Development and Optimization of Electrochemical Method for Determination of Vitamin C
Abstract
1. Introduction
2. Materials and Methods
2.1. Reagents and Solutions
2.2. Preparation of Working Electrode—Microelectrode from Pyrolytic Graphite Sheet
2.3. Scanning Electron Microscopy end Energy Dispersive Spectroscopy Analysis of PGS Electrode
2.4. Preparation of Real Sample
2.5. Real Samples Measurements
3. Results
3.1. Electrochemical Behavior of PGS Electrode
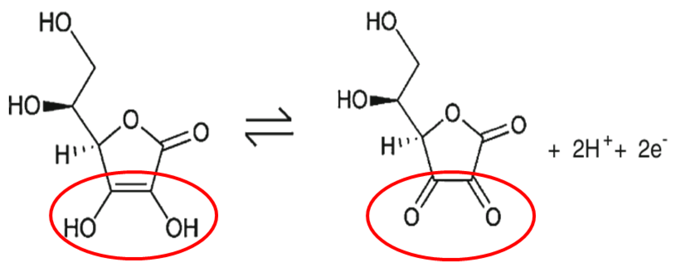
3.2. The Redox-Reaction of VitC at PGS Electrode
3.3. Electroanalytical Determination of Vit C by SWV
3.4. Analysis of Real Samples
4. Conclusions
Supplementary Materials
Author Contributions
Funding
Institutional Review Board Statement
Informed Consent Statement
Data Availability Statement
Acknowledgments
Conflicts of Interest
Appendix A
- Peanut shells contribute to soil aeration and water retention.
- Paper towels—help to aerate the soil and improve the ability to maintain plant life.
- Banana and kiwi peel—the biggest source of potassium in the diet of not only humans, but also plants, is banana peel. Potassium in the plant plays a significant role in enzyme activation and the regulation of cell membrane permeability. Plants well-supplied with potassium are resistant to the effects of drought and disease. Kiwi as one of the citruses that provides the plant with natural protection from pests.
- Coffee grounds promote soil fertility and improve the overall health of the plant, thanks to the nitrogen content.
- Eggshells decompose quickly; as they are rich in calcium and minerals, they will help microorganisms to better process biowaste and enrich the soil with calcium.


References
- Pehlivan, F.E. Vitamin C: An Antioxidant Agent; Hamza, A.H., Ed.; IntechOpen: London, UK, 2017. [Google Scholar]
- Moldogazieva, N.T.; Mokhosoev, I.M.; Feldman, N.B.; Lutsenko, S.V. ROS and RNS signalling: Adaptive redox switches through oxidative/nitrosative protein modifications. Free Radic. Res. 2018, 52, 507–543. [Google Scholar] [CrossRef] [PubMed]
- Bendich, A.; Machlin, L.J.; Scandurra, O.; Burton, G.W.; Wayner, D.D.M. The antioxidant role of vitamin C. Adv. Free Radic. Biol. Med. 1986, 2, 419–444. [Google Scholar] [CrossRef]
- Arrigoni, O.; De Tullio, M.C. Ascorbic acid: Much more than just an antioxidant. Biochim. Biophys. Acta Gen. Sub. 2002, 1569, 1–9. [Google Scholar] [CrossRef]
- Carr, A.C.; Maggini, S. Vitamin C and Immune Function. Nutrients 2017, 9, 1211. [Google Scholar] [CrossRef]
- Njus, D.; Kelley, P.M.; Tu, Y.-J.; Schlegel, H.B. Ascorbic acid: The chemistry underlying its antioxidant properties. Free Radical. Biol. Med. 2020, 159, 37–43. [Google Scholar] [CrossRef]
- Mandl, J.; Szarka, A.; Bánhegyi, G. Vitamin C: Update on physiology and pharmacology. Br. J. Pharmacol. 2009, 157, 1097–1110. [Google Scholar] [CrossRef]
- Tarrago-Trani, M.T.; Phillips, K.M.; Cotty, M. Matrix-specific method validation for quantitative analysis of vitamin C in diverse foods. J. Sci. Food Agric. 2012, 26, 12–25. [Google Scholar] [CrossRef]
- Contreras-Calderón, J.; Calderón-Jaimes, L.; Guerra-Hernández, E.; García-Villanova, B. Antioxidant capacity, phenolic content and vitamin C in pulp, peel and seed from 24 exotic fruits from Colombia. Food Res. Int. 2011, 44, 2047–2053. [Google Scholar] [CrossRef]
