Emotional Contagion in the Online Depression Community
Abstract
:1. Introduction
2. Methods
2.1. Data Collection
2.2. Data Selection
2.3. Emotional Analysis
2.4. Longitudinal Changes
2.5. Statistical Analysis of Emotional Contagion
2.6. Elements of Emotional Contagion
2.6.1. Emotional Interaction Information
2.6.2. Interactive Behavior
2.6.3. Characteristics of Susceptible Groups
3. Results
3.1. Longitudinal Changes
3.2. Emotional Contagion
3.3. Elements of Emotional Contagion
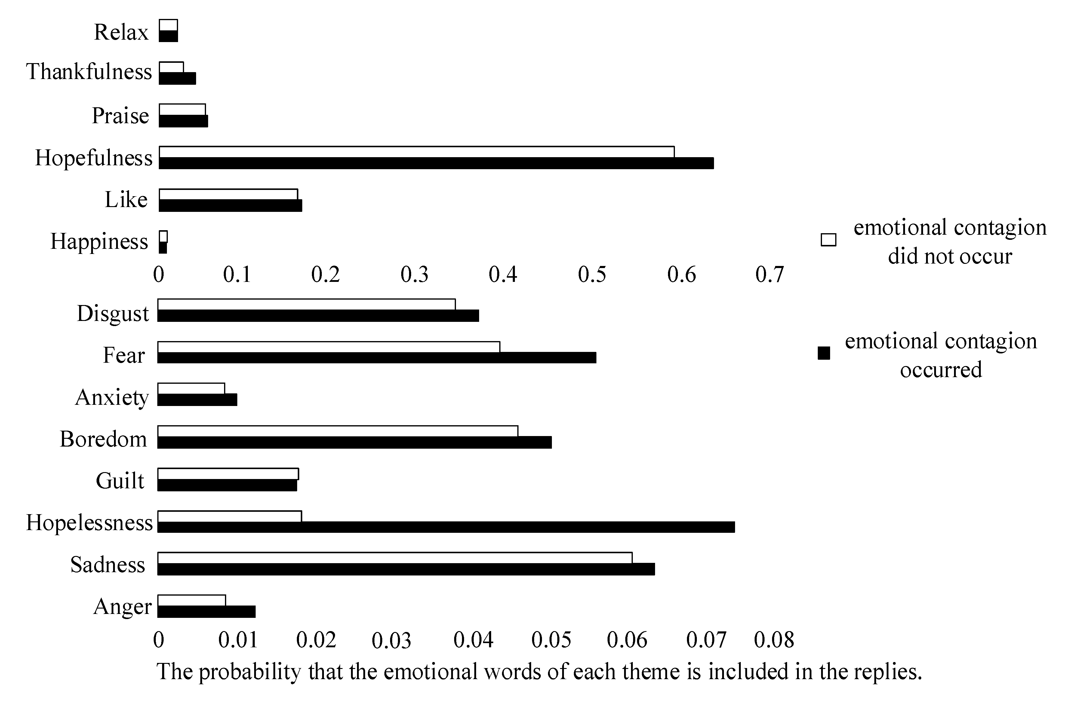
3.3.1. Themes of Emotional Interaction Information
3.3.2. Diurnal Pattern of Interaction
3.3.3. Characteristics of Susceptible Groups
4. Discussion
Author Contributions
Funding
Institutional Review Board Statement
Informed Consent Statement
Data Availability Statement
Conflicts of Interest
References
- Fowler, J.H.; Christakis, N.A. Dynamic spread of happiness in a large social network: Longitudinal analysis over 20 years in the Framingham Heart Study. BMJ 2008, 337, a2338. [Google Scholar] [CrossRef] [PubMed] [Green Version]
- Rosenquist, J.N.; Fowler, J.H.; Christakis, N.A. Social Network Determinants of Depression. Mol. Psychiatry 2011, 16, 273–281. [Google Scholar] [CrossRef] [Green Version]
- Cacioppo, J.T.; Fowler, J.H.; Christakis, N.A. Alone in the crowd: The structure and spread of loneliness in a large social network. J. Personal. Soc. Psychol. 2009, 97, 977. [Google Scholar] [CrossRef] [Green Version]
- Hatfield, E.; Cacioppo, J.T.; Rapson, R.L. Emotional contagion: Cambridge studies in emotion and social interaction. Cambridge, UK: Cambridge University Press. errors-in-variables regression model when the variances of the measurement errors vary between the observations. Stat. Med. 1994, 21, 1089–1101. [Google Scholar]
- Larson, R.W.; Almeida, D.M. Emotional transmission in the daily lives of families: A new paradigm for studying family process. J. Marriage Fam. 1999, 61, 5–20. [Google Scholar] [CrossRef]
- Barsade, S.G. The ripple effect: Emotional contagion and its influence on group behavior. Adm. Sci. Q. 2002, 47, 644–675. [Google Scholar] [CrossRef] [Green Version]
- Howes, M.J.; Hokanson, J.E.; Loewenstein, D.A. Induction of depressive affect after prolonged exposure to a mildly depressed individual. J. Personal. Soc. Psychol. 1985, 49, 1110. [Google Scholar] [CrossRef]
- Bono, J.E.; Ilies, R. Charisma, positive emotions and mood contagion. Leadersh. Q. 2006, 17, 317–334. [Google Scholar] [CrossRef]
- Van Kleef, G.A.; De Dreu, C.K.; Manstead, A.S. The interpersonal effects of anger and happiness in negotiations. J. Personal. Soc. Psychol. 2004, 86, 57. [Google Scholar] [CrossRef] [PubMed] [Green Version]
- Fowler, J.H.; Christakis, N.A. Cooperative behavior cascades in human social networks. Proc. Natl. Acad. Sci. USA 2010, 107, 5334–5338. [Google Scholar] [CrossRef] [Green Version]
- Gill, A.J.; Gergle, D.; French, R.M.; Oberlander, J. Emotion rating from short blog texts. In Proceedings of the SIGCHI Conference on Human Factors in Computing Systems, Florence, Italy, 5–10 April 2008; pp. 1121–1124. [Google Scholar]
- Choi, S.; Kim, E.M. Between Instagram browsing and subjective well-being: Social comparison or emotional contagion? Media Psychol. 2020, 24, 1–25. [Google Scholar] [CrossRef]
