Variability in Strength, Pain, and Disability Changes in Response to an Isolated Lumbar Extension Resistance Training Intervention in Participants with Chronic Low Back Pain
Abstract
:1. Introduction
2. Materials and Methods
2.1. Experimental Approach to the Problem
Participants
2.2. Procedures and Protocols
2.2.1. Equipment
2.2.2. Testing
2.2.3. Training for Intervention Arms
2.3. Statistical Analysis
3. Results
3.1. Participant Demographics
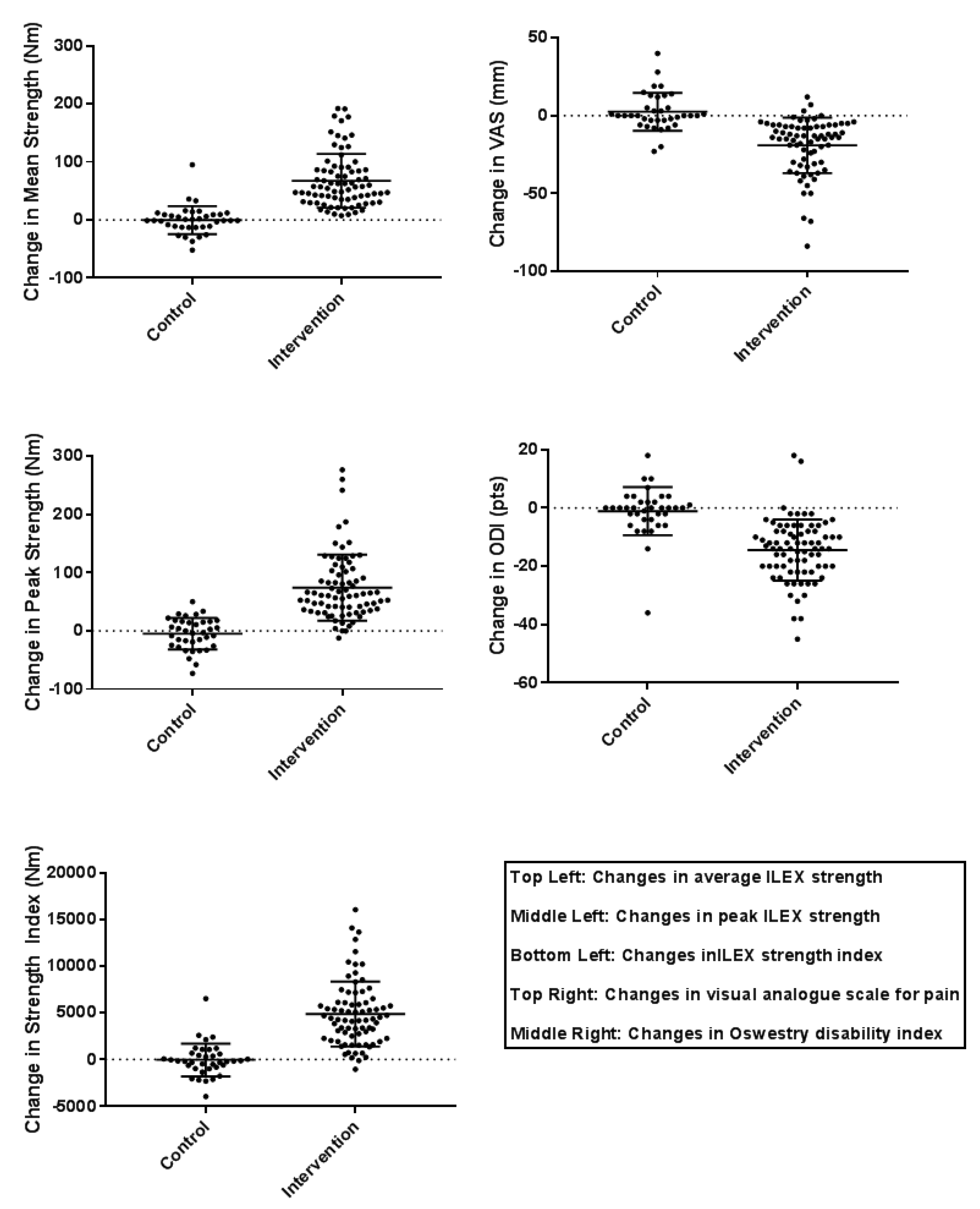
3.2. Presence of True Inter-Individual Responses
3.3. ILEX Strength
3.4. Pain
3.5. Disability
4. Discussion
5. Conclusions
Acknowledgments
Author Contributions
Conflicts of Interest
References
- National Institute for Health and Clinical Excellence. Low Back Pain: Early Management of Persistent Non-Specific Low Back Pain; Royal College of General Practitioners: London, UK, 2009. [Google Scholar]
- Walker, B.F. The prevalence of low back pain: A systematic review of the literature from 1966 to 1998. J. Spinal Disord. 2000, 13, 205–217. [Google Scholar] [CrossRef] [PubMed]
- Freburger, J.K.; Holmes, G.M.; Agans, R.P.; Jackman, A.M.; Darter, J.D.; Wallace, A.S.; Castel, L.D.; Kalsbeek, W.D.; Carey, T.S. The rising prevalence of chronic low back pain. Arch. Intern. Med. 2009, 169, 251–258. [Google Scholar]
- Guo, H.R.; Tanaka, S.; Halperin, W.E.; Cameron, L.L. Back pain prevalence in US industry and estimates of lost workdays. Am. J. Public Health 1999, 89, 1029–1035. [Google Scholar] [CrossRef] [PubMed]
- Maniadakis, N.; Gray, A. The economic burden of back pain in the UK. Pain 2000, 84, 95–103. [Google Scholar] [CrossRef]
- Ricci, J.A.; Stewart, W.F.; Chee, E.; Leotta, C.; Foley, K.; Hocberg, M.C. Back pain exacerbations and lost productive time costs in United States workers. Spine 2006, 31, 3052–3060. [Google Scholar] [CrossRef] [PubMed]
- Hayden, J.; Van Tulder, M.W.; Malmivaara, A.; Koes, B.W. Exercise therapy for no-specific low back pain. Cochrane Database Syst. Rev. 2005, 3, CD000335. [Google Scholar]
- Van Tulder, M.W.; Malmivaara, A.; Esmail, R.; Koes, B.W. Exercise therapy for low back pain. Cochrane Database Syst. Rev. 2000, 2, CD00335. [Google Scholar]
- Manniche, C.; Jordan, A. Letter to the editor. Spine 2001, 26, 842–843. [Google Scholar] [CrossRef] [PubMed]
- Manniche, C.; Jordan, A. Letter to the editor. Spine 2001, 26, 994. [Google Scholar] [CrossRef] [PubMed]
- Helmhout, P.H.; Staal, J.B.; Maher, C.G.; Petersen, T.; Rainville, J.; Shaw, W.S. Exercise therapy and low back pain: Insights and proposals to improve the design, conduct, and reporting of clinical trials. Spine 2008, 33, 1782–1788. [Google Scholar] [CrossRef] [PubMed]
- Mayer, J.; Mooney, V.; Dagenais, S. Evidence informed management of chronic low back pain with lumbar extensor strengthening exercises. Spine J. 2008, 8, 96–113. [Google Scholar] [CrossRef] [PubMed]
