Tensiomyographic Neuromuscular Response of the Peroneus Longus and Tibialis Anterior with Chronic Ankle Instability
Abstract
1. Introduction
2. Materials and Methods
2.1. Study Design and Setting
2.2. Subjects
2.3. Procedures
2.3.1. Tensiomyography (TMG) Assessment
2.3.2. Muscle Strength Measurement
2.3.3. Ultrasound Measurement
2.4. Statistical Analyses
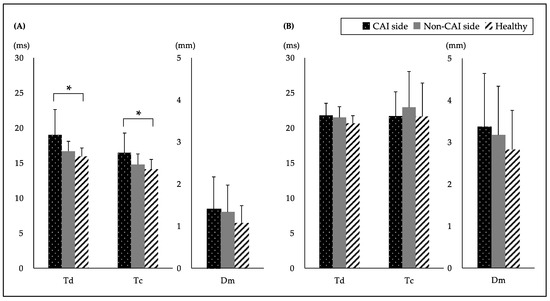
3. Results
4. Discussion
5. Conclusions
Author Contributions
Funding
Institutional Review Board Statement
Informed Consent Statement
Acknowledgments
Conflicts of Interest
References
- Herzog, M.M.; Kerr, Z.Y.; Marshall, S.W.; Wikstrom, E.A. Epidemiology of ankle sprains and chronic ankle instability. J. Athl. Train. 2019, 54, 603–610. [Google Scholar] [CrossRef] [PubMed]
- Roos, K.G.; Kerr, Z.Y.; Mauntel, T.C.; Djoko, A.; Dompier, T.P.; Wikstrom, E.A. The epidemiology of lateral ligament complex ankle sprains in National Collegiate Athletic Association Sports. Am. J. Sports Med. 2017, 45, 201–209. [Google Scholar] [CrossRef] [PubMed]
- Lorenzo-Sánchez-Aguilera, C.; Rodríguez-Sanz, D.; Gallego-Izquierdo, T.; Làzaro-Navas, I.; Plaza-Rodrìguez, J.; Navarro-Santana, M.; Pecos-Martìn, D. Neuromuscular Mechanosensitivity in Subjects with Chronic Ankle Sprain: A Cross-Sectional Study. Pain Med. 2020, 21, 1991–1998. [Google Scholar] [CrossRef] [PubMed]
- Sierra-Guzmán, R.; Jiménez, F.; Abián-Vicén, J. Predictors of chronic ankle instability: Analysis of peroneal reaction time, dynamic balance and isokinetic strength. Clin. Biomech. 2018, 54, 28–33. [Google Scholar] [CrossRef]
- Terrier, R.; Degache, F.; Fourchet, F.; Gojanovic, B.; Forestier, N. Assessment of evertor weakness in patients with chronic ankle instability: Functional versus isokinetic testing. Clin. Biomech. 2017, 41, 54–59. [Google Scholar] [CrossRef]
- Attenborough, A.S.; Hiller, C.E.; Smith, R.M.; Stuelcken, M.; Greene, A.; Sinclair, P.J. Chronic Ankle Instability in Sporting Populations. Sport Med. 2014, 44, 1545–1556. [Google Scholar] [CrossRef]
- Hertel, J.; Corbett, R.O. An updated model of chronic ankle instability. J. Athl. Train. 2019, 54, 572–588. [Google Scholar] [CrossRef]
- Malliaropoulos, N.; Ntessalen, M.; Papacostas, E.; Longo, U.G.; Maffulli, N. Reinjury after acute lateral ankle sprains in elite track and field athletes. Am. J. Sports Med. 2009, 37, 1755–1761. [Google Scholar] [CrossRef]
- Fong, D.T.P.; Ha, S.C.W.; Mok, K.M.; Chan, C.W.L.; Chan, K.M. Kinematics analysis of ankle inversion ligamentous sprain injuries in sports: Five cases from televised tennis competitions. Am. J. Sports Med. 2012, 40, 2627–2632. [Google Scholar] [CrossRef]
- Ringleb, S.I.; Dhakal, A.; Anderson, C.D.; Bawab, S.; Paranjape, R. Effects of lateral ligament sectioning on the stability of the ankle and subtalar joint. J. Orthop. Res. 2011, 29, 1459–1464. [Google Scholar] [CrossRef]
- Abdeen, R.; Comfort, P.; Starbuck, C.; Nester, C. Ultrasound characteristics of foot and ankle structures in healthy, coper, and chronically unstable ankles. J. Ultrasound Med. 2019, 38, 917–926. [Google Scholar] [CrossRef]
- Davda, K.; Malhotra, K.; O’Donnell, P.; Singh, D.; Cullen, N. Peroneal tendon disorders. EFORT Open Rev. 2017, 2, 281–292. [Google Scholar] [CrossRef]
