Strain Analysis from Transverse CMR Cine Imaging in Congenital Heart Disease: Feasibility, Reproducibility, and Comparison to Global Longitudinal Strain †
Abstract
1. Introduction
2. Materials and Methods
2.1. Study Population and Design
2.2. CMR Acquisition and Functional Analysis
2.3. Strain Analysis/CMR Feature-Tracking
- GLS, expressed as a negative value, represents base-apex shortening and is derived by averaging the peak strain values of individual segments using the 17-segment model [17]. GLS analysis of the systemic or left ventricle was performed using LAX (2-, 3-, and 4-chamber) cine images, and GLS of the hypoplastic or right ventricle from a single LAX (4-chamber) image. Analysis was conducted automatically and manually by tracing the endocardial and epicardial borders in ES and ED across all required planes.
- TrS was performed using transverse-oriented cine images. For standardizing purposes, we chose to include only images with clearly detectable atria, ventricles, and atrioventricular plane in both ES and ED. The atrioventricular plane served as the anatomical base for contouring. Slices in which the atrioventricular plane was not clearly identifiable in either phase were excluded.
2.4. Statistical Analysis
3. Results
3.1. Intra- and Interobserver Reproducibility
3.2. Intermethod Comparison Between TrS and GLS
4. Discussion
4.1. Reproducibility
4.2. Intermethod Agreement and Systematic Bias
4.3. Clinical Relevance
4.4. Limitations
4.5. Validation and Future Directions
5. Conclusions
Supplementary Materials
Author Contributions
Funding
Institutional Review Board Statement
Informed Consent Statement
Data Availability Statement
Acknowledgments
Conflicts of Interest
Abbreviations
| BSA | Body Surface Area |
| CHD | Congenital Heart Disease |
| CMR | Cardiovascular Magnetic Resonance |
| ESV | End-Systolic Volume |
| EF | Ejection Fraction |
| EDV | End-Diastolic Volume |
| GLS | Global Longitudinal Strain |
| HV | Hypoplastic Ventricle |
| LAX | Long-Axis |
| LV | Left Ventricle |
| RV | Right Ventricle |
| SAX | Short-Axis |
| SD | Standard Deviation |
| SV | Systemic Ventricle |
| ToF | Tetralogy of Fallot |
| TrS | Transverse strain |
References
- Kalam, K.; Otahal, P.; Marwick, T.H. Prognostic implications of global LV dysfunction: A systematic review and meta-analysis of global longitudinal strain and ejection fraction. Heart 2014, 100, 1673–1680. [Google Scholar] [CrossRef] [PubMed]
