A Combination of Aspirin and Clopidogrel Predict More Favorable Dynamics of Platelet Reactivity versus Clopidogrel Alone in the Acute Phase of Minor Stroke
Abstract
1. Introduction
2. Materials and Methods
2.1. Study Design and Participants
2.2. Platelet Reactivity Research
2.3. Vascular Risk Factors
2.4. Ethical Statement
2.5. Statistical Evaluation Methods
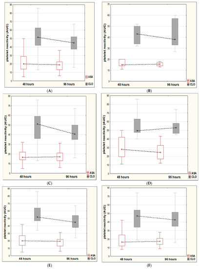
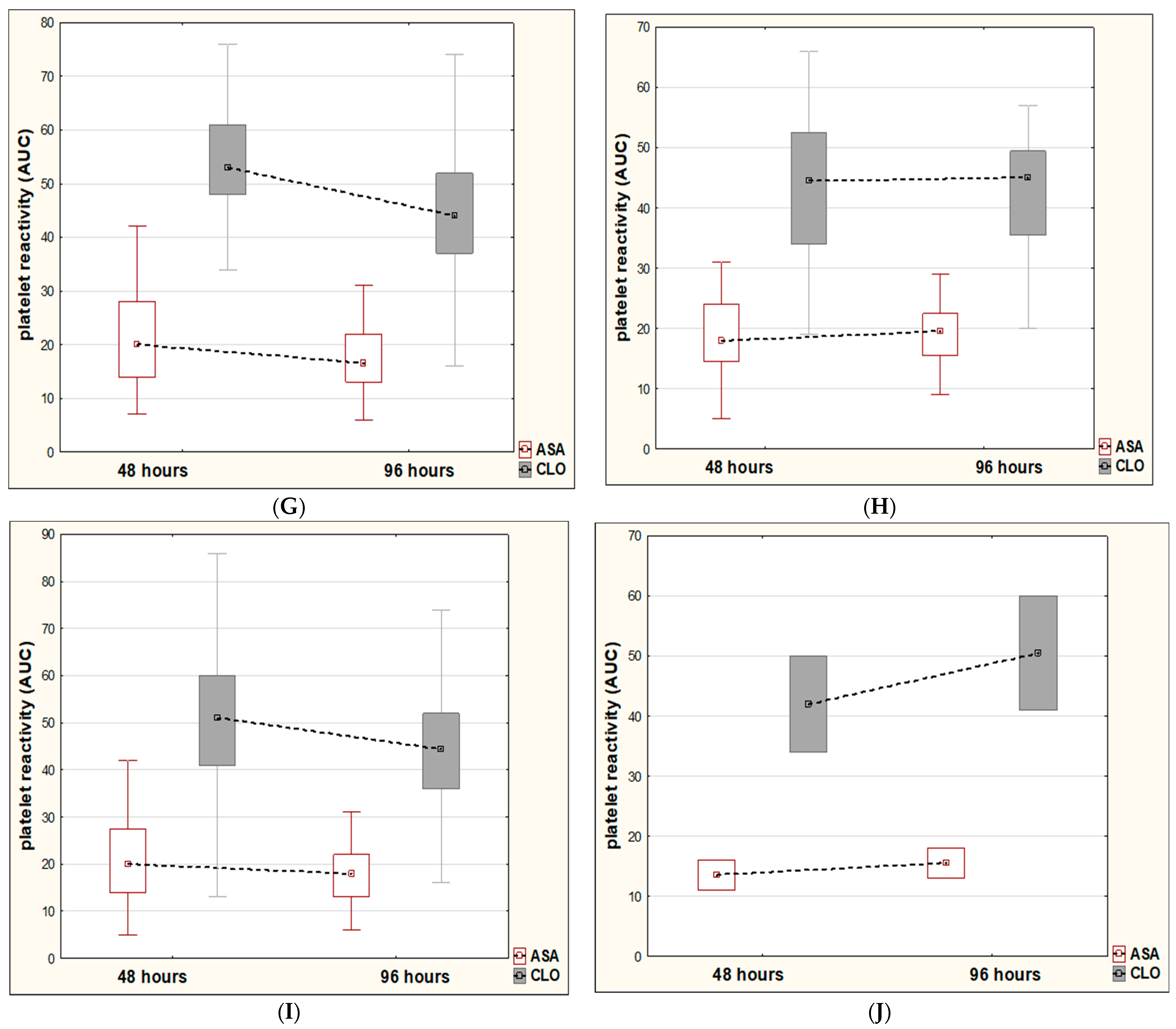
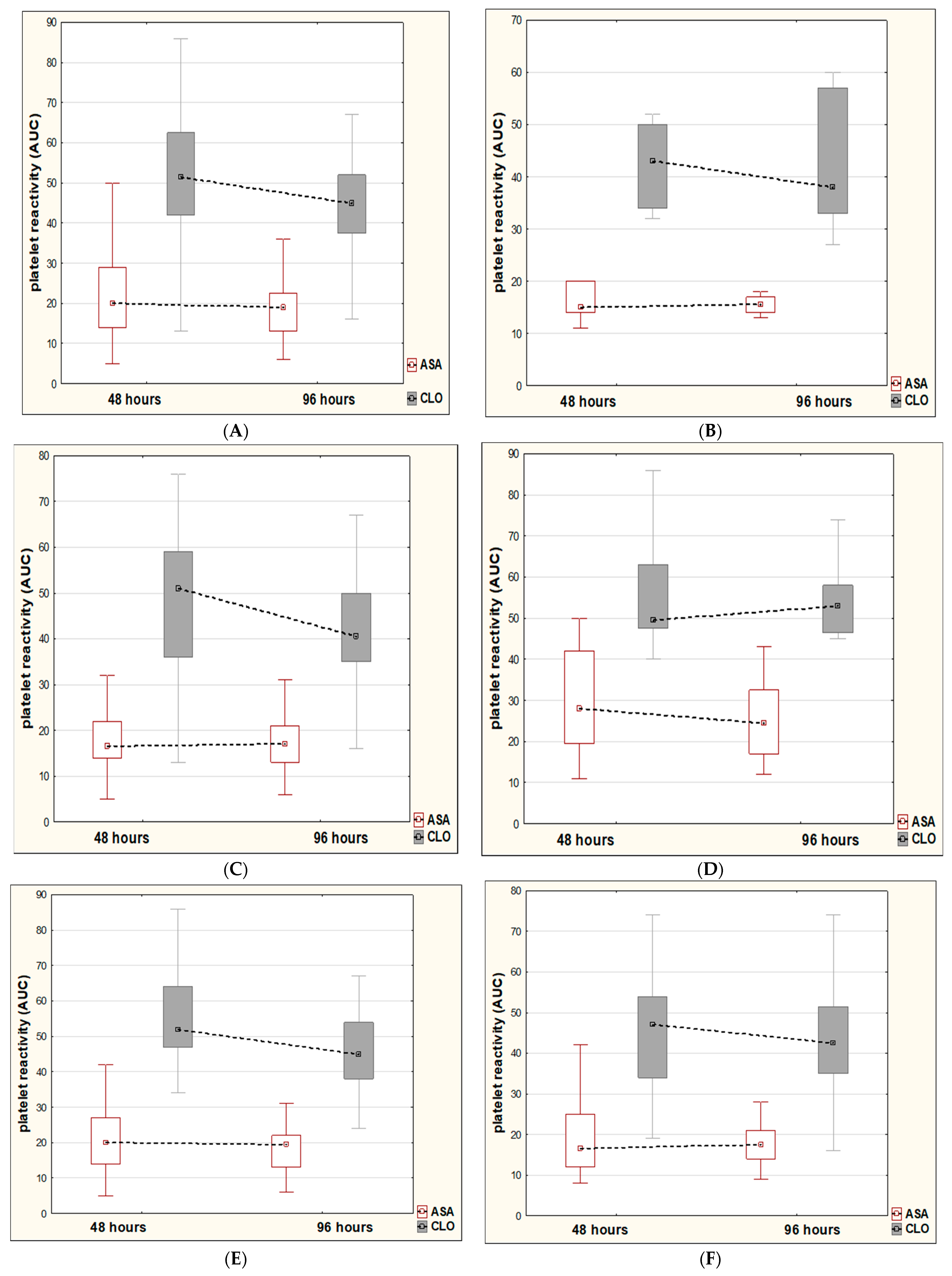
3. Results
4. Discussion
5. Conclusions
Author Contributions
Funding
Institutional Review Board Statement
Informed Consent Statement
Data Availability Statement
Conflicts of Interest
References
- Powers, W.J.; Rabinstein, A.A.; Ackerson, T.; Adeoye, O.M.; Bambakidis, N.C.; Becker, K.; Biller, J.; Brown, M.; Demaerschalk, B.M.; Hoh, B.; et al. 2018 Guidelines for the Early Management of Patients with Acute Ischemic Stroke: A Guideline for Healthcare Professionals from the American Heart Association/American Stroke Association. Stroke 2018, 49, e46–e99. [Google Scholar] [CrossRef] [PubMed]
- Wang, Y.; Pan, Y.; Zhao, X.; Li, H.; Wang, D.; Johnston, S.C.; Liu, L.; Meng, X.; Wang, A.; Wang, C.; et al. Clopidogrel with Aspirin in Acute Minor Stroke or Transient Ischemic Attack (CHANCE) trial: One-year outcomes. Circulation 2015, 132, 40–46. [Google Scholar] [CrossRef]
- Wang, Y.; Wang, Y.; Zhao, X.; Liu, L.; Wang, D.; Wang, C.; Wang, C.; Li, H.; Meng, X.; Cui, L.; et al. Clopidogrel with Aspirin in Acute Minor Stroke or Transient Ischemic Attack. N. Engl. J. Med. 2013, 369, 11–19. [Google Scholar] [CrossRef] [PubMed]
- Johnston, S.C.; Easton, J.D.; Farrant, M.; Barsan, W.; Conwit, R.A.; Elm, J.J.; Kim, A.S.; Lindblad, A.S.; Palesch, Y.Y.; Point Ivestigators. Clopidogrel and Aspirin in Acute Ischemic Stroke and High-Risk TIA. N. Engl. J. Med. 2018, 379, 215–225. [Google Scholar] [CrossRef] [PubMed]
- Lim, S.T.; Coughlan, C.A.; Murphy, S.J.X.; Fernandez-Cadenaz, I.; Montaner, J.; Thijs, V. Platelet function testing in transient ischaemic attack and ischaemic stroke: A comprehensive systematic review of the literature. Platelets 2015, 26, 402–412. [Google Scholar] [CrossRef]
