Next Article in Journal
Detection of Volatile Alcohol Vapors Using PMMA-Coated Micromechanical Sensors: Experimental and Quantum Chemical DFT Analysis
Next Article in Special Issue
New Quantum-Dot-Based Fluorescent Immunosensor for Cancer Biomarker Detection
Previous Article in Journal
Paper-Based Analytical Device for One-Step Detection of Bisphenol-A Using Functionalized Chitosan
Previous Article in Special Issue
Conjugated Polymer Nanoparticles Based on Anthracene and Tetraphenylethene for Nitroaromatics Detection in Aqueous Phase
 
 
Font Type:
Arial Georgia Verdana
Font Size:
Aa Aa Aa
Line Spacing:
Column Width:
Background:
Article

Novel Hydrazone Chromophore Sensor for Metallochromic Determination of Cadmium Ions

by
Islam El-Nagar
1,
Ahmed M. Youssef
1,
A. A. Abd El-Hakim
1,
El-Refaie Kenawy
2,
Hamada S. A. Mandour
2 and
Tawfik A. Khattab
3,*
1
Packaging Materials Department, National Research Centre, 33 El-Bohouth St. (former El-Tahrir St.), Dokki, Cairo 12622, Egypt
2
Polymer Research Group, Chemistry Department, Faculty of Science, Tanta University, Tanta 31527, Egypt
3
Dyeing, Printing and Auxiliaries Department, National Research Centre, Cairo 12622, Egypt
*
Author to whom correspondence should be addressed.
Chemosensors 2022, 10(11), 451; https://doi.org/10.3390/chemosensors10110451
Submission received: 23 September 2022 / Revised: 29 October 2022 / Accepted: 30 October 2022 / Published: 1 November 2022
(This article belongs to the Special Issue Advances in Fluorescence Sensing)

Abstract

For the detection of Cd(II) in aquatic media, a novel dicyanomethylene dihydrofuran hydrazone(DCDHFH)-based colorimetric chemosensor was developed. DCDHFH was prepared by an azo-coupling process involving the diazonium chloride of 2, 4-dichloroaniline and a dicyanomethylene dihydrofuran heterocyclic moiety bearing an active methyl group. The DCDHFH chromophore showed strong solvatochromism depending on solvent polarity due to electronic delocalization. The pH sensory effects of the DCDHFH chromophore were also explored. DCDHFH could be used to identify Cd(II) in the presence of other competitive metals, as indicated by variations in color and absorbance spectra. In the presence of cadmium ions, the synthesized DCDHFH probe with hydrazone recognition moiety exhibited a significant sensitivity and selectivity to cadmium ions at the ppm concentration level (10–250 ppm). A DCDHFH-immobilized paper test strip was also prepared and effectively used for the detection of cadmium in aqueous media at various concentrations. According to CIE Lab’s criteria, colorimetric strength (K/S), and the UV–Vis absorbance spectra, the cadmium detection abilities of the DCDHFH-immobilized paper strips were evaluated. The optimal pH range for the determination of Cd(II) was monitored in the area of 5.5–6.3, with a fast chromogenic change from yellow to red relying on the Cd(II) concentration. The deposition of dicyanomethylene dihydrofuran hydrazone onto the paper strip’s surface was studied by scanning electron microscopy (SEM).

1. Introduction

Heavy metal pollution has been a worldwide concern, as these metals are extremely poisonous and hazardous to both human beings and the environment [1,2]. Cadmium is one of the main heavy metal contaminants. Cadmium can be found in electric batteries, plastic pigments, and electroplated steel [3,4,5]. There are many sources of cadmium pollution, such as fertilizers, industrial waste, and mine drainage. Thus, drinking water can be easily contaminated with cadmium from industrial operations. Cadmium has been reported as an extremely toxic metal. The ingestion of cadmium leads to its accumulation in the human body and harmful effects on the liver, kidneys, bones and blood [6,7,8]. It can also cause mortality from cancer and cardiovascular diseases. Thus, pure drinking water is crucial to human life; however, it is highly susceptible to be polluted with heavy metals. The US Environmental Protection Agency (EPA) has determined the upper limit of cadmium contamination at 5 ng/mL in water [9]. This limit should lead to no health concerns. Thus, the regular identification of cadmium in water is essential to protecting both humans’ health and the environment. It has been critical to develop convenient detection methods for cadmium ions in aqueous media and soil [10].
Currently, there are various methods that are used for cadmium analysis, such as atomic absorption spectroscopy and inductive-coupled plasma-atomic emission spectrometry [10,11,12]. Even though these detection approaches are highly specific, accurate, and sensitive, they are costly, complicated, necessitate electric and electronic parts, require trained personnel, and not suitable for onsite screening. The identification of cadmium ions, especially at the ppm level, using a solid-state surface with a high sensitivity has been an interesting technique [13]. The higher porosity and large surface area results in the accumulation of analytes onto the surface of the solid-state detector, leading to a higher sensitivity. Rapid-response sensor materials with a better sensitivity can be developed using paper strips due to their high porosity and large surface area [14]. The adsorption and diffusion of analytes onto a paper surface occurs quickly because of its large surface area. This means that paper-based colorimetric sensors are promising detection tools since they require less effort for the preparation and operation procedures. Additionally, they are highly sensitive, less expensive, and easier to use [15]. Colorimetric sensors have been reported recently as an important and effective technology for the detection of several dangerous analytes [16].
There are several applications in which the sensing of diverse chemical analytes, such as heavy metals, is required. As a result, a variety of detection methods have been created. Because traditional detection methods are costly and complicated, they can only be used in specialized labs. Thus, it is critical to develop more efficient analytical tools for the real-time detection of trace analytes [17]. For the determination of heavy metals, chemical sensors have shown to be cost-effective and have an easy-to-use process. There are several advantages to the use of optical chemosensors, including their ease of use and real-time detection, as well as high selectivity and sensitivity [18]. Metal cations are among the analytes that have been monitored using a broad range of colorimetric chemosensors. Colorimetric changes can be generated by chemosensors with the appropriate functional substituents that interact with metal cations effectively [19,20,21,22]. Wang et al. reported the preparation of a novel Schiff’s base probe by the reaction of imidazole-2-carboxaldehyde with 2,3-naphthalene diamine. This chemosensor was utilized to determine cadmium ions in a liver cancer cell [23]. Zhang et al. presented a novel diarylethene probe for the colorimetric detection of cadmium ions, demonstrating a change in color from colorless to light yellow [24]. The Liu research group reported the synthesis of diarylethene-based colorimetric chemosensors for cadmium ions in real samples, displaying a detection limit of 1.8 × 10−7 mol/L [25]. Colorimetric and fluorescent sensing applications have been recently explored for the optically active dicyanomethylene dihydrofuran hydrazone-based chemosensors, such as the sensing of heat, solvent polarity, pH, hazardous gases, and biological entities. This could be ascribed to their tunable and simple molecular framework with an active hydrazone detection group [26,27]. Dicyanomethylene dihydrofuran hydrazones have shown modest cytotoxicity and antibacterial activity. In addition, they have been able to generate different colors at different pH values. The presence of a hydrazone recognition moiety in the dihydrofuran hydrazone-based chemosensors has been beneficial to generate a coordination bonding with some metal ions [28,29,30]. Consequently, colorimetric probes based on dicyanomethylene dihydrofuran hydrazones can be effectively used to detect metal cations in water and semi-water environments.
In this context, a novel colorimetric DCDHFH chemical sensor bearing a 2,4-dichlorophenyl-substituted hydrazone moiety was synthesized and immobilized onto a paper surface for the highly selective identification of Cd(II) in water. Infrared spectroscopy, an elemental analysis, and NMR were all used to inspect the chemical structure of DCDHFH. The optical characteristics, as well as the solvatochromic, halochromic, and metallochromic properties of the chromophore chemosensor were studied. The hydrazone group has the capacity to modulate electronic delocalization, which results in a color change when coordinating with cadmium ions at room temperature. The absorption spectroscopy was applied to determine the binding ability of cadmium ions to the dicyanomethylene dihydrofuran hydrazone ligand. Paper sheets integrated with various concentrations of DCDHFH were designed and effectively deployed for the real-time identification of cadmium with the naked eye. CIE Lab values, K/S, and absorbance spectra were used to evaluate the optimal colorimetric detection efficiency of the DCDHFH-immobilized paper strips. The inclusion of dicyanomethylene dihydrofuran hydrazone into the paper’s surface was characterized using SEM microscopy.

