In Vitro Evaluation of Facial Pressure and Air Leak with a Newly Designed Cushion for Non-Invasive Ventilation Masks
Abstract
1. Introduction
2. Materials and Methods
2.1. Cushion Material and Development
2.2. Masks Choices
2.3. Lung Model
2.4. Measurement of Pressure on the Face and Air Leak Volume
2.5. Statistical Analysis
3. Results
3.1. Effect of a Cushion on Air Leak and Ventilation Volume
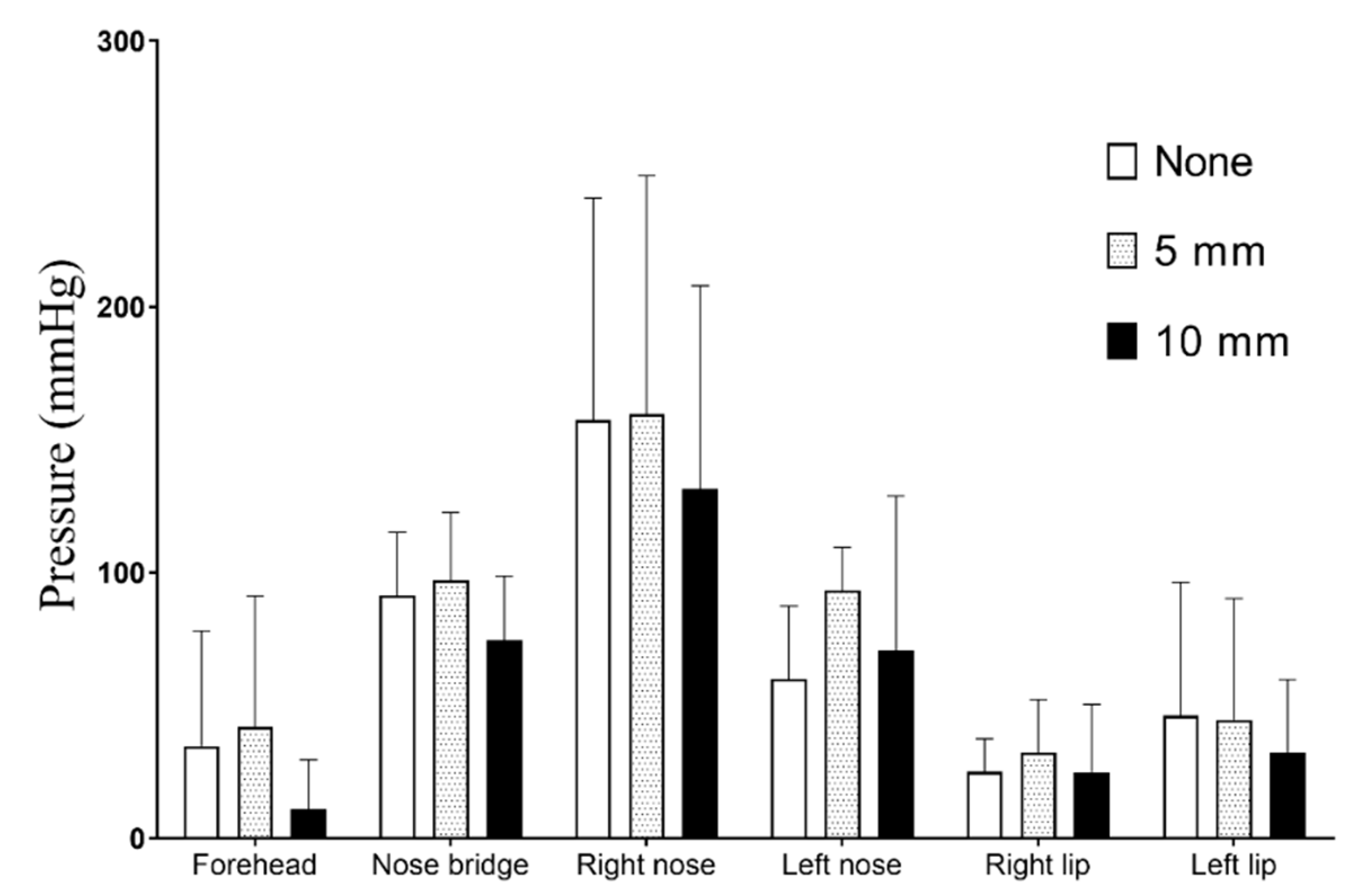
3.2. Impact of a Cushion to the Pressure on the Face
4. Discussion
4.1. Influence of the Cushion on Ventilation
4.2. Pressure Caused by NIV Masks
5. Conclusions
Author Contributions
Funding
Conflicts of Interest
References
- Kondo, Y.; Kumasawa, J.; Seo, R.; Nango, E.; Kawaguchi, A.; Hashimoto, S. Effects of non-invasive ventilation in patients with acute respiratory failure excluding post-extubation respiratory failure, cardiogenic pulmonary edema and exacerbation of COPD: A systematic review and meta-analysis. J. Anesthesia 2017, 31, 714–725. [Google Scholar] [CrossRef] [PubMed]
- Viniol, C.; Vogelmeier, C.F. Exacerbations of COPD. Eur. Respir. Rev. 2018, 27, 170103. [Google Scholar] [CrossRef] [PubMed]
- Esquinas, A.M.; Benhamou, M.O.; Glossop, A.J.; Mina, B. Noninvasive mechanical ventilation in acute ventilatory failure: Rationale and current applications. Sleep. Med. Clin. 2017, 12, 597–606. [Google Scholar] [CrossRef] [PubMed]
- Gifford, A.H. Noninvasive ventilation as a palliative measure. Curr. Opin. Support. Palliat. Care. 2014, 8, 218–224. [Google Scholar] [CrossRef] [PubMed]
- Puntillo, K.; Nelson, J.E.; Weissman, D.; Curtis, R.; Weiss, S.; Frontera, J.; Gabriel, M.; Hays, R.; Lustbader, D.; Mosenthal, A.; et al. Palliative care in the ICU: Relief of pain, dyspnea, and thirst—A report from the IPAL-ICU Advisory Board. Intensiv. Care Med. 2014, 40, 235–248. [Google Scholar] [CrossRef] [PubMed]
- Storre, J.H.; Callegari, J.; Magnet, F.S.; Schwarz, S.B.; Duiverman, M.L.; Wijkstra, P.J.; Windisch, W. Home noninvasive ventilatory support for patients with chronic obstructive pulmonary disease: Patient selection and perspectives. Int. J. Chronic Obstr. Pulm. Dis. 2018, 13, 753–760. [Google Scholar] [CrossRef]
- Crimi, C.; Noto, A.; Esquinas, A.; Nava, S. A European Survey of Non-Invasive Ventilation (NIV) Practices. In Proceedings of the American Thoracic Society 2009 International Conference, San Diego, CA, USA, 15–20 May 2009; Volume 36, pp. 362–369. [Google Scholar] [CrossRef]
- Argent, A.C. Noninvasive Ventilatory Support: The Detail Lies in the Interface. Respir. Care 2015, 60, 1708–1710. [Google Scholar] [CrossRef]