- Wiśniewski, A.; Filipska, K.; Sikora, J.; Kozera, G. Aspirin resistance affects medium-term recurrent vascular events after cerebrovascular incidents: A three-year follow-up study. Brain Sci. 2020, 10, 179. [Google Scholar] [CrossRef] [PubMed]
- Yip, H.K.; Liou, C.W.; Chang, H.W.; Lan, M.Y.; Liu, J.S.; Chen, M.C. Link between platelet activity and outcomes after an ischemic stroke. Cerebrovasc. Dis. 2005, 20, 120–128. [Google Scholar] [CrossRef]
- Rao, Z.; Zheng, H.; Wang, F.; Wang, A.; Liu, L.; Dong, K.; Zhao, X.; Cao, Y.; Wang, Y. High On-Treatment Platelet Reactivity to Adenosine Diphosphate Predicts Ischemic Events of Minor Stroke and Transient Ischemic Attack. J. Stroke Cerebrovasc. Dis. 2017, 26, 2074–2081. [Google Scholar] [CrossRef]
- Qiu, L.-N.; Wang, L.; Li, X.; Han, R.-F.; Xia, X.-S.; Liu, J. Predictive Value of High Residual Platelet Reactivity by Flow Cytometry for Outcomes of Ischemic Stroke Patients on Clopidogrel Therapy. J. Stroke Cerebrovasc. Dis. 2015, 24, 1145–1152. [Google Scholar] [CrossRef]
- Fiolaki, A.; Katsanos, A.H.; Kyristis, A.P.; Papadaki, S.; Kosmidou, M.; Moschonas, I.C.; Tselepis, A.D.; Giannopoulos, S. High on treatment platelet reactivity to aspirin and clopidogrel in ischemic stroke: A systematic review and meta-analysis. J. Neurol. Sci. 2017, 376, 112–116. [Google Scholar] [CrossRef]
- Wiśniewski, A.; Filipska, K. The Phenomenon of Clopidogrel High On-Treatment Platelet Reactivity in Ischemic Stroke Subjects: A Comprehensive Review. Int. J. Mol. Sci. 2020, 21, 6408. [Google Scholar] [CrossRef]
- Lev, E.I.; Patel, R.T.; Maresh, K.J.; Guthikonda, S.; Granada, J.; DeLao, T.; Bray, P.F.; Kleiman, N.S. Aspirin and clopidogrel drug response in patients undergoing percutaneous coronary intervention: The role of dual drug resistance. J. Am. Coll. Cardiol. 2006, 47, 27–33. [Google Scholar] [CrossRef] [PubMed]