- Ahmed, S.; Rattanpal, H.S.; Gul, K.; Dar, R.A.; Sharma, A. Chemical composition, antioxidant activity and GC-MS analysis of juice and peel oil of grapefruit varieties cultivated in India. J. Integr. Agric. 2019, 18, 1634–1642. [Google Scholar] [CrossRef]
- Pisoschi, A.M.; Cimpeanu, C.; Predoi, G. Electrochemical Methods for Total Antioxidant Capacity and its Main Contributors Determination: A review. Open Chem. 2015, 13, 824–856. [Google Scholar] [CrossRef]
- Dong, Y.P.; Huang, L.; Zhang, J.; Chu, X.F.; Zhang, Q.F. Electro-oxidation of ascorbic acid at bismuth sulfide nanorod modified glassy carbon electrode. Electrochim. Acta 2012, 74, 189–193. [Google Scholar] [CrossRef]
- Pisoschi, A.M.; Pop, A.; Serban, A.I.; Fafaneata, C. Electrochemical methods for ascorbic acid determination. Electrochim. Acta 2014, 121, 443–460. [Google Scholar] [CrossRef]
- Pisoschi, A.M.; Pop, A.; Negulescu, G.P.; Pisoschi, A. Determination of Ascorbic Acid Content of Some Fruit Juices and Wine by Voltammetry Performed at Pt and Carbon Paste Electrodes. Molecules 2011, 16, 1349–1365. [Google Scholar] [CrossRef] [PubMed]
- Arabali, V.; Ebrahimi, M.; Abbasghorbani, M.; Gupta, V.K.; Farsi, M.; Ganjali, M.R.; Karimi, F. Electrochemical determination of vitamin C in the presence of NADH using a CdO nanoparticle/ionic liquid modified carbon paste electrode as a sensor. J. Mol. Liq. 2016, 213, 312–316. [Google Scholar] [CrossRef]
- Ly, S.Y.; Chae, J.I.; Jung, Y.S.; Jung, W.W.; Lee, H.J.; Lee, S.H. Electrochemical detection of ascorbic acid (vitamin C) using a glassy carbon electrode. Nahrun 2004, 48, 201–204. [Google Scholar] [CrossRef]
- Qian, L.; Gao, Q.; Song, Y.; Li, Z.; Yang, X. Layer-by-layer assembled multilayer films of redox polymers for electrocatalytic oxidation of ascorbic acid. Sens. Actuators B 2005, 107, 303–310. [Google Scholar] [CrossRef]
- Ngai, K.S.; Tan, W.T.; Zainal, Z.; Zawawi, R.M.; Zidan, M. Voltammetry Detection of Ascorbic Acid at Glassy Carbon Electrode Modified by Single-Walled Carbon Nanotube/Zinc Oxide. Int. J. Electrochem. Sci. 2013, 8, 10557–10567. [Google Scholar]
- Antolović, M.; Prenzler, P.D.; Patsalides, E.; McDonald, S.; Robards, K. Methods for testing antioxidant activity. Analyst 2002, 127, 183–198. [Google Scholar] [CrossRef]
- Pekec, B.; Feketeföldi, B.; Ribitsch, V.; Ortner, A.; Kalcher, K. Development of an electrochemical sensor for the determination of the total antioxidant capacity in berries based on boron doped diamond. J. Electrochem. Sci. Eng. 2013, 3, 1–9. [Google Scholar] [CrossRef]
- Rodríguez-Sevilla, E.; Ramírez-Silva, M.-T.; Romero-Romo, M.; Ibarra-Escutia, P.; Palomar-Pardavé, M. Electrochemical Quantification of the Antioxidant Capacity of Medicinal Plants Using Biosensors. Sensors 2014, 14, 14423–14439. [Google Scholar] [CrossRef]
- Yang, S.; Qu, L.L.G.; Yang, R.; Liu, C. Gold nanoparticles/ethylenediamine/carbon nanotube modified glassy carbon electrode as the voltammetric sensor for selective determination of rutin in the presence of ascorbic acid. J. Electroanal. Chem. 2010, 645, 115–122. [Google Scholar] [CrossRef]