- Romano, S.; Judd, R.M.; Kim, R.J.; Kim, H.W.; Klem, I.; Heitner, J.F.; Shah, D.J.; Jue, J.; White, B.E.; Indorkar, R.; et al. Feature-Tracking Global Longitudinal Strain Predicts Death in a Multicenter Population of Patients With Ischemic and Nonischemic Dilated Cardiomyopathy Incremental to Ejection Fraction and Late Gadolinium Enhancement. JACC Cardiovasc. Imaging 2018, 11, 1419–1429. [Google Scholar] [CrossRef]
- Schäfer, M.; Mitchell, M.B.; Frank, B.S.; Barker, A.J.; Stone, M.L.; Jaggers, J.; von Alvensleben, J.C.; Hunter, K.S.; Friesen, R.M.; Ivy, D.D.; et al. Myocardial strain-curve deformation patterns after Fontan operation. Sci. Rep. 2023, 13, 11912. [Google Scholar] [CrossRef]
- Korosoglou, G.; Sagris, M.; André, F.; Steen, H.; Montenbruck, M.; Frey, N.; Kelle, S.; Korosoglou, G.; Sagris, M.; André, F.; et al. Systematic review and meta-analysis for the value of cardiac magnetic resonance strain to predict cardiac outcomes. Sci. Rep. 2024, 14, 1094. [Google Scholar] [CrossRef]
- Kelle, S.; Nolden, A.C.; Muller, M.L.; Beyer, R.E.; Steen, H.; Remppis, B.A.; Wieditz, J.; Kentenich, H.; Tuit, A.; Cvetkovic, M.; et al. Rationale and design of the HERZCHECK trial: Detection of early heart failure using telemedicine and cardiovascular magnetic resonance in structurally weak regions (NCT05122793). J. Cardiovasc. Magn. Reson. 2025, 27, 101841. [Google Scholar] [CrossRef]
- Scatteia, A.; Baritussio, A.; Bucciarelli-Ducci, C. Strain imaging using cardiac magnetic resonance. Heart Fail. Rev. 2017, 22, 465–476. [Google Scholar] [CrossRef]
- Andre, F.; Steen, H.; Matheis, P.; Westkott, M.; Breuninger, K.; Sander, Y.; Kammerer, R.; Galuschky, C.; Giannitsis, E.; Korosoglou, G.; et al. Age- and gender-related normal left ventricular deformation assessed by cardiovascular magnetic resonance feature tracking. J. Cardiovasc. Magn. Reson. 2015, 17, 25. [Google Scholar] [CrossRef]
- Taylor, R.J.; Moody, W.E.; Umar, F.; Edwards, N.C.; Taylor, T.J.; Stegemann, B.; Townend, J.N.; Hor, K.N.; Steeds, R.P.; Mazur, W.; et al. Myocardial strain measurement with feature-tracking cardiovascular magnetic resonance: Normal values. Eur. Heart J.—Cardiovasc. Imaging 2015, 16, 871–881. [Google Scholar] [CrossRef] [PubMed]
- Fratz, S.; Chung, T.; Greil, G.F.; Samyn, M.M.; Taylor, A.M.; Valsangiacomo Buechel, E.R.; Yoo, S.J.; Powell, A.J. Guidelines and protocols for cardiovascular magnetic resonance in children and adults with congenital heart disease: SCMR expert consensus group on congenital heart disease. J. Cardiovasc. Magn. Reson. 2013, 15, 51. [Google Scholar] [CrossRef] [PubMed]