- Serebruany, V.L.; Malinin, A.I.; Jerome, S.C.; Lowry, D.R.; Morgan, A.W.; Sane, D.C.; Tanguay, J.F.; Steinhubl, S.R.; O’connor, C.M. Effects of clopidogrel and aspirin combination versus aspirin alone on platelet aggregation and major receptor expression in patients with heart failure: The Plavix Use for Treatment of Congestive Heart Failure (PLUTO-CHF) trial. Am. Heart J. 2003, 146, 713–720. [Google Scholar] [CrossRef]
- Kang, H.G.; Shin, Y.Y.; Heo, S.H.; Chang, D.I.; Kim, B.J. Smoking and Clopidogrel resistance in ischemic stroke. Neurology 2019, 92, P1.3-007. [Google Scholar]
- Yi, X.; Lin, J.; Wang, Y.; Zhou, J.; Zhou, Q.; Wang, C. Response to clopidogrel is associated with early neurological deterioration after acute ischemic stroke. Oncotarget 2018, 9, 19900–19910. [Google Scholar] [CrossRef] [PubMed][Green Version]
- Yi, X.; Lin, J.; Wang, C.; Zhang, B.; Chi, W. A comparative study of dual versus monoantiplatelet therapy in patients with acute large-artery atherosclerosis stroke. J. Stroke Cerebrovasc. Dis. 2014, 23, 1975–1981. [Google Scholar] [CrossRef] [PubMed]
- Wang, Y.; Johnston, S.C.; Bath, P.M.; Grotta, J.C.; Pan, Y.; Amarenco, P.; Wang, Y.; Simon, T.; Kim, J.S.; Jeng, J.-S.; et al. Acute dual antiplatelet therapy for minor ischaemic stroke or transient ischaemic attack. BMJ 2019, 364, l895. [Google Scholar] [CrossRef]
- Sibbing, D.; Aradi, D.; Alexopoulos, D.; Ten Berg, J.; Bhatt, D.L.; Bonello, L.; Collet, J.P.; Cuisset, T.; Franchi, F.; Gross, L.; et al. Updated Expert Consensus Statement on Platelet Function and Genetic Testing for Guiding P2Y12 Receptor Inhibitor Treatment in Percutaneous Coronary Intervention. JACC Cardiovasc. Interv. 2019, 12, 1521–1537. [Google Scholar] [CrossRef]
- Meves, S.H.; Schroeder, K.D.; Endres, H.G.; Krogias, C.; Krueger, J.C.; Neubauer, H. Clopidogrel high-on-treatment platelet reactivity in acute ischemic stroke Patients. Thromb. Res. 2014, 133, 396–401. [Google Scholar] [CrossRef]
- Bonello, L.; Tantry, U.S.; Marcucci, R.; Blindt, R.; Angiolillo, D.J.; Becker, R.; Bhatt, D.L.; Cattaneo, M.; Collet, J.P.; Cuisset, T.; et al. Consensus and Future Directions on the Definition of High On-Treatment Platelet Reactivity to Adenosine Diphosphate. J. Am. Coll. Cardiol. 2010, 56, 919–933. [Google Scholar] [CrossRef]
