Adolescents’ Responses to High-Intensity Versus Standard Physical Education on Body Fat, Blood Pressure, and VO2max: A Secondary Analysis Using TE-Based Responder Classification
Highlights
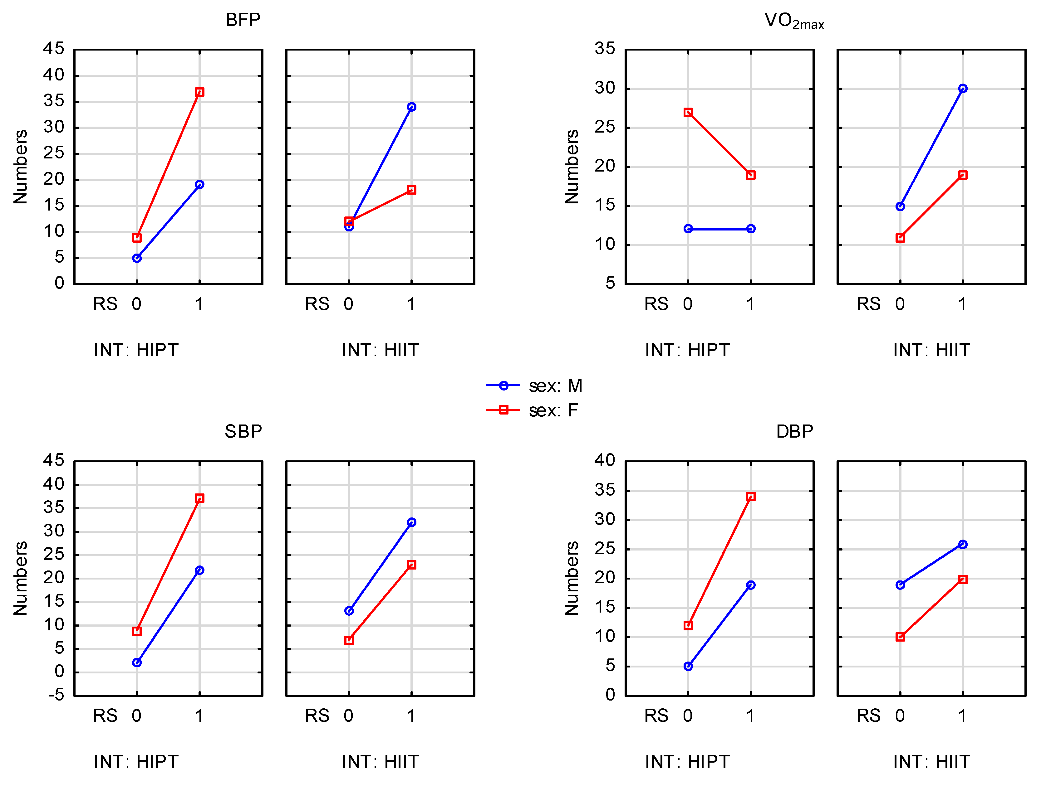
- Both HIIT and HIPT delivered measurable improvements in body fat, blood pressure, and cardiorespiratory fitness among adolescents, with over half of the participants responding positively.
- Responsiveness was sex-dependent: males benefited more from HIIT, while females responded more strongly to HIPT, particularly in body fat reduction.
- Short, school-based high-intensity exercise protocols are effective tools for adolescent health promotion and cardiovascular risk prevention.
- Tailoring intervention type to sex may optimize health outcomes and improve the efficiency of preventive strategies in school settings.
Abstract
1. Introduction
2. Materials and Methods
2.1. Study Design
2.2. Clinical Trial Registration
2.3. Ethics Committee
2.4. Participants
2.5. Data Collection
2.5.1. Procedures
2.5.2. Body Morphology
2.5.3. Blood Pressure
2.5.4. Multistage Fitness Test
2.6. Intervention
2.7. Classification of Responders and Non-Responders
- Responder (R): change > +2 × TE,
- Non-responder (NR): change within ±2 × TE,
- Reverse responder: change < −2 × TE.