2. Experimental

2.1. Chemicals and Reagents

Different aqueous solutions of metallic salts were obtained by dissolution in de-ionized water. All metal salts, including AlCl3, NaCl, MgCl2, CoCl3, FeCl3, CaCl2, PbCl2, BaCl2, CrCl3, CdCl2, and CuCl2 were purchased from Sigma-Aldrich (Cairo, Egypt). Standard solution of dicyanomethylene dihydrofuran hydrazone (DCDHFH) was developed in CH3CN (1.5 × 10−3 M). Organic solvents (spectroscopic grade) were obtained from Aldrich and Fluka (Cairo, Egypt). 2,4-Dichloroaniline, 3-methylacetoin, and propanedinitrile were obtained from Aldrich (Cairo, Egypt). DCDHF was prepared using previously reported procedures [31]. The reaction progress was monitored by TLC aluminium strips (Merck; PF254) coated with silica gel 60. The TLC strips were visually monitored under UV lamp (254 and 365 nm). Whatman sheets with base weight of 87 g/m2, diameter of 240 mm, pore size of 11 μm, off-white color, and thickness of 180 μm were obtained from Sigma-Aldrich (Cairo, Egypt).

2.2. Synthesis of DCDHF

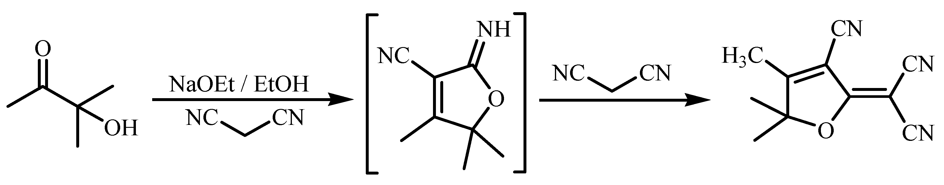
As illustrated in Scheme 1, the dispersal of sodium metal (150 mg; 6.5 mmol) in ethanol (absolute; 15 mL) was accomplished in a water bath at room temperature. 3-methylacetoin (4.5 g, 44 mmol) and propanedinitrile (6 g, 90.5 mmol) were poured into the above-generated CH3CH2ONa solution. The solution was stirred for 1 h, and 25 mL of ethanol (absolute) was then added to the mixture. To obtain the first batch of DCDHF (off-white crystals; 10.72 g), the solution was heated for a further hour, chilled in the fridge, filtered, and then rinsed with a little amount of cold ethanol (absolute; 5 mL). The first batch of DCDHF (2.55 g) was obtained after concentrating the filtrate, giving a total yield of 58%; melting point 201–203 °C; 1H NMR (400 MHz, CDCl3): 2.37 (s, 3H), 1.65 (s, 6H).

2.3. Preparation of Hydrazone Chromophore

As depicted in Scheme 2, an ice bath was used to chill a solution of 2,4-dichloroaniline (1; 0.81 g, 5 mmol) in hydrochloric acid (3 mL) down to 0–5 °C. NaNO2(aq) (0.35 g, 5 mmol) in de-ionized water was poured slowly to the above solution at 0–5 °C to provide the corresponding diazonium chloride adduct. A solution of DCDHF (2; 1 g, 5 mmol) and CH3COONa (1.5 g) in CH3CN (5 mL) was chilled to 0–5 °C in an ice bath, and then the diazonium salt was added. The provided precipitate was filtered, rinsed with distilled water (10 mL), crystallized from absolute ethyl alcohol, and then air-dried to give an orange powder (5; 86%); mp 229–231 °C; 1H NMR (400 MHz, Acetone-d6): 11.12 (s, 1H), 8.23 (s, 1H), 7.57 (d, 1H), 7.44 (d, 1H), 7.33 (dd, 1H), 1.81 (s, 6H); IR (cm−1): 3224 (N–H), 3065 (aromatic C–H), 2937 (aliphatic C–H), 2223 (CN), 1613 (C=C), 1583 (C=N) 1083 (N-N), 860 (C-Cl). Elemental analysis: calculated for C17H11Cl2N5O (372.21): C 54.86, H 2.98, Cl 19.05, N 18.82; Found: C 54.71, H 3.07, Cl 18.91, N 18.79.

2.4. Preparation of Strip Sensor

The synthesized hydrazone chemosensor can be described as a disperse dyestuff owing to its weak solubility in water and small molecular size [30]. To produce DCDHFH-immobilized colorimetric paper, Whatman sheet (2.5 cm × 8.0 cm) was immersed in a solution of DCDHFH in CH3CN (1.5 × 10−3 M) followed by air drying.

2.5. Quantitative and Qualitative Determination of Cd(II)

The provided DCDHFH-immobilized paper strip was then immersed in an aqueous solution of Cd(II) in distilled water for 10–20 s, and then air-dried. Different solutions with different concentrations of Cd(II) (10–250 ppm) were studied. DCDHFH-immobilized paper strip displayed various colors ranging between yellow, orange, and red, dependent on cadmium concentration. Additionally, aqueous solutions of various metal salts (250 ppm), including Pb(II), Na(I), Al(III), Mg(II), Ca(II), Cr(III), Cu(II), Cd(II), Fe(III), Ba(II), and Co(III), were prepared and examined by the chemosensor-immobilized strip at room temperature. The pH of the prepared aqueous solutions was adjusted to 7.0 by a buffer system [32]. Photographic images of paper strips after immersion in solutions of various metal ions, and after impregnation in aqueous solutions with different concentrations of Cd(II) were taken with Canon A710IS.