- Buechel, E.R.V.; Grosse-Wortmann, L.; Fratz, S.; Eichhorn, J.; Sarikouch, S.; Greil, G.F.; Beerbaum, P.; Bucciarelli-Ducci, C.; Bonello, B.; Sieverding, L.; et al. Indications for cardiovascular magnetic resonance in children with congenital and acquired heart disease: An expert consensus paper of the Imaging Working Group of the AEPC and the Cardiovascular Magnetic Resonance Section of the EACVI|Cardiology in the Young|Cambridge Core. Cardiol. Young 2015, 25, 819–838. [Google Scholar]
- Puricelli, F.; Voges, I.; Gatehouse, P.; Rigby, M.; Izgi, C.; Pennell, D.J.; Krupickova, S. Performance of Cardiac MRI in Pediatric and Adult Patients with Fontan Circulation. Radiol. Cardiothorac. Imaging 2022, 4, e210235. [Google Scholar] [CrossRef] [PubMed]
- Di Salvo, G.; Miller, O.; Babu Narayan, S.; Li, W.; Budts, W.; Valsangiacomo Buechel, E.R.; Frigiola, A.; van den Bosch, A.E.; Bonello, B.; Mertens, L.; et al. Imaging the adult with congenital heart disease: A multimodality imaging approach—Position paper from the EACVI. Eur. Heart J.—Cardiovasc. Imaging 2018, 19, 1077–1098. [Google Scholar] [CrossRef] [PubMed]
- Fogel, M.A.; Anwar, S.; Broberg, C.; Browne, L.; Chung, T.; Johnson, T.; Muthurangu, V.; Taylor, M.; Valsangiacomo-Buechel, E.; Wilhelm, C. Society for Cardiovascular Magnetic Resonance/European Society of Cardiovascular Imaging/American Society of Echocardiography/Society for Pediatric Radiology/North American Society for Cardiovascular Imaging Guidelines for the Use of Cardiac Magnetic Resonance in Pediatric Congenital and Acquired Heart Disease: Endorsed by The American Heart Association. Circ. Cardiovasc. Imaging 2022, 15, e014415. [Google Scholar]
- Strodka, F.; Logoteta, J.; Schuwerk, R.; Ravesh, M.S.; Gabbert, D.D.; Uebing, A.S.; Krupickova, S.; Voges, I. Myocardial deformation in patients with a single left ventricle using 2D cardiovascular magnetic resonance feature tracking: A case–control study. Int. J. Cardiovasc. Imaging 2021, 37, 2549–2559. [Google Scholar] [CrossRef]
- Writing Committee Members; Hundley, W.G.; Bluemke, D.A.; Finn, J.P.; Flamm, S.D.; Fogel, M.A.; Friedrich, M.G.; Ho, V.B.; Jerosch-Herold, M.; Kramer, C.M.; et al. ACCF/ACR/AHA/NASCI/SCMR 2010 Expert Consensus Document on Cardiovascular Magnetic Resonance. Circulation 2010, 121, 2462–2508. [Google Scholar]
- Yeong, M.; Loughborough, W.; Hamilton, M.; Manghat, N.; Yeong, M.; Loughborough, W.; Hamilton, M.; Manghat, N. Role of cardiac MRI and CT in Fontan circulation. J. Congenit. Cardiol. 2017, 1, 8. [Google Scholar] [CrossRef]
