A Fluorescence-Based Chemical Sensor for Detection of Melamine in Aqueous Solutions
Abstract
:1. Introduction
2. Materials and Methods
2.1. Synthesis of CB
2.2. Preparation of CB Aggregates and Study of Absorption/Emission Profiles
2.3. Binding Studies
2.3.1. Fluorescence Titrations
2.3.2. Measurements Using 96-Well Plates
2.3.3. Analysis of Dairy Products
3. Results and Discussion
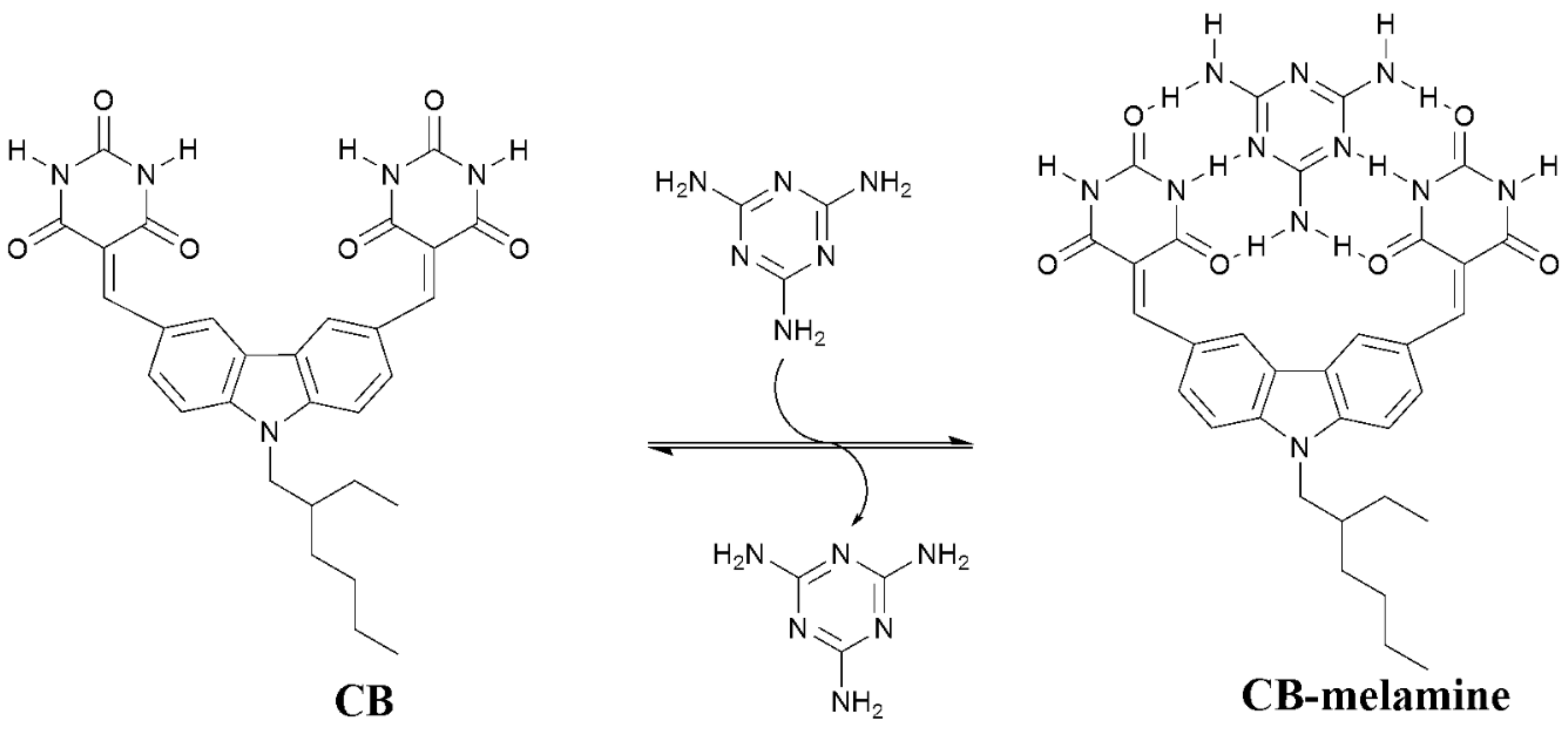
3.1. Design and Synthesis of CB
3.2. Binding Studies of CB to Melamine
3.3. Design and Studies of AIE Assay for Detection of Melamine
4. Conclusions
Supplementary Materials
Author Contributions
Funding
Institutional Review Board Statement
Informed Consent Statement
Data Availability Statement
Acknowledgments
Conflicts of Interest
Disclaimer
References
- Tyan, Y.-C.; Yang, M.-H.; Jong, S.-B.; Wang, C.-K.; Shiea, J. Melamine Contamination. Anal. Bioanal. Chem. 2009, 395, 729–735. [Google Scholar] [CrossRef] [PubMed]
- Singh, P.; Gandhi, N. Milk Preservatives and Adulterants: Processing, Regulatory and Safety Issues. Food Rev. Int. 2015, 31, 236–261. [Google Scholar] [CrossRef]
- World Health Organization & Food and Agriculture Organization of United Nations. Toxicological and Health Aspects of Melamine and Cyanuric Acid: Report of a WHO Expert Meeting in Collaboration with FAO, Supported by Health Canada, Ottawa, Canada, 1–4 December 2008; World Health Organization: Geneva, Switzerland, 2009. [Google Scholar]
- Neng, J.; Tan, J.; Jia, K.; Sun, P. A Fast and Cost-Effective Detection of Melamine by Surface Enhanced Raman Spectroscopy Using a Novel Hydrogen Bonding-Assisted Supramolecular Matrix and Gold-Coated Magnetic Nanoparticles. Appl. Sci. 2017, 7, 475. [Google Scholar] [CrossRef] [Green Version]
- Rovina, K.; Siddiquee, S. A Review of Recent Advances in Melamine Detection Techniques. J. Food Compos. Anal. 2015, 43, 25–38. [Google Scholar] [CrossRef]
- Li, Y.; Xu, J.; Sun, C. Chemical Sensors and Biosensors for the Detection of Melamine. RSC Adv. 2015, 5, 1125–1147. [Google Scholar] [CrossRef]
- Ai, K.; Liu, Y.; Lu, L. Hydrogen-Bonding Recognition-Induced Color Change of Gold Nanoparticles for Visual Detection of Melamine in Raw Milk and Infant Formula. J. Am. Chem. Soc. 2009, 131, 9496–9497. [Google Scholar] [CrossRef]
- Wu, Z.; Zhao, H.; Xue, Y.; He, Y.; Li, X.; Yuan, Z. Colorimetric Determination of Melamine by Pyridine-3-Boronic Acid Modified Gold Nanoparticles. J. Nanosci. Nanotechnol. 2012, 12, 2412–2416. [Google Scholar] [CrossRef]