2.6. Methods

Melting points of both DCDHF and hydrazone chemosensor were collected by differential scanning calorimetry (TA-2920). The UV–Vis absorption spectra of the dicyanomethylene dihydrofuran hydrazone in various solvents were studied by USB4000 Ocean Optics and JASCO V630 spectrophotometers. The elemental analysis of the hydrazone chemosensor was analyzed by Norwalk Perkin Elmer 2400 spectrometer (Norwalk, CT, United States). Shimadzu FT-IR 8400 spectrophotometer was used to investigate the functional groups on the DCDHF chemosensor. The NMR spectra of dicyanomethylene dihydrofuran hydrazone were studied using Brucker 400 MHz at room temperature. Using Quanta SEM FEG 250 (Prague, Czech Republic), the morphologies of the hydrazone-treated strips were investigated. The colorimetric features of the provided hydrazone-loaded strips were examined by absorption spectra, K/S, and CIE Lab parameters using UltraScan Pro (HunterLab, Reston, VA, United States). L* demonstrates lightness, a* demonstrates color ratio between green (−) and red (+), and b* demonstrates color ratio between blue (−) and yellow (+).

2.7. pH Measurements of DCDHFH Solution

In other to study the sensory effects of DCDHFH at different pH values, a methanolic solution of trifluoroacetic acid (1 M) was added into a solution of the hydrazone chemosensor in acetonitrile (conc. ca. 1.5 × 10−3 M) to decrease the pH value. In order to increase the pH value, the hydrazone anion form was generated by adding a methanolic solution of N, N, N-Tributylbutan-1-aminium hydroxide (1 M) to the same solution of DCDHFH in CH3CN.

2.8. pH Effect of Cadmium Solution on Strip Detection

In order to identify the typical pH magnitude for the detected medium, an aquatic solution of cadmium chloride (250 ppm) was tuned at various pH levels by a buffer system [33]. The pH of the aqueous solution was monitored by Beckman Coulter pH-I340.

3. Results and Discussion

3.1. Chemistry of Chemosensor

Dichlorophenyl-based DCDHFH (dicyanomethylene dihydrofuran hydrazone) is a colorimetric chemosensor produced by utilizing a simple and effective synthesis approach (Scheme 1 and Scheme 2). The FT-IR, NMR, and elemental analyses confirmed the molecular structure of the produced colorimetric DCDHFH probe. The simple azo-coupling reaction of 2,4-dichloroaniline diazonium salt with the DCDHF heterocyclic molecule produced a high yield (86%) of DCDHFH. The existence of an active methyl in the DCDHF molecule facilitates this azo-coupling reaction [30]. The singlet N–H signal at 11.12 ppm in the 1H NMR spectrum of DCDHFH proved the formation of hydrazone moiety. The hydrazone =C–H proton showed up in the 1H NMR spectra as another peak at 8.23 ppm. The substantial electron-withdrawing action of the cyano groups on the DCDHF moiety was ascribed to the downfield displacement of this =C–H singlet signal. The absorption band at 3224 cm−1 in the FTIR spectrum of DCDHFH was assigned to the hydrazone N–H, whereas the cyano stretch vibration was attributed to the absorption peak at 2223 cm−1. The Knoevenagel reaction of 3-methylacetoin with propanedinitrile in the presence of a strong catalytic base (i.e., sodium ethoxide) afforded an excellent yield (58%) of DCDHF heterocycle [31]. A weak basic solution, such as sodium acetate, was used to remove a proton from the active methyl substituent on the strongly electron-withdrawing DCDHF molecule 2, which aids in the stability of the produced DCDHF carbanion 3 as part of the azo-coupling process. The azo-coupling reaction of the 2, 4-dichloroaniline 1 diazonium chloride with DCDHF carbanion produces an unstable azo-isomer 4, which changes immediately into the stable hydrazone-isomer 5 [28]. The prepared chemsensor showed a high sensitivity and selectivity for cadmium ions associated with a noticeable color change.

3.2. Solvatochromic Behavior

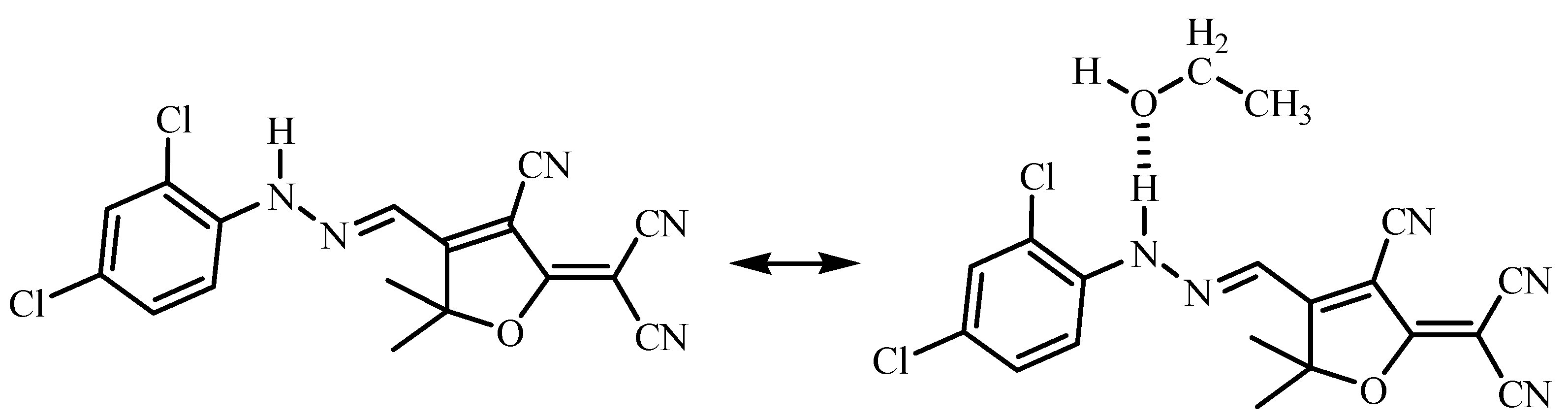
In various solvents, the highest UV–Visible absorbance wavelengths of the hydrazone chemosensor were explored. The DCDHFH chromophore appeared in various colors ranging between light orange, orange, and red in various pure solvents. Figure 1 and Table 1 show the absorption spectra of the hydrazone chemosensor in various solvents. Different solvatochromisms were detected in protic and non-protic solvents. The N–H group in the hydrazone fragment of the hydrazone chemosensor (H-bond donor) partially deprotonated using protic solvents (H-bond acceptor) [30]. The charge decrease caused by this partial deprotonation of the N–H group on the hydrazone moiety caused a bathochromic shift to a longer wavelength. This H-bond-donor effect, on the other hand, should be insignificant in a non-protic solvent [34]. It is clear from Scheme 3 that the lone pair of electrons on the N-atom of the hydrazone N–H could be also responsible for the DCDHFH solvatochromism detected at different polarities of different solvents. The lone pair of electrons could partly bridge the dichlorophenyl-hydrazone fragment and the strongly electron-withdrawing DCDHF fragment, generating a partial push–pull molecular skeleton with a partially extended conjugation which results in a favorable solvatochromic activity [35]. Hence, the polarizability of the dichlorophenyl group definitely plays a significant role in inducing solvatochromism.

