Abstract
This work presents the use of a fractional two-level factorial design to determine the influence of different factors involved in the development of the square-wave anodic stripping voltammetry method. A fractional factorial design of eight different electrodes using a bismuth film glassy carbon electrode (BiFGCE) was formulated, and the impact of the factors on the analytical performance of the electrodes was determined. The impact of six factors (deposition potential, deposition time, potential step, amplitude, frequency, and the concentration of Bi(III)) was tested for Cd(II) and Pb(II) determination. Next, simplex optimization was carried out to improve the electroanalytical performance of the BiFGCE. The objective of simplex optimization was to simultaneously obtain a low limit of quantification, a wide linear concentration range, high sensitivity, high accuracy, and good precision for the new BiFGCE developed. By employing the latter approach, an optimization criterion was improved by several orders of magnitude. Moreover, the possible interference effect of different species was tested using two optimized BiFGCE. Furthermore, a real sample analysis of tap water with two optimized BiFGCEs was also carried out.
1. Introduction
Environmental pollution with toxic heavy metals is a problem that harms human health. Various analytical methods, such as spectroscopic and electrochemical methods, are used to detect heavy metals [1,2,3,4,5,6,7,8]. The standard techniques for trace heavy metal determination are inductively coupled plasma mass spectrometry, inductively coupled plasma atomic emission spectrometry, and atomic absorption spectrometry. In the field of electrochemical methods, the most effective technique to determine trace heavy metals is the stripping voltammetric technique. However, there is always room for improvement, where the aim is to develop an analytical method with low costs and short analysis time. One such method, which uses portable devices, is square-wave anodic stripping voltammetry (SWASV). It has been shown previously that the modification of a bare glassy carbon electrode (GCE) to design a bismuth film electrode (BiFGCE) leads to improved electroanalytical properties [9,10]. Using a BiFGCE, a low limit of detection (LOD), a low limit of quantification (LOQ), a wide linear concentration range, high sensitivity, good precision, and accuracy have been reported [2,5,11,12,13,14,15,16,17,18]. Cd(II) and Pb(II) can be determined simultaneously by means of a BiFGCE. Cd(II) and Pb(II) are already toxic to human health at low concentrations [14,15,19,20,21]. Thus, an electrode with low LODs and LOQs is needed.
For SWASV, different factors are involved in conducting an experiment, such as the deposition potential (Edep), the deposition time (tdep), the amplitude, the potential step (ΔE), and the frequency. All these affect analytical performance. To design a BiFGCE, the concentration of Bi(III) present in the solution is also an essential factor affecting the analysis. A supporting electrolyte frequently used in combination with BiFGCE is 0.1 M acetate buffer solution [9,16,22,23,24,25,26,27,28,29], and the BiFGCE is often prepared in situ [9,24,30].
A systematic evaluation of the above-mentioned factors that affect the final electroanalytical methods is usually not carried out. Research is mainly oriented towards designing new BiFGCEs empirically by means of trial-and-error experiments. For such, much effort could be devoted to an approach that does not guarantee an improvement in the electroanalytical method. On the other hand, factorial design (frequently also called experimental design) can be a means to avoid a trial-and-error approach and to determine the impact of a particular factor on the performance of the electroanalytical method [31,32].
Moreover, a one-by-one optimization is performed, which means that the value of one factor is changed while the other factors are held constant. The best analytical signal obtained is then taken as the optimized one for that factor. This procedure is then repeated for the other factors, where the previous optimized factor (using one-by-one optimization) is held constant at its optimized value. This optimization procedure involves numerous (sometimes unnecessary) experiments and leads to local improvement, i.e., rarely to the local maximum and even less often to the global maximum. A significantly better approach to achieving the optimum factors is to use an optimization method where all factors are considered simultaneously in the optimization procedure, e.g., simplex optimization [33,34].
In this work, different electroanalytical factors, i.e., Edep, tdep, amplitude, ΔE, and frequency, were tested using a fractional two-level factorial design. The impact of these factors on the analytical performance of the BiFGCE was determined by employing a differently designed BiFGCE. Next, the optimization of these factors in order to perform a SWASV experiment and of the Bi(III) concentration in order to design the BiFGCE was performed using simplex optimization. Factor optimization was performed simultaneously and not by using a one-by-one optimization approach. As a response, two different optimization criteria for simplex optimization were used. Possible interferences were checked, and the applicability of the optimized BiFGCEs for real sample analysis was demonstrated.
2. Experimental
2.1. Solution Preparation
A 0.1 M acetate buffer solution was used as a supporting electrolyte for all SWASV measurements. Standard stock solutions (1000 mg/L, supplied by Merck, Darmstadt, Germany) of Bi(III), Cd(II), Pb(II), Zn(II), Cu(II), As(III), Sn(II), and Sb(III) were used to prepare the solutions of standards. NaCl, KCl, KNO3, and (NH4)2Fe(SO4)26H2O were supplied by Sigma Aldrich (St. Louis, MO, USA). CaCl2 and MgCl2 were supplied by Acros Organics (Fair Lawn, NJ, USA). Na2SO4 was supplied by Honeywell Fluka (Charlotte, NC, USA), and CH3COONa3H2O was supplied by Fisher Chemical (Pittsburgh, PA, USA). All chemicals were p.a. grade. Ultrapure water with a resistivity of 18.2 MΩ cm (ELGA, Lane End, UK) was used to prepare the solutions as required.
2.2. Electrochemical Measurements
Electrochemical measurements were performed at room temperature using a PalmSens4 (Houten, The Netherlands) potentiostat/galvanostat, controlled with PSTrace 5.9 software. A GCE (Cat. No. 6.1204.300, disc with a diameter of 3.0 mm) was used as the working electrode, and a platinum wire was used as the counter electrode. The reference electrode was a Ag/AgCl (saturated KCl) electrode. The volume of the solution for the electrochemical analyses was approximately 5.0 mL. The cell and the electrodes were supplied by Metrohm (Herisau, Switzerland).
The GCE was prepared before every electrochemical measurement. First, the GCE surface was polished with 0.05 µm Al2O3 powder (supplied by Buehler, IL, USA), then it was rinsed with ultrapure water and cleaned by ultrasound in ultrapure water for 1 min. Finally, the electrode was chemically/electrochemically cleaned in 15 wt.% HCl for 15 min by applying a potential of 0.6 V. The GCE was then thoroughly rinsed with ultrapure water and gently wiped with a paper tissue without touching the active GCE surface. To check the properties of the GCE, cyclic voltammetry of the hexacyanoferrate system with different scan rates was performed, as described in the Supplementary Material.
SWASV measurements were performed at different Edep, tdep, amplitude, ΔE, and frequency, as explained below. The equilibration time for all SWASV measurements was 15 s. After the SWASV measurement, a potential of 0.6 V was applied for 60 s to remove possible residual metals from the GCE surface. During the accumulation and cleaning step, the solution was stirred, whereas stirring was turned off during the equilibration step and the SWASV voltammogram measurements.