- Sibbing, D.; Braun, S.; Jawansky, S.; Vogt, W.; Mehilli, J.; Schömig, A.; Kastrati, A.; von Beckerath, N. Assessment of ADP-induced platelet aggregation with light transmission aggregometry and multiplate electrode platelet aggregometry before and after clopidogrel treatment. Thromb. Haemost. 2008, 99, 121–126. [Google Scholar] [CrossRef]
- Tóth, O.; Calatzis, A.; Penz, S.; Losonczy, H.; Siess, W. Multiple electrode aggregometry: A new device to measure platelet aggregation in whole blood. Thromb. Haemost. 2006, 96, 781–788. [Google Scholar] [PubMed]
- Yang, Y.; Zhou, M.; Zhong, X.; Wang, Y.; Zhao, X.; Liu, L.; Wang, L. Dual vs. mono antiplatelet therapy for acute non-cardioembolic ischaemic stroke or transient ischaemic attack: A systematic review and meta-analysis. Stroke Vasc. Neurol. 2018, 3, 107–116. [Google Scholar] [CrossRef] [PubMed]
- Wang, C.; Yi, X.; Zhang, B.; Liao, D.; Lin, J.; Chi, L. Clopidogrel plus aspirin prevents early neurologic deterioration and improves 6-month outcome in patients with acute large artery atherosclerosis stroke. Clin. Appl. Thromb. Hemost. 2015, 21, 453–461. [Google Scholar] [CrossRef] [PubMed]
- Kinsella, J.A.; Tobin, W.O.; Cox, D.; Coughlan, T.; Collins, R.; O’Neill, D.; Murphy, R.P.; Mccabe, D.J.H. Prevalence of Ex Vivo High On-treatment Platelet Reactivity on Antiplatelet Therapy after Transient Ischemic Attack or Ischemic Stroke on the PFA-100® and VerifyNow. J. Stroke Cerebrovasc. Dis. 2013, 22, e84–e92. [Google Scholar] [CrossRef] [PubMed]
- Rath, C.L.; Joergensen, N.R.; Wienecke, T. High On-Treatment Platelet Reactivity in Danish Hyper-Acute Ischaemic Stroke Patients. Front. Neurol. 2018, 9, 71. [Google Scholar] [CrossRef] [PubMed]
- Xanmemmedov, E.; Coban, E.; Ciftci-Kavaklıoglu, B.; Acar, E.; Eren, F.; Kale, N.; Soysal, A.; Ciftci-Kavaklioglu, B. The role of platelet count and mean platelet volume in clopidogrel resistance in ischemic stroke patients. J. Neurol. Sci. 2015, 357, e412. [Google Scholar] [CrossRef]