3.3. pH-Sensory of DCDHFH Solution

The reversibility of the dichlorophenyl-substituted DCDHFH to undergo molecular switching under acid/base conditions was achieved by adding a methanolic solution of trifluoroacetic acid (1 M) or a methanolic solution of N, N, N-tributylbutan-1-aminium hydroxide (1 M) into a solution of DCDHFH in CH3CN (conc. ca. 1.5 × 10−3 M) to decrease or increase the pH value, respectively. The reversible absorbance spectra and color changes in DCDHFH in acetonitrile are displayed in Figure 2. The color of the DCDHFH solution was found to gradually change between light orange, orange, and red at pHs of <5.8, 6.1–6.7, and >7.0, respectively. When increasing the pH value, the maximum absorption wavelength at 471 nm was found to gradually shift to a longer wavelength (bathochromic shift) at 512 nm. The absorption peak at 471 nm appeared again upon decreasing the pH value and the absorption peak at 512 nm disappeared.
The stepwise addition of an alkali results in the formation of a hydrazone anion form at 512 nm from the hydrazone form detected at 471 nm, suggesting a proton abstraction from the hydrazone N–H group driven by the electron-withdrawing inductive effect of the 2, 4-dichlorophenyl fragment. Thus, an extended resonance is generated in the hydrazone anion. Furthermore, a push–pull hydrazone anion molecular system was generated presumably because the negative charge created on the hydrazone N–H interacts with the strong electron-withdrawing DCDHF fragment (Scheme 4).

3.4. Solution-Based Determination of Cd(II)

The ability of DCDHFH to detect cadmium ions was proved by UV–Visible spectrophotometric techniques. As depicted in Figure 3 and Table 2, the DCDHFH chromophore displayed different absorption wavelengths for different metal ions, indicating a high selectivity. Cadmium ions demonstrated an absorption band at 507 nm, indicating a high bathochromic shift to a longer wavelength as compared to the absorbance maxima of the hydrazone standard (metal-free) solution in CH3CN/water (1:10). On the other hand, all other metal ions exhibited absorption wavelengths (464–484 nm) very close to that of the blank sample. DCDHFH can be used as a colorimetric probe to detect cadmium ions in water using the designed chemosensor (DCDHFH). As demonstrated in Figure 4, the hydrazone solution showed an apparent color change via cadmium in an aqueous medium. However, the hydrazone solution had no obvious colorimetric changes for cadmium concentrations less than 10 μM. The DCDHFH chromophore displayed no absorption spectra in distilled water as a solvent, which confirmed that water molecules do not interfere with the sensing activity of DCDHFH. Therefore, the hydrazone chromophore can be used as a new chemical sensor for the detection of cadmium in a real water sample. To prove the practical use of the current strategy for possible commercialization, a paper dipstick integrated with DCDHFH was prepared and applied to detect various concentrations of cadmium (10–100 μM) in aqueous media.

3.5. Preparation of Colorimetric Dipstick

Owing to its limited solubility in aqueous solutions and tiny molecular size, the current hydrazone chemosensor can be regarded as a disperse dye [36]. As a result, it can be incorporated into a paper surface as dispersed particles between the voids of the cellulosic polymer threads. Whatman paper was soaked in the acetonitrile solution of the hydrazone chemosensor and air-dried to produce yellowish colorimetric test strips. Different concentrations of cadmium salt in water ranging from 10 to 250 ppm were prepared. Figure 5 shows photographs of the strips taken before and after the exposure to cadmium ions in aqueous fluids of varying concentrations. After a few seconds of exposure in an aqueous solution of cadmium chloride, the paper test strip changed color from yellow to orange and red as the cadmium concentration increased from 10 to 250 ppm. In the absence of cadmium, the paper dipstick showed no colorimetric transition and remained yellow. The blank DCDHFH-free paper strip uncoated with the hydrazone chemosensor showed no changes in color when immersed in cadmium ion solutions of various concentrations. Hydrazone coordination bonds with cadmium ions should produce colorful complexes that can be detected by absorption spectra.
The maximum absorption intensity at 500 nm was used to build a calibration curve for sensing cadmium ions in aqueous media with concentrations ranging from 10 to 250 ppm. Using the current invented paper dipstick, an unknown quantity of aqueous cadmium ions was accurately estimated. Cadmium concentrations from 10 to 250 ppm were shown to have a linear correlation. Additionally, increasing the concentration of cadmium ions was shown to bathochromically shift the absorbance intensity from 471 to 512 nm. Due to the complex formation between cadmium ions and nitrogen atoms on the hydrazone fragment, variations in colorimetry were detected as the Cd(II) concentration increased. Concentrations of cadmium lower than 10 ppm were not detected. On the other hand, cadmium concentrations over 250 ppm had a negligible effect on the absorption intensity at 512 nm. Hence, the detection limit was detected in the area of 10–250 ppm by monitoring the changes in the absorption spectrum. When evaluating the sensor efficiency, both interference and selectivity play a vital role. Thus, a variety of metal ions, including Pb(II), Na(I), Al(III), Mg(II), Ca(II), Cr(III), Cu(II), Cd(II), Fe(III), Ba(II), and Co(III), were analyzed to determine the paper strip’s selectivity for cadmium. The absorption intensity of cadmium was dramatically improved by the paper strip, whereas the other competitive metals exhibited only minor changes in their absorption intensities (Figure 6). Because of their various capabilities to produce complexes with the hydrazone chemosensor, these metal ions demonstrated varying sensitivities. A sensor strip based on the present technique can be easily implemented for the naked-eye selective identification of cadmium in the presence of other competitive ions, thereby making the current strategy very effective.
Additionally, a variety of solvents, including tetrahydrofuran, toluene, dimethylformamide, iso-propanol, dimethyl sulfoxide, ethyl acetate, benzene, aniline, ethanol, and acetonitrile, were tested to further examine the interferences of the paper sensor. No considerable colorimetric changes were detected when the DCDHFH-immobilized dipstick was immersed in those solvents. Cadmium ions can be detected using the current test strip, which is easy to prepare, fast, and non-destructive. The present sensor strip provides real-time qualitative and quantitative naked-eye sensing data for cadmium without requiring difficult-to-use or expensive instruments. After storage for a few weeks, the current dipstick paper strip displayed the same detection results for the cadmium ions, indicating its good stability upon storage.