- Jia, Z.; Liu, J.; Shen, Y. Fabrication of a template-synthesized gold nanorod-modified electrode for the detection of dopamine in the presence of ascorbic acid. Electrochem. Commun. 2007, 9, 2739–2743. [Google Scholar] [CrossRef]
- Zhu, S.; Li, H.; Niu, W.; Xu, G. Simultaneous electrochemical determination of uric acid, dopamine, and ascorbic acid at single-walled carbon nanohorn modified glassy carbon electrode. Biosens. Bioelectron. 2009, 25, 940–943. [Google Scholar] [CrossRef]
- Shakkthivel, P.; Chen, S.M. Simultaneous determination of ascorbic acid and dopamine in the presence of uric acid on ruthenium oxide modified electrode. Biosens. Bioelectron. 2007, 22, 1680–1687. [Google Scholar] [CrossRef]
- Li, Y.; Lin, X. Simultaneous electroanalysis of dopamine, ascorbic acid and uric acid by poly (vinyl alcohol) covalently modified glassy carbon electrode. Sens. Actuators B 2006, 115, 134–139. [Google Scholar] [CrossRef]
- Liu, A.L.; Zhang, S.B.; Chen, W.; Lin, X.H.; Xia, X.H. Simultaneous voltammetric determination of norepinephrine, ascorbic acid and uric acid on polycalconcarboxylic acid modified glassy carbon electrode. Biosens. Bioelectron. 2008, 23, 1488–1495. [Google Scholar] [CrossRef]
- Tortolini, C.; Tasca, F.; Venneri, M.A.; Marchese, C.; Antiochia, R. Gold Nanoparticles/Carbon Nanotubes and Gold Nanoporous as Novel Electrochemical Platforms for L-Ascorbic Acid Detection: Comparative Performance and Application. Chemosensors 2021, 9, 229. [Google Scholar] [CrossRef]
- Haque, M.A.; Morozova, K.; Ferrentino, G.; Scampicchio, M. Electrochemical Methods to Evaluate the Antioxidant Activity and Capacity of Foods: A Review. Electroanalysis 2021, 33, 1419–1435. [Google Scholar] [CrossRef]
- Chevion, S.; Roberts, M.A.; Chevion, M. The use of cyclic voltammetry for the evaluation of antioxidant capacity. Free Radical. Biol. Med. 2000, 28, 860–870. [Google Scholar] [CrossRef]
- Lino, F.M.A.; De Sá, L.Z.; Torres, I.M.S.; Rocha, M.L.; Dinis, T.C.P.; Ghedini, P.C.; Somerset, V.S.; Gil, E.S. Voltammetric and spectrometric determination of antioxidant capacity of selected wines. Electrochim. Acta 2014, 128, 25–31. [Google Scholar] [CrossRef]
- Blažević, J.; Stanković, A.; Šafranko, S.; Jokić, S.; Velić, D.; Medvidović-Kosanović, M. Electrochemical detection of vitamin C in real samples. Food Health Dis. 2020, 9, 1–8. [Google Scholar]
- Artega, J.F.; Ruiz-Montoya, M.; Palma, A.; Alonso-Garrido, G.; Pintado, S.; Rodríguez-Mellado, J.M. Comparison of the simple cyclic voltammetry (CV) and DPPH assays for the determination of antioxidant capacity of active principles. Molecules 2012, 17, 5126–5138. [Google Scholar] [CrossRef] [PubMed]
- Radhi, M.M.; Tan, W.T.; Rahman, M.Z.B.A.; Kassim, A.B. Voltammetric detection of Hg (II) at C60, activated carbon and MWCNT modified glassy carbon electrode. Res. J. Appl. Sci. 2010, 5, 59–64. [Google Scholar] [CrossRef][Green Version]
- Brownson, D.A.C.; Foster, C.W.; Banks, C.E. The electrochemical performance of graphene modified electrodes: An analytical perspective. Analyst 2012, 137, 1815–1823. [Google Scholar] [CrossRef] [PubMed]
- Panasonic Industry. Available online: https://industrial.panasonic.com/ww/products/pt/pgs (accessed on 11 May 2022).
