Zinc Donor–Acceptor Schiff Base Complexes as Thermally Activated Delayed Fluorescence Emitters
Abstract
1. Introduction
2. Materials and Methods
2.1. Materials
2.2. Measurements
2.3. Preparation of Dye–Polymer Films
2.4. Fiber-Optic Setup
2.5. Water-Dispersible Nanoparticles
2.6. Synthesis
2.6.1. Synthesis of 9-(4-bromophenyl)-3,6-bis(2-ethylhexyl)-9H-carbazole (2)
2.6.2. Synthesis of 3,6-bis(2-ethylhexyl)-9-(4-(4,4,5,5-tetramethyl-1,3,2-dioxaborolan-2-yl)phenyl)-9H-carbazole (3)
2.6.3. Synthesis of 4’-(3,6-bis(2-ethylhexyl)-9H-carbazol-9-yl)-3-hydroxy-[1,1’-biphenyl]-4-carbaldehyde (4)
2.6.4. Synthesis of 4-(3,6-bis(2-ethylhexyl)-9H-carbazol-9-yl)-2-methoxybenzaldehyde (5)
2.6.5. Synthesis of 4-(3,6-bis(2-ethylhexyl)-9H-carbazol-9-yl)-2-hydroxybenzaldehyde (6)
2.6.6. Synthesis of ZnPH-Cz
2.6.7. Synthesis of ZnPH-Ph-Cz
2.6.8. Synthesis of ZnPZ-Cz
2.6.9. Synthesis of ZnPZ-Ph-Cz
3. Results and Discussion
3.1. Synthesis
3.2. Photophysical Properties
3.3. Properties of Immobilized Dyes
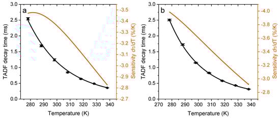
3.4. Polymer-Based Sensor Materials
4. Conclusions
Supplementary Materials
Author Contributions
Funding
Institutional Review Board Statement
Informed Consent Statement
Data Availability Statement
Conflicts of Interest
References
- Wang, X.D.; Wolfbeis, O.S.; Meier, R.J. Luminescent probes and sensors for temperature. Chem. Soc. Rev. 2013, 42, 7834–7869. [Google Scholar] [CrossRef] [PubMed]
- Ogle, M.M.; Smith McWilliams, A.D.; Jiang, B.; Martí, A.A. Latest Trends in Temperature Sensing by Molecular Probes. ChemPhotoChem 2020, 4, 255–270. [Google Scholar] [CrossRef]
- Jaque, D.; Vetrone, F. Luminescence nanothermometry. Nanoscale 2012, 4, 4301–4326. [Google Scholar] [CrossRef] [PubMed]
- Dramićanin, M. Luminescence Thermometry: Methods, Materials, and Applications; Woodhead Publishing: Sawston, UK, 2018; ISBN 9780081020296. [Google Scholar]
- Bai, T.; Gu, N. Micro/nanoscale thermometry for cellular thermal sensing. Small 2016, 12, 4590–4610. [Google Scholar] [CrossRef]
- Jenkins, J.; Borisov, S.M.; Papkovsky, D.B.; Dmitriev, R.I. Sulforhodamine Nanothermometer for Multiparametric Fluorescence Lifetime Imaging Microscopy. Anal. Chem. 2016, 88, 10566–10572. [Google Scholar] [CrossRef] [PubMed]
- Wu, Y.; Liu, J.; Ma, J.; Liu, Y.; Wang, Y.; Wu, D. Ratiometric Nanothermometer Based on Rhodamine Dye-Incorporated F127-Melamine-Formaldehyde Polymer Nanoparticle: Preparation, Characterization, Wide-Range Temperature Sensing, and Precise Intracellular Thermometry. ACS Appl. Mater. Interfaces 2016, 8, 14396–14405. [Google Scholar] [CrossRef]
- Wang, H.; Wu, Y.; Tao, P.; Fan, X.; Kuang, G.C. BODIPY-Based Oligo (ethylene glycol) Dendrons as Fluorescence Thermometers: When Thermoresponsiveness Meets Intramolecular Electron/Charge Transfer. Chem. A Eur. J. 2014, 20, 16634–16643. [Google Scholar] [CrossRef]