- Cerqueira, M.D.; Weissman, N.J.; Dilsizian, V.; Jacobs, A.K.; Kaul, S.; Laskey, W.K.; Pennell, D.J.; Rumberger, J.A.; Ryan, T.; Verani, M.S. Standardized Myocardial Segmentation and Nomenclature for Tomographic Imaging of the Heart. Circulation 2002, 105, 539–542. [Google Scholar] [CrossRef]
- Cicchetti, D.V. Guidelines, Criteria, and Rules of Thumb for Evaluating Normed and Standardized Assessment Instruments in Psychology. Psychol. Assess. 1994, 6, 284–290. [Google Scholar] [CrossRef]
- Geva, T. Repaired tetralogy of Fallot: The roles of cardiovascular magnetic resonance in evaluating pathophysiology and for pulmonary valve replacement decision support. J. Cardiovasc. Magn. Reson. 2011, 13, 9. [Google Scholar] [CrossRef]
- Sheehan, F.H.; Ge, S.; Vick, G.W., 3rd; Urnes, K.; Kerwin, W.S.; Bolson, E.L.; Chung, T.; Kovalchin, J.P.; Sahn, D.J.; Jerosch-Herold, M.; et al. Three-dimensional shape analysis of right ventricular remodeling in repaired tetralogy of Fallot. Am. J. Cardiol. 2008, 101, 107–113. [Google Scholar] [CrossRef]
- Elsayed, A.; Mauger, C.A.; Ferdian, E.; Gilbert, K.; Scadeng, M.; Occleshaw, C.J.; Lowe, B.S.; McCulloch, A.D.; Omens, J.H.; Govil, S.; et al. Right Ventricular Flow Vorticity Relationships With Biventricular Shape in Adult Tetralogy of Fallot. Front. Cardiovasc. Med. 2021, 8, 806107. [Google Scholar] [CrossRef]
- Bitterman, Y.; Hui, W.; Fan, C.S.; Kiss, A.; Mertens, L.; Wald, R.M.; Friedberg, M.K. Electromechanical Dyssynchrony Is Associated with Right Ventricular Remodeling and Dysfunction Independently of Pulmonary Regurgitation Late After Tetralogy of Fallot Repair. J. Am. Soc. Echocardiogr. 2023, 36, 1315–1323. [Google Scholar] [CrossRef]
- Meyer, S.L.; Ridderbos, F.J.S.; Wolff, D.; Eshuis, G.; van Melle, J.P.; Ebels, T.; Berger, R.M.F.; Willems, T.P. Serial cardiovascular magnetic resonance feature tracking indicates early worsening of cardiac function in Fontan patients. Int. J. Cardiol. 2020, 303, 23–29. [Google Scholar] [CrossRef]
- Kanngiesser, L.M.; Freitag-Wolf, S.; Boroni Grazioli, S.; Gabbert, D.D.; Hansen, J.H.; Uebing, A.S.; Voges, I. Serial Assessment of Right Ventricular Deformation in Patients With Hypoplastic Left Heart Syndrome: A Cardiovascular Magnetic Resonance Feature Tracking Study. J. Am. Heart Assoc. 2022, 11, e025332. [Google Scholar] [CrossRef]
- Dalen, H.; Thorstensen, A.; Aase, S.A.; Ingul, C.B.; Torp, H.; Vatten, L.J.; Stoylen, A. Segmental and global longitudinal strain and strain rate based on echocardiography of 1266 healthy individuals: The HUNT study in Norway. Eur. J. Echocardiogr. 2010, 11, 176–183. [Google Scholar] [CrossRef] [PubMed]