- Searle, A.; Spink, M.; Ho, A.; Chuter, V. Exercise interventions for the treatment of chronic low back pain: A systematic review and meta-analysis of randomised controlled trials. Clin. Rehabil. 2015, 29, 1155–1167. [Google Scholar] [CrossRef] [PubMed]
- National Research Council. Work-Related Musculoskeletal Disorders: A Review of the Evidence; National Academy Press: Washington, DC, USA, 1998. [Google Scholar]
- National Research Council and the Institute of Medicine. Musculoskeletal Disorders and the Workplace: Low Back and Upper Extremities; National Academy Press: Washington DC, USA, 2001. [Google Scholar]
- Hodges, P.W.; Smeets, R.J. Interaction between pain, movement and physical activity: Short-term benefits, long-terms consequences, and targets for treatment. Clin. J. Pain 2015, 31, 97–107. [Google Scholar] [CrossRef] [PubMed]
- Langevin, H.M.; Sherman, K.J. Pathophysiological model for chronic low back pain integrating connective tissue and nervous system mechanisms. Med. Hypotheses 2007, 68, 74–80. [Google Scholar] [CrossRef] [PubMed]
- Richmond, J. Multi-factorial causative model for back pain management; relating causative factors and mechanisms to injury presentations and designing time- and cost effective treatment thereof. Med. Hypotheses 2012, 79, 232–240. [Google Scholar] [CrossRef] [PubMed]
- Ford, J.; Story, I.; O’Sullivan, P.; McMeeken, J. Classification systems for low back pain: A review of the methodology for development and validation. Phys. Ther. Rev. 2007, 12, 33–42. [Google Scholar] [CrossRef]
- Hepple, P.; Robertson, A.R.R. Back pain-reducing long term problems. Br. J. Gen. Pract. 2006, 56, 324–326. [Google Scholar] [PubMed]
- Lebouef-Yde, C.; Lauritsen, J.M.; Lauritzen, T. Why has the search for causes of low back pain largely been nonconclusive? Spine 1997, 22, 877–881. [Google Scholar] [CrossRef]
- Carpenter, D.M.; Nelson, B.W. Low back strengthening for the prevention and treatment of low back pain. Med. Sci. Sports Exerc. 1999, 31, 18–24. [Google Scholar] [CrossRef] [PubMed]
- Pollock, M.L.; Leggett, S.H.; Graves, J.E.; Jones, A.; Fulton, M.; Cirulli, J. Effect of resistance training on lumbar extension strength. Am. J. Sports Med. 1989, 17, 624–629. [Google Scholar] [CrossRef] [PubMed]
- Smith, D.; Bruce-Low, S.; Bissell, G. Twenty years of specific, isolated lumbar extension research: A review. J. Orthop. 2008, 5, 14. [Google Scholar]
- Steele, J.; Bruce-Low, S.; Smith, D. A reappraisal of the deconditioning hypothesis in low back pain: Review of evidence from a triumvirate of research methods on specific lumbar extensor deconditioning. Curr. Med. Res. Opin. 2014, 30, 865–911. [Google Scholar] [CrossRef] [PubMed]
- DeLorme, T.L. Restoration of muscle power by heavy-resistance exercises. J. Bone Jt. Surg. 1945, 27, 645. [Google Scholar]