- Ogle, M.M.; Smith McWilliams, A.D.; Ware, M.J.; Curley, S.A.; Corr, S.J.; Martí, A.A. Sensing Temperature in Vitro and in Cells Using a BODIPY Molecular Probe. J. Phys. Chem. B 2019, 123, 7282–7289. [Google Scholar] [CrossRef]
- Carlotti, M.; Gullo, G.; Battisti, A.; Martini, F.; Borsacchi, S.; Geppi, M.; Ruggeri, G.; Pucci, A. Thermochromic polyethylene films doped with perylene chromophores: Experimental evidence and methods for characterization of their phase behaviour. Polym. Chem. 2015, 6, 4003–4012. [Google Scholar] [CrossRef]
- Chandrasekharan, N.; Kelly, L.A. A dual fluorescence temperature sensor based on perylene/exciplex interconversion. J. Am. Chem. Soc. 2001, 123, 9898–9899. [Google Scholar] [CrossRef]
- Bustamante, N.; Ielasi, G.; Bedoya, M.; Orellana, G. Optimization of temperature sensing with polymer-embedded luminescent Ru(II) complexes. Polymers 2018, 10, 234. [Google Scholar] [CrossRef]
- Fischer, L.H.; Stich, M.I.J.; Wolfbeis, O.S.; Tian, N.; Holder, E.; Schäferling, M. Red- and Green-Emitting Iridium(III) Complexes for a Dual Barometric and Temperature-Sensitive Paint. Chem. A Eur. J. 2009, 15, 10857–10863. [Google Scholar] [CrossRef] [PubMed]
- Borisov, S.M.; Wolfbeis, O.S. Temperature-sensitive europium(III) probes and their use for simultaneous luminescent sensing of temperature and oxygen. Anal. Chem. 2006, 78, 5094–5101. [Google Scholar] [CrossRef] [PubMed]
- Khalil, G.E.; Lau, K.; Phelan, G.D.; Carlson, B.; Gouterman, M.; Callis, J.B.; Dalton, L.R. Europium beta-diketonate temperature sensors: Effects of ligands, matrix, and concentration. Rev. Sci. Instrum. 2004, 75, 192–206. [Google Scholar] [CrossRef]
- Karakus, C.; Fischer, L.H.; Schmeding, S.; Hummel, J.; Risch, N.; Schäferling, M.; Holder, E. Oxygen and temperature sensitivity of blue to green to yellow light-emitting Pt(II) complexes. Dalt. Trans. 2012, 41, 9623–9632. [Google Scholar] [CrossRef] [PubMed][Green Version]
- Borisov, S.M.; Pommer, R.; Svec, J.; Peters, S.; Novakova, V.; Klimant, I. New red-emitting Schiff base chelates: Promising dyes for sensing and imaging of temperature and oxygen via phosphorescence decay time. J. Mater. Chem. C 2018, 6, 8999–9009. [Google Scholar] [CrossRef] [PubMed]
- Uchiyama, S.; Gota, C.; Tsuji, T.; Inada, N. Intracellular temperature measurements with fluorescent polymeric thermometers. Chem. Commun. 2017, 53, 10976–10992. [Google Scholar] [CrossRef] [PubMed]
- Okabe, K.; Inada, N.; Gota, C.; Harada, Y.; Funatsu, T.; Uchiyama, S. Intracellular temperature mapping with a fluorescent polymeric thermometer and fluorescence lifetime imaging microscopy. Nat. Commun. 2012, 3, 1–9. [Google Scholar] [CrossRef] [PubMed]
- Cao, S.; Zheng, J.; Zhao, J.; Yang, Z.; Shang, M.; Li, C.; Yang, W.; Fang, X. Robust and Stable Ratiometric Temperature Sensor Based on Zn–In–S Quantum Dots with Intrinsic Dual-Dopant Ion Emissions. Adv. Funct. Mater. 2016, 26, 7224–7233. [Google Scholar] [CrossRef]