- Goyal, R.N.; Gupta, V.K.; Chatterjee, S. Voltammetric biosensors for the determination of paracetamol at carbon nanotube modified pyrolytic graphite electrode. Sens. Actua. B 2010, 149, 252–258. [Google Scholar] [CrossRef]
- Arya, S.S.; Venkatram, R.; More, P.R.; Vijayan, P. The wastes of coffee bean processing for utilization in food: A review. J. Food Sci. Technol. 2022, 59, 429–444. [Google Scholar] [CrossRef] [PubMed]
- Erdurak-Kiliç, C.S.; Uslu, B.; Dogan, B.; Ozgen, U.; Ozkan, S.A.; Coskun, M. Anodic voltammetric behavior of ascorbic acid and its selective determination in pharmaceutical dosage forms and some Rosa species of Turkey. J. Anal. Chem. 2006, 61, 1113–1120. [Google Scholar] [CrossRef]
- Greenway, G.M.; Ongomo, P. Determination of L-ascorbic acid in fruit and vegetable juices by flow injection with immobilised ascorbate oxidase. Analyst 1990, 115, 1297–1306. [Google Scholar] [CrossRef] [PubMed]
- Stergiou, D.V.; Diamanti, E.K.; Gournis, D.; Prodromidis, M.I. Comparative study of different types of graphenes as electrocatalysts for ascorbic acid. Electrochem. Commun. 2010, 12, 1307–1309. [Google Scholar] [CrossRef]
- Li, F.; Li, J.; Feng, Y.; Yang, L.; Du, Z. Electrochemical behavior of graphene doped carbon paste electrode and its application for sensitive determination of ascorbic acid. Sens. Act. B Chem. 2011, 157, 110–114. [Google Scholar] [CrossRef]
- De Faria, L.V.; Lisboa, T.P.; de Farias, D.M.; Araujo, F.M.; Machado, M.M.; de Sousa, R.A.; Costa Matos, M.A.; Abarza Muñoz, R.A.; Matos, R.C. Direct analysis of ascorbic acid in food beverage samples by flow injection analysis using reduced graphene oxide sensor. Food Chem. 2020, 319, 126509. [Google Scholar] [CrossRef] [PubMed]
- Habibi, B.; Jahanbakhshi, M.; Pournaghi-Azar, M.H. Differential pulse voltammetric simultaneous determination of acetaminophen and ascorbic acid using single-walled carbon nanotube-modified carbon–ceramic electrode. Anal. Biochem. 2011, 411, 167–175. [Google Scholar] [CrossRef] [PubMed]
- Zidan, M.; Tan, W.T.; Zainal, Z.; Abdullah, A.H.; Goh, J.K. Electrocatalytic Oxidation of Ascorbic Acid Mediated by Lithium doped Microparticles Bi2O3/MWCNT Modified Glassy Carbon Electrode. Int. J. Electrochem. Sci. 2010, 5, 501–508. [Google Scholar]
- Karimi-Maleh, H.; Arotiba, O.A. Simultaneous determination of cholesterol, ascorbic acid and uric acid as three essential biological compounds at a carbon paste electrode modified with copper oxide decorated reduced graphene oxide nanocomposite and ionic liquid. J. Colloid Interface Sci. 2020, 560, 208–212. [Google Scholar] [CrossRef]
- Wu, Y.; Deng, P.; Tian, Y.; Feng, J.; Xiao, J.; Li, J.; Liu, J.; Li, G.; He, Q. Simultaneous and sensitive determination of ascorbic acid, dopamine and uric acid via an electrochemical sensor based on PVP-graphene composite. J. Nanobiotechnol. 2020, 18, 112. [Google Scholar] [CrossRef]