- DeLorme, T.L.; Watkins, A.L. Technics of progressive resistance exercise. Arch. Phys. Med. Rehabil. 1948, 29, 263–273. [Google Scholar] [PubMed]
- Steele, J.; Bruce-Low, S.; Smith, D. A review of the specificity of exercises designed for conditioning the lumbar extensors. Br. J. Sports Med. 2015, 49, 291–297. [Google Scholar] [CrossRef] [PubMed]
- Steele, J.; Bruce-Low, S.; Smith, D. A review of the clinical value of isolated lumbar extension resistance training for chronic low back pain. PM&R 2015, 7, 169–187. [Google Scholar]
- Fisher, J.; Steele, J.; Bruce-Low, S.; Smith, D. Evidence based resistance training recommendations. Med. Sport. 2011, 15, 147–162. [Google Scholar] [CrossRef]
- Fisher, J.; Steele, J.; Smith, D. Evidence based resistance training recommendations for muscular hypertrophy. Med. Sport 2013, 17, 217–235. [Google Scholar]
- Aasa, B.; Berglund, L.; Michaelson, P.; Aasa, U. Individualised low-load motor control exercises and education versus a high-load lifting exercise and education to improve activity, pain intensity, and physical performance in patients with low back pain: A randomized controlled trial. J. Orthop. Sports. Phys. Ther. 2015, 45, 77–85. [Google Scholar] [CrossRef] [PubMed]
- Nelson, B.W.; O’Reilly, E.; Miller, M. The clinical effects of intensive, specific exercise on low back pain: A controlled study of 895 consecutive patients with a one year follow up. Orthopedics 1995, 18, 971–981. [Google Scholar] [PubMed]
- Bruce-Low, S.; Smith, D.; Burnet, S.; Fisher, J.; Bissell, G.; Webster, L. One lumbar extension training session per week is sufficient for optimal strength gains and reductions in low back pain in chronic participants. Ergonomics 2012, 55, 500–507. [Google Scholar] [CrossRef] [PubMed]
- Steele, J.; Bruce-Low, S.; Smith, D.; Jessop, D.; Osborne, N. A Randomised Controlled Trial of Limited Range of Motion Lumbar Extension Exercise in Chronic Low Back Pain. Spine 2013, 38, 1245–1252. [Google Scholar] [CrossRef] [PubMed]
- Steele, J.; Bruce-Low, S.; Smith, D.; Jessop, D.; Osborne, N. Isolated lumbar extension resistance training improves strength, pain, and disability, but not spinal height or shrinkage (‘creep’) in participants with chronic low back pain. Cartilage 2017. [Google Scholar] [CrossRef]
- Graves, J.E.; Pollock, M.L.; Carpenter, D.M.; Leggett, S.H.; Jones, A.; MacMillan, M.; Fulton, M. Quantitative assessment of full range of motion isometric lumbar extension strength. Spine 1990, 15, 289–294. [Google Scholar] [CrossRef] [PubMed]
- Robinson, M.E.; Greene, A.F.; O’Connor, P.; Graves, J.E.; MacMillan, M. Reliability of lumbar isometric torque in patients with chronic low back pain. Phys. Ther. 1992, 72, 186–190. [Google Scholar] [CrossRef] [PubMed]