- Haro-González, P.; Martínez-Maestro, L.; Martín, I.R.; García-Solé, J.; Jaque, D. High-sensitivity fluorescence lifetime thermal sensing based on CdTe quantum dots. Small 2012, 8, 2652–2658. [Google Scholar] [CrossRef]
- Wang, X.; Liu, Q.; Bu, Y.; Liu, C.S.; Liu, T.; Yan, X. Optical temperature sensing of rare-earth ion doped phosphors. RSC Adv. 2015, 5, 86219–86236. [Google Scholar] [CrossRef]
- Perruchas, S.; Goff, X.F.L.; Maron, S.; Maurin, I.; Guillen, F.; Garcia, A.; Gacoin, T.; Boilot, J.P. Mechanochromic and thermochromic luminescence of a copper iodide cluster. J. Am. Chem. Soc. 2010, 132, 10967–10969. [Google Scholar] [CrossRef] [PubMed]
- Lu, D.F.; Hong, Z.F.; Xie, J.; Kong, X.J.; Long, L.S.; Zheng, L.S. High-Nuclearity Lanthanide-Titanium Oxo Clusters as Luminescent Molecular Thermometers with High Quantum Yields. Inorg. Chem. 2017, 56, 12186–12192. [Google Scholar] [CrossRef] [PubMed]
- Chen, D.; Liu, S.; Zhou, Y.; Wan, Z.; Huang, P.; Ji, Z. Dual-activator luminescence of RE/TM:Y3Al5O12 (RE = Eu3+, Tb3+, Dy3+; TM = Mn4+, Cr3+) phosphors for self-referencing optical thermometry. J. Mater. Chem. C 2016, 4, 9044–9051. [Google Scholar] [CrossRef]
- Allison, S.W.; Gillies, G.T. Remote thermometry with thermographic phosphors: Instrumentation and applications. Rev. Sci. Instrum. 1997, 68, 2615–2650. [Google Scholar] [CrossRef]
- Liu, Y.; Li, C.; Ren, Z.; Yan, S.; Bryce, M.R. All-organic thermally activated delayed fluorescence materials for organic light-emitting diodes. Nat. Rev. Mater. 2018, 3, 18020. [Google Scholar] [CrossRef]
- Wong, M.Y.; Zysman-Colman, E. Purely Organic Thermally Activated Delayed Fluorescence Materials for Organic Light-Emitting Diodes. Adv. Mater. 2017, 29, 1605444. [Google Scholar] [CrossRef]
- Fister, J.C.; Rank, D.; Harris, J.M. Delayed Fluorescence Optical Thermometry. Anal. Chem. 1995, 67, 4269–4275. [Google Scholar] [CrossRef]
- Baleizão, C.; Nagl, S.; Borisov, S.M.; Schäferling, M.; Wolfbeis, O.S.; Berberan-Santos, M.N. An optical thermometer based on the delayed fluorescence of C70. Chem. A Eur. J. 2007, 13, 3643–3651. [Google Scholar] [CrossRef]
- Liu, J.; Kang, X.; Zhang, H.; Liu, Y.; Wang, C.; Gao, X.; Li, Y. Carbon dot-based nanocomposite: Long-lived thermally activated delayed fluorescence for lifetime thermal sensing. Dye. Pigment. 2020, 181, 108576. [Google Scholar] [CrossRef]
- Christopherson, C.J.; Mayder, D.M.; Poisson, J.; Paisley, N.R.; Tonge, C.M.; Hudson, Z.M. 1,8-Naphthalimide-Based Polymers Exhibiting Deep-Red Thermally Activated Delayed Fluorescence and Their Application in Ratiometric Temperature Sensing. ACS Appl. Mater. Interfaces 2020, 12, 20000–20011. [Google Scholar] [CrossRef] [PubMed]