- Counts, M.D.C.S.; Gamon, M. Not all moods are created equal! exploring human emotional states in social media. In Proceedings of the International AAAI Conference on Web and Social Media (ICWSM), Dublin, Ireland, 4–7 June 2012; pp. 1–8. [Google Scholar]
- Coviello, L.; Fowler, J.H.; Franceschetti, M. Words on the web: Noninvasive detection of emotional contagion in online social networks. Proc. IEEE 2014, 102, 1911–1921. [Google Scholar] [CrossRef]
- Coviello, L.; Sohn, Y.; Kramer, A.D.; Marlow, C.; Franceschetti, M.; Christakis, N.A.; Fowler, J.H. Detecting emotional contagion in massive social networks. PLoS ONE 2014, 9, e90315. [Google Scholar] [CrossRef] [PubMed] [Green Version]
- Garcia, D.; Garas, A.; Schweitzer, F. Positive words carry less information than negative words. EPJ Data Sci. 2012, 1, 3. [Google Scholar] [CrossRef] [Green Version]
- Goldenberg, A.; and Gross, J.J. Digital emotion contagion. Trends Cogn. Sci. 2020, 24, 316–328. [Google Scholar] [CrossRef] [PubMed]
- Golder, S.A.; Macy, M.W. Diurnal and seasonal mood vary with work, sleep, and daylength across diverse cultures. Science 2011, 333, 1878–1881. [Google Scholar] [CrossRef] [Green Version]
- Hancock, J.T.; Gee, K.; Ciaccio, K.; Lin, J.M.H. I’m sad you’re sad: Emotional contagion in CMC. In Proceedings of the 2008 ACM Conference on Computer Supported Cooperative Work, San Diego, CA, USA, 8–12 November 2008; pp. 295–298. [Google Scholar]
- Harris, R.B.; Paradice, D. An investigation of the computer-mediated communication of emotions. J. Appl. Sci. Res. 2007, 3, 2081–2090. [Google Scholar]
- Mei, Q.; Ling, X.; Wondra, M.; Su, H.; Zhai, C. Topic sentiment mixture: Modeling facets and opinions in weblogs. In Proceedings of the 16th international conference on World Wide Web, Banff, AB, Canada, 8–12 May 2007; pp. 171–180. [Google Scholar]
- Kramer, A.D. The spread of emotion via Facebook. In Proceedings of the SIGCHI Conference on Human Factors in Computing Systems, Austin, TX, USA, 5–10 May 2012; pp. 767–770. [Google Scholar]
- Kramer, A.D.; Guillory, J.E.; Hancock, J.T. Experimental evidence of massive-scale emotional contagion through social networks. Proc. Natl. Acad. Sci. USA 2014, 111, 8788–8790. [Google Scholar] [CrossRef] [Green Version]
- Dang-Xuan, L.; Stieglitz, S. Impact and Diffusion of Sentiment in Political Communication-An Empirical Analysis of Political Weblogs. In Proceedings of the ICWSM, Dublin, Ireland, 4–7 June 2012. [Google Scholar]
- Wang, J.; Wei, L. Fear and hope, bitter and sweet: Emotion sharing of cancer community on twitter. Soc. Media Soc. 2020, 6. [Google Scholar] [CrossRef] [Green Version]
- Brady, W.J.; Crockett, M.J. How Effective Is Online Outrage? Trends Cogn. Sci. 2019, 23, 1–2. [Google Scholar] [CrossRef] [PubMed]
- Ba, S.; Wang, L. Digital health communities: The effect of their motivation mechanisms. Decis. Support Syst. 2013, 55, 941–947. [Google Scholar] [CrossRef]
- Fox, S. Peer-to-Peer Healthcare. Many People–Especially Those Living with Chronic or Rare Diseases–Use Online Connections to Supplement Professional Medical Advice [Pew Internet & American Life Project]; Pew Research Center: Washington, DC, USA, 2011. [Google Scholar]