- Shellaiah, M.; Sun, K. Review on Nanomaterial-Based Melamine Detection. Chemosensors 2019, 7, 9. [Google Scholar] [CrossRef] [Green Version]
- Siddiquee, S.; Saallah, S.; Bohari, N.A.; Ringgit, G.; Roslan, J.; Naher, L.; Hasan Nudin, N.F. Visual and Optical Absorbance Detection of Melamine in Milk by Melamine-Induced Aggregation of Gold Nanoparticles. Nanomaterials 2021, 11, 1142. [Google Scholar] [CrossRef]
- Aberkane, F.; Abdou, I.; Zine, N.; Jaffrezic-Renault, N.; Elaissari, A.; Errachid, A. Sensor Based on a Poly[2-(Dimethylamino)Ethyl Methacrylate-Co-Styrene], Gold Nanoparticles, and Methylene Blue-Modified Glassy Carbon Electrode for Melamine Detection. Sensors 2021, 21, 2850. [Google Scholar] [CrossRef]
- Oh, S.; Lee, M.; Heo, N.; Kim, S.; Oh, J.; Lee, Y.; Jeon, E.; Moon, H.; Kim, H.; Park, T.; et al. Cuvette-Type LSPR Sensor for Highly Sensitive Detection of Melamine in Infant Formulas. Sensors 2019, 19, 3839. [Google Scholar] [CrossRef] [Green Version]
- Ritota, M.; Manzi, P. Melamine Detection in Milk and Dairy Products: Traditional Analytical Methods and Recent Developments. Food Anal. Methods 2018, 11, 128–147. [Google Scholar] [CrossRef]
- Zeilinger, M.; Sussitz, H.; Cuypers, W.; Jungmann, C.; Lieberzeit, P. Mass-Sensitive Sensing of Melamine in Dairy Products with Molecularly Imprinted Polymers: Matrix Challenges. Sensors 2019, 19, 2366. [Google Scholar] [CrossRef] [Green Version]
- Hilding-Ohlsson, A.; Fauerbach, J.A.; Sacco, N.J.; Bonetto, M.C.; Cortón, E. Voltamperometric Discrimination of Urea and Melamine Adulterated Skimmed Milk Powder. Sensors 2012, 12, 12220–12234. [Google Scholar] [CrossRef] [Green Version]
- Yagai, S.; Higashi, M.; Karatsu, T.; Kitamura, A. Binary Supramolecular Gels Based on Bismelamine·Cyanurate/Barbiturate Noncovalent Polymers. Chem. Mater. 2004, 16, 3582–3585. [Google Scholar] [CrossRef]
- Yagai, S. Supramolecularly Engineered Functional π-Assemblies Based on Complementary Hydrogen-Bonding Interactions. Bull. Chem. Soc. Jpn. 2015, 88, 28–58. [Google Scholar] [CrossRef]
- Kong, X.; Du, X. In Situ IRRAS Studies of Molecular Recognition of Barbituric Acid Lipids to Melamine at the Air–Water Interface. J. Phys. Chem. B 2011, 115, 13191–13198. [Google Scholar] [CrossRef]
- Salimi Beni, A.; Zarandi, M.; Madram, A.R.; Bayat, Y.; Najafi Chermahini, A.; Ghahary, R. Synthesis and Characterization of Organic Dyes Bearing New Electron-Withdrawing Group for Dye-Sensitized Solar Cells. Electrochim. Acta 2015, 186, 504–511. [Google Scholar] [CrossRef]