2.3. Determination of the Optimization Criterium
When optimizing an analytical method, it is important to obtain the best validation parameters, which means the lowest limit of detection (LOD), the lowest limit of quantification (LOQ), the highest sensitivity (in the current case, the highest slope of the linear calibration curve), the highest precision (the lowest relative standard deviation, RSD), the highest accuracy (the best recovery, Re, which is the closest to 100.0%), and the lowest value of the lower limit of the linear calibration range (LLCR) [35].
In this work, BiFGCE optimization was performed based on the optimization criterion (OC). BiFGCE was prepared in situ. The higher the OC, the better the BiFGCE is for Cd(II) and Pb(II) determination. The OC was determined by taking into account the sensitivity (the calibration curve’s slope), LLCR, the LOQ (not the LOD, in order to not have a similar analytical property involved twice), the RSD, and the absolute value of 100% − Re [33]. The Re can be lower or higher than 100.0%, thus the deviation from 100.0% was considered to be significant and that is why the |100.0% − Re| term has been employed. The LLCR and not the width of the linear concentration range was considered, as the determination of low concentrations of analytes is most important when using electroanalysis. Based on these validation parameters, Equation (1) was used to calculate the OC for the Cd(II) and Pb(II) analytes (OCan, where subscript an stands for the analyte, i.e., OCCd(II) and OCPb(II)). As the highest sensitivity is desired, this validation parameter is in the numerator. On the other hand, as the lowest LLCR, the lowest LOQ, the lowest RSD, and the lowest |100.0% − Re| are desired, these validation parameters are in the denominator.
In order to determine the value of every validation parameter, six repetitions were made.
Cd(II) and Pb(II) were determined simultaneously using all BiFGCEs presented in this work. The RSD and Re were calculated based on concentration determination using the multiple standard addition method.
On that basis, for both analytes, the OCan was determined individually (OCCd(II) and OCPb(II)). The OC of the BiFGCE was defined as the combined OC (OCcomb) by including both OCan. In this work, the OCcomb was calculated as the product of individual OCan (OCprod, Equation (2)) or as a sum of individual OCan (OCsum, Equation (3)). Thus, two different approaches were used to determine the response of the BiFGCEs. For simplicity, only numerical values without units were reported for the OCs.
OCprod = OCCd(II) ∙ OCPb(II)
OCsum = OCCd(II) + OCPb(II)
Figure 1 shows the measured SWASV voltammograms, linear calibration curves, and the shift of the given analyte’s stripping peak potential with increasing concentration (three out of six repetitions are shown). The results for other tested BiFGCEs are given in the Supplementary Material (Figures S1–S19).
Figure 1.
Three repetition measurements for determining the linear concentration ranges for (a) Cd(II) and (b) Pb(II), the stripping peak potentials vs. concentration for (c) Cd(II) and (d) Pb(II), and (e) the corresponding voltammogram (one out of six repetition measurements) using Electrode No. 2 tested in a fractional two-level factorial design in Table 1. The full symbols in (a) and (b) represent the calibration points within the linear concentration range, while the empty symbols represent measurements outside the linear concentration range. Δip is the stripping peak height.
3. Results and Discussion
3.1. Fractional Factorial Design
The factors for SWASV that can be varied are Edep, tdep, ΔE, amplitude, and frequency. As BiFGCEs were being investigated, the mass concentration of Bi(III) (γBi(III)) must also be taken into consideration for optimization. On that basis, the impact of the above-mentioned six factors on BiFGCE performance was investigated by a fractional two-level factorial design, [33] as shown in Table 1 and Table 2. A fractional factorial design was employed to decrease the number of experiments compared to a full factorial design [36]. As the starting point in the fractional factorial design, the high (+ in Table 1) and low levels (− in Table 1) of the factors under investigation must be considered. The designation of the levels and experimental values for every factor at their low and high levels are shown in Table 1 and Table 2, respectively. These values were selected based on the previously reported work [33]. The Edep value of −1.4 V was chosen because hydrogen evolution is significant at more negative potentials, while Edep value of −1.0 V was selected as it is at still more negative potentials required to perform the deposition step of analytes. The reported Bi(III) concentration for the formation of the in situ film electrodes is frequently 0.5 or 1.0 mg/L [3,9,22,37,38,39,40,41]. To test the significance of an even lower Bi(III) concentration, 0.2 mg/L was set as the lower limit and 1.0 mg/L as the upper limit (the most commonly reported highest concentration for in situ film electrode formation). In addition, tdep is often 60 s, so 30 s and 120 s were tested to verify the limits of tdep. When selecting ΔE, amplitude, and frequency, care was taken to ensure that the SWASV voltammogram was still well pronounced and had no significant noise. These values are lower or higher than the most commonly used ΔE, amplitude, and frequency for performing SWASV [3,9,22,37,38,39,40,41].
Table 2.
Fractional two-level factorial design with six factors (the values of the factors at their high and low levels).
Table 1.
Fractional two-level factorial design with six factors (+ stands for the factor when it is at the high level, and − stands for the factor when it is at the low level).
Table 1.
Fractional two-level factorial design with six factors (+ stands for the factor when it is at the high level, and − stands for the factor when it is at the low level).
| Electrode No. | Edep [V] | tdep [s] | ΔE [mV] | Amplitude [mV] | Frequency [Hz] | γBi(III) [mg/L] |
|---|---|---|---|---|---|---|
| 1 | + | + | + | + | + | + |
| 2 | + | + | − | + | − | − |
| 3 | + | − | + | − | + | − |
| 4 | + | − | − | − | − | + |
| 5 | − | + | + | − | − | + |
| 6 | − | + | − | − | + | − |
| 7 | − | − | + | + | − | − |
| 8 | − | − | − | + | + | + |
Eight BiFGCEs, named Electrode Nos. 1–8 in Table 2, for Cd(II) and Pb(II) determination, were validated (the values for the six factors used for these BiFGCEs are also given in Table 2). LOD, LOQ, linear concentration range, sensitivity, accuracy, and precision were determined. Based on the obtained validation parameter results, OCprod and OCsum values were calculated. The OCprod and OCsum values served as a response for the factorial design. The factor’s impact (FI) on the analytical performance of the BiFGCE was calculated using Equation (4), where and are the average values of OCprod (or OCsum) when the factor is at the high and low level, respectively.
The FI is significant when the is higher than the critical value. Critical values are calculated by Equation (5) and the pooled standard deviation (spool) by Equation (6) [33,36].
The Student’s t value at 95% confidence is ) and has six degrees of freedom in the present case. In Equation (6), is the variance of the OCcomb when the factor is at a high level and vice versa for . The terms and are the number of cases when the factor is at a high or low level, respectively [33,36]. Both and are four in the present case.
Moreover, an evaluation of the significance of a single factor on one validation parameter was performed. In this case, the response in the fractional factorial design was the product (or sum) of the single validation parameter for both analytes simultaneously (i.e., for the product: slopeprod, LOQprod, RSDprod, |100% − Re|prod, and the lower limit of the linear concentration rangeprod, and for the sum: slopesum, LOQsum, RSDsum, |100% − Re|sum, and the lower limit of the linear concentration rangesum) when the factor is at its high or low level. The response was also considered for individual OCan, i.e., OCCd(II) and OCPb(II), or an individual validation parameter.