- Inanami, H. Iwai Orthopedic Hospital rehabilitation program [abstract]. Presented at International Spinal Rehabilitation Update 1991 Symposium, Daytona, FL, USA, 12–14 September 1991. [Google Scholar]
- Pollock, M.L.; Graves, J.E.; Leggett, S.H.; Young, W.G.; Gazzarella, Z.; Carpenter, D.M.; Carroll, J.; Braith, R.; Limacher, M. Accuracy of counter weighting to account for upper body mass in testing lumbar extension strength. Med. Sci. Sports Exerc. 1991, 23, 66. [Google Scholar]
- Ogon, M.; Krismer, M.; Sollner, W.; Kantner-Rumplmair, W.; Lampe, A. Chronic low back pain measurement with visual analogue scales in different settings. Pain 1996, 64, 425–428. [Google Scholar] [CrossRef]
- Fairbank, J.C.; Couperm, J.; Davies, J.B.; O’Brien, J.P. The Oswestry low back pain disability questionnaire. Physiotherapy 1980, 66, 271–273. [Google Scholar] [PubMed]
- Steele, J.; Fisher, J.; Giessing, J.; Gentil, P. Clarity in reporting terminology and definitions of set endpoints in resistance training. Muscle Nerve 2017, 56, 368–374. [Google Scholar] [CrossRef] [PubMed]
- Atkinson, G.; Batterham, A.M. True and false interindividual differences in the physiological response to an intervention. Exp. Physiol. 2015, 100, 577–588. [Google Scholar] [CrossRef] [PubMed]
- Ostelo, R.W.J.G.; Deyo, R.A.; Stratford, P.; Waddell, G.; Croft, P.; Von Korff, M.; Bouter, L.M.; de Vet, H.C. Interpreting change scores for pain and functional status in low back pain: Towards international consensus regarding minimal important change. Spine 2008, 33, 90–94. [Google Scholar] [CrossRef] [PubMed]
- Hubal, M.J.; Gordish-Dressman, H.; Thompson, P.D.; Price, T.B.; Hoffman, E.P.; Angelopoulos, T.J.; Gordon, P.M.; Moyna, N.M.; Pescatello, L.S.; Visich, P.S.; et al. Variability in muscle size and strength after unilateral resistance training. Med. Sci. Sports Exerc. 2005, 37, 964–972. [Google Scholar] [PubMed]
- Rittweger, J.; Just, K.; Kautzsch, K.; Reeq, P.; Felsenberg, D. Treatment of chronic lower back pain with lumbar extension and whole-body vibration exercise: a randomized controlled trial. Spine 2002, 27, 1829–1834. [Google Scholar] [CrossRef] [PubMed]
- Matheson, L.; Leggett, S.; Mooney, V.; Schneider, K.; Mayer, J. Contributions of aerobic fitness and back strength to lift capacity. Spine 2002, 27, 1208–1212. [Google Scholar] [CrossRef] [PubMed]
- Reyna, J.R.; Leggett, S.H.; Kenney, K.; Holmes, B.; Mooney, V. The effect of lumbar belts on isolated lumbar muscle. Strength and dynamic capacity. Spine 1995, 20, 68–73. [Google Scholar] [CrossRef] [PubMed]
- Al Obaidi, S.M.; Nelson, R.M.; Al-Awadhi, S.; Al-Shuwaie, N. The role of anticipation and fear of pain in the persistence of avoidance behaviour in patients with chronic low back pain. Spine 2000, 25, 1126–1131. [Google Scholar] [CrossRef] [PubMed]