3.6. Morphological Properties

The high surface area of the microfibrous cellulosic sheets makes them ideal for the production of highly sensitive sensors [37,38,39]. Figure 7 depicts the evaluation of the DCDHFH-coated paper strip’s morphology. The deposition of DCDHFH dye on the paper’s surface was proven via SEM images. When applied on a microfibrous cellulose paper sheet, the thin DCDHFH film displayed an efficient sensitivity to cadmium because the paper’s high surface area made it possible for improved DCDHFH probe diffusion to serve as active detection sites for cadmium.

3.7. Effect of pH

Cadmium ions and DCDHFH chromophores are known for their sensitivity to acid/base conditions. Cadmium salt (250 ppm) was used to make an aqueous solution to investigate this claim. NaOH(aq) (1 N) and HCl(aq) (1 N) were used to modify the pH of the produced solution in the range of 5.5 to 6.3. Each solution’s absorbance spectrum was then measured as illustrated in Figure 8. The absorbance intensity of DCDHFH was not affected by pH values higher than 6.3 and lower than 5.5, indicating that no DCDHFH/Cd(II) complex has been formed. This could be attributed to the coagulation of cadmium ions in environments with pH values higher than 6.3, which prevents the absorption and diffusion of those coagulated cadmium ions throughout the microfibrous strip [40]. For pH values less than 5.5, the hydrazone chemosensor has a low capability to lose the N–H proton, making it hard to coordinate with cadmium and indicating that no DCDHFH/Cd(II) complex has been formed. The absorption intensity increased for the pH values ranging between 5.5 and 6.0, suggesting a possible binding interaction of the hydrazone chemosensor with cadmium to indicate that a DCDHFH/Cd(II) complex has been formed. This can be attributed to the nitrogen atoms in DCDHFH. These nitrogen atoms can act as coordination sites as long as the pH value is less than the pKa value of the hydrazone chemosensor [30]. Thus, paper sensors can be efficiently used to detect cadmium in the pH range of 5.5–6.3.

3.8. Colorimetric Properties of Dipstick

The present color assay was successfully used to identify cadmium in an aqueous sample on a quantitative and qualitative level. In order to detect the presence of cadmium in aqueous solutions, the hydrazone-immobilized strips were used. A chromogenic reaction produced a stable hydrazone–cadmium complex (Figure 9). Cadmium ions demonstrated a colorful change from yellow to red. Different colorimetric changes were detected between yellow, orange, and red, dependent on the cadmium concentration. At low concentrations, the cadmium ions coordinate with a partial quantity of the hydrazone chemosensor on the paper’s surface, leading to a partial colorimetric interaction. Such a partial coordination increases with the increasing cadmium concentration to introduce a range of various colors.
The sensor capacity to detect cadmium ions in aqueous environments was studied by K/S and CIE Lab (Table 3 and Table 4). Before and after cadmium ion exposure, the sensor maximum absorbance wavelength was measured. In the low concentrations of Cd(II), the maximum absorption wavelength was 471 nm, whereas 512 nm was detected in the high concentrations. When the cadmium salt concentration was raised, significant increases in K/S were observed. The DCDHFH-free blank strip had an off-white color with high L* (91.02), low a* (−0.07), and low b* values (1.16). The sensor strip’s CIE Lab readings varied widely to indicate darkening colors when the cadmium salt concentration was raised. An increase in the value of a*, switching from −a* to +a*, and a decrease in the value of the positive b* were detected, which signifies the transition from yellow to red.

4. Conclusions

A dichlorophenyl-substituted dicyanomethylene dihydrofuran hydrazone (DCDHFH) colorimetric chemosensor was prepared for sensing Cd(II) ions in water. The diazonium chloride of 2, 4-dichloroaniline was utilized in an azo-couple reaction with the DCDHF heterocycle to produce DCDHFH. The prepared sensor showed an exceptional selectivity and sensitivity for cadmium ions. Various aspects of cadmium-sensing performance, including sensitivity, selectivity, stability, and suitability for colorimetric identification in aqueous media, were thoroughly examined. Cadmium ions can be determined in tap water using the current hydrazone chemosensor. Solvatochromic, halochromic, and metallochromic properties were detected for DCDHFH, which showed a wide spectrum of colors in organic solvents of various polarities, including light orange, orange, and red. Additionally, these different colors were detected in varying metal ions and when using different concentrations of cadmium ions. Thus, DCDHFH displayed a good ability to detect solvent polarity and metal ions. Additionally, cadmium ions were detected in aqueous solutions using paper test strips immobilized with DCDHFH, demonstrating a change in color from yellow to orange and red with the increasing concentration of cadmium ions. The detection limit of the hydrazone-coated strip was in the range of 10–250 ppm. The optimum detection pH of cadmium by the hydrazone-coated strip was monitored in the range of 5.5–6.3. The detection procedure is dependent on the paper strip forming a colored DCDHFH/Cd(II) complex. The current colorimetric sensor that does not need electronic and electrical components can be used in place of previously reported complicated techniques that require difficult equipment and trained personnel, making them easier to use. Cadmium can be easily detected in drinking water and industrial samples using the current detection method.

Author Contributions

Conceptualization, I.E.-N. and T.A.K.; methodology, A.M.Y.; software, A.A.A.E.-H.; validation, E.-R.K., H.S.A.M. and I.E.-N.; formal analysis, T.A.K.; investigation, A.M.Y.; resources, T.A.K.; data curation, T.A.K.; writing—original draft preparation, E.-R.K.; writing—review and editing A.A.A.E.-H.; visualization, T.A.K.; supervision, T.A.K.; project administration, A.M.Y.; funding acquisition, A.M.Y. All authors have read and agreed to the published version of the manuscript.

Funding

This research received no external funding.

Institutional Review Board Statement

Not applicable.

Informed Consent Statement

Not applicable.

Data Availability Statement

Data available upon request.

Acknowledgments

The authors are thankful for the financial and technical support from the National Research Centre, Egypt.

Conflicts of Interest

The authors declare no conflict of interest.