- Donahue, M.S.; Docherty, C.L.; Riley, Z.A. Decreased fibularis reflex response during inversion perturbations in FAI subjects. J. Electromyogr. Kinesiol. 2014, 24, 84–89. [Google Scholar] [CrossRef] [PubMed]
- Méndez-Rebolledo, G.; Guzmán-Muñoz, E.; Gatica-Rojas, V.; Zbinden-Foncea, H. Longer reaction time of the fibularis longus muscle and reduced postural control in basketball players with functional ankle instability: A pilot study. Phys. Ther. Sport. 2015, 16, 242–247. [Google Scholar] [CrossRef] [PubMed]
- Hoch, M.C.; McKeon, P.O. Peroneal reaction time after ankle sprain: A systematic review and meta-analysis. Med. Sci. Sports Exerc. 2014, 46, 546–556. [Google Scholar] [CrossRef] [PubMed]
- Kazemi, K.; Arab, A.M.; Abdollahi, I.; López-López, D.; Calvo-Lobo, C. Electromiography comparison of distal and proximal lower limb muscle activity patterns during external perturbation in subjects with and without functional ankle instability. Hum. Mov. Sci. 2017, 55, 211–220. [Google Scholar] [CrossRef]
- Álvarez-Díaz, P.; Alentorn-Geli, E.; Ramon, S.; Marín, M.; Steinbacher, G.; Rius, M.; Seijas, R.; Ballester, J.; Cugat, R. Effects of anterior cruciate ligament reconstruction on neuromuscular tensiomyographic characteristics of the lower extremity in competitive male soccer players. Knee Surg. Sport Traumatol. Arthrosc. 2015, 23, 3407–3413. [Google Scholar] [CrossRef] [PubMed]
- Loturco, I.; Pereira, L.A.; Kobal, R.; Kitamura, K.; Ramírez-Campillo, R.; Zanetti, V.; Cal Abad, C.C.; Nakamura, F.Y. Muscle contraction velocity: A suitable approach to analyze the functional adaptations in elite soccer players. J. Sport Sci. Med. 2016, 15, 483–491. [Google Scholar]
- Gribble, P.A.; Delahunt, E.; Bleakley, C.M.; Caulfield, B.; Docherty, C.L. Selection criteria for patients with chronic ankle instability in controlled research: A position statement of the international ankle consortium. J. Athl. Train. 2014, 49, 121–127. [Google Scholar] [CrossRef] [PubMed]
- Fujishita, H.; Maeda, N.; Urabe, Y.; Komiya, M.; Sakai, S.; Fukuhara, K.; Kimura, H.; Adachi, N. Tensiomyographic changes of muscle contractile properties in individuals with lower-limb amputation: A pilot study. J. Dev. Behav. Pediatr. 2021. online ahead of print. [Google Scholar] [CrossRef]
- Rey, E.; Lago-peñas, C.; Lago-ballesteros, J. Tensiomyography of selected lower-limb muscles in professional soccer players. J. Electromyogr. Kinesiol. 2012, 22, 866–872. [Google Scholar] [CrossRef] [PubMed]
- Delagi, E.; Perotto, A.; Iazetti, J.; Morrison, D. Anatomical Guide for the Electromyographer: The Limbs; Charles, C., Ed.; Thomas: Springfield, IL, USA, 1975. [Google Scholar]
- Lohr, C.; Schmidt, T.; Medina-Porqueres, I.; Braumann, K.M.; Reer, R.; Porthun, J. Diagnostic accuracy, validity, and reliability of Tensiomyography to assess muscle function and exercise-induced fatigue in healthy participants. A systematic review with meta-analysis. J. Electromyogr. Kinesiol. 2019, 47, 65–87. [Google Scholar] [CrossRef] [PubMed]
- Crofts, G.; Angin, S.; Mickle, K.J.; Hill, S.; Nester, C.J. Reliability of ultrasound for measurement of selected foot structures. Gait Posture 2014, 39, 35–39. [Google Scholar] [CrossRef]