2.8. Statistics
3. Results
3.1. Participant Characteristics
3.2. Prevalence of the Responders and Non-Responders After Intervention Program
4. Discussion
5. Conclusions
Supplementary Materials
Author Contributions
Funding
Institutional Review Board Statement
Informed Consent Statement
Data Availability Statement
Acknowledgments
Conflicts of Interest
References
- World Health Organization. Global Action Plan on Physical Activity 2018–2030: More Active People for a Healthier World; WHO: Geneva, Switzerland, 2018. [Google Scholar]
- Dobbins, M.; Husson, H.; DeCorby, K.; LaRocca, R.L. School-based physical activity programs for promoting physical activity and fitness in children and adolescents aged 6 to 18. Cochrane Database Syst. Rev. 2013, 2013, CD007651. [Google Scholar] [CrossRef]
- McGill, H.C., Jr.; McMahan, C.A.; Herderick, E.E.; Malcom, G.T.; Tracy, R.E.; Strong, J.P. Origin of atherosclerosis in childhood and adolescence. Am. J. Clin. Nutr. 2000, 72, 1307S–1315S. [Google Scholar] [CrossRef] [PubMed]
- Patton, G.C.; Coffey, C.; Carlin, J.B.; Sawyer, S.M.; Williams, J.; Olsson, C.A.; Wake, M. Overweight and obesity between adolescence and young adulthood: A 10-year prospective cohort study. J. Adolesc. Health 2011, 48, 275–280. [Google Scholar] [CrossRef] [PubMed]
- A’Naja, M.N.; Reed, R.; Sansone, J.; Batrakoulis, A.; McAvoy, C.; Parrott, M.W. 2024 ACSM worldwide fitness trends: Future directions of the health and fitness industry. ACSM’s Health Fit. J. 2024, 28, 14–26. [Google Scholar] [CrossRef]
- Maturana, F.M.; Soares, R.N.; Murias, J.M.; Schellhorn, P.; Erz, G.; Burgstahler, C.; Widmann, M.; Munz, B.; Thiel, A.; Nieß, A.M. Responders and non-responders to aerobic exercise training: Beyond VO2max. Physiol. Rep. 2021, 9, e14951. [Google Scholar] [CrossRef]
- Batrakoulis, A.; Jamurtas, A.Z.; Metsios, G.S.; Perivoliotis, K.; Liguori, G.; Feito, Y.; Riebe, D.; Thompson, W.R.; Angelopoulos, T.J.; Krustrup, P.; et al. Comparative efficacy of five exercise types on cardiometabolic health in overweight and obese adults: A systematic review and network meta-analysis. Circ. Popul. Health Outcomes 2022, 15, e008243. [Google Scholar] [CrossRef]
- Rodríguez-Fernández, A.; Lago, Á.; Ramirez-Campillo, R.; Sánchez, M.; Sánchez-Sánchez, J. Cardiopulmonary-versus neuromuscular-based high-intensity interval training during a pre-season in youth female basketball players. Hum. Mov. 2023, 24, 44–51. [Google Scholar] [CrossRef]
- Carson, V.; Rinaldi, R.L.; Torrance, B.; Maximova, K.; Ball, G.D.C.; Majumdar, S.R.; Plotnikoff, R.C.; Veugelers, P.; Boulé, N.G.; Wozny, P.; et al. Vigorous physical activity and longitudinal associations with cardiometabolic risk factors in youth. Int. J. Obes. 2014, 38, 16–21. [Google Scholar] [CrossRef]
- Gray, S.R.; Ferguson, C.; Birch, K.; Forrest, L.J.; Gill, J.M. High-intensity interval training: Key data needed to bridge the gap from laboratory to public health policy. Br. J. Sports Med. 2016, 50, 1231–1232. [Google Scholar] [CrossRef]
- Domaradzki, J.; Koźlenia, D.; Popowczak, M. The mediation role of fatness in associations between cardiorespiratory fitness and blood pressure after high-intensity interval training in adolescents. Int. J. Environ. Res. Public Health 2022, 19, 1698. [Google Scholar] [CrossRef]