References

  1. Yang, Q.; Li, Z.; Lu, X.; Duan, Q.; Huang, L.; Bi, J. A review of soil heavy metal pollution from industrial and agricultural regions in China: Pollution and risk assessment. Sci. Total Environ. 2018, 642, 690–700. [Google Scholar] [CrossRef] [PubMed]
  2. Vardhan, K.H.; Kumar, P.S.; Panda, R.C. A review on heavy metal pollution, toxicity and remedial measures: Current trends and future perspectives. J. Mol. Liq. 2019, 290, 111197. [Google Scholar] [CrossRef]
  3. Sharma, S.; Dutta, V.; Raizada, P.; Hosseini-Bandegharaei, A.; Singh, P.; Nguyen, V.-H. Tailoring cadmium sulfide-based photocatalytic nanomaterials for water decontamination: A review. Environ. Chem. Lett. 2021, 19, 271–306. [Google Scholar]
  4. Zhao, X.-M.; Yao, L.-A.; Ma, Q.-L.; Zhou, G.-J.; Wang, L.; Fang, Q.-L.; Xu, Z.-C. Distribution and ecological risk assessment of cadmium in water and sediment in Longjiang River, China: Implication on water quality management after pollution accident. Chemosphere 2018, 194, 107–116. [Google Scholar] [CrossRef]
  5. Mikhailenko, A.V.; Ruban, D.A.; Ermolaev, V.A.; van Loon, A.J. Cadmium pollution in the tourism environment: A literature review. Geosciences 2020, 10, 242. [Google Scholar] [CrossRef]
  6. Kubier, A.; Wilkin, R.T.; Pichler, T. Cadmium in soils and groundwater: A review. Appl. Geochem. 2019, 108, 104388. [Google Scholar] [CrossRef] [PubMed]
  7. Ebrahimi, M.; Khalili, N.; Razi, S.; Keshavarz-Fathi, M.; Khalili, N.; Rezaei, N. Effects of lead and cadmium on the immune system and cancer progression. J. Environ. Health Sci. Eng. 2020, 18, 335–343. [Google Scholar] [CrossRef]
  8. Zhong, Q.; Zhou, Y.; Tsang, D.C.W.; Liu, J.; Yang, X.; Yin, M.; Wu, S.; Wang, J.; Xiao, T.; Zhang, Z. Cadmium isotopes as tracers in environmental studies: A review. Sci. Total Environ. 2020, 736, 139585. [Google Scholar] [CrossRef]
  9. Xing, C.; Kuang, H.; Hao, C.; Liu, L.; Wang, L.; Xu, C. A silver enhanced and sensitive strip sensor for Cadmium detection. Food Agric. Immunol. 2014, 25, 287–300. [Google Scholar] [CrossRef]
  10. Li, W.; Zhang, X.; Hu, X.; Shi, Y.; Li, Z.; Huang, X.; Zhang, W.; Zhang, D.; Zou, X.; Shi, J. A smartphone-integrated ratiometric fluorescence sensor for visual detection of cadmium ions. J. Hazard. Mater. 2021, 408, 124872. [Google Scholar] [CrossRef]
  11. Hasan, N.; Salman, S.; Islam, A.; Znad, H.; Hasan, M. Sustainable composite sensor material for optical cadmium (II) monitoring and capturing from wastewater. Microchem. J. 2021, 161, 105800. [Google Scholar] [CrossRef]
  12. Shahat, A.; Kubra, K.T.; Salman, S.; Hasan, N.; Hasan, M. Novel solid-state sensor material for efficient cadmium (II) detection and capturing from wastewater. Microchem. J. 2021, 164, 105967. [Google Scholar] [CrossRef]
  13. Xu, Z.; Fan, X.; Ma, Q.; Tang, B.; Lu, Z.; Zhang, J.; Mo, G.; Ye, J.; Ye, J. A sensitive electrochemical sensor for simultaneous voltammetric sensing of cadmium and lead based on Fe3O4/multiwalled carbon nanotube/laser scribed graphene composites functionalized with chitosan modified electrode. Mater. Chem. Phys. 2019, 238, 121877. [Google Scholar] [CrossRef]
  14. Shin, W.-R.; Sekhon, S.S.; Rhee, S.-K.; Ko, J.H.; Ahn, J.-Y.; Min, J.; Kim, Y.-H. Aptamer-based paper strip sensor for detecting Vibrio fischeri. ACS Comb. Sci. 2018, 20, 261–268. [Google Scholar] [CrossRef] [PubMed]
  15. Sarwar, M.; Leichner, J.; Naja, G.M.; Li, C.-Z. Smart-phone, paper-based fluorescent sensor for ultra-low inorganic phosphate detection in environmental samples. Microsyst. Nanoeng. 2019, 5, 1–10. [Google Scholar] [CrossRef]
  16. Yan, Z.; Yuan, H.; Zhao, Q.; Xing, L.; Zheng, X.; Wang, W.; Zhao, Y.; Yu, Y.; Hu, L.; Yao, W. Recent developments of nanoenzyme-based colorimetric sensors for heavy metal detection and the interaction mechanism. Analyst 2020, 145, 3173–3187. [Google Scholar] [CrossRef]
  17. He, W.; Luo, L.; Liu, Q.; Chen, Z. Colorimetric sensor array for discrimination of heavy metal ions in aqueous solution based on three kinds of thiols as receptors. Anal. Chem. 2018, 90, 4770–4775. [Google Scholar] [CrossRef]
  18. Tamizselvi, R.; Napoleon, A.A. Fluorescent and Colorimetric Chemosensor for the Detection of Toxic Metal Ions of Mercury and Lead–A Mini Review. ECS Trans. 2022, 107, 16489. [Google Scholar]
  19. Ali, S.; Chen, X.; Shi, W.; Huang, G.; Yuan, L.-M.; Meng, L.; Chen, S.; Zhonghao, X.; Chen, X. Recent Advances in Silver and Gold Nanoparticles-Based Colorimetric Sensors for Heavy Metal Ions Detection: A Review. Crit. Rev. Anal. Chem. 2021, 1–33. [Google Scholar] [CrossRef]
  20. Moon, S.; Kim, C. Chalcone-Based Colorimetric Chemosensor for Detecting Ni2+. Chemosensors 2022, 10, 151. [Google Scholar] [CrossRef]
  21. Khattab, T.A.; El-Naggar, M.E.; Abdelrahman, M.S.; Aldalbahi, A.; Hatshan, M.R. Simple Development of Novel Reversible Colorimetric Thermometer Using Urea Organogel Embedded with Thermochromic Hydrazone Chromophore. Chemosensors 2020, 8, 132. [Google Scholar] [CrossRef]
  22. Abou-Yousef, H.; Khattab, T.A.; Youssef, Y.A.; Al-Balakocy, N.; Kamel, S. Novel cellulose-based halochromic test strips for naked-eye detection of alkaline vapors and analytes. Talanta 2017, 170, 137–145. [Google Scholar] [CrossRef] [PubMed]
  23. Wang, J.H.; Liu, Y.M.; Chao, J.B.; Wang, H.; Wang, Y.; Shuang, S.M. A simple but efficient fluorescent sensor for ratiometric sensing of Cd2+ and bio-imaging studies. Sens. Actuator B Chem. 2020, 303, 127216. [Google Scholar] [CrossRef]
  24. Zhang, D.; Li, S.; Lu, R.; Liu, G.; Pu, S. A multi-functional hydrazinobenzothiazole-based diarylethene derivative: Highly efficient discrimination cadmium ion from zinc ion and near-infrared absorption detection of hydroxide ion. Dyes Pigm. 2017, 146, 305–315. [Google Scholar] [CrossRef]
  25. Liu, H.; Cui, S.; Shi, F.; Pu, S. A diarylethene based multi-functional sensor for fluorescent detection of Cd2+ and colorimetric detection of Cu2+. Dyes Pigm. 2019, 161, 34–43. [Google Scholar] [CrossRef]
  26. Abdelrahman, M.S.; Khattab, T.A.; Kamel, S. Development of a novel colorimetric thermometer based on poly (N-vinylcaprolactam) with push–π–pull tricyanofuran hydrazone anion dye. New J. Chem. 2021, 45, 5382–5390. [Google Scholar] [CrossRef]
  27. El-Newehy, M.H.; El-Hamshary, H.; Salem, W.M. Solution blowing spinning technology towards green development of urea sensor nanofibers immobilized with hydrazone probe. Polymers 2021, 13, 531. [Google Scholar] [CrossRef]
  28. Al-Qahtani, S.D.; Habeebullah, T.M.; Alsoliemy, A.; Alzahrani, H.K.; Shah, R.; Alfi, A.A.; El-Metwaly, N.M. Preparation of polyvinyl alcohol reinforced with microcrystalline cellulose to function as test strips immobilized with a hydrazone chromophore for colorimetric identification of toxic ammonia. Mater. Chem. Phys. 2022, 275, 125218. [Google Scholar] [CrossRef]
  29. Alnoman, R.B.; Al-Qahtani, S.D.; Bayazeed, A.; Munshi, A.M.; Alsoliemy, A.; Alqarni, S.A.; El-Metwaly, N.M. Cellulose Acetate–Cellulose Nanowhisker Nanocomposite Immobilized with a DCDHF-Hydrazone Chromophore toward a Smart Test Strip for Colorimetric Detection of Diethyl Chlorophosphate as a Nerve Agent Mimic. ACS Omega 2022, 7, 5595–5604. [Google Scholar] [CrossRef]
  30. Sharmoukh, W.; Abdelrahman, M.S.; Shaban, E.; Khattab, T.A. Metallochromic Hydrazone-Based Chemosensor with Application in a Colorimetric Paper Strip for Selective Detection of Cu2+. ChemistrySelect 2022, 7, e202200811. [Google Scholar] [CrossRef]
  31. Al-Azmi, A.; John, E. Synthesis and characterization of novel tricyanofuran hydrazone probe: Solvatochromism, density-functional theory calculation and selective fluorescence, and colorimetric determination of iron (III). Luminescence 2021, 36, 1220–1230. [Google Scholar] [CrossRef] [PubMed]
  32. El-Naggar, M.E.; El-Newehy, M.H.; Aldalbahi, A.; Salem, W.M.; Khattab, T.A. Immobilization of anthocyanin extract from red-cabbage into electrospun polyvinyl alcohol nanofibers for colorimetric selective detection of ferric ions. J. Environ. Chem. Eng. 2021, 9, 105072. [Google Scholar] [CrossRef]