- Koldenhoven, R.M.; Fraser, J.J.; Saliba, S.A.; Hertel, J. Ultrasonography of gluteal and fibularis muscles during exercises in individuals with a history of lateral ankle sprain. J. Athl. Train. 2019, 54, 1287–1295. [Google Scholar] [CrossRef]
- García-Manso, J.M. Assessment of muscle fatigue after an ultra-endurance triathlon using tensiomyography. Int. J. Comput. Integr. Manuf. 2011, 29, 792–803. [Google Scholar] [CrossRef] [PubMed]
- Simunič, B.; Degens, H.; Rittweger, J.; Narici, M.; Mekjavić, I.B.; Pišot, R. Noninvasive estimation of myosin heavy chain composition in human skeletal muscle. Med. Sci. Sports Exerc. 2011, 43, 1619–1625. [Google Scholar] [CrossRef] [PubMed]
- Clarkson, P.M.; Hubal, M.J. Exercise-induced muscle damage in humans. Am. J. Phys. Med. Rehabil. 2002, 81, S52–S69. [Google Scholar] [CrossRef]
- Ebig, M.; Lephart, S.M.; Burdett, R.G.; Miller, M.C.; Pincivero, D.M. The Effect of sudden inversion stress on EMG activity of the peroneal and tibialis anterior muscles in the chronically unstable ankle. J. Orthop. Sports Phys. Ther. 1997, 26, 73–77. [Google Scholar] [CrossRef]
- Webster, C.A.; Nussbaum, M.A. Localized ankle fatigue development and fatigue perception in adults with or without chronic ankle instability. J. Athl. Train. 2016, 51, 491–497. [Google Scholar] [CrossRef]
- Cho, B.K.; Park, J.K.; Choi, S.M.; Kang, S.W.; SooHoo, N.F. The peroneal strength deficits in patients with chronic ankle instability compared to ankle sprain copers and normal individuals. Foot Ankle Surg. 2019, 25, 231–236. [Google Scholar] [CrossRef]
- Donnelly, L.; Donovan, L.; Hart, J.M.; Hertel, J. Eversion strength and surface electromyography measures with and without chronic ankle instability measured in 2 positions. Foot Ankle Int. 2017, 38, 769–778. [Google Scholar] [CrossRef] [PubMed]
- Ahn, S.H.; Hwang, U.J.; Gwak, G.T.; Yoo, H.I.; Kwon, O.Y. Comparison of the strength and electromyography of the evertor muscles with and without toe flexion in patients with chronic ankle instability. Foot Ankle Int. 2020, 41, 479–485. [Google Scholar] [CrossRef] [PubMed]
- Maeda, N.; Urabe, Y.; Tsutsumi, S.; Fujishita, H.; Numano, S.; Takeuchi, T.; Hirata, K.; Mikami, Y.; Kimura, H. Symmetry tensiomyographic neuromuscular response after chronic anterior cruciate ligament (ACL) reconstruction. Knee Surg. Sport Traumatol. Arthrosc. 2018, 26, 411–417. [Google Scholar] [CrossRef] [PubMed]
- Feger, M.A.; Snell, S.; Handsfield, G.G.; Blemker, S.S.; Wombacher, E.; Fry, R.; Hart, J.; Saliba, S.; Park, J.S.; Hertel, J. Diminished foot and ankle muscle volumes in young adults with chronic ankle instability. Orthop. J. Sports Med. 2016, 4, 1–8. [Google Scholar] [CrossRef] [PubMed]
- Pišot, R.; Narici, M.V.; Šimunič, B.; De Boer, M.; Seynnes, O.; Jurdana, M.; Biolo, G.; Mekjavic, I. Whole muscle contractile parameters and thickness loss during 35-day bed rest. Eur. J. Appl. Physiol. 2008, 104, 409–414. [Google Scholar] [CrossRef]

| Variables | CAI Group (n = 12) | Healthy Group (n = 11) | p Value |
|---|---|---|---|
| Age (years) | 21.4 ± 1.4 | 22.4 ± 1.4 | n.s. |