- Holanda, M.A.; Reis, R.C.; Winkeler, G.F.P.; Fortaleza, S.C.B.; Lima, J.W.D.O.; Pereira, E.D.B. Influence of total face, facial and nasal masks on short-term adverse effects during noninvasive ventilation. J. Bras. Pneumol. 2009, 35, 164–173. [Google Scholar] [CrossRef]
- Carron, M.; Freo, U.; Bahammam, A.S.; Dellweg, D.; Guarracino, F.; Cosentini, R.; Feltracco, P.; Vianello, A.; Ori, C.; Esquinas, A. Complications of non-invasive ventilation techniques: A comprehensive qualitative review of randomized trials. Br. J. Anaesth. 2013, 110, 896–914. [Google Scholar] [CrossRef]
- Schallom, M.; Cracchiolo, L.; Falker, A.; Foster, J.; Hager, J.; Morehouse, T.; Watts, P.; Weems, L.; Kollef, M.H. Pressure Ulcer Incidence in Patients Wearing Nasal-Oral Versus Full-Face Noninvasive Ventilation Masks. Am. J. Crit. Care 2015, 24, 349–356. [Google Scholar] [CrossRef]
- Weng, M.-H. The effect of protective treatment in reducing pressure ulcers for non-invasive ventilation patients. Intensiv. Crit. Care Nurs. 2008, 24, 295–299. [Google Scholar] [CrossRef] [PubMed]
- Dellweg, D.; Hochrainer, D.; Klauke, M.; Kerl, J.; Eiger, G.; Köhler, D. Determinants of skin contact pressure formation during non-invasive ventilation. J. Biomech. 2010, 43, 652–657. [Google Scholar] [CrossRef] [PubMed]
- Maruccia, M.; Ruggieri, M.; Onesti, M.G. Facial skin breakdown in patients with non-invasive ventilation devices: Report of two cases and indications for treatment and prevention. Int. Wound J. 2013, 12, 451–455. [Google Scholar] [CrossRef] [PubMed]
- Shikama, M.; Nakagami, G.; Noguchi, H.; Mori, T.; Sanada, H. Development of Personalized Fitting Device With 3-Dimensional Solution for Prevention of NIV Oronasal Mask-Related Pressure Ulcers. Respir. Care 2018, 63, 1024–1032. [Google Scholar] [CrossRef] [PubMed]
- Brill, A.-K. How to avoid interface problems in acute noninvasive ventilation. Breathe 2014, 10, 230–242. [Google Scholar] [CrossRef]
- Al Otair, H.A.; Bahammam, A.S. Ventilator- and interface-related factors influencing patient-ventilator asynchrony during noninvasive ventilation. Ann. Thorac. Med. 2020, 15, 1–8. [Google Scholar] [CrossRef]
- Coyer, F.; A Stotts, N.; Blackman, V.S. A prospective window into medical device-related pressure ulcers in intensive care. Int. Wound J. 2014, 11, 656–664. [Google Scholar] [CrossRef]
- Sugama, J.; Sanada, H.; Takahashi, M. Reliability and validity of a multi-pad pressure evaluator for pressure ulcer management. J. Tissue Viability 2002, 12, 148–153. [Google Scholar] [CrossRef]
- Brill, A.-K.; Pickersgill, R.; Moghal, M.; Morrell, M.J.; Simonds, A.K. Mask pressure effects on the nasal bridge during short-term noninvasive ventilation. ERJ Open Res. 2018, 4, 00168-2017. [Google Scholar] [CrossRef]