- Giessing, J.; Eichmann, B.; Steele, J.; Fisher, J. A comparison of low volume ‘high-intensity-training’ and high volume traditional resistance training methods on muscular performance, body composition, and subjective assessments of training. Biol. Sport 2016, 33, 241–249. [Google Scholar] [CrossRef] [PubMed]
- Giessing, J.; Fisher, J.; Steele, J.; Rothe, F.; Raubold, K.; Eichmann, B. The effects of low volume resistance training with and without advanced techniques in trained subjects. J. Sports Med. Phys. Fitness 2016, 56, 249–258. [Google Scholar]
- Willemink, M.J.; van Es, H.W.; Helmhout, P.H.; Diederik, A.L.; Kelder, J.C.; van Heesewijk, J.P. The effects of dynamic isolated lumbar extensor training on lumbar multifidus functional cross-sectional area and functional status of patients with chronic nonspecific low back pain. Spine 2012, 37, E1651–E1658. [Google Scholar] [CrossRef] [PubMed]
- Choi, G.; Raiturker, P.P.; Kim, M.J.; Chung, D.J.; Chae, Y.S.; Lee, S.H. The effect of early isolated lumbar extension exercise program for patients with herniated disc undergoing lumbar discectomy. Neurosurgery 2005, 57, 764–772. [Google Scholar] [CrossRef] [PubMed]
- Mooney, V.; Gulick, J.; Perlman, M.; Levy, D.; Pozos, R.; Leggett, S.; Resnick, D. Relationships between myoelectric activity, strength and MRI of lumbar extensor muscles in back pain patients and normal subjects. J. Spinal Disord. 1997, 10, 348–356. [Google Scholar] [CrossRef] [PubMed]
- Steele, J.; Bruce-Low, S.; Smith, D.; Willemink, M.J.; van Es, H.W.; Helmhout, P.H. The effects of dynamic isolated lumbar extensor training on lumbar multifidus functional cross-sectional area and functional status of patients with chronic nonspecific low back pain. Spine 2013, 38, 1609–1610. [Google Scholar] [CrossRef] [PubMed]
- Ford, J.J.; Hahne, A.J. Pathoanatomy and classification of low back disorders. Man. Ther. 2013, 18, 165–168. [Google Scholar] [CrossRef] [PubMed]
- Risch, S.V.; Norvell, N.K.; Pollock, M.L.; Risch, E.D.; Langer, H.; Fulton, M.; Graves, J.E.; Leggett, S.H. Lumbar strengthening in chronic low back pain patients. Spine 1993, 18, 232–238. [Google Scholar] [CrossRef] [PubMed]
- Kent, P.; Keating, J. Do primary-care clinicians think that non-specific low back pain is one condition? Spine 2004, 29, 1022–1031. [Google Scholar] [CrossRef] [PubMed]
- Ford, J.; Thompson, S.; Hahne, A. A classification and treatment protocol for low back disorders. Part 1. Specific manual therapy. Phys. Ther. Rev. 2012, 16, 168–177. [Google Scholar] [CrossRef]
- Ford, J.; Surkitt, L.; Hahne, A. A classification and treatment protocol for low back disorders. Part 2. Directional preference management for reducible discogenic pain. Phys. Ther. Rev. 2012, 16, 423–437. [Google Scholar] [CrossRef]
- Ford, J.; Hahne, A.; Chan, A.; Surkitt, L. A classification and treatment protocol for low back disorders. Part 3. Functional restoration for intervertebral disc related disorders. Phys. Ther. Rev. 2012, 17, 55–75. [Google Scholar] [CrossRef]