| Sex (men:women) | 11:1 | 9:2 | n.s. |
| Height (cm) | 172.4 ± 7.8 | 168.6 ± 8.3 | n.s. |
| Mass (kg) | 64.2 ± 8.7 | 60.8 ± 11.0 | n.s. |
| Body mass index (kg/cm2) | 21.6 ± 2.4 | 21.2 ± 2.4 | n.s. |
| Cumberland Ankle Instability Tool | 18.5 ± 4.7 | 28.1 ± 1.4 | <0.001 |
| Number of lateral ankle sprains | 5.8 ± 3.2 | 0.0 ± 0.0 | <0.001 |
| Motion | Angular Velocity (°/s) | CAI Side (n = 12) | Non-CAI Side (n = 12) | Healthy (n = 11) | p Value | Post-Hoc | Effect Size | Observed Power |
|---|---|---|---|---|---|---|---|---|
| NPT (Nm/kg) | ||||||||
| Eversion | 60 | 40.85 ± 14.18 | 42.32 ± 16.80 | 37.25 ± 8.23 | n.s. | NA | 0.03 | 1.00 |
| 180 | 29.48 ± 9.23 | 27.39 ± 7.38 | 26.16 ± 4.83 | n.s. | NA | 0.01 | 0.94 | |
| Inversion | 60 | 45.93 ± 14.15 | 48.13 ± 12.62 | 49.89 ± 16.25 | n.s. | NA | 0.04 | 0.99 |
| 180 | 37.18 ± 8.80 | 34.91 ± 7.43 | 38.70 ± 12.71 | n.s. | NA | 0.03 | 0.98 | |
| NMW (J/kg) | ||||||||
| Eversion | 60 | 35.46 ± 11.07 | 35.39 ± 11.32 | 34.41 ± 8.50 | n.s. | NA | 0.00 | 0.20 |
| 180 | 24.70 ± 7.65 | 26.31 ± 7.16 | 27.31 ± 7.62 | n.s. | NA | 0.02 | 0.78 | |
| Inversion | 60 | 39.60 ± 12.63 | 41.18 ± 11.55 | 42.72 ± 15.84 | n.s. | NA | 0.01 | 0.90 |
| 180 | 32.34 ± 8.52 | 29.17 ± 7.63 | 34.87 ± 11.62 | n.s. | NA | 0.06 | 1.00 | |
| Muscle | CAI Side (n = 12) | Non-CAI Side (n = 12) | Healthy (n = 11) | p Value | Post-Hoc | Effect Size | Observed Power |
|---|---|---|---|---|---|---|---|
| PL thickness | 2.12 ± 0.33 | 2.17 ± 0.27 | 1.94 ± 0.30 | n.s. | NA | 0.10 | 0.06 |
| TA thickness | 2.71 ± 0.42 | 2.83 ± 0.56 | 2.50 ± 0.29 | n.s. | NA | 0.09 | 0.06 |
Publisher’s Note: MDPI stays neutral with regard to jurisdictional claims in published maps and institutional affiliations. |
© 2021 by the authors. Licensee MDPI, Basel, Switzerland. This article is an open access article distributed under the terms and conditions of the Creative Commons Attribution (CC BY) license (https://creativecommons.org/licenses/by/4.0/).
Share and Cite
Tashiro, T.; Maeda, N.; Sasadai, J.; Kotoshiba, S.; Sakai, S.; Suzuki, Y.; Fujishita, H.; Urabe, Y. Tensiomyographic Neuromuscular Response of the Peroneus Longus and Tibialis Anterior with Chronic Ankle Instability. Healthcare 2021, 9, 707. https://doi.org/10.3390/healthcare9060707
Tashiro T, Maeda N, Sasadai J, Kotoshiba S, Sakai S, Suzuki Y, Fujishita H, Urabe Y. Tensiomyographic Neuromuscular Response of the Peroneus Longus and Tibialis Anterior with Chronic Ankle Instability. Healthcare. 2021; 9(6):707. https://doi.org/10.3390/healthcare9060707
Chicago/Turabian StyleTashiro, Tsubasa, Noriaki Maeda, Junpei Sasadai, Somu Kotoshiba, Shogo Sakai, Yuta Suzuki, Hironori Fujishita, and Yukio Urabe. 2021. "Tensiomyographic Neuromuscular Response of the Peroneus Longus and Tibialis Anterior with Chronic Ankle Instability" Healthcare 9, no. 6: 707. https://doi.org/10.3390/healthcare9060707
APA StyleTashiro, T., Maeda, N., Sasadai, J., Kotoshiba, S., Sakai, S., Suzuki, Y., Fujishita, H., & Urabe, Y. (2021). Tensiomyographic Neuromuscular Response of the Peroneus Longus and Tibialis Anterior with Chronic Ankle Instability. Healthcare, 9(6), 707. https://doi.org/10.3390/healthcare9060707

