, 151.0753 201.1281, 204.1145 219.1382 | [M−H]− |
| 21 | 289.0716 | 6.174 | 1.90 | C15H14O6 | Catechin | 151.0389, 179.0340 205.0499, 221.0814 227.0709, 245.0830 271.0612 | [M−H]− |
| 22 | 301.0353 | 19.755 | 1.96 | C15H10O7 | Quercetin | 121.0283, 151.0024 178.9976, 273.0348 | [M−H]− |
| 23 | 303.0513 | 13.501 | 1.94 | C15H12O7 | taxifolin | 125.0232, 175.0390 217.0499, 285.0400 | [M−H]− |
| 24 | 305.0668 | 3.526 | 2.00 | C15H14O7 | 2-(3,4,5-trihydroxyphenyl) chromane-3,5,7-triol | 125.0231, 167.0339 177.0547, 219.0659 261.0769 | [M−H]− |
| 25 | 317.0306 | 16.800 | 1.98 | C15H10O8 | Myricetin | 107.0126, 137.0232 151.0027, 178.9975 | [M−H]− |
| 26 | 577.1348 | 5.735 | 1.86 | C30H26O12 | Procyanidin B1 | 125.0231, 161.0234 287.0555, 407.0769 425.0883 | [M−H]− |
Disclaimer/Publisher’s Note: The statements, opinions and data contained in all publications are solely those of the individual author(s) and contributor(s) and not of MDPI and/or the editor(s). MDPI and/or the editor(s) disclaim responsibility for any injury to people or property resulting from any ideas, methods, instructions or products referred to in the content. |
© 2023 by the authors. Licensee MDPI, Basel, Switzerland. This article is an open access article distributed under the terms and conditions of the Creative Commons Attribution (CC BY) license (https://creativecommons.org/licenses/by/4.0/).
Share and Cite
Lv, Y.; Ma, F.-L.; Wang, J.-N.; Zhang, Y.; Jiang, Y.; Ge, Q.; Yu, Y.-J. A Strategy for Differentiating Oak Barrel Aged and Non-Oak Barrel Aged Wines by Using UHPLC–HRMS Combined with Chemometrics. Chemosensors 2023, 11, 165. https://doi.org/10.3390/chemosensors11030165
Lv Y, Ma F-L, Wang J-N, Zhang Y, Jiang Y, Ge Q, Yu Y-J. A Strategy for Differentiating Oak Barrel Aged and Non-Oak Barrel Aged Wines by Using UHPLC–HRMS Combined with Chemometrics. Chemosensors. 2023; 11(3):165. https://doi.org/10.3390/chemosensors11030165
Chicago/Turabian StyleLv, Yi, Feng-Lian Ma, Jia-Nan Wang, Yao Zhang, Yuan Jiang, Qian Ge, and Yong-Jie Yu. 2023. "A Strategy for Differentiating Oak Barrel Aged and Non-Oak Barrel Aged Wines by Using UHPLC–HRMS Combined with Chemometrics" Chemosensors 11, no. 3: 165. https://doi.org/10.3390/chemosensors11030165
APA StyleLv, Y., Ma, F.-L., Wang, J.-N., Zhang, Y., Jiang, Y., Ge, Q., & Yu, Y.-J. (2023). A Strategy for Differentiating Oak Barrel Aged and Non-Oak Barrel Aged Wines by Using UHPLC–HRMS Combined with Chemometrics. Chemosensors, 11(3), 165. https://doi.org/10.3390/chemosensors11030165