The FIs are shown in Table 3. The term “No” means that the factor does not have a significant impact on the given response (FI is not significant when the is lower than the critical value), while “Yes” means that the factor has a significant impact on the given response (FI is significant when the is higher than the critical value). Table 3 presents different responses. The evaluation of the impact on one validation parameter is only given for comparison since the main purpose of this study is to improve validation parameters simultaneously by employing the OCprod and OCsum responses [33].
Table 3.
The FI on individual validation parameters (“No” or “Yes” is the answer if the factor has a significant impact on the given response).
Table 3 shows that none of the factors for conducting SWASV measurements (the electrochemical setup factors, not the γBi(III)) has a significant impact on the validation parameters simultaneously, i.e., when the response is OCprod or OCsum. On the other hand, γBi(III) has a significant impact on all validation parameters simultaneously when the response is OCprod. Moreover, tdep has an impact on |100% − Re|prod, the lower limit of the linear concentration rangeprod, the calibration curve’s slopesum, the LOQsum, the |100% − Re|sum, the calibration curve’s slopeCd(II), the LOQCd(II), the |100% − Re|Cd(II), the calibration curve’s slopePb(II), and the LOQPb(II). Furthermore, the ΔE has an impact on the lower limit of the linear calibration rangePb(II) and γBi(III) has an impact on the OCprod and OCPb(II).
3.2. Simplex Optimization Procedure
As six factors are optimized (Edep, tdep, ΔE, amplitude, frequency, and γBi(III)), seven BiFGCEs with different factors are needed for simplex optimization as a starting point. The BiFGCEs that were tested with the fractional factorial design were also employed for simplex optimization. As eight BiFGCEs were tested with the fractional factorial design, the BiFGCE with the lowest value of OCprod and OCsum was not used (this was Electrode No. 8). Two different OCs were employed for simplex optimization, i.e., OCprod and OCsum. The higher the value of OCprod or OCsum, the better the BiFGCE is considered to be.
The simplex optimization procedure follows three steps: (i) first the BiFGCE with the lowest OCprod or OCsum is determined (designated by the worst point, Wi), (ii) then the centroid point (CEN) of other BiFGCEs for each factor is calculated (CEN is calculated as an average value), and (iii) reflection of the Wi through the CEN is performed (α is a multiplication factor and is taken as 1 in the present case [33] and is common in Simplex optimization [36]) according to Equation (7) [33]. By means of simplex optimization, a new BiFGCE is suggested, and named Bi (B for best point and i for the number of simplex reflections).
Bi = (1 + α) ∙ CEN − α ∙ Wi
When calculating the factors for a new BiFGCE, it can happen that impossible or values over a certain limit are calculated, thus boundary (limit) conditions are needed. For example, a negative value for γBi(III) is impossible; that is why the lowest boundary is taken as γBi(III) = 0.2 mg/L (the same boundary was proved successful in the previous study [33]). The latter was applied for B3 and B4 when OCprod was used, and for B1, B3, and B6 when OCsum was used as the OC.
Table 4 and Table 5 show new BiFGCEs using simplex optimization when OCprod and OCsum are taken as the OC, respectively. Six simplex reflections are reported for each OC. Biprod and Bisum represent the Bi, when OCprod and OCsum were applied as the OC, respectively. The best BiFGCE (with the highest OC) was B6prod, when the OCprod was the OC. The OCprod for B6prod is significantly higher than for B5prod and Electrode No. 2 (with the best OCprod in the fractional factorial design reported above). When the OC is OCsum, the best BiFGCE is B6sum. The OCsum for B6sum is significantly higher than for B5sum and Electrode No. 6 (with the best OCsum in the fractional factorial design reported above).
Table 4.
The simplex optimization procedure with designated Wi and Bi, when OCprod is taken as the OC.
Table 5.
The simplex optimization procedure with designated Wi and Bi, when OCsum is taken as the OC.
3.3. Method Validation
For all tested BiFGCEs, the stripping peaks for Cd(II), Pb(II), and Bi(III) were well separated from each other; therefore, all BiFGCEs showed good selectivity for Cd(II) and Pb(II) determination (Figure 1e and Figures S1–S19e in the Supplementary Material). In order to accept a linear concentration range, the square of the correlation coefficient (R2) should be larger than 0.995 and the quality coefficient (QC) should be lower than 5.00% [36,42]. Figure 2 shows the linear concentration ranges for Cd(II) and Pb(II) determination using the different BiFGCEs tested using the factors in Table 4 and Table 5 (in the fractional factorial design and simplex optimization).
Figure 2.
Linear concentration ranges for Cd(II) and Pb(II) determined during the course of (a) fractional factorial design testing, (b) simplex optimization, where the optimization criteria was OCprod, and (c) simplex optimization, where the optimization criteria was OCsum.
For Pb(II), the linear concentration ranges determined were wider than the linear concentration ranges for Cd(II), apart from Electrodes No. 1, 5, 8, B6prod, and B2sum. The widest linear concentration range for Cd(II) was determined for Electrode No. 4, and the widest linear concentration range for Pb(II) was determined for Electrode No. 7.
The sensitivity was evaluated based on the slope of the linear calibration curve (Figure 3). Most of the BiFGCEs show higher sensitivity to Cd(II) compared with Pb(II) (except for Electrode B1prod, Figure 3b) when the OC was OCprod. However, when the OC was OCsum, the BiFGCEs had a similar or higher sensitivity to Pb(II) compared with Cd(II) (Figure 3c). The highest sensitivity to Cd(II) was seen for Electrode B4prod, and regarding Pb(II) for Electrode B6sum.
Figure 3.
Sensitivity determined for Cd(II) and Pb(II) during the course of (a) fractional factorial design testing, (b) simplex optimization where the optimization criteria is OCprod, and (c) simplex optimization where the optimization criteria is OCsum. The error bars represent standard deviations.
The LOD is the concentration where the signal-to-noise ratio is equal to or higher than 3 (it should be close to 3 and lower than 10). The LOQ is the concentration where the signal-to-noise ratio is equal to or higher than 10 (but close to 10) [43]. The methodology for LOD and LOQ determination is described in [33]. Table 6 shows the LODs and LOQs for all the BiFGCEs tested. In general, the LODs and LOQs determined for Pb(II) were lower than for Cd(II), apart from Electrode B1prod.
Table 6.
The LOD and LOQ values determined during the course of the fractional factorial design testing and simplex optimization (with two different optimization criteria, i.e., OCprod and OCsum).