- Bargh, J.A.; McKenna, K.Y.; Fitzsimons, G.M. Can you see the real me? Activation and expression of the “true self” on the Internet. J. Soc. Issues 2002, 58, 33–48. [Google Scholar] [CrossRef] [Green Version]
- Kallinikos, J.; Tempini, N. Patient data as medical facts: Social media practices as a foundation for medical knowledge creation. Inf. Syst. Res. 2014, 25, 817–833. [Google Scholar] [CrossRef] [Green Version]
- Bartlett, Y.K.; Coulson, N.S. An investigation into the empowerment effects of using online support groups and how this affects health professional/patient communication. Patient Educ. Couns. 2011, 83, 113–119. [Google Scholar] [CrossRef]
- Griffiths, K.M.; Calear, A.L.; Banfield, M. Systematic review on Internet Support Groups (ISGs) and depression (1): Do ISGs reduce depressive symptoms? J. Med. Internet Res. 2009, 11, e40. [Google Scholar] [CrossRef]
- Setoyama, Y.; Yamazaki, Y.; Namayama, K. Benefits of peer support in online Japanese breast cancer communities: Differences between lurkers and posters. J. Med. Internet Res. 2011, 13, e122. [Google Scholar] [CrossRef] [PubMed]
- van Uden-Kraan, C.F.; Drossaert, C.H.; Taal, E.; Shaw, B.R.; Seydel, E.R.; van de Laar, M.A. Empowering processes and outcomes of participation in online support groups for patients with breast cancer, arthritis, or fibromyalgia. Qual. Health Res. 2008, 18, 405–417. [Google Scholar] [CrossRef] [PubMed]
- van Uden-Kraan, C.F.; Drossaert, C.H.; Taal, E.; Seydel, E.R.; van de Laar, M.A. Participation in online patient support groups endorses patients’ empowerment. Patient Educ. Couns. 2009, 74, 61–69. [Google Scholar] [CrossRef]
- Høybye, M.T.; Dalton, S.O.; Deltour, I.; Bidstrup, P.E.; Frederiksen, K.; Johansen, C. Effect of Internet peer-support groups on psychosocial adjustment to cancer: A randomised study. Br. J. Cancer 2010, 102, 1348–1354. [Google Scholar] [CrossRef]
- Shaw, B.R.; Hawkins, R.; McTavish, F.; Pingree, S.; Gustafson, D.H. Effects of insightful disclosure within computer mediated support groups on women with breast cancer. Health Commun. 2006, 19, 133–142. [Google Scholar] [CrossRef]
- Park, A.; Conway, M. Longitudinal changes in psychological states in online health community members: Understanding the long-term effects of participating in an online depression community. J. Med. Internet Res. 2017, 19, e71. [Google Scholar] [CrossRef] [PubMed]
- World Health Organization. Depression and Other Common Mental Disorders: Global Health Estimates (No. WHO/MSD/MER/2017.2); World Health Organization: Geneve, Switzerland, 2017. [Google Scholar]
- Barney, L.J.; Griffiths, K.M.; Banfield, M.A. Explicit and implicit information needs of people with depression: A qualitative investigation of problems reported on an online depression support forum. BMC Psychiatry 2011, 11, 1–11. [Google Scholar] [CrossRef] [PubMed] [Green Version]
- De Choudhury, M.; De, S. Mental health discourse on reddit: Self-disclosure, social support, and anonymity. In Proceedings of the Eighth International AAAI Conference on Weblogs and Social Media, Ann Arbor, MI, USA, 1–4 June 2014. [Google Scholar]
- Thompson, R.J.; Mata, J.; Jaeggi, S.M.; Buschkuehl, M.; Jonides, J.; Gotlib, I.H. The everyday emotional experience of adults with major depressive disorder: Examining emotional instability, inertia, and reactivity. J. Abnorm. Psychol. 2012, 121, 819. [Google Scholar] [CrossRef] [PubMed] [Green Version]