- Kawel-Boehm, N.; Maceira, A.; Valsangiacomo-Buechel, E.R.; Vogel-Claussen, J.; Turkbey, E.B.; Williams, R.; Plein, S.; Tee, M.; Eng, J.; Bluemke, D.A. Normal values for cardiovascular magnetic resonance in adults and children. J. Cardiovasc. Magn. Reson. 2015, 17, 29. [Google Scholar] [CrossRef] [PubMed]
- Schulz-Menger, J.; Bluemke, D.A.; Bremerich, J.; Flamm, S.D.; Fogel, M.A.; Friedrich, M.G.; Kim, R.J.; von Knobelsdorff-Brenkenhoff, F.; Kramer, C.M.; Pennell, D.J.; et al. Standardized image interpretation and post-processing in cardiovascular magnetic resonance—2020 update. J. Cardiovasc. Magn. Reson. 2020, 22, 19. [Google Scholar] [CrossRef]
- Kangvanskol, W.; Chungsomprasong, P.; Sanwong, Y.; Nakyen, S.; Vijarnsorn, C.; Patharateeranart, K.; Chanthong, P.; Kanjanauthai, S.; Pacharapakornpong, T.; Thammasate, P.; et al. Myocardial strain analysis by cardiac magnetic resonance associated with arrhythmias in repaired tetralogy of Fallot patients. BMC Med. Imaging 2024, 24, 328. [Google Scholar] [CrossRef]
- de Alba, C.G.; Khan, A.; Woods, P.; Broberg, C.S. Left ventricular strain and fibrosis in adults with repaired tetralogy of Fallot: A case-control study. Int. J. Cardiol. 2021, 323, 34–39. [Google Scholar] [CrossRef]
- Backhaus, S.J.; Metschies, G.; Zieschang, V.; Erley, J.; Zamani, S.M.; Kowallick, J.T.; Lapinskas, T.; Pieske, B.; Lotz, J.; Kutty, S.; et al. Cardiovascular magnetic resonance deformation imaging: Method comparison and considerations regarding reproducibility. Eur. Heart J.—Cardiovasc. Imaging 2021, 22, jeaa356.269. [Google Scholar] [CrossRef]
- Erley, J.; Tanacli, R.; Genovese, D.; Tapaskar, N.; Rashedi, N.; Bucius, P.; Kawaji, K.; Karagodin, I.; Lang, R.M.; Kelle, S.; et al. Myocardial strain analysis of the right ventricle: Comparison of different cardiovascular magnetic resonance and echocardiographic techniques. J. Cardiovasc. Magn. Reson. 2020, 22, 51. [Google Scholar] [CrossRef] [PubMed]
- Zieschang, V.; Kramer, P.; Schleiger, A.; Nordmeyer, J.; Khasheei, A.; Berger, F.; Ovroutski, S.; Kuehne, T.; Nordmeyer, S.; Schafstedde, M. Transverse cine imaging-based strain analysis for patients with congenital heart disease as a new approach to assess myocardial strain. In Proceedings of the Herzmedizin 2025 Joint Conference of DGTHG/DGPK, Hamburg, Germany, 15–17 February 2025. [Google Scholar]


| Patient Characteristics | Fontan n = 20 | ToF n = 20 | Controls n = 10 |
|---|---|---|---|
| Demographics | |||