The precision of the system and the precision of the method were also determined. The precision of the system (the precision at the repeatability level) was determined by calculating the RSD using the stripping peak height values of twelve consecutive measurements of the Cd(II) and Pb(II) stripping peaks in the same solution. The precision of the method was calculated from the determined concentrations of Cd(II) and Pb(II) using the multiple standard addition method. For the latter, at least six repetitions of a solution (every measurement was performed using a freshly prepared solution) with the same concentrations of Cd(II) and Pb(II) were measured and the RSD was calculated from the determined concentrations. The precision of the method was determined at the lowest possible concentration of Cd(II) and Pb(II), where both of the analytes were within their linear concentration range. A method was deemed precise (for both the precision of the system and the precision of the method), when the RSD was lower or equal to 20.0% [44,45].
Table 7 presents the precision of the system and Table 8 presents the precision of the method using different BiFGCEs. For Cd(II) determination, Electrodes No. 1, 5, and 8, and Electrodes B1prod, B4prod, B6prod, B4sum and B6sum showed RSDs higher than 20.0, which exceeded the criterium for the precision of the system. On the other hand, all of the electrodes for Pb(II) determination were precise, apart from Electrode No. 1 (Table 7). Moreover, it terms of the precision of the method, only few of the electrodes for Cd(II) determination were precise (as they had an RSD lower than 20.0%), i.e., Electrodes No. 6, 7, and B5prod. For Cd(II) determination, in general, the electrodes demonstrated the acceptable precision of the method (with an RSD lower than 20.0%), apart from Electrodes No. 1, 3, 4, and 8, and Electrodes B3prod, B4prod, B4sum, and B5sum (Table 8).
Table 7.
RSD values, representing the precision of the system.
Table 8.
RSD values, representing the precision of the method.
The Re was determined at the same concentration as reported above for the precision of the method (Table 8). If the Re was between 80.0% and 120.0%, the BiFGCE was deemed accurate [44,45]. Table 9 shows the determined Re values for different BiFGCEs. Electrodes No. 2, 3, 4, 7, and B5prod, B6prod, B2sum, and B5sum were deemed to be accurate for Cd(II) determination and Electrodes No. 7, B5prod, B6prod, and B3sum were deemed to be accurate for Pb(II) determination.
Table 9.
Re values for different BiFGCEs.
3.4. A Comparison of Optimized BiFGCEs
Simplex optimization resulted in two best BiFGCEs, i.e., B6prod and B6sum. Table 10 summarizes the validation parameters for these optimized BiFGCEs. Electrode B6sum has a lower LOD and LOQ for Pb(II), and a lower LOQ for Cd(II), but the same LOD for Cd(II) as Electrode B6prod. However, Electrode B6prod has a wider linear calibration range for both analytes compared to Electrode B6sum. The sensitivity of Electrode B6sum is higher for Cd(II) and significantly higher for Pb(II) than the sensitivity of Electrode B6prod. The RSD (for the precision of the method) and the Re for both BiFGCEs were determined at different concentrations, due to their different linear concentration ranges. The RSD is lower for Pb(II) determination using Electrode B6sum than the RSD for Pb(II) determination using Electrode B6prod. Both BiFGCEs produce precise results (with an RSD lower than 20.0%) for Pb(II) determination, but do not produce precise results for Cd(II) determination. Electrode B6prod produces accurate results for both analytes (with the Re in an interval between 80.0 and 120.0%), but Electrode B6sum does not produce accurate results for any of the analytes. It must be pointed out that by optimizing the BiFGCEs for heavy metal determination, an OCcomb was used as a criterion for optimization taking into account different validation parameters simultaneously and not individually, which resulted in these BiFGCEs not having the best results for individual validation parameter (such as the Re).
Table 10.
A comparison of optimized Electrodes B6prod and B6sum.
3.5. Interferences
A possible interference effect was tested for Electrodes B6prod and B6sum in 0.1 M acetate buffer solution, containing 10.0 µg/L Cd(II) and Pb(II). This concentration of Cd(II) and Pb(II) was used because this is the limit concentration in drinking water reported by the World Health Organization (WHO) [20,21,46,47]. The following species were tested as possible interferents: Na(I), K(I), Mg(II), Ca(II), Fe(II), As(III), Cu(II), Sn(II), Sb(III), Zn(II), Cl−, NO3−, and SO42−. The influence of possible interferents was tested at three ratios relative to the mass concentration of the analytes Cd(II) and Pb(II), namely 1:1, 1:10, and 1:100.
An interference effect was determined using the stripping peak height for Cd(II) and Pb(II) with and without the interferent present. Three repetition measurements were performed for every solution (with and without the possible interferent present). The influence of the interferent at a certain analyte:interferent ratio was calculated as % = 100% (Δiinterferent − Δianalyte)/Δianalyte, where Δianalyte is the average analyte’s stripping peak height and Δiinterferent is the average analyte’s stripping peak height in the presence of the interferent. The increase and decrease of the analytes stripping peak height or splitting to double stripping peaks, i.e., the stripping peak for Pb(II) at 1:1 and 1:10 ratios of Pb(II):Fe(II) using Electrode B6prod, as shown in Figure S20e, in the presence of different interferents, are given in Table 11 and Table 12.
Table 11.
The possible interference effect of different species for Cd(II) and Pb(II) determination using Electrode B6prod.
Table 12.
The possible interference effect of different species for Cd(II) and Pb(II) determination using Electrode B6sum.
Cu(II) and Fe(II) have the greatest influence on Cd(II) and Pb(II) determination. In the presence of Cu(II) and Fe(II), the analyte’s stripping peak height significantly decreased, splitting into double stripping peaks, or did not develop (Figures S20e,g and S21e,g in the Supplementary Material). The stripping peak height for Cd(II) also significantly decreased at an analyte:interferent ratio of 1:100 for all interferents using Electrodes B6prod and B6sum. Moreover, when testing the interference effect with Electrode B6sum at a ratio of γCd(II):γZn(II) = 1:100, the stripping peak for Cd(II) did not develop (Figure S21j).