- Peake, J.M.; Markworth, J.F.; Nosaka, K.; Raastad, T.; Wadley, G.D.; Coffey, V.G. Modulating exercise-induced hormesis: Does less equal more? J. Appl. Physiol. 2015, 119, 172–189. [Google Scholar] [CrossRef] [PubMed]
- Eddolls, W.T.B.; McNarry, M.A.; Stratton, G.; Winn, C.O.N.; Mackintosh, K.A. High-intensity interval training interventions in children and adolescents: A systematic review. Sports Med. 2017, 47, 2363–2374. [Google Scholar] [CrossRef]
- Hammami, M.; Gaamouri, N.; Ramirez-Campillo, R.; Shephard, R.J.; Bragazzi, N.L.; Chelly, M.S.; Knechtle, B.; Gaied, S. Effects of high-intensity interval training and plyometric exercise on the physical fitness of junior male handball players. Eur. Rev. Med. Pharmacol. Sci. 2021, 25, 7380–7389. [Google Scholar] [CrossRef] [PubMed]
- Moran, J.; Sandercock, G.R.H.; Ramírez-Campillo, R.; Todd, O.; Collison, J.; Parry, D.A. Maturation-related effect of low-dose plyometric training on performance in youth hockey players. Pediatr. Exerc. Sci. 2017, 29, 194–202. [Google Scholar] [CrossRef]
- Racil, G.; Zouhal, H.; Elmontassar, W.; Abderrahmane, A.B.; De Sousa, M.V.; Chamari, K.; Amri, M.; Coquart, J.B. Plyometric exercise combined with high-intensity interval training improves metabolic abnormalities in young obese females more so than interval training alone. Appl. Physiol. Nutr. Metab. 2016, 41, 103–109. [Google Scholar] [CrossRef]
- Markovic, G.; Mikulic, P. Neuro-musculoskeletal and performance adaptations to lower extremity plyometric training. Sports Med. 2010, 40, 859–895. [Google Scholar] [CrossRef]
- Buchan, D.S.; Ollis, S.; Young, J.D.; Cooper, S.M.; Shield, J.P.; Baker, J.S. High-intensity interval running enhances measures of physical fitness but not metabolic measures of cardiovascular disease risk in healthy adolescents. BMC Public Health 2013, 13, 498. [Google Scholar] [CrossRef]
- Cvetković, N.; Stojanović, E.; Stojiljković, N.; Nikolić, D.; Scanlan, A.T.; Milanović, Z. Exercise training in overweight and obese children: Recreational football and high-intensity interval training provide similar benefits to physical fitness. Scand. J. Med. Sci. Sports 2018, 28, 18–32. [Google Scholar] [CrossRef]
- Delgado-Floody, P.; Latorre-Román, P.; Jerez-Mayorga, D.; Caamaño-Navarrete, F.; García-Pinillos, F. Feasibility of incorporating high-intensity interval training into PE programs to improve body composition and cardiorespiratory capacity in overweight and obese children: A systematic review. J. Exerc. Sci. Fit. 2019, 17, 35–40. [Google Scholar] [CrossRef] [PubMed]
- Martin-Smith, R.; Cox, A.; Buchan, D.S.; Baker, J.S.; Grace, F.; Sculthorpe, N. High intensity interval training improves cardiorespiratory fitness in healthy, overweight and obese adolescents: A systematic review and meta-analysis of controlled studies. Int. J. Environ. Res. Public Health 2020, 17, 2955. [Google Scholar] [CrossRef]
- Alvarez, C.; Ramirez-Campillo, R.; Ramírez-Velez, R.; Izquierdo, M. Prevalence of non-responders in glucose control markers after 10-weeks of HIIT. Front. Physiol. 2017, 8, 479. [Google Scholar] [CrossRef] [PubMed]
- Bonafiglia, J.T.; Rotundo, M.P.; Whittall, J.P.; Scribbans, T.D.; Graham, R.B.; Gurd, B.J. Inter-individual variability in adaptive responses to endurance and sprint interval training: A randomized crossover study. PLoS ONE 2016, 11, e0167790. [Google Scholar] [CrossRef]