- Pankert, M.; Quilici, J.; Loundou, A.D.; Verdier, V.; Lambert, M.; Deharo, P.; Bonnet, G.; Gaborit, B.; Morange, P.E.; Valero, R.; et al. Impact of Obesity and the Metabolic Syndrome on Response to Clopidogrel or Prasugrel and Bleeding Risk in Patients Treated after Coronary Stenting. Am. J. Cardiol. 2014, 113, 54–59. [Google Scholar] [CrossRef]
- Mortensen, S.; Larsen, S.; Grove, E.; Kristensen, S.; Hvas, A.-M. Reduced platelet response to aspirin in patients with coronary artery disease and type 2 diabetes mellitus. Thromb. Res. 2010, 126, e318–e322. [Google Scholar] [CrossRef]
- Erlinge, D.; Varenhorst, C.; Braun, O.O.; James, S.; Winters, K.J.; Jakubowski, J.A.; Brandt, J.T.; Sugidachi, A.; Siegbahn, A.; Wallentin, L. Patients with poor responsiveness to thienopyridine treatment or with diabetes have lower levels of circulating active metabolite, but their platelets respond normally to active metabolite added ex vivo. J. Am. Coll. Cardiol. 2008, 52, 1968–1977. [Google Scholar] [CrossRef]
- Yi, X.; Lin, J.; Zhou, Q.; Wu, L.; Cheng, W.; Wang, C. Clopidogrel Resistance Increases Rate of Recurrent Stroke and Other Vascular Events in Chinese Population. J. Stroke Cerebrovasc. Dis. 2016, 25, 1222–1228. [Google Scholar] [CrossRef] [PubMed]
- Yang, Y.; Chen, W.; Pan, Y.; Yan, H.; Meng, X.; Liu, L.; Wang, Y.; Wang, Y. Ticagrelor Is Superior to Clopidogrel in Inhibiting Platelet Reactivity in Patients with Minor Stroke or TIA. Front. Neurol. 2020, 11, 534. [Google Scholar] [CrossRef] [PubMed]
- Wang, Y.; Chen, W.; Lin, Y.; Meng, X.; Chen, G.; Wang, Z.; Wu, J.; Wang, D.; Li, J.; Cao, Y.; et al. Ticagrelor plus aspirin vs. clopidogrel plus aspirin for platelet reactivity in patients with minor stroke or transient ischaemic attack: Open label, blinded endpoint, randomised controlled phase II trial. BMJ 2019, 365, l2211. [Google Scholar] [CrossRef] [PubMed]
- Yang, Y.; Chen, W.; Pan, Y.; Yan, H.; Meng, X.; Liu, L.; Wang, Y.; Wang, Y. Effect of ticagrelor versus clopidogrel on platelet reactivity measured by thrombelastography in patients with minor stroke or TIA. Aging 2020, 12, 20085–20094. [Google Scholar] [CrossRef] [PubMed]



| Parameter | CLO (n = 36) | CLO + ASA (n = 38) | p-Value |