3.6. Real Sample Analysis
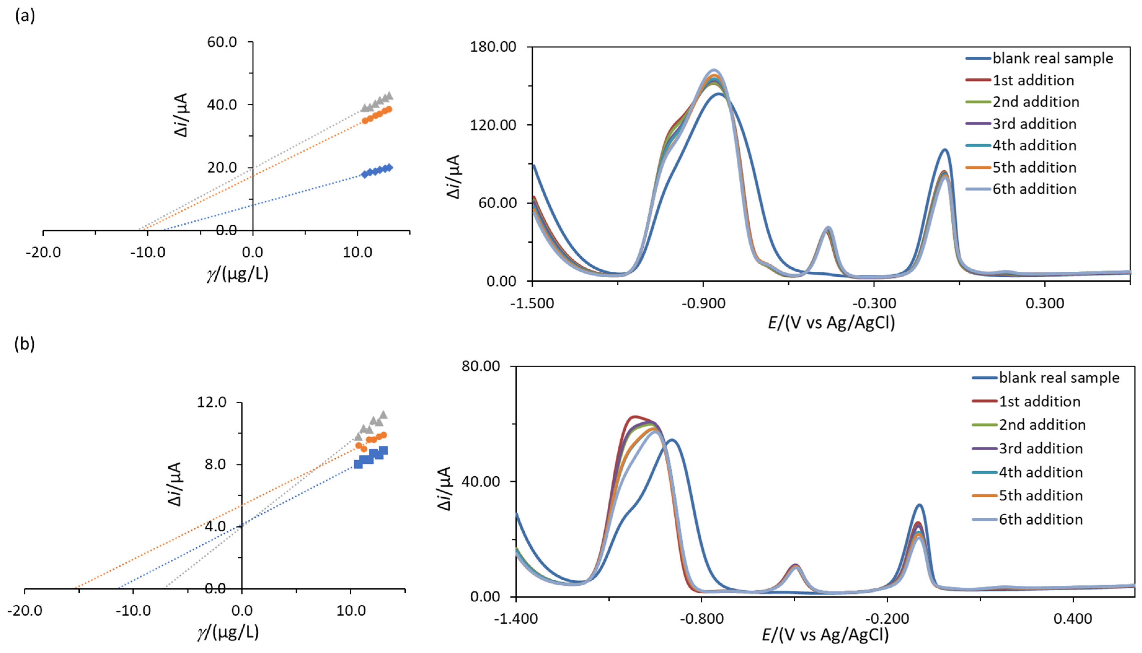
The real sample analysis was performed with Electrodes B6prod and B6sum. The real sample was tap water obtained in our laboratory, with which a 0.1 M acetate buffer was prepared instead of using ultrapure water. First, the voltammogram of the blank solution was measured. The stripping peak for Pb(II) did not develop. Therefore, the concentration of Pb(II) was below the LOD or Pb(II) was not present in the tap water. As Zn(II) was present in the solution, it overlapped with the Cd(II) stripping peak and, therefore, it was not possible to analyze the Cd(II) (as reported above for the interference effect). The tap water was then spiked to 10.0 µg/L Pb(II) (the limit concentration for Pb(II) in drinking water allowed by the WHO [20,21,46,47]). For the spiked real sample analysis for determining the Pb(II) concentration, a multiple standard addition method was used. This determination was repeated three times (Figure 4). The average Re for Pb(II) was 91.5% and 107.7% for Electrodes B6sum and B6prod, respectively. The determined RSD for Pb(II) was 17.8% and 52.8% for Electrodes B6sum and B6prod, respectively. Therefore, only Electrode B6sum was deemed to be precise and accurate for Pb(II) determination in the real sample.
Figure 4.
Real sample analysis using the multiple standard addition method (three repetitions) with Electrodes (a) B6sum and (b) B6prod.
4. Conclusions
In this work, an evaluation of the impact of different factors for square wave anodic stripping voltammetry on the performance of electrodes for the determination of Cd(II) and Pb(II) analytes was performed using a fractional two-level factorial design. The optimization of the electrodes for the determination of Cd(II) and Pb(II) was further performed using simplex optimization. A glassy carbon electrode, modified with Bi(III) (BiFGCE), was used as the working electrode. Eight different BiFGCEs were validated and employed in a fractional two-level factorial design to understand the significance of the impact of individual factors on the analytical performance of the BiFGCEs. A fractional two-level factorial design was used with six different factors: deposition potential (Edep), deposition time (tdep), amplitude, potential step (ΔE), frequency, and mass concentration of Bi(III) (γBi(III)). The response in the factorial design was OCan (OCCd(II) or OCPb(II)) or combined OC (OCsum or OCprod), which included sensitivity, the lower limit of the linear calibration range (LLCR), the LOQ, the RSD, and the absolute value of |100% − Re|.
It was found that γBi(III) has a significant impact on the sensitivity, LLCR, LOQ, precision of the method, and accuracy simultaneously when the response was OCprod. Moreover, tdep has an impact on |100% − Re|prod, the LLCRprod, the calibration curve’s slopesum, the LOQsum, |100% − Re|sum, the calibration curve’s slopeCd(II), the LOQCd(II), |100% − Re|Cd(II), the calibration curve’s slopePb(II), and the LOQPb(II). Furthermore, ΔE has an impact on the LLCRPb(II) and γBi(III) has an impact on OCprod and OCPb(II).
Next, simplex optimization was performed. As the optimization criteria, the OCprod and OCsum were used. With both criteria, six new BiFGCEs were developed and validated. The optimized BiFGCEs determined were Electrodes B6prod and B6sum, with significantly better OCprod and OCsum compared with the BiFGCEs before the simplex optimization. Electrode B6sum has a lower limit of detection (LOD) and LOQ for Pb(II), and a lower LOQ for Cd(II), but the same LOD for Cd(II) compared with Electrode B6prod. However, Electrode B6prod has a wider linear concentration range for both analytes than Electrode B6sum. The sensitivity of Electrode B6sum is higher for Cd(II) and significantly higher for Pb(II) than the sensitivity of Electrode B6prod. The RSD and Re for both of these BiFGCEs were determined at different concentrations due to their different linear concentration ranges.
The possible interferent effect of different species (Na(I), K(I), Ca(II), Mg(II), Fe(II), As(III), Cu(II), Sn(II), Sb(III), Zn(II), Cl−, NO3−, and SO42−) was studied. For Electrodes B6prod and B6sum, a significant interference effect on Cd(II) and Pb(II) determination was shown by Fe(II) and Cu(II), and Zn(II) when a 1:100 mass concentration ratio of the analyte relative to Zn(II) was studied. The applicability of Electrodes B6prod and B6sum was tested for a real sample (tap water), regarding which Electrode B6sum showed precise and accurate results for Pb(II) determination.