- Steinegger, A.; Klimant, I.; Borisov, S.M. Purely Organic Dyes with Thermally Activated Delayed Fluorescence—A Versatile Class of Indicators for Optical Temperature Sensing. Adv. Opt. Mater. 2017, 5, 1700372. [Google Scholar] [CrossRef]
- Zieger, S.E.; Steinegger, A.; Klimant, I.; Borisov, S.M. TADF-Emitting Zn(II)-Benzoporphyrin: An Indicator for Simultaneous Sensing of Oxygen and Temperature. ACS Sensors 2020, 5, 1020–1027. [Google Scholar] [CrossRef] [PubMed]
- Zach, P.W.; Freunberger, S.A.; Klimant, I.; Borisov, S.M. Electron-Deficient Near-Infrared Pt(II) and Pd(II) Benzoporphyrins with Dual Phosphorescence and Unusually Efficient Thermally Activated Delayed Fluorescence: First Demonstration of Simultaneous Oxygen and Temperature Sensing with a Single Emitter. ACS Appl. Mater. Interfaces 2017, 9, 38008–38023. [Google Scholar] [CrossRef] [PubMed]
- Steinegger, A.; Borisov, S.M. Zn(II) Schiff Bases: Bright TADF Emitters for Self-referenced Decay Time-Based Optical Temperature Sensing. ACS Omega 2020, 5, 7729–7737. [Google Scholar] [CrossRef]
- Liebsch, G.; Klimant, I.; Wolfbeis, O.S. Luminescence lifetime temperature sensing based on sol-gels and poly(acrylonitrile)s dyed with ruthenium metal-ligand complexes. Adv. Mater. 1999, 11, 1296–1299. [Google Scholar] [CrossRef]
- Mamada, M.; Fukunaga, T.; Bencheikh, F.; Sandanayaka, A.S.D.; Adachi, C. Low Amplified Spontaneous Emission Threshold from Organic Dyes Based on Bis-stilbene. Adv. Funct. Mater. 2018, 28, 1–9. [Google Scholar] [CrossRef]
- Malatesta, L.; Angoletta, M. Palladium(0) compounds. Part II. Compounds with triarylphosphines, triaryl phosphites, and triarylarsines. J. Chem. Soc. 1957, 1186–1188. [Google Scholar] [CrossRef]
- Yan, X.; Song, X.; Mu, X.; Wang, Y. Mechanochromic luminescence based on a phthalonitrile-bridging salophen zinc(ii) complex. New J. Chem. 2019, 43, 15886–15891. [Google Scholar] [CrossRef]
- Xie, D.; Jing, J.; Cai, Y.B.; Tang, J.; Chen, J.J.; Zhang, J.L. Construction of an orthogonal ZnSalen/Salophen library as a colour palette for one- and two-photon live cell imaging. Chem. Sci. 2014, 5, 2318–2327. [Google Scholar] [CrossRef]
- Cozzi, P.G. Metal-Salen Schiff base complexes in catalysis: Practical aspects. Chem. Soc. Rev. 2004, 33, 410–421. [Google Scholar] [CrossRef] [PubMed]
- Im, Y.; Kim, M.; Cho, Y.J.; Seo, J.A.; Yook, K.S.; Lee, J.Y. Molecular Design Strategy of Organic Thermally Activated Delayed Fluorescence Emitters. Chem. Mater. 2017, 29, 1946–1963. [Google Scholar] [CrossRef]
- Fercher, A.; Borisov, S.M.; Zhdanov, A.V.; Klimant, I.; Papkovsky, D.B. Intracellular O2 sensing probe based on cell-penetrating phosphorescent nanoparticles. ACS Nano 2011, 5, 5499–5508. [Google Scholar] [CrossRef] [PubMed]
- Borisov, S.M.; Mayr, T.; Mistlberger, G.; Waich, K.; Koren, K.; Chojnacki, P.; Klimant, I. Precipitation as a simple and versatile method for preparation of optical nanochemosensors. Talanta 2009, 79, 1322–1330. [Google Scholar] [CrossRef] [PubMed]