- Domaradzki, J.; Koźlenia, D.; Popowczak, M. The Relative Importance of Age at Peak Height Velocity and Fat Mass Index in High-Intensity Interval Training Effect on Cardiorespiratory Fitness in Adolescents: A Randomized Controlled Trial. Children 2022, 9, 1554. [Google Scholar] [CrossRef]
- Váczi, M.; Tollár, J.; Meszler, B.; Juhász, I.; Karsai, I. Short-term high intensity plyometric training improves strength, power and agility in male soccer players. J. Hum. Kinet. 2013, 36, 17–26. [Google Scholar] [CrossRef]
- Söyler, M.; Zileli, R.; Çingöz, Y.E.; Kılınçarslan, G.; Kayantaş, İ.; Altuğ, T.; Asan, S.; Şahin, M.; Gürkan, A.C. Effect of high-intensity plyometric training on anaerobic performance in U17 elite A league: A pilot study. PeerJ 2024, 12, e16648. [Google Scholar] [CrossRef] [PubMed]
- Davies, G.; Riemann, B.L.; Manske, R. Current concepts of plyometric exercise. Int. J. Sports Phys. Ther. 2015, 10, 760–786. [Google Scholar] [PubMed]
- Domaradzki, J.; Popowczak, M.; Kochan-Jacheć, K.; Szkudlarek, P.; Murawska-Ciałowicz, E.; Koźlenia, D. Effects of two forms of school-based HIIT on body fat, blood pressure, and cardiorespiratory fitness in adolescents: The PEER-HEART study. Front. Physiol. 2025, 16, 1530195. [Google Scholar] [CrossRef]
- Faul, F.; Erdfelder, E.; Lang, A.G.; Buchner, A. G*Power 3: A flexible statistical power analysis program for the social, behavioral, and biomedical sciences. Behav. Res. Methods 2007, 39, 175–191. [Google Scholar] [CrossRef]
- Marfell-Jones, M.; Olds, T.; Stewart, A.; Carter, L. International Standards for Anthropometric Assessment; ISAK: Potchefstroom, South Africa, 2006. [Google Scholar]
- Nasir, K.; Ziffer, J.A.; Cainzos-Achirica, M.; Ali, S.S.; Feldman, D.I.; Arias, L.; Saxena, A.; Feldman, T.; Cury, R.; Budoff, M.J.; et al. The Miami Heart Study (MiHeart): Rationale and design. Am. J. Prev. Cardiol. 2021, 7, 100202. [Google Scholar] [CrossRef]
- Ramsbottom, R.; Brewer, J.; Williams, C. A progressive shuttle run test to estimate maximal oxygen uptake. Br. J. Sports Med. 1988, 22, 141–144. [Google Scholar] [CrossRef]
- Duncombe, S.L.; Barker, A.R.; Price, L.; Walker, J.L.; Koep, J.L.; Woodforde, J.; Stylianou, M. Was it a HIIT? A process evaluation of a school-based high-intensity interval training intervention. Int. J. Behav. Nutr. Phys. Act. 2024, 21, 49. [Google Scholar] [CrossRef]
- Swinton, P.A.; Hemingway, B.S.; Saunders, B.; Gualano, B.; Dolan, E. A statistical framework to interpret individual response to intervention. Front. Nutr. 2018, 5, 41. [Google Scholar] [CrossRef]
- Bonafiglia, J.T.; Preobrazenski, N.; Gurd, B.J. Systematic review examining approaches used to estimate interindividual differences in trainability. Front. Physiol. 2021, 12, 665044. [Google Scholar] [CrossRef]
- Domaradzki, J.; Koźlenia, D.; Popowczak, M. Prevalence of responders and non-responders after 10 weeks of school-based HIIT. J. Clin. Med. 2023, 12, 4204. [Google Scholar] [CrossRef]
- Dobosz, M. Computer Aided Statistical Analysis of Test Results; ELIT: Warszawa, Poland, 2004. [Google Scholar]
- Daniel, A.; Freeman, J. Applied Categorical Data Analysis; Marcel Dekker: New York, NY, USA, 1987. [Google Scholar]
- Burke, P.J.; Knoke, D. Log-Linear Models; Sage: Beverly Hills, CA, USA, 1986. [Google Scholar]