Supplementary Materials
The following supporting information can be downloaded at: https://www.mdpi.com/article/10.3390/chemosensors11020129/s1, Figure S1. Three repetition measurements for determining the linear concentration ranges for (a) Cd(II) and (b) Pb(II), the stripping peak potentials vs. concentration for (c) Cd(II) and (d) Pb(II), and (e) the corresponding voltammogram (one out of six repetition measurements) using Electrode No. 1 tested in a fractional two-level factorial design in Table 1. The full symbols in (a) and (b) represent the calibration points within the linear concentration range, while the empty symbols represent measurements outside the linear concentration range. Δip is the stripping peak height. Figure S2. Three repetition measurements for determining the linear concentration ranges for (a) Cd(II) and (b) Pb(II), the stripping peak potentials vs. concentration for (c) Cd(II) and (d) Pb(II), and (e) the corresponding voltammogram (one out of six repetition measurements) using Electrode No. 3 tested in a fractional two-level factorial design in Table 1. Figure S3. Three repetition measurements for determining the linear concentration ranges for (a) Cd(II) and (b) Pb(II), the stripping peak potentials vs. concentration for (c) Cd(II) and (d) Pb(II), and (e) the corresponding voltammogram (one out of six repetition measurements) using Electrode No. 4 tested in a fractional two-level factorial design in Table 1. Figure S4. Three repetition measurements for determining the linear concentration ranges for (a) Cd(II) and (b) Pb(II), the stripping peak potentials vs. concentration for (c) Cd(II) and (d) Pb(II), and (e) the corresponding voltammogram (one out of six repetition measurements) using Electrode No. 5 tested in a fractional two-level factorial design in Table 1. Figure S5. Three repetition measurements for determining the linear concentration ranges for (a) Cd(II) and (b) Pb(II), the stripping peak potentials vs. concentration for (c) Cd(II) and (d) Pb(II), and (e) the corresponding voltammogram (one out of six repetition measurements) using Electrode No. 6 tested in a fractional two-level factorial design in Table 1. Figure S6. Three repetition measurements for determining the linear concentration ranges for (a) Cd(II) and (b) Pb(II), the stripping peak potentials vs. concentration for (c) Cd(II) and (d) Pb(II), and (e) the corresponding voltammogram (one out of six repetition measurements) using Electrode No. 7 tested in a fractional two-level factorial design in Table 1. Figure S7. Three repetition measurements for determining the linear concentration ranges for (a) Cd(II) and (b) Pb(II), the stripping peak potentials vs. concentration for (c) Cd(II) and (d) Pb(II), and (e) the corresponding voltammogram (one out of six repetition measurements) using Electrode No. 8 tested in a fractional two-level factorial design in Table 1. Figure S8: Three repetition measurements for determining the linear concentration ranges for (a) Cd(II) and (b) Pb(II), the stripping peak potentials vs. concentration for (c) Cd(II) and (d) Pb(II), and (e) the corresponding voltammogram (one out of six repetition measurements) using Electrode B1prod tested in a simplex optimization procedure in Table 4. Figure S9: Three repetition measurements for determining the linear concentration ranges for (a) Cd(II) and (b) Pb(II), the stripping peak potentials vs. concentration for (c) Cd(II) and (d) Pb(II), and (e) the corresponding voltammogram (one out of six repetition measurements) using Electrode B2prod tested in a simplex optimization procedure in Table 4. Figure S10: Three repetition measurements for determining the linear concentration ranges for (a) Cd(II) and (b) Pb(II), the stripping peak potentials vs. concentration for (c) Cd(II) and (d) Pb(II), and (e) the corresponding voltammogram (one out of six repetition measurements) using Electrode B3prod tested in a simplex optimization procedure in Table 4. Figure S11: Three repetition measurements for determining the linear concentration ranges for (a) Cd(II) and (b) Pb(II), the stripping peak potentials vs. concentration for (c) Cd(II) and (d) Pb(II), and (e) the corresponding voltammogram (one out of six repetition measurements) using Electrode B4prod tested in a simplex optimization procedure in Table 4. Figure S12: Three repetition measurements for determining the linear concentration ranges for (a) Cd(II) and (b) Pb(II), the stripping peak potentials vs. concentration for (c) Cd(II) and (d) Pb(II), and (e) the corresponding voltammogram (one out of six repetition measurements) using Electrode B5prod tested in a simplex optimization procedure in Table 4. Figure S13: Three repetition measurements for determining the linear concentration ranges for (a) Cd(II) and (b) Pb(II), the stripping peak potentials vs. concentration for (c) Cd(II) and (d) Pb(II), and (e) the corresponding voltammogram (one out of six repetition measurements) using Electrode B6prod tested in a simplex optimization procedure in Table 4. Figure S14: Three repetition measurements for determining the linear concentration ranges for (a) Cd(II) and (b) Pb(II), the stripping peak potentials vs. concentration for (c) Cd(II) and (d) Pb(II), and (e) the corresponding voltammogram (one out of six repetition measurements) using Electrode B1sum tested in a simplex optimization procedure in Table 5. Figure S15: Three repetition measurements for determining the linear concentration ranges for (a) Cd(II) and (b) Pb(II), the stripping peak potentials vs. concentration for (c) Cd(II) and (d) Pb(II), and (e) the corresponding voltammogram (one out of six repetition measurements) using Electrode B2sum tested in a simplex optimization procedure in Table 5. Figure S16: Three repetition measurements for determining the linear concentration ranges for (a) Cd(II) and (b) Pb(II), the stripping peak potentials vs. concentration for (c) Cd(II) and (d) Pb(II), and (e) the corresponding voltammogram (one out of six repetition measurements) using Electrode B3sum tested in a simplex optimization procedure in Table 5. Figure S17: Three repetition measurements for determining the linear concentration ranges for (a) Cd(II) and (b) Pb(II), the stripping peak potentials vs. concentration for (c) Cd(II) and (d) Pb(II), and (e) the corresponding voltammogram (one out of six repetition measurements) using Electrode B4sum tested in a simplex optimization procedure in Table 5. Figure S18: Three repetition measurements for determining the linear concentration ranges for (a) Cd(II) and (b) Pb(II), the stripping peak potentials vs. concentration for (c) Cd(II) and (d) Pb(II), and (e) the corresponding voltammogram (one out of six repetition measurements) using Electrode B5sum tested in a simplex optimization procedure in Table 5. Figure S19: Three repetition measurements for determining the linear concentration ranges for (a) Cd(II) and (b) Pb(II), the stripping peak potentials vs. concentration for (c) Cd(II) and (d) Pb(II), and (e) the corresponding voltammogram (one out of six repetition measurements) using Electrode B6sum tested in a simplex optimization procedure in Table 5. Figure S20. SWASV measurements in 0.1 M acetate buffer solution with and without possible interferents present at a mass concentration ratio of 1:1, 1:10, and 1:100; (a) Na(I), (b) K(I), (c) Ca(II), (d) Mg(II), (e) Fe(II), (f) As(III), (g) Cu(II), (h) Sn(II), (i) Sb(III), (j) Zn(II), (k) Cl−, (l) NO3−, and (m) SO42− using Electrode B6prod. Figure S21. SWASV measurements in 0.1 M acetate buffer solution with and without possible interferents present at a mass concentration ratio of 1:1, 1:10, and 1:100; (a) Na(I), (b) K(I), (c) Ca(II), (d) Mg(II), (e) Fe(II), (f) As(III), (g) Cu(II), (h) Sn(II), (i) Sb(III), (j) Zn(II), (k) Cl−, (l) NO3−, and (m) SO42− using Electrode B6sum.
Author Contributions
Conceptualization, M.F. and B.R.; methodology, M.F. and B.R.; software, B.R.; validation, M.F. and B.R.; formal analysis, B.R.; investigation, M.F. and B.R.; resources, M.F; data curation, M.F. and B.R.; writing—original draft preparation, M.F; writing—review and editing, B.R.; visualization, M.F; supervision, M.F; project administration, M.F; funding acquisition, M.F. All authors have read and agreed to the published version of the manuscript.
Funding
The authors would like to thank the Slovenian Research Agency (Funding Nos. NK-0001, J1-4416, and P2-0118).
Institutional Review Board Statement
Not applicable.
Informed Consent Statement
Not applicable.
Data Availability Statement
The data supporting this study’s findings are available upon request.
Acknowledgments
The authors would like to acknowledge the Slovenian Research Agency for its financial support through grant numbers NK-0001, J1-4416, and P2-0118.
Conflicts of Interest
The authors declare that they have no known competing financial interests or personal relationships that could have appeared to influence the work reported in this paper.