- Hatfield, E.; Cacioppo, J.T.; Rapson, R.L. Emotional contagion. Curr. Dir. Psychol. Sci. 1993, 2, 96–100. [Google Scholar] [CrossRef]
- Sina Weibo Data Center. Weibo User Development Report; Sina Weibo: Beijing, China, 2013. [Google Scholar]
- Tang, J.; Yu, G.; Yao, X. A comparative study of online depression communities in china. Int. J. Environ. Res. Public Health 2020, 17, 5023. [Google Scholar] [CrossRef]
- Wang, Z.; Yu, G.; Tian, X.; Tang, J.; Yan, X. A study of users with suicidal ideation on sina weibo. Telemed. J. E Health 2018, 24, 702–709. [Google Scholar] [CrossRef]
- Wang, Z.; Yu, G.; Tian, X. Exploring behavior of people with suicidal ideation in a Chinese online suicidal community. Int. J. Environ. Res. Public Health. 2018, 16, 54. [Google Scholar] [CrossRef] [PubMed] [Green Version]
- Benton, A.; Coppersmith, G.; Dredze, M. Ethical Research Protocols for Social Media Health Research. In Proceedings of the First ACL Workshop on Ethics in Natural Language Processing, Valencia, Spain, 4 April 2017. [Google Scholar]
- Devlin, J.; Chang, M.W.; Lee, K.; Toutanova, K. Bert: Pre-training of deep bidirectional transformers for language understanding. arXiv 2018, arXiv:1810.04805. [Google Scholar]
- Charrad, M.; Ghazzali, N.; Boiteau, V.; Niknafs, A. Nbclust: An r package for determining the relevant number of clusters in a data set. J. Statal Softw. 2014, 61, 1–36. [Google Scholar] [CrossRef] [Green Version]
- Liang, K.Y.; Zeger, S.L. Longitudinal data analysis using generalized linear models. Biometrika 1986, 73, 13–22. [Google Scholar] [CrossRef]
- Ballinger, G.A. Using generalized estimating equations for longitudinal data analysis. Organ. Res. Methods 2004, 7, 127–150. [Google Scholar] [CrossRef]
- Wang, M. Generalized estimating equations in longitudinal data analysis: A review and recent developments. Adv. Stat. 2014, 2014, 303728. [Google Scholar] [CrossRef] [PubMed]
- Schildcrout, J.S.; Heagerty, P.J. Regression analysis of longitudinal binary data with time-dependent environmental covariates: Bias and efficiency. Biostatistics 2005, 4, 633–652. [Google Scholar] [CrossRef] [PubMed] [Green Version]
- Hodas, N.O.; Lerman, K. The simple rules of social contagion. Sci. Rep. 2014, 4, 4343. [Google Scholar] [CrossRef] [Green Version]
- Hill, A.L.; Rand, D.G.; Nowak, M.A.; Christakis, N.A. Emotions as infectious diseases in a large social network: The SISa model. Proc. R. Soc. B Biol. Sci. 2010, 277, 3827–3835. [Google Scholar] [CrossRef] [PubMed]
- Yan, J.; Bracewell, D.B.; Ren, F.; Kuroiwa, S. The creation of a Chinese emotion ontology based on HowNet. Eng. Lett. 2008, 16, 166–171. [Google Scholar]
- Ekman, P. Facial expression and emotion. Am. Psychol. 1993, 48, 384. [Google Scholar] [CrossRef]
- Ferrara, E.; Yang, Z. Measuring emotional contagion in social media. PLoS ONE 2015, 10, e0142390. [Google Scholar] [CrossRef] [Green Version]
- Woolson, R.F. Wilcoxon signed-rank test. Wiley Encycl. Clin. Trials 2007, 1–3. [Google Scholar] [CrossRef]
- Cavazos-Rehg, P.A.; Krauss, M.J.; Sowles, S.; Connolly, S.; Rosas, C.; Bharadwaj, M.; Bierut, L.J. A content analysis of depression-related tweets. Comput. Hum. Behav. 2016, 54, 351–357. [Google Scholar] [CrossRef] [Green Version]