  33. Khattab, T.A.; El-Naggar, M.E.; Pannipara, M.; Wageh, S.; Abou Taleb, M.F.; Abu-Saied, M.A.; El-Tantawy El Sayed, I. Green metallochromic cellulose dipstick for Fe (III) using chitosan nanoparticles and cyanidin-based natural anthocyanins red-cabbage extract. Int. J. Biol. Macromol. 2022, 202, 269–277. [Google Scholar] [CrossRef]
  34. Abdelrahman, M.S.; Khattab, T.A.; Kamel, S. Hydrazone-Based Supramolecular Organogel for Selective Chromogenic Detection of Organophosphorus Nerve Agent Mimic. ChemistrySelect 2021, 6, 2002–2009. [Google Scholar] [CrossRef]
  35. Al-Qahtani, S.D.; Alnoman, R.B.; Snari, R.M.; Aljuhani, E.; Bayazeed, A.; Qurban, J.; El-Metwaly, N.M. Synthesis and Characterization of Novel Ionochromic Tricyanofuran-Based Phenothiazine Fluorophore: Cellulose-Based Xerogel for Colorimetric Detection of Toxic Cyanides. J. Polym. Environ. 2022, 30, 3107–3118. [Google Scholar] [CrossRef]
  36. Śmigiel-Kamińska, D.; Pośpiech, J.; Makowska, J.; Stepnowski, P.; Wąs-Gubała, J.; Kumirska, J. The identification of polyester fibers dyed with disperse dyes for forensic purposes. Molecules 2019, 24, 613. [Google Scholar] [CrossRef]
  37. Al-Qahtani, S.D.; Snari, R.M.; Al-Ahmed, Z.A.; Hossan, A.; Munshi, A.M.; Alfi, A.A.; El-Metwaly, N.M. Novel halochromic hydrazonal chromophore immobilized into rice-straw based cellulose aerogel for vapochromic detection of ammonia. J. Mol. Liq. 2022, 350, 118539. [Google Scholar] [CrossRef]
  38. Islam, S.; Bakhtiar, H.; Bidin, N.; Salim, A.A.; Riaz, S.; Krishnan, G.; Naseem, S. Crack-free high surface area silica-titania nanocomposite coating as opto-chemical sensor device. Sens. Actuator A Phys. 2018, 270, 153–161. [Google Scholar] [CrossRef]
  39. Kim, C.; Park, J.-C.; Choi, S.Y.; Kim, Y.; Seo, S.-Y.; Park, T.-E.; Kwon, S.-H.; Cho, B.; Ahn, J.-H. Self-formed channel devices based on vertically grown 2D materials with large-surface-area and their potential for chemical sensor applications. Small 2018, 14, 1704116. [Google Scholar] [CrossRef]
  40. Hu, T.; Xu, K.; Qiu, S.; Han, Y.; Chen, J.; Xu, J.; Chen, K.; Sun, Z.; Yi, H.; Ni, Z. Colorimetric detection of urine glucose using a C/CdTe QDs–GOx aerogel based on a microfluidic assay sensor. J. Mater. Chem. B 2020, 8, 7160–7165. [Google Scholar] [CrossRef]
Scheme 1. Synthesis of dicyanomethylene dihydrofuran (DCDHF).
Scheme 1. Synthesis of dicyanomethylene dihydrofuran (DCDHF).
Chemosensors 10 00451 sch001
Scheme 2. Synthesis of dichlorophenyl-bearing dicyanomethylene dihydrofuran hydrazone chromophore.
Scheme 2. Synthesis of dichlorophenyl-bearing dicyanomethylene dihydrofuran hydrazone chromophore.
Chemosensors 10 00451 sch002
Figure 1. Absorption spectra of the hydrazone chemosensor in a range of different solvents.
Figure 1. Absorption spectra of the hydrazone chemosensor in a range of different solvents.
Chemosensors 10 00451 g001
Scheme 3. Proposed mechanism demonstrating partial deprotonation of DCDHFH (H-bond acceptor) in the presence of protic solvents (H-bond acceptor).
Scheme 3. Proposed mechanism demonstrating partial deprotonation of DCDHFH (H-bond acceptor) in the presence of protic solvents (H-bond acceptor).
Chemosensors 10 00451 sch003
Figure 2. pH-dependent absorbance wavelength of DCDHFH in CH3CN (conc. 3.0 × 10−6 mol L−1) at various pH levels (top), demonstrating color change between light orange ((a); pH 5.5), orange ((b); pH 6.7), and red ((c); pH 7.9) (bottom).
Figure 2. pH-dependent absorbance wavelength of DCDHFH in CH3CN (conc. 3.0 × 10−6 mol L−1) at various pH levels (top), demonstrating color change between light orange ((a); pH 5.5), orange ((b); pH 6.7), and red ((c); pH 7.9) (bottom).
Chemosensors 10 00451 g002
Scheme 4. Suggested mechanism for the pH sensory of DCDHFH.
Scheme 4. Suggested mechanism for the pH sensory of DCDHFH.
Chemosensors 10 00451 sch004
Figure 3. Absorbance spectra of hydrazone dye in CH3CN/aqueous (1:10) media of different metal ions (top), demonstrating color change between red (cadmium salt) and light orange (metal-free solution and other metal salt-containing solutions) (bottom).
Figure 3. Absorbance spectra of hydrazone dye in CH3CN/aqueous (1:10) media of different metal ions (top), demonstrating color change between red (cadmium salt) and light orange (metal-free solution and other metal salt-containing solutions) (bottom).
Chemosensors 10 00451 g003
Figure 4. Absorbance spectra at various concentrations of cadmium salt; 10 (a), 25 (b), 50 (c), 100 (d), 150 (e), 200 (f), and 250 (g) ppm.
Figure 4. Absorbance spectra at various concentrations of cadmium salt; 10 (a), 25 (b), 50 (c), 100 (d), 150 (e), 200 (f), and 250 (g) ppm.
Chemosensors 10 00451 g004
Figure 5. Photographs of test strips after exposure to different concentrations of cadmium ions in an aqueous medium, illustrating color change between yellow ((a); 0 ppm), orange ((b); 10 ppm), and red ((c); 250 ppm).
Figure 5. Photographs of test strips after exposure to different concentrations of cadmium ions in an aqueous medium, illustrating color change between yellow ((a); 0 ppm), orange ((b); 10 ppm), and red ((c); 250 ppm).
Chemosensors 10 00451 g005
Figure 6. Color change in DCDHFH-immobilized strip for different metal ions (250 ppm) in aqueous medium.
Figure 6. Color change in DCDHFH-immobilized strip for different metal ions (250 ppm) in aqueous medium.
Chemosensors 10 00451 g006
Figure 7. SEM images of hydrazone-immobilized strips before (ac) and after (df) exposure to cadmium solution.
Figure 7. SEM images of hydrazone-immobilized strips before (ac) and after (df) exposure to cadmium solution.
Chemosensors 10 00451 g007
Figure 8. Absorbance intensities at 512 nm for paper strips immersed in aqueous cadmium ions (250 ppm) at different pH values.
Figure 8. Absorbance intensities at 512 nm for paper strips immersed in aqueous cadmium ions (250 ppm) at different pH values.
Chemosensors 10 00451 g008
Figure 9. Proposed mechanism for the formation of hydrazone–cadmium complex.
Figure 9. Proposed mechanism for the formation of hydrazone–cadmium complex.
Chemosensors 10 00451 g009
Table 1. Maximum absorbance wavelength of the hydrazone chemosensor in various solvents.
Table 1. Maximum absorbance wavelength of the hydrazone chemosensor in various solvents.
Solventλmax (nm)
Methanol466
Cyclohexanone473
Ethyl acetate455
n-Propanol500
iso-Propanol466
Dimethylformamide508
Chloroform468
Acetonitrile460
1,4-Dioxane457
Dimethyl sulfoxide471
Table 2. Absorbance maxima of the hydrazone dye in CH3CN/aqueous (1:10) media of different metal salts.
Table 2. Absorbance maxima of the hydrazone dye in CH3CN/aqueous (1:10) media of different metal salts.
Metalλmax (nm)
Free482
CrCl3464
CuCl2464
FeCl3464
AlCl3464
PbCl2480
CaCl2484
CdCl2507
NaCl484
CoCl3464
BaCl2478
MgCl2480
Table 3. Colorimetric screening of test dipstick at various cadmium concentration levels.
Table 3. Colorimetric screening of test dipstick at various cadmium concentration levels.
Cd(II) (ppm)Paper ColorL*a*b*K/S
ZeroYellow68.60−4.8815.941.86
1Yellow67.10−2.9114.032.02
10Orange65.86−1.9611.482.46
25Orange63.275.2110.292.82
50Orange59.385.9710.403.32
100Orange55.026.919.193.76
150Red50.098.337.975.45
200Red47.2110.656.717.53
250Red45.9513.245.887.99
300Red44.9016.015.248.14
350Red44.6317.514.978.58
Table 4. Colorimetric parameters of paper test sensor for various metal ions (250 ppm).
Table 4. Colorimetric parameters of paper test sensor for various metal ions (250 ppm).
MetalsPaper ColorL*a*b*K/S
CrCl3Yellow68.73−4.8815.322.69
CuCl2Yellow66.29−3.3513.992.80
FeCl3Yellow66.86−3.2513.172.54
AlCl3Yellow68.02−4.8914.462.62
PbCl2Yellow68.71−4.7415.041.98
CaCl2Yellow65.32−2.2212.831.93
CoCl3Yellow59.29−0.589.442.12
NaClYellow62.41−1.0210.962.27
CdCl2Red45.9513.245.887.99
BaCl2Yellow63.45−1.9212.212.81
MgCl2Yellow61.33−1.1111.492.66
Publisher’s Note: MDPI stays neutral with regard to jurisdictional claims in published maps and institutional affiliations.