| Sex, female n (%) | 12 (60) | 11 (55) | 6 (60) |
| Age at MRI (years), mean ± SD | 16 ± 6.5 | 26 ± 13.4 | 15 ± 5.1 |
| Height (cm), mean ± SD | 150.1 ± 18.6 | 159.6 ± 21.0 | 156.2 ± 17.4 |
| Weight (kg), mean ± SD | 47.1 ± 19.3 | 63.1 ± 25.8 | 51.8 ± 20.8 |
| BSA, mean ± SD | 1.4 ± 0.3 | 1.7 ± 0.4 | 1.5 ± 0.4 |
| Heart rate (bpm), mean ± SD | 74.3 ± 23.2 | 79.1 ± 9.1 | 79.6 ± 13.1 |
| Functional parameters | |||
| EDVi (mL/m2), mean ± SD | 82.2 ± 26.9 | 78.6 ± 14.9 | 81.2 ± 6.6 |
| ESVi (mL/m2), mean ± SD | 42.5 ± 24.4 | 33.3 ± 7.2 | 34.1 ± 5.9 |
| SVi (mL/m2), mean ± SD | 39.4 ± 13.0 | 45.3 ± 8.7 | 47.1 ± 4.5 |
| EF (%) | 49.8 | 57.8 | 58.2 |
| CI (L/min/m2), mean ± SD | 3.0 ± 1.0 | 3.4 ± 0.6 | 3.7 ± 0.4 |
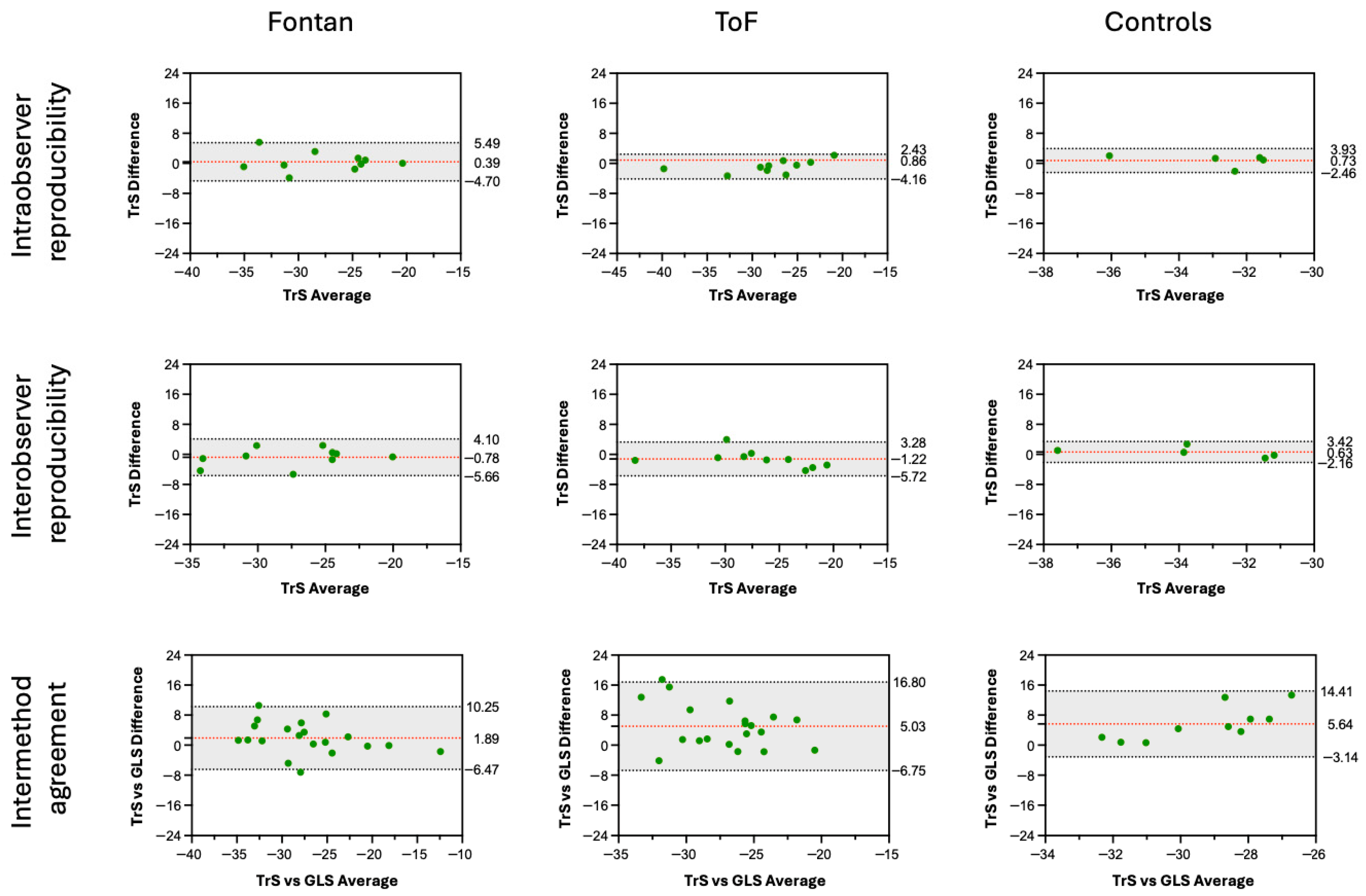
| Group | 1st Meas. TrS | 2nd Meas. TrS | Mean Difference | Limits of Agreement | ICC (95% CI) | r | p-Value |
|---|---|---|---|---|---|---|---|
| Fontan | |||||||
| SV | −27.5 ± 4.9 | −27.9 ± 5.2 | 0.39 | −4.70–5.49 | 0.87 (0.55–0.97) | 0.87 | 0.001 |
| HV | −22.5 ± 10.8 | −21.9 ± 7.6 | −0.53 | −11.47–10.41 | 0.82 (0.34–0.96) | 0.88 | 0.004 |
| ToF | |||||||
| LV | −28.5 ± 5.8 | −27.6 ± 4.8 | −0.86 | −4.16–2.43 | 0.95 (0.81–0.99) | 0.97 | <0.001 |
| RV | −22.3 ± 4.1 | −21.9 ± 4.3 | −0.42 | −5.44–4.60 | 0.81 (0.41–0.95) | 0.81 | 0.004 |
| Controls | |||||||
| LV | −32.5 ± 1.7 | −33.3 ± 2.3 | 0.73 | −2.46–3.93 | 0.68 (−0.30–0.96) | 0.70 | 0.19 |
| RV | −30.3 ± 4.5 | −29.3 ± 4.1 | −1.02 | −3.34–1.30 | 0.96 (0.69–1.00) | 0.97 | 0.007 |
| Group | 1st Obs. TrS | 2nd Obs. TrS | Mean Difference | Limits of Agreement | ICC (95% CI) | r | p-Value |
|---|---|---|---|---|---|---|---|
| Fontan | |||||||
| SV | −27.9 ± 5.2 | −27.1 ± 4.5 | −0.78 | −5.66–4.10 | 0.87 (0.56–0.97) | 0.88 | <0.001 |
| HV | −21.9 ± 7.6 | −21.1 ± 7.7 | −0.87 | −5.25–3.51 | 0.96 (0.80–0.99) | 0.96 | <0.001 |
| ToF | |||||||
| LV | −27.6 ± 4.8 | −26.4 ± 5.9 | −1.22 | −5.72–3.28 | 0.91 (0.68–0.98) | 0.93 | <0.001 |
| RV | −21.9 ± 4.3 | −19.8 ± 3.7 | −2.15 | −7.26–2.97 | 0.80 (0.39–0.95) | 0.80 | 0.005 |
| Controls | |||||||
| LV | −33.3 ± 2.3 | −33.9 ± 3.0 | 0.63 | −2.17–3.42 | 0.86 (0.15–0.98) | 0.89 | 0.04 |
| RV | −29.3 ± 4.1 | −26.2 ± 3.4 | −3.03 | −9.92–3.86 | 0.57 (−0.45–0.94) | 0.58 | 0.31 |
| Group | GLS (Mean ± SD) | TrS (Mean ± SD) | Mean Difference | Limits of Agreement | ICC (95% CI) | r | p-Value |
|---|---|---|---|---|---|---|---|
| Fontan | |||||||
| SV | −26.3 ± 5.4 | −28.2 ± 6.7 | 1.89 | −6.47–10.25 | 0.75 (0.48–0.89) | 0.77 | <0.001 |