References
- Omanović, D.; Garnier, C.; Gibbon–Walsh, K.; Pižeta, I. Electroanalysis in environmental monitoring: Tracking trace metals—A mini review. Electrochem. Commun. 2015, 61, 78–83. [Google Scholar] [CrossRef]
- Cui, L.; Wu, J.; Ju, H. Electrochemical sensing of heavy metal ions with inorganic, organic and bio-materials. Biosens. Bioelectron. 2015, 63, 276–286. [Google Scholar] [CrossRef] [PubMed]
- Švancara, I.; Prior, C.; Hočevar, S.B.; Wang, J. A Decade with Bismuth-Based Electrodes in Electroanalysis. Electroanalysis 2010, 22, 1405–1420. [Google Scholar] [CrossRef]
- Lu, Y.; Liang, X.; Niyungeko, C.; Zhou, J.; Xu, J.; Tian, G. A review of the identification and detection of heavy metal ions in the environment by voltammetry. Talanta 2018, 178, 324–338. [Google Scholar] [CrossRef]
- Ariño, C.; Serrano, N.; Díaz-Cruz, J.M.; Esteban, M. Voltammetric determination of metal ions beyond mercury electrodes. A review. Anal. Chim. Acta 2017, 990, 11–53. [Google Scholar] [CrossRef]
- Injang, U.; Noyrod, P.; Siangproh, W.; Dungchai, W.; Motomizu, S.; Chailapakul, O. Determination of trace heavy metals in herbs by sequential injection analysis-anodic stripping voltammetry using screen-printed carbon nanotubes electrodes. Anal. Chim. Acta 2010, 668, 54–60. [Google Scholar] [CrossRef]
- Alves, G.M.S.; Rocha, L.S.; Soares, H.M.V.M. Multi-element determination of metals and metalloids in waters and wastewaters, at trace concentration level, using electroanalytical stripping methods with environmentally friendly mercury free-electrodes: A review. Talanta 2017, 175, 53–68. [Google Scholar] [CrossRef]
- Zhao, G.; Wang, H.; Liu, G. Recent Advances in Chemically Modified Electrodes, Microfabricated Devices and Injection Systems for the Electrochemical Detection of Heavy Metals: A review. Int. J. Electrochem. Sci. 2017, 12, 8622–8641. [Google Scholar] [CrossRef]
- Wang, J.; Lu, J.; Hocevar, S.B.; Farias, P.A.M.; Ogorevc, B. Bismuth-Coated Carbon Electrodes for Anodic Stripping Voltammetry. Anal. Chem. 2000, 72, 3218–3222. [Google Scholar] [CrossRef]
- Economou, A. Bismuth-film electrodes: Recent developments and potentialities for electroanalysis. TrAC Trends Anal. Chem. 2005, 24, 334–340. [Google Scholar] [CrossRef]
- Pauliukaitė, R.; Brett, C.M.A. Characterization and Application of Bismuth-Film Modified Carbon Film Electrodes. Electroanalysis 2005, 17, 1354–1359. [Google Scholar] [CrossRef]
- Zidarič, T.; Jovanovski, V.; Menart, E.; Zorko, M.; Kolar, M.; Veber, M.; Hočevar, S. Multi-pulse galvanostatic preparation of nanostructured bismuth film electrode for trace metal detection. Sensors Actuators B Chem. 2017, 245, 720–725. [Google Scholar] [CrossRef]
- Petovar, B.; Xhanari, K.; Finšgar, M. A detailed electrochemical impedance spectroscopy study of a bismuth-film glassy carbon electrode for trace metal analysis. Anal. Chim. Acta 2018, 1004, 10–21. [Google Scholar] [CrossRef]
- Jovanovski, V.; Hrastnik, N.; Hočevar, S. Copper film electrode for anodic stripping voltammetric determination of trace mercury and lead. Electrochem. Commun. 2015, 57, 1–4. [Google Scholar] [CrossRef]
- Zhao, G.; Wang, H.; Liu, G.; Wang, Z. Box–Behnken response surface design for the optimization of electrochemical detection of cadmium by Square Wave Anodic Stripping Voltammetry on bismuth film/glassy carbon electrode. Sensors Actuators B Chem. 2016, 235, 67–73. [Google Scholar] [CrossRef]
- Zhou, H.; Hou, H.; Dai, L.; Li, Y.; Zhu, J.; Wang, L. Preparation of dendritic bismuth film electrodes and their application for detection of trace Pb (II) and Cd (II). Chin. J. Chem. Eng. 2016, 24, 410–414. [Google Scholar] [CrossRef]
- Kokkinos, C.; Economou, A.; Raptis, I.; Speliotis, T. Disposable microfabricated bismuth microelectrode arrays for trace metal analysis by stripping voltammetry. Procedia Eng. 2011, 25, 880–883. [Google Scholar] [CrossRef]
- Kokkinos, C.; Economou, A. Microfabricated chip integrating a bismuth microelectrode array for the determination of trace cobalt(II) by adsorptive cathodic stripping voltammetry. Sensors Actuators B Chem. 2016, 229, 362–369. [Google Scholar] [CrossRef]
- Plum, L.; Rink, L.; Haase, H. The Essential Toxin: Impact of Zinc on Human Health. Int. J. Environ. Res. Public Health 2010, 7, 1342–1365. [Google Scholar] [CrossRef] [PubMed]
- Lead in Drinking-Water, Background Document for Development of WHO Guidelines for Drinking-Water Quality; WHO Press, World Health Organization: Geneva, Switzerland, 2011; Available online: https://apps.who.int/iris/bitstream/handle/10665/75370/WHO_SDE_WSH_03.04_09_eng.pdf?sequence=1&isAllowed=y (accessed on 30 September 2022).
- Cadmium in Drinking-Water, Background Document for Development of WHO Guidelines for Drinking-Water Quality; WHO Press, World Health Organization: Geneva, Switzerland, 2011; Available online: https://cdn.who.int/media/docs/default-source/wash-documents/wash-chemicals/cadmium.pdf?sfvrsn=4dd545bd_4 (accessed on 30 September 2022).