- Zou, Q.; Tao, F.; Wu, H.; Yu, W.W.; Li, T.; Cui, Y. A New Carbazole-Based Colorimetric and Fluorescent Sensor with Aggregation Induced Emission for Detection of Cyanide Anion. Dyes. Pigment. 2019, 164, 165–173. [Google Scholar] [CrossRef]
- Yin, G.; Ma, Y.; Xiong, Y.; Cao, X.; Li, Y.; Chen, L. Enhanced AIE and Different Stimuli-Responses in Red Fluorescent (1,3-Dimethyl)Barbituric Acid-Functionalized Anthracenes. J. Mater. Chem. C 2016, 4, 751–757. [Google Scholar] [CrossRef]
- Kappi, F.A.; Tsogas, G.Z.; Giokas, D.L.; Christodouleas, D.C.; Vlessidis, A.G. Colorimetric and Visual Read-out Determination of Cyanuric Acid Exploiting the Interaction between Melamine and Silver Nanoparticles. Microchim. Acta 2014, 181, 623–629. [Google Scholar] [CrossRef]
- Wei, F.; Lam, R.; Cheng, S.; Lu, S.; Ho, D.; Li, N. Rapid Detection of Melamine in Whole Milk Mediated by Unmodified Gold Nanoparticles. Appl. Phys. Lett. 2010, 96, 133702. [Google Scholar] [CrossRef] [Green Version]
- Simanek, E.E.; Li, X.; Choi, I.S.; Whitesides, G.M. Cyanuric Acid and Melamine: A Platform for the Construction of Soluble Aggregates and Crystalline Materials. In Templating, Self-Assembly and Self-Organization; Sauvage, J.-P., Hosseini, M.W., Eds.; Elsevier Science: Oxford, UK, 1996; pp. 595–621. [Google Scholar]
- Sun, F.; Liu, L.; Kuang, H.; Xu, C. Development of ELISA for Melamine Detection in Milk Powder. Food Agric. Immunol. 2013, 24, 79–86. [Google Scholar] [CrossRef]
- Tsoi, T.-H.; Wong, W.-T. A Simple, Highly Sensitive, High Throughput and Organic Solvent-Free Screening Method for Melamine by Microsphere-Based Flow Cytometry Immunoassay. Anal. Methods 2015, 7, 5989–5995. [Google Scholar] [CrossRef]
- Wang, T.-T.; Xuan, R.-R.; Ma, J.-F.; Tan, Y.; Jin, Z.-F.; Chen, Y.-H.; Zhang, L.-H.; Zhang, Y.-K. Using Activated Attapulgite as Sorbent for Solid-Phase Extraction of Melamine in Milk Formula Samples. Anal. Bioanal. Chem. 2016, 408, 6671–6677. [Google Scholar] [CrossRef]
- Yun, W.; Li, H.; Chen, S.; Tu, D.; Xie, W.; Huang, Y. Aptamer-Based Rapid Visual Biosensing of Melamine in Whole Milk. Eur. Food Res. Technol. 2014, 238, 989–995. [Google Scholar] [CrossRef]
- Rajapandiyan, P.; Tang, W.-L.; Yang, J. Rapid Detection of Melamine in Milk Liquid and Powder by Surface-Enhanced Raman Scattering Substrate Array. Food Control 2015, 56, 155–160. [Google Scholar] [CrossRef]