- Kachoosangi, R.T.; Compton, R.G. A simple electroanalytical methodology for the simultaneous determination of dopamine, serotonin and ascorbic acid using an unmodified edge plane pyrolytic graphite electrode. Anal. Bioanal. Chem. 2007, 387, 2793–2800. [Google Scholar] [CrossRef]
- Wantz, F.; Banks, C.E.; Compton, R.G. Direct Oxidation of Ascorbic Acid at an Edge Plane Pyrolytic Graphite Electrode: A Comparison of the Electroanalytical Response with Other Carbon Electrodes. Electroanalysis 2005, 17, 1529–1533. [Google Scholar] [CrossRef]
- Graphene—What Is It? Available online: https://industrial.panasonic.com/ww/products/pt/pgs/documents (accessed on 11 May 2022).
- Satpathy, L.; Pradhan, N.; Dash, D.; Priyadarshini Baral, P.; Prasad Parida, S. Quantitative Determination of Vitamin C Concentration of Common Edible Food Sources by Redox Titration Using Iodine Solution. Lett. Appl. 2021, 10, 2361–2369. [Google Scholar] [CrossRef]
- Singleton, V.L.; Rossi, J. Colorimetry of total phenolics with phospho-molybdic-phosphotungstic acid reagents. Am. J. Enol. Viticul. 1965, 16, 144–158. [Google Scholar]
- Benzie, I.F.F.; Strain, J.J. The ferric reducing ability of plasma (FRAP) as measurement of “antioxidant power”: The FRAP assay. Anal. Biochem. 1996, 239, 70–76. [Google Scholar] [CrossRef]
- Skroza, D.; Generalić Mekinić, I.; Svilović, S.; Šimat, V.; Katalinić, V. Investigation of the potential synergistic effect of resveratrol with other phenolic compounds: A case of binary phenolic mixtures. J. Food Comp. Anal. 2015, 38, 13–18. [Google Scholar] [CrossRef]
- Brcanović, J.M.; Pavlović, A.N.; Mitić, S.S.; Stojanović, G.S.; Manojlović, D.D.; Kaličanin, B.M.; Veljković, J.N. Cyclic Voltammetric Determination of Antioxidant Capacity of Cocoa Powder, Dark Chocolate and Milk Chocolate Samples: Correlation with Spectrophotometric Assays and Individual Phenolic Compounds. Food Technol. Biotechnol. 2013, 51, 460–470. [Google Scholar]
- Englard, S.; Seifter, S. The biochemical functions of ascorbic acid. Ann. Rev. Nutr. 1986, 6, 365–406. [Google Scholar] [CrossRef] [PubMed]
- He, B.; Zhang, J. Electrochemical Determination of Vitamin C on Glassy Carbon Electrode Modified by Carboxyl Multi-walled Carbon Nanotubes. Int. J. Electrochem. Sci. 2015, 10, 9621–9631. [Google Scholar]
- Kumar, S.; Vicente-Beckett, V. Glassy carbon electrodes modified with multiwalled carbon nanotubes for the determination of ascorbic acid by square-wave voltammetry. Beilstein J. Nanotechnol. 2012, 3, 388–396. [Google Scholar] [CrossRef] [PubMed]
- Chairam, S.; Sriraksa, W.; Amatatongchai, M.; Somsook, E. Electrocatalytic Oxidation of Ascorbic Acid Using a Poly(aniline-co-m-ferrocenylaniline) Modified Glassy Carbon Electrode. Sensors 2011, 11, 10166–10179. [Google Scholar] [CrossRef]