Share and Cite

MDPI and ACS Style

El-Nagar, I.; Youssef, A.M.; Abd El-Hakim, A.A.; Kenawy, E.-R.; Mandour, H.S.A.; Khattab, T.A. Novel Hydrazone Chromophore Sensor for Metallochromic Determination of Cadmium Ions. Chemosensors 2022, 10, 451. https://doi.org/10.3390/chemosensors10110451

AMA Style

El-Nagar I, Youssef AM, Abd El-Hakim AA, Kenawy E-R, Mandour HSA, Khattab TA. Novel Hydrazone Chromophore Sensor for Metallochromic Determination of Cadmium Ions. Chemosensors. 2022; 10(11):451. https://doi.org/10.3390/chemosensors10110451

Chicago/Turabian Style

El-Nagar, Islam, Ahmed M. Youssef, A. A. Abd El-Hakim, El-Refaie Kenawy, Hamada S. A. Mandour, and Tawfik A. Khattab. 2022. "Novel Hydrazone Chromophore Sensor for Metallochromic Determination of Cadmium Ions" Chemosensors 10, no. 11: 451. https://doi.org/10.3390/chemosensors10110451

APA Style

El-Nagar, I., Youssef, A. M., Abd El-Hakim, A. A., Kenawy, E.-R., Mandour, H. S. A., & Khattab, T. A. (2022). Novel Hydrazone Chromophore Sensor for Metallochromic Determination of Cadmium Ions. Chemosensors, 10(11), 451. https://doi.org/10.3390/chemosensors10110451

Note that from the first issue of 2016, this journal uses article numbers instead of page numbers. See further details here.

Article Metrics

Back to TopTop