- Miao, H.; Fan, S.; Wu, Y.-N.; Zhang, L.; Zhou, P.-P.; Chen, H.-J.; Zhao, Y.-F.; Li, J.-G. Simultaneous Determination of Melamine, Ammelide, Ammeline, and Cyanuric Acid in Milk and Milk Products by Gas Chromatography-Tandem Mass Spectrometry. Biomed. Environ. Sci. 2009, 22, 87–94. [Google Scholar] [CrossRef]
- Ma, P.; Liang, F.; Sun, Y.; Jin, Y.; Chen, Y.; Wang, X.; Zhang, H.; Gao, D.; Song, D. Rapid Determination of Melamine in Milk and Milk Powder by Surface-Enhanced Raman Spectroscopy and Using Cyclodextrin-Decorated Silver Nanoparticles. Microchim. Acta 2013, 180, 1173–1180. [Google Scholar] [CrossRef]
- Daizy, M.; Tarafder, C.; Al-Mamun, M.R.; Liu, X.; Aly Saad Aly, M.; Khan, M.Z.H. Electrochemical Detection of Melamine by Using Reduced Graphene Oxide–Copper Nanoflowers Modified Glassy Carbon Electrode. ACS Omega 2019, 4, 20324–20329. [Google Scholar] [CrossRef] [PubMed] [Green Version]
- Shrivastav, A.M.; Mishra, S.K.; Gupta, B.D. Fiber Optic SPR Sensor for the Detection of Melamine Using Molecular Imprinting. Sens. Actuators B Chem. 2015, 212, 404–410. [Google Scholar] [CrossRef]
- Yilmaz, Ü.T.; Yazar, Z. Determination of Melamine by Differential Pulse Polarography/Application to Milk and Milk Powder. Food Anal. Methods 2012, 5, 119–125. [Google Scholar] [CrossRef]







Publisher’s Note: MDPI stays neutral with regard to jurisdictional claims in published maps and institutional affiliations. |
© 2021 by the authors. Licensee MDPI, Basel, Switzerland. This article is an open access article distributed under the terms and conditions of the Creative Commons Attribution (CC BY) license (https://creativecommons.org/licenses/by/4.0/).
Share and Cite
Radha, R.; Vitor, R.F.; Al-Sayah, M.H. A Fluorescence-Based Chemical Sensor for Detection of Melamine in Aqueous Solutions. Chemosensors 2022, 10, 13. https://doi.org/10.3390/chemosensors10010013
Radha R, Vitor RF, Al-Sayah MH. A Fluorescence-Based Chemical Sensor for Detection of Melamine in Aqueous Solutions. Chemosensors. 2022; 10(1):13. https://doi.org/10.3390/chemosensors10010013
Chicago/Turabian StyleRadha, Remya, Rute F. Vitor, and Mohammad Hussein Al-Sayah. 2022. "A Fluorescence-Based Chemical Sensor for Detection of Melamine in Aqueous Solutions" Chemosensors 10, no. 1: 13. https://doi.org/10.3390/chemosensors10010013
APA StyleRadha, R., Vitor, R. F., & Al-Sayah, M. H. (2022). A Fluorescence-Based Chemical Sensor for Detection of Melamine in Aqueous Solutions. Chemosensors, 10(1), 13. https://doi.org/10.3390/chemosensors10010013