|---|---|---|---|
| Age: | 73.5 (18–91) | 64 (34–89) | 0.1690 |
| Sex: | |||
| Male | 19 (52.7%) | 17 (44.7%) | 0.3233 |
| Female | 17 (47.3%) | 21 (55.3%) | 0.4256 |
| Stroke etiology: | |||
| Large-vessel disease | 12 (33.3%) | 6 (15.8%) | 0.0681 |
| Small-vessel disease | 24 (66.7%) | 32 (84.2%) | 0.2356 |
| Diabetes | 13 (36.1%) | 8 (21.0%) | 0.1193 |
| Hyperlipidemia | 11 (30.6%) | 16 (42.1%) | 0.2150 |
| Hypertension | 28 (77.8%) | 25 (65.8%) | 0.1882 |
| Obesity | 8 (22.2%) | 14 (36.8%) | 0.1311 |
| Smoking | 12 (33.3%) | 10 (26.3%) | 0.3425 |
| Alcohol abuse | 5 (13.9%) | 2 (5.3%) | 0.1930 |
| Clopidogrel non-responsiveness | 23 (63.9%) | 25 (65.8%) | 0.5286 |
| Platelet count | 254 (142–618) | 274.5 (115–414) | 0.7468 |
| HBA1C | 6.05 (5.0–10.2) | 5.7 (4.9–13.1) | 0.5268 |
| D-dimer | 335 (165–2560) | 357.5 (170–2455) | 0.5892 |
| CRP | 2.78 (0.45–88.2) | 2.26 (0.32–73.05) | 0.4578 |
| Fibrinogen | 311 (202–657) | 329 (198–658) | 0.5824 |
| NIHSS on admission | 5 (1–16) | 2 (1–3) | <0.0001 |
| mRS on admission | 3 (1–5) | 1 (1–3) | <0.0001 |
| Parameter | Univariate Analysis | Multivariate Analysis | ||
|---|---|---|---|---|
| OR (95% CI) | p | Adjusted OR (95% CI) | p | |
| Sex (female) | 1.91 (0.73, 5.02) | 0.1899 | ||
| Age | 0.98 (0.94, 1.02) | 0.3740 | ||
| Diabetes | 7.86 (1.66, 37.2) | 0.0093 * | 5.69 (1.13, 41.26) | 0.0386 * |
| Large-vessel disease | 0.44 (0.18, 1.29) | 0.1338 | ||
| Smoking | 1.50 (0.36, 6.23) | 0.5767 | ||
| Hyperlipidemia | 0.53 (0.20, 1.42) | 0.2061 | ||
| Hypertension | 1.20 (0.42, 3.41) | 0.7372 | 2.35 (0.92, 7,68) | 0.0964 |
| Obesity | 3.60 (1.07, 12.11) | 0.0382 * | ||
| Alcohol abuse | 0.70 (0.14, 3.38) | 0.6542 | 1.01 (0.99, 1.02) | 0.1956 |
| Platelet count | 1.01 (1.00 1.02) | 0.0464 * | ||
| CRP | 1.01 (0.96, 1.05) | 0.8293 | 2.65 (0.92, 8.92) | 0.1568 |
| HBA1c | 3.75 (1.19, 11.82) | 0.0242 * | ||
| Fibrinogen | 1.01 (0.99, 1.02) | 0.0955 | ||
| D-Dimer | 1.00 (0.99, 1.00) | 0.5698 | ||
| Parameter | Median 48 h | Median 96 h | p-Value |
|---|---|---|---|
| Overall | 53 (15–107) | 47.5 (9–103) | 0.3384 |