- Nahidiazar, L.; Agronskaia, A.V.; Broertjes, J.; Van Broek, B.D.; Jalink, K. Optimizing imaging conditions for demanding multi-color super resolution localization microscopy. PLoS ONE 2016, 11, e0158884. [Google Scholar] [CrossRef] [PubMed]






| Dye | λmax, abs (nm) | ε (M−1 cm−1) | λmax, em (nm) c | τTADF (µs) c | ΦPF (%) | ΦTADF (%) c |
|---|---|---|---|---|---|---|
| Zn-2 a | 435, 490 b | 39,000 ± 600 | 547 | 435 ± 1 | 27 ± 2 | 14 ± 2 |
| ZnPH-Cz | 442, 490 b | 37,200 ± 200 | 550 | 945 ± 6 | 18.7 ± 0.6 | 18.3 ± 0.8 |
| ZnPH-Ph-Cz | 455, 530 b | 25,300 ± 300 | 558 | 1040 ± 5 | 14.0 ± 0.2 | 15.4 ± 0.4 |
| ZnPZ-Cz | 538 | 44,200 ± 100 | 616 | 144 ± 1 | 9.1 ± 0.8 | 4.0 ± 0.4 |
| ZnPZ-Ph-Cz | 520 | 32,500 ± 100 | 648 | 236 ± 3 | 1.6 ± 0.1 | 0.3 ± 0.1 |
| Dye | λmax, abs (nm) | λmax, em (nm) | τTADF (µs) b | ΦPF (%) | ΦTADF (%) b | dτ/dT (%/K) b |
|---|---|---|---|---|---|---|
| Zn-2 a | 446 | 547 | 1450 ± 10 | 18 ± 2 | 47 ± 6 | −3.5 |
| ZnPH-Cz | 439 | 554 | 1240 ± 40 | 15.9 ± 0.2 | 15.8 ± 0.2 | −3.4 |
| ZnPH-Cz/Py | 449 | 552 | 1150 ± 10 | 21.1 ± 0.3 | 46.8 ± 0.4 | −3.6 |
| ZnPH-Ph-Cz | 448 | 555 | 3530 ± 10 | 4.4 ± 0,1 | 6.5 ± 0.2 | −3.3 |
| ZnPH-Ph-Cz/Py | 444 | 561 | 1930 ± 30 | 10.9 ± 0.2 | 33.3 ± 0.4 | −3.6 |
| ZnPZ-Cz | 522 | 626 | 132 ± 4 | 5.6 ± 0,1 | 1.5 ± 0.1 | −3.3 |
| ZnPZ-Cz/Py | 544 | 602 | 328 ± 3 | 6.8 ± 0.4 | 5.6 ± 0.4 | −3.7 |
| ZnPZ-Ph-Cz | 510 | 611 | 991 ± 2 | 1.6 ± 0,1 | 0.7 ± 0.1 | −3.4 |
| ZnPZ-Ph-Cz/Py | 510 | 594 | 1302 ± 7 | 8.1 ± 0.6 | 7.9 ± 0.6 | −3.2 |
Publisher’s Note: MDPI stays neutral with regard to jurisdictional claims in published maps and institutional affiliations. |
© 2022 by the authors. Licensee MDPI, Basel, Switzerland. This article is an open access article distributed under the terms and conditions of the Creative Commons Attribution (CC BY) license (https://creativecommons.org/licenses/by/4.0/).
Share and Cite
Russegger, A.; Eiber, L.; Steinegger, A.; Borisov, S.M. Zinc Donor–Acceptor Schiff Base Complexes as Thermally Activated Delayed Fluorescence Emitters. Chemosensors 2022, 10, 91. https://doi.org/10.3390/chemosensors10030091
Russegger A, Eiber L, Steinegger A, Borisov SM. Zinc Donor–Acceptor Schiff Base Complexes as Thermally Activated Delayed Fluorescence Emitters. Chemosensors. 2022; 10(3):91. https://doi.org/10.3390/chemosensors10030091
Chicago/Turabian StyleRussegger, Andreas, Lisa Eiber, Andreas Steinegger, and Sergey M. Borisov. 2022. "Zinc Donor–Acceptor Schiff Base Complexes as Thermally Activated Delayed Fluorescence Emitters" Chemosensors 10, no. 3: 91. https://doi.org/10.3390/chemosensors10030091
APA StyleRussegger, A., Eiber, L., Steinegger, A., & Borisov, S. M. (2022). Zinc Donor–Acceptor Schiff Base Complexes as Thermally Activated Delayed Fluorescence Emitters. Chemosensors, 10(3), 91. https://doi.org/10.3390/chemosensors10030091