- Ford, J.; Richards, M.; Hahne, A. A classification and treatment protocol for low back disorders. Part 4. Functional restoration for low back disorders associated with multifactorial persistent pain. Phys. Ther. Rev. 2012, 17, 322–334. [Google Scholar] [CrossRef]







| Variable | Control Arms (n = 37) | Intervention Arms (n = 77) |
|---|---|---|
| Age (years) | 47 ± 14 | 46 ± 14 |
| Stature (cm) | 172.5 ± 10.0 | 171.3 ± 8.1 |
| Body Mass (kg) | 79.6 ± 16.4 | 77.2 ± 14.0 |
| Body Mass Index (kg·m2) | 26.5 ± 3.8 | 26.1 ± 3.2 |
| Symptom duration (years) | 14 ± 13 | 14 ± 13 |
| VAS (mm) | 26.9 ± 15.2 | 36.0 ± 21.6 |
| ODI (pts) | 30.0 ± 8.2 | 30.8 ± 12.8 |
| Average ILEX Strength (Nm) | 202.5 ± 99.7 | 198.9 ± 93.5 |
| Peak ILEX Strength (Nm) | 272.7 ± 135.0 | 276.1 ± 129.5 |
| ILEX Strength Index (Nm) | 13847.6 ± 6811.4 | 13078.0 ± 6780.9 |
| Variable | Difference () | Mean Intervention Change Score | Mean Control Change Score |
|---|---|---|---|
| VAS (mm) | 13.0 | −19.1 | 2.5 |
| ODI (pts) | 6.4 | −14.4 | −1.1 |
| Average ILEX Strength (Nm) | 39.5 | 67.5 | −0.2 |
| Peak ILEX Strength (Nm) | 49.8 | 74.2 | −4.7 |
| ILEX Strength Index (Nm) | 3022.4 | 4879.7 | −37.2 |
© 2017 by the authors. Licensee MDPI, Basel, Switzerland. This article is an open access article distributed under the terms and conditions of the Creative Commons Attribution (CC BY) license (http://creativecommons.org/licenses/by/4.0/).
Share and Cite
Steele, J.; Fisher, J.; Bruce-Low, S.; Smith, D.; Osborne, N.; Newell, D. Variability in Strength, Pain, and Disability Changes in Response to an Isolated Lumbar Extension Resistance Training Intervention in Participants with Chronic Low Back Pain. Healthcare 2017, 5, 75. https://doi.org/10.3390/healthcare5040075
Steele J, Fisher J, Bruce-Low S, Smith D, Osborne N, Newell D. Variability in Strength, Pain, and Disability Changes in Response to an Isolated Lumbar Extension Resistance Training Intervention in Participants with Chronic Low Back Pain. Healthcare. 2017; 5(4):75. https://doi.org/10.3390/healthcare5040075
Chicago/Turabian StyleSteele, James, James Fisher, Stewart Bruce-Low, Dave Smith, Neil Osborne, and Dave Newell. 2017. "Variability in Strength, Pain, and Disability Changes in Response to an Isolated Lumbar Extension Resistance Training Intervention in Participants with Chronic Low Back Pain" Healthcare 5, no. 4: 75. https://doi.org/10.3390/healthcare5040075
APA StyleSteele, J., Fisher, J., Bruce-Low, S., Smith, D., Osborne, N., & Newell, D. (2017). Variability in Strength, Pain, and Disability Changes in Response to an Isolated Lumbar Extension Resistance Training Intervention in Participants with Chronic Low Back Pain. Healthcare, 5(4), 75. https://doi.org/10.3390/healthcare5040075