- Krivić, D.; Vladislavić, N.; Buljac, M.; Rončević, I.Š.; Buzuk, M. An insight into the thin-layer diffusion phenomena within a porous electrode: Gallic acid at a single-walled carbon nanotubes-modified electrode. J. Electroanal. Chem. 2022, 907, 116008. [Google Scholar] [CrossRef]
- Zhou, Y.; Tang, W.; Wang, J.; Zhang, G.; Chai, S.; Zhanga, L.; Liua, T. Selective determination of dopamine and uric acid using electrochemical sensor based on poly(alizarin yellow R) film-modified electrode. Anal. Methods 2014, 6, 3474–3481. [Google Scholar] [CrossRef]
- Buljac, M.; Krivić, D.; Rončević, I.Š.; Vladislavić, N.; Vukadin, J.; Buzuk, M. Voltammetric behaviour and amperometric sensing of hydrogen peroxide on a carbon paste electrode modified with ternary silver-copper sulfides containing intrinsic silver. Monatsh. Chem. 2020, 151, 511–524. [Google Scholar] [CrossRef]
- Gosser, D.K. Cyclic Voltammetry: Simulation and Analysis of Reaction Mechanisms; VCH: New York, NY, USA, 1993. [Google Scholar]
- Prasad Bastola, K.; Nath Guragain, Y.; Bhadriraju, V.; Venkata Vadlani, P. Evaluation of Standards and Interfering Compounds in the Determination of Phenolics by Folin-Ciocalteu Assay Method for Effective Bioprocessing of Biomass. Am. J. Anal. Chem. 2017, 8, 416–431. Available online: http://www.scirp.org/journal/ajac (accessed on 1 July 2022). [CrossRef]
- Rekha, C.; Poornima, G.; Manasa, M.; Abhipsa, V.; Pavithra Devi, J.; Vijay Kumar, H.T.; Prashith Kekuda, T.R. Ascorbic Acid, Total Phenol Content and Antioxidant Activity of Fresh Juices of Four Ripe and Unripe Citrus Fruits. Chem. Sci. Trans. 2012, 1, 303–310. [Google Scholar] [CrossRef]







| Electrode/Modification | Electroanalytical Methods | Solution | Potential of Oxidation | Linear Range μM | LOD μM | Analyzed Samples |
|---|---|---|---|---|---|---|
| Glassy carbon [39] | SWV, DPV | acetate buffer pH 3.50 | irreversibly 0.350 V | 20–1000 | 2.95 | pharmaceutical and Rosa species |
| Glassy carbon [40] | AMP | PB pH 5.0 | 0.600 V | 0–2.27 | 0.028 | fruit and vegetable juice. |
| Glassy carbon/graphene [41] | CV, EIS | PB pH 7.0 | irreversibly 0.350 V | 100–10000 | NA | NA |
| Graphene/carbon paste [42] | CV, AMP | PB pH 7.0 | irreversibly 0.350 V | 0.1–106 | 0.07 | artificial sample |
| Reduced graphene oxide [43] | CV, FIA with AMP | BR buffer pH 7.0 | irreversibly 0.650 V | NA | 4.7 | food beverage samples |
| Carbon paste [14] | CV, DPV | 0.10 M KCl | irreversibly 0.530 V | 70–20,000 | 62 | fruit juice and wine |
| SWCNT/carbon–ceramic [44] | CV, DPV | PB pH 7.0 | irreversibly 0.620 V | 5.0–700.0 | 3.0 | pharmaceutical and biological samples |
| Carbon nanotubes/gold nanoparticles [28] | CV | PB pH 7.4 | irreversibly 0.263 V | 5–400 | 1.8 | human urine |
| Bi2O3/glassy carbon [45] | CV | KH2PO4 pH 6.0 | irreversibly 0.280 V | 0–5000 | NA | vitamin C tablet |