| HV | −20.2 ± 11.6 | −20.4 ± 9.5 | 0.18 | −16.48–16.84 | 0.68 (0.26–0.89) | 0.69 | 0.006 |
| ToF | |||||||
| LV | −24.6 ± 3.7 | −29.6 ± 5.4 | 5.03 | −6.75–16.8 | 0.16 (−0.30–0.55) | 0.17 | 0.48 |
| RV | −25.2 ± 4.2 | −23.7 ± 3.7 | −1.54 | −6.69–3.62 | 0.78 (0.53–0.91) | 0.79 | <0.001 |
| Controls | |||||||
| LV | −26.5 ± 3.9 | −31.8 ± 1.7 | 5.36 | −3.76–14.47 | −0.20 (−0.72–0.46) | −0.27 | 0.45 |
| RV | −27.6 ± 5.1 | −31.6 ± 3.5 | 4.01 | −4.79–12.81 | −0.48 (−0.18–0.84) | −0.51 | 0.14 |
Disclaimer/Publisher’s Note: The statements, opinions and data contained in all publications are solely those of the individual author(s) and contributor(s) and not of MDPI and/or the editor(s). MDPI and/or the editor(s) disclaim responsibility for any injury to people or property resulting from any ideas, methods, instructions or products referred to in the content. |
© 2026 by the authors. Licensee MDPI, Basel, Switzerland. This article is an open access article distributed under the terms and conditions of the Creative Commons Attribution (CC BY) license.
Share and Cite
Zieschang, V.; Kramer, P.; Götze, C.; Kelle, S.; Stegherr, R.; Khasheei, A.; Berger, F.; Nordmeyer, J.; Kühne, T.; Nordmeyer, S.; et al. Strain Analysis from Transverse CMR Cine Imaging in Congenital Heart Disease: Feasibility, Reproducibility, and Comparison to Global Longitudinal Strain. Healthcare 2026, 14, 411. https://doi.org/10.3390/healthcare14030411
Zieschang V, Kramer P, Götze C, Kelle S, Stegherr R, Khasheei A, Berger F, Nordmeyer J, Kühne T, Nordmeyer S, et al. Strain Analysis from Transverse CMR Cine Imaging in Congenital Heart Disease: Feasibility, Reproducibility, and Comparison to Global Longitudinal Strain. Healthcare. 2026; 14(3):411. https://doi.org/10.3390/healthcare14030411
Chicago/Turabian StyleZieschang, Victoria, Peter Kramer, Collin Götze, Sebastian Kelle, Regina Stegherr, Alireza Khasheei, Felix Berger, Johannes Nordmeyer, Titus Kühne, Sarah Nordmeyer, and et al. 2026. "Strain Analysis from Transverse CMR Cine Imaging in Congenital Heart Disease: Feasibility, Reproducibility, and Comparison to Global Longitudinal Strain" Healthcare 14, no. 3: 411. https://doi.org/10.3390/healthcare14030411
APA StyleZieschang, V., Kramer, P., Götze, C., Kelle, S., Stegherr, R., Khasheei, A., Berger, F., Nordmeyer, J., Kühne, T., Nordmeyer, S., & Schafstedde, M. (2026). Strain Analysis from Transverse CMR Cine Imaging in Congenital Heart Disease: Feasibility, Reproducibility, and Comparison to Global Longitudinal Strain. Healthcare, 14(3), 411. https://doi.org/10.3390/healthcare14030411