| Sex: | |||
| Male | 52 (15–107) | 46 (9–103) | 0.5019 |
| Female | 56 (20–86) | 49 (15–86) | 0.4590 |
| Stroke etiology: | |||
| Large-vessel disease | 47 (20–86) | 51 (19–86) | 0.9081 |
| Small-vessel disease | 56 (15–107) | 46 (9–103) | 0.2048 |
| Diabetes: | |||
| Yes | 58 (43–107) | 66 (9–103) | 0.6081 |
| No | 44 (15–79) | 38 (15–86) | 0.4290 |
| Hyperlipidemia: | |||
| Yes | 52 (20–86) | 46 (9–83) | 0.4502 |
| No | 56 (15–107) | 48 (15–103) | 0.4492 |
| Hypertension: | |||
| Yes | 51 (15–107) | 45.5 (9–103) | 0.2868 |
| No | 57.5 (26–79) | 51.5 (17–86) | 0.8336 |
| Obesity: | |||
| Yes | 59.5 (20–86) | 61 (47–83) | 0.5286 |
| No | 46 (15–107) | 41 (9–103) | 0.3215 |
| Smoking: | |||
| Yes | 57 (20–86) | 50 (9–83) | 0.5067 |
| No | 49 (15–107) | 46.5 (15–103) | 0.5567 |
| Alcohol abuse: | |||
| Yes | 58 (36–71) | 66 (29–77) | 0.2154 |
| No | 52 (15–107) | 46 (9–1030 | 0.6761 |
| Parameter | Median 48 h | ASA Median 96 h | p-Value | Median 48 h | CLO Median 96 h | p-Value |
|---|---|---|---|---|---|---|
| Overall | 19.5 (5–50) | 18 (6–43) | 0.6180 | 50.5 (13–86) | 44.5 (16–74) | 0.0652 |
| Sex: | ||||||
| Male | 18 (5–50) | 19.5 (9–36) | 0.6647 | 44.5 (19–86) | 45 (20–57) | 0.7630 |
| Female | 20 (7–42) | 16.5 (6–43) | 0.3072 | 53 (13–76) | 44 (16–74) | 0.0399 * |
| Stroke etiology: | ||||||
| Large-vessel disease | 15 (11–20) | 15.5 (13–18) | 0.9989 | 43 (32–52) | 38 (27–60) | 0.9899 |
| Small-vessel disease | 20 (5–50) | 19 (6–43) | 0.5912 | 51.5 (13–86) | 45 (16–74) | 0.0333 * |
| Diabetes: | ||||||
| Yes | 28 (11–50) | 24.5 (14–43) | 0.7131 | 49.5 (40–86) | 53 (45–74) | 0.8336 |
| No | 16.5 (5–41) | 17 (6–31) | 0.7788 | 51 (13–86) | 40.5 (16–67) | 0.0459 * |
| Hyperlipidemia: | ||||||
| Yes | 16.5 (8–42) | 17.5 (9–43) | 0.9850 | 47 (19–47) | 42.5 (16–74) | 0.5591 |
| No | 20 (5–50) | 19.5 (6–36) | 0.4596 | 52 (13–86) | 45 (24–67) | 0.0423 * |
| Hypertension: | ||||||
| Yes | 20 (5–50) | 18 (6–43) | 0.4849 | 52 (19–86) | 45 (20–74) | 0.0625 |
| No | 15 (7–28) | 19 (10–31) | 0.8175 | 50 (13–70) | 44 (16–67) | 0.6081 |
| Obesity: | ||||||