| Grafen/CPE/CuO [46] | CV, SWV | biological pH 7.4) | irreversibly 0.250 V | 0.04–240.0 | 0.009 | artificial sample |
| Polyvinylpyrrolidone Grafite/glassy carbon [47] | SDLSV | PB pH 6.0 | irreversibly 0.034 V | 4–1000 | 0.8 | human urine |
| Unmodified edge plane pyrolytic Graphite [48] | CV, DPV | BR buffer pH 7.0 | irreversibly 0.050 V | 0.2–25 | NA | laked horse blood |
| edge plane pyrolytic graphite [49] | CV | PB pH 7.0 | irreversibly 0.080 V | 200–2200 | 71 | commercial drink Ribena |
| Pyrolytic graphite sheet (this work) | CV, SWV | KNO3 pH 7.0 | irreversibly 0.050 V | 1.0–400 | 0.4 | extract of cultivated aragula |
| Sample—Arugula Substrate | Vitamin C SWV Results mg/L Sample | Vitamin C Determination by Iodine Titration mg/L Sample | Total Phenolic Compounds Folin–Ciocalteu Reagents mg GAE/L | Antioxidant Activity after 4 Min FRAP Method μM TE | Antioxidant Activity after 10 Min FRAP Method μM TE |
|---|---|---|---|---|---|
| Soil with addition of: | |||||
| Peanut shells | 128 ± 4.7 | 115.3 ± 4.7 | 218 ± 2 | 278 ± 22 | 591 ± 17 |
| Paper towels | 155 ± 4.7 | 149.0 ± 3.1 | 227 ± 7 | 223 ± 23 | 602 ± 6 |
| Peel of banana and kiwi | 421 ± 4.7 | 300.3 ± 1.0 | 190 ± 4 | 192 ± 18 | 463 ± 26 |
| Coffee ground | 504 ± 4.7 | 399.7 ± 14.5 | 315 ± 18 | 343 ± 19 | 611 ± 2 |
| Eggshells | 136 ± 4.7 | 126.7 ± 6.7 | 156 ± 4 | 186 ± 23 | 397 ± 4 |
| Control sample | 399 ± 4.7 | 276.7 ± 3.3 | 218 ± 7 | 231 ± 11 | 596 ± 7 |
Publisher’s Note: MDPI stays neutral with regard to jurisdictional claims in published maps and institutional affiliations. |
© 2022 by the authors. Licensee MDPI, Basel, Switzerland. This article is an open access article distributed under the terms and conditions of the Creative Commons Attribution (CC BY) license (https://creativecommons.org/licenses/by/4.0/).
Share and Cite
Škugor Rončević, I.; Skroza, D.; Vrca, I.; Kondža, A.M.; Vladislavić, N. Development and Optimization of Electrochemical Method for Determination of Vitamin C. Chemosensors 2022, 10, 283. https://doi.org/10.3390/chemosensors10070283
Škugor Rončević I, Skroza D, Vrca I, Kondža AM, Vladislavić N. Development and Optimization of Electrochemical Method for Determination of Vitamin C. Chemosensors. 2022; 10(7):283. https://doi.org/10.3390/chemosensors10070283
Chicago/Turabian StyleŠkugor Rončević, Ivana, Danijela Skroza, Ivana Vrca, Ana Marija Kondža, and Nives Vladislavić. 2022. "Development and Optimization of Electrochemical Method for Determination of Vitamin C" Chemosensors 10, no. 7: 283. https://doi.org/10.3390/chemosensors10070283
APA StyleŠkugor Rončević, I., Skroza, D., Vrca, I., Kondža, A. M., & Vladislavić, N. (2022). Development and Optimization of Electrochemical Method for Determination of Vitamin C. Chemosensors, 10(7), 283. https://doi.org/10.3390/chemosensors10070283