- Brill, A.-K.; Moghal, M.; Morrell, M.J.; Simonds, A.K. Randomized crossover trial of a pressure sensing visual feedback system to improve mask fitting in noninvasive ventilation. Respirology 2017, 22, 1343–1349. [Google Scholar] [CrossRef]
- Barros, L.S.; Talaia, P.; Drummond, M.; Jorge, R.N. Facial pressure zones of an oronasal interface for noninvasive ventilation: A computer model analysis. J. Bras. Pneumol. 2014, 40, 652–657. [Google Scholar] [CrossRef] [PubMed][Green Version]





| Mask/Condition | Leak Flow (L/min) | Inspiratory Volume (mL) |
|---|---|---|
| Amara | ||
| None | 61.3 ± 8.9 * | 557.3 ± 160.1 |
| 5-mm cushion | 35.8 ± 2.3 | 643.3 ± 10.9 |
| 10-mm cushion | 47.3 ± 8.6 | 527.3 ± 77.4 |
| p-value | 0.205 | 0.493 |
| Mirage | ||
| None | 62.0 ± 4.7 * | 490.8 ± 54.3 |
| 5-mm cushion | 43.9 ± 4.6 | 574.3 ± 23.3 |
| 10-mm cushion | 47.5 ± 4.7 | 593.7 ± 89.1 |
| p-value | 0.005 | 0.247 |
| Forma | ||
| None | 62.7 ± 5.8 * | 515.0 ± 52.0 |
| 5-mm cushion | 45.5 ± 5.6 | 618.0 ± 23.1 |
| 10-mm cushion | 45.2 ± 2.39 | 599.7 ± 10.9 |
| p-value | 0.004 | 0.039 |
| Wizard | ||
| None | 47.4 ± 4.1 | 633.8 ± 26.6 |
| 5-mm cushion | 42.9 ± 5.8 | 604.3 ± 75.2 |
| 10-mm cushion | 49.4 ± 4.9 | 628.5 ± 32.2 |
| p-value | 0.317 | 0.726 |
Publisher’s Note: MDPI stays neutral with regard to jurisdictional claims in published maps and institutional affiliations. |
© 2020 by the authors. Licensee MDPI, Basel, Switzerland. This article is an open access article distributed under the terms and conditions of the Creative Commons Attribution (CC BY) license (http://creativecommons.org/licenses/by/4.0/).
Share and Cite
Lin, H.-L.; Lee, Y.-C.; Wang, S.-H.; Chiang, L.-Y.; Liu, J.-F. In Vitro Evaluation of Facial Pressure and Air Leak with a Newly Designed Cushion for Non-Invasive Ventilation Masks. Healthcare 2020, 8, 523. https://doi.org/10.3390/healthcare8040523
Lin H-L, Lee Y-C, Wang S-H, Chiang L-Y, Liu J-F. In Vitro Evaluation of Facial Pressure and Air Leak with a Newly Designed Cushion for Non-Invasive Ventilation Masks. Healthcare. 2020; 8(4):523. https://doi.org/10.3390/healthcare8040523
Chicago/Turabian StyleLin, Hui-Ling, Yu-Chi Lee, Ssu-Hui Wang, Li-Ying Chiang, and Jui-Fang Liu. 2020. "In Vitro Evaluation of Facial Pressure and Air Leak with a Newly Designed Cushion for Non-Invasive Ventilation Masks" Healthcare 8, no. 4: 523. https://doi.org/10.3390/healthcare8040523
APA StyleLin, H.-L., Lee, Y.-C., Wang, S.-H., Chiang, L.-Y., & Liu, J.-F. (2020). In Vitro Evaluation of Facial Pressure and Air Leak with a Newly Designed Cushion for Non-Invasive Ventilation Masks. Healthcare, 8(4), 523. https://doi.org/10.3390/healthcare8040523