| Yes | 16 (5–50) | 18.5 (6–43) | 0.7652 | 55.5 (23–86) | 48 (20–74) | 0.1904 |
| No | 20 (7–42) | 17.5 (9–29) | 0.2836 | 50 (13–76) | 44 (16–57) | 0.1639 |
| Smoking: | ||||||
| Yes | 20 (8–38) | 17.5 (6–28) | 0.4727 | 52 (32–73) | 40.5 (33–57) | 0.1405 |
| No | 17.5 (5–50) | 18 (9–43) | 0.8570 | 50 (13–86) | 45.5 (16–74) | 0.2253 |
| Alcohol abuse: | ||||||
| Yes | 13.5 (11–16) | 15.5 (13–18) | 0.6985 | 42 (34–50) | 50.5 (41–60) | 0.6985 |
| No | 20 (5–50) | 18 (6–43) | 0.5431 | 51 (13–86) | 44.5 (16–74) | 0.0382 * |
Publisher’s Note: MDPI stays neutral with regard to jurisdictional claims in published maps and institutional affiliations. |
© 2021 by the authors. Licensee MDPI, Basel, Switzerland. This article is an open access article distributed under the terms and conditions of the Creative Commons Attribution (CC BY) license (https://creativecommons.org/licenses/by/4.0/).
Share and Cite
Wiśniewski, A.; Sikora, J.; Karczmarska-Wódzka, A.; Sobczak, P. A Combination of Aspirin and Clopidogrel Predict More Favorable Dynamics of Platelet Reactivity versus Clopidogrel Alone in the Acute Phase of Minor Stroke. Healthcare 2021, 9, 628. https://doi.org/10.3390/healthcare9060628
Wiśniewski A, Sikora J, Karczmarska-Wódzka A, Sobczak P. A Combination of Aspirin and Clopidogrel Predict More Favorable Dynamics of Platelet Reactivity versus Clopidogrel Alone in the Acute Phase of Minor Stroke. Healthcare. 2021; 9(6):628. https://doi.org/10.3390/healthcare9060628
Chicago/Turabian StyleWiśniewski, Adam, Joanna Sikora, Aleksandra Karczmarska-Wódzka, and Przemysław Sobczak. 2021. "A Combination of Aspirin and Clopidogrel Predict More Favorable Dynamics of Platelet Reactivity versus Clopidogrel Alone in the Acute Phase of Minor Stroke" Healthcare 9, no. 6: 628. https://doi.org/10.3390/healthcare9060628
APA StyleWiśniewski, A., Sikora, J., Karczmarska-Wódzka, A., & Sobczak, P. (2021). A Combination of Aspirin and Clopidogrel Predict More Favorable Dynamics of Platelet Reactivity versus Clopidogrel Alone in the Acute Phase of Minor Stroke. Healthcare, 9(6), 628. https://doi.org/10.3390/healthcare9060628