- De Choudhury, M.; Counts, S.; Horvitz, E. Social media as a measurement tool of depression in populations. In Proceedings of the 5th Annual ACM Web Science Conference, Paris, France, 2–4 May 2013; pp. 47–56. [Google Scholar]
- Settanni, M.; Marengo, D. Sharing feelings online: Studying emotional well-being via automated text analysis of Facebook posts. Front. Psychol. 2015, 6, 1045. [Google Scholar] [CrossRef] [PubMed] [Green Version]
- Gross, J. Antecedent- and response-focused emotion regulation: Divergent consequences for experience, expression, and physiology. J. Personal. Soc. Psychol. 1998, 74, 224–237. [Google Scholar] [CrossRef]
- Berger, J.; Milkman, K.L. What makes online content viral? J. Mark. Res. 2012, 49, 192–205. [Google Scholar] [CrossRef] [Green Version]
- Phillips, M.R.; Zhang, J.; Shi, Q.; Song, Z.; Ding, Z.; Pang, S.; Li, X.; Zhang, Y.; Wang, Z. Prevalence, treatment, and associated disability of mental disorders in four provinces in China during 2001–2005: An epidemiological survey. Lancet 2009, 373, 2041–2053. [Google Scholar] [CrossRef]
- Yang, L.H.; Kleinman, A. Face and the embodiment of stigma in china: The cases of schizophrenia and aids. Soc. Sci. Med. 2008, 67, 398–408. [Google Scholar] [CrossRef] [Green Version]






| Dependent Variable: Current User’s EV | |||
|---|---|---|---|
| Co-Eff | S.E. | p-Value | |
| Current EV received | 0.031 | 0.0101 | 0.001 |
| Previous EV received | −0.017 | 0.0098 | 0.087 |
| Previous user’s EV | 0.500 | 0.0250 | 0.000 |
| Constant | −0.248 | 0.0152 | 0.000 |
| Positive Emotional Contagion | Negative Emotional Contagion | |||||
|---|---|---|---|---|---|---|
| Susceptible Groups: 320 | Non-Susceptible Groups: 603 | p | Susceptible Groups: 278 | Non-Susceptible Groups: 1045 | p | |
| Gender | 0.435 | 0.466 | ||||
| No. of males, n (%), | 73, 22.81 | 153, 25.37 | 70, 25.18 | 239, 22.87 | ||
| No. of females, n (%) | 247, 77.19 | 450, 74.63 | 208, 74.82 | 806, 77.13 | ||
| Activity | <0.01 | <0.01 | ||||
| Mean | 157.55 | 131.91 | 221 | 154 | ||
| Median | 97 | 79 | 117 | 93 | ||
| Loyalty | 0.73 | 0.48 | ||||
| Mean | 296.04 | 306.79 | 332 | 291 | ||
| Median | 205 | 202 | 212 | 205 | ||
Publisher’s Note: MDPI stays neutral with regard to jurisdictional claims in published maps and institutional affiliations. |
© 2021 by the authors. Licensee MDPI, Basel, Switzerland. This article is an open access article distributed under the terms and conditions of the Creative Commons Attribution (CC BY) license (https://creativecommons.org/licenses/by/4.0/).
Share and Cite
Tang, J.; Yu, G.; Yao, X. Emotional Contagion in the Online Depression Community. Healthcare 2021, 9, 1609. https://doi.org/10.3390/healthcare9121609
Tang J, Yu G, Yao X. Emotional Contagion in the Online Depression Community. Healthcare. 2021; 9(12):1609. https://doi.org/10.3390/healthcare9121609
Chicago/Turabian StyleTang, Jingyun, Guang Yu, and Xiaoxu Yao. 2021. "Emotional Contagion in the Online Depression Community" Healthcare 9, no. 12: 1609. https://doi.org/10.3390/healthcare9121609
APA StyleTang, J., Yu, G., & Yao, X. (2021). Emotional Contagion in the Online Depression Community. Healthcare, 9(12), 1609. https://doi.org/10.3390/healthcare9121609