- Kefala, G. A study of bismuth-film electrodes for the detection of trace metals by anodic stripping voltammetry and their application to the determination of Pb and Zn in tapwater and human hair. Talanta 2003, 61, 603–610. [Google Scholar] [CrossRef] [PubMed]
- Chen, C.; Niu, X.; Chai, Y.; Zhao, H.; Lan, M. Bismuth-based porous screen-printed carbon electrode with enhanced sensitivity for trace heavy metal detection by stripping voltammetry. Sens. Actuators B Chem. 2013, 178, 339–342. [Google Scholar] [CrossRef]
- Kefala, G.; Economou, A. Polymer-coated bismuth film electrodes for the determination of trace metals by sequential-injection analysis/anodic stripping voltammetry. Anal. Chim. Acta 2006, 576, 283–289. [Google Scholar] [CrossRef]
- Lee, S.; Park, S.-K.; Choi, E.; Piao, Y. Voltammetric determination of trace heavy metals using an electrochemically deposited graphene/bismuth nanocomposite film-modified glassy carbon electrode. J. Electroanal. Chem. 2016, 766, 120–127. [Google Scholar] [CrossRef]
- Lee, S.; Bong, S.; Ha, J.; Kwak, M.; Park, S.-K.; Piao, Y. Electrochemical deposition of bismuth on activated graphene-nafion composite for anodic stripping voltammetric determination of trace heavy metals. Sens. Actuators B Chem. 2015, 215, 62–69. [Google Scholar] [CrossRef]
- Saturno, J.; Valera, D.; Carrero, H.; Fernández, L. Electroanalytical detection of Pb, Cd and traces of Cr at micro/nano-structured bismuth film electrodes. Sensors Actuators B Chem. 2011, 159, 92–96. [Google Scholar] [CrossRef]
- Wang, J.; Lu, D.; Thongngamdee, S.; Lin, Y.; Sadik, O.A. Catalytic adsorptive stripping voltammetric measurements of trace vanadium at bismuth film electrodes. Talanta 2006, 69, 914–917. [Google Scholar] [CrossRef] [PubMed]
- Wang, Z.; Lee, P.; Liu, E. Graphene thin film electrodes synthesized by thermally treating co-sputtered nickel–carbon mixed layers for detection of trace lead, cadmium and copper ions in acetate buffer solutions. Thin Solid Film. 2013, 544, 341–347. [Google Scholar] [CrossRef]
- Grabarczyk, M.; Wasąg, J. Determination of trace amounts of Ga(III) by adsorptive stripping voltammetry with in situ plated bismuth film electrode. Talanta 2015, 144, 1091–1095. [Google Scholar] [CrossRef] [PubMed]
- Dabrowska, S.; Migdalski, J.; Lewenstam, A. Direct Potentiometric Determination of Hydrogen Carbonate in Mineral Waters. Electroanalysis 2017, 29, 140–145. [Google Scholar] [CrossRef]
- Bia, G.; Borgnino, L.; Ortiz, P.I.; Pfaffen, V. Multivariate optimization of square wave voltammetry using bismuth film electrode to determine atrazine. Sensors Actuators B Chem. 2014, 203, 396–405. [Google Scholar] [CrossRef]
- Finšgar, M.; Jezernik, K. The Use of Factorial Design and Simplex Optimization to Improve Analytical Performance of In Situ Film Electrodes. Sensors 2020, 20, 3921. [Google Scholar] [CrossRef]
- Oduoza, C. Simplex optimisation of electroanalytical experiments. Chemom. Intell. Lab. Syst. 1992, 17, 243–248. [Google Scholar] [CrossRef]
- The Fitness for Purpose of Analytical Methods, A Laboratory Guide to Method Validation and Related Topics, 2nd ed. 2014. Available online: https://www.eurachem.org/images/stories/Guides/pdf/MV_guide_2nd_ed_EN.pdf (accessed on 27 September 2022).
- Massart, M.; Vandeginste, B.G.M.; Buydens, L.M.C.; De Jong, S.; Lewi, P.J.; Smeyers-Verbeke, J. Handbook of Chemometrics and Qualimetrics: Part A; Elsevier: Amsterdam, The Netherlands, 1997. [Google Scholar]
- Serrano, N.; Díaz-Cruz, J.M.; Ariño, C.; Esteban, M. Antimony- based electrodes for analytical determinations. TrAC Trends Anal. Chem. 2016, 77, 203–213. [Google Scholar] [CrossRef]
- Lin, L.; Lawrence, N.S.; Thongngamdee, S.; Wang, J.; Lin, Y. Catalytic adsorptive stripping determination of trace chromium (VI) at the bismuth film electrode. Talanta 2005, 65, 144–148. [Google Scholar] [CrossRef] [PubMed]
- Tesarova, E.; Baldrianova, L.; Hocevar, S.B.; Svancara, I.; Vytras, K.; Ogorevc, B. Anodic stripping voltammetric measurement of trace heavy metals at antimony film carbon paste electrode. Electrochim. Acta 2009, 54, 1506–1510. [Google Scholar] [CrossRef]
- Bassie, T.; Siraj, K.; Tesema, T.E. Determination of Heavy Metal Ions on Glassy Carbon Electrode Modified with Antimony. Adv. Sci. Eng. Med. 2013, 5, 275–284. [Google Scholar] [CrossRef]
- Hocevar, S.B.; Švancara, I.; Ogorevc, B.; Vytřas, K. Antimony Film Electrode for Electrochemical Stripping Analysis. Anal. Chem. 2007, 79, 8639–8643. [Google Scholar] [CrossRef]
- Van Loco, J.; Elskens, M.; Croux, C.; Beernaert, H. Linearity of Calibration Curves: Use and Misuse of the Correlation Coefficient. Accredit. Qual. Assur. 2002, 7, 281–285. [Google Scholar] [CrossRef]
- Shrivastava, A.; Gupta, V.B. Methods for the Determination of Limit of Detection and Limit of Quantitation of the Analytical Methods. Chron. Young Sci. 2011, 2, 15–21. [Google Scholar] [CrossRef]
- Guidance for the Validation of Analytical Methodology and Calibration of Equipment Used for Testing of Illicit Drugs in Seized Materials and Biological Specimens, A commitment to Quality and Continuous Improvement; Laboratory and Scientific Section United Nations Office on Drugs and Crime: Vienna, Austria; New York, NY, USA, 2009; Available online: https://www.unodc.org/documents/scientific/validation_E.pdf (accessed on 27 September 2022).
- Kumar, M.; Ray, J.; Gupta, P.; Sundar, S.; Bhardwaj, A.; Gautam, S.; Jain, A.; Gaur, A.; Sigh, Y.; Singh, S.; et al. A Validated Method for Analysis Of Toxic Heavy Metal In Food Spices By ICPMS. Plant Arch. 2020, 20, 123–128. [Google Scholar]
- Alam, A.U.; Howlader, M.M.; Hu, N.-X.; Deen, M.J. Electrochemical sensing of lead in drinking water using β-cyclodextrin-modified MWCNTs. Sensors Actuators B Chem. 2019, 296, 126632. [Google Scholar] [CrossRef]
- Huang, W.-H.; Mai, V.-P.; Wu, R.-Y.; Yeh, K.-L.; Yang, R.-J. A Microfluidic Aptamer-Based Sensor for Detection of Mercury(II) and Lead(II) Ions in Water. Micromachines 2021, 12, 1283. [Google Scholar] [CrossRef] [PubMed]
Disclaimer/Publisher’s Note: The statements, opinions and data contained in all publications are solely those of the individual author(s) and contributor(s) and not of MDPI and/or the editor(s). MDPI and/or the editor(s) disclaim responsibility for any injury to people or property resulting from any ideas, methods, instructions or products referred to in the content. |
© 2023 by the authors. Licensee MDPI, Basel, Switzerland. This article is an open access article distributed under the terms and conditions of the Creative Commons Attribution (CC BY) license (https://creativecommons.org/licenses/by/4.0/).