- Martínez-Vizcaíno, V.; Sánchez-López, M.; Notario-Pacheco, B.; Salcedo-Aguilar, F.; Solera-Martínez, M.; Franquelo-Morales, P.; López-Martínez, S.; García-Prieto, J.C.; Arias-Palencia, N.; Torrijos-Niño, C.; et al. Gender differences in effectiveness of a school-based PA intervention for reducing cardiometabolic risk. Int. J. Behav. Nutr. Phys. Act. 2014, 11, 154. [Google Scholar] [CrossRef]
- Racil, G.; Coquart, J.B.; Elmontassar, W.; Haddad, M.; Goebel, R.; Chaouachi, A.; Amri, M.; Chamari, K. Greater effects of high- vs moderate-intensity interval training on cardiometabolic variables in obese adolescent females. Biol. Sport 2016, 33, 145–152. [Google Scholar] [CrossRef]
- Ramírez-Campillo, R.; Abad-Colil, F.; Vera, M.; Andrade, D.C.; Caniuqueo, A.; Martínez-Salazar, C.; Nakamura, F.Y.; Arazi, H.; Cerda-Kohler, H.; Izquierdo, M.; et al. Men and women exhibit similar acute hypotensive responses after plyometric training. J. Strength Cond. Res. 2016, 30, 93–101. [Google Scholar] [CrossRef] [PubMed]
- Farah, B.Q.; Ritti-Dias, R.M.; Balagopal, P.B.; Hill, J.O.; Prado, W.L. Does exercise intensity affect BP and HR in obese adolescents? Pediatr. Obes. 2014, 9, 111–120. [Google Scholar] [CrossRef] [PubMed]
- Da Silva, M.R.; Waclawovsky, G.; Perin, L.; Camboim, I.; Eibel, B.; Lehnen, A.M. Effects of high-intensity interval training on endothelial function, lipid profile, body composition and physical fitness in adolescents. Physiol. Behav. 2020, 213, 112728. [Google Scholar] [CrossRef] [PubMed]
- Zeng, Q.; Dong, S.Y.; Sun, X.N.; Xie, J.; Cui, Y. Percent body fat is a better predictor of cardiovascular risk factors than BMI. Braz. J. Med. Biol. Res. 2012, 45, 591–600. [Google Scholar] [CrossRef]
- Costa, E.C.; Hay, J.L.; Kehler, D.S.; Boreskie, K.F.; Arora, R.C.; Umpierre, D.; Szwajcer, A.; Duhamel, T.A. Effects of HIIT vs moderate continuous training on blood pressure in adults with hypertension. Sports Med. 2018, 48, 2127–2142. [Google Scholar] [CrossRef] [PubMed]
- Uzor, T.N.; Uwa, A.C.; Ikwuka, D.C. Effect of plyometric training on blood pressure of university athletes. Athena Phys. Educ. Sports J. 2024, 2, 1–10. [Google Scholar] [CrossRef]
- Crozier, J.; Roig, M.; Eng, J.J.; MacKay-Lyons, M.; Fung, J.; Ploughman, M.; Bailey, D.M.; Sweet, S.N.; Giacomantonio, N.; Thiel, A.; et al. High-intensity interval training after stroke: An opportunity to promote functional recovery and cardiovascular health. Neurorehabil. Neural Repair 2018, 32, 543–556. [Google Scholar] [CrossRef]
- Popowczak, M.; Rokita, A.; Domaradzki, J. Effects of Tabata training on health-related fitness components among secondary school students. Kinesiology 2022, 54, 221–229. [Google Scholar] [CrossRef]

| Males | HIIT | HIPT | Females | HIIT | HIPT | ||
|---|---|---|---|---|---|---|---|
| mean ± sd (95% CI) | mean ± sd (95% CI) | mean ± sd (95% CI) | mean ± sd (95% CI) | ||||
| Age [years] | Pre | 15 ± 0.6 (14.8–15.3) | 14.9 ± 0.5 (14.8–15.1) | Age [years] | Pre | 15.1 ± 0.5 (14.9–15.2) | 14.8 ± 0.4 (14.6–14.9) |
| Bh [cm] | Pre | 175.4 ± 6.6 (172.6–178.2) | 176 ± 6.1 (174.2–177.9) | Bh [cm] | Pre | 165.6 ± 6 (163.9–167.4) | 162.9 ± 5.4 (160.8–164.9) |
| Post | 175.7 ± 6.6 (172.9–178.4) | 176.3 ± 6.1 (174.5–178.2) | Post | 165.8 ± 5.9 (164–167.6) | 163.2 ± 5.4 (161.2–165.2) | ||
| Bw [kg] | Pre | 65.5 ± 9 (61.7–69.3) | 65.2 ± 11.6 (61.7–68.7) | Bw [kg] | Pre | 58.2 ± 10.9 (55–61.5) | 54.2 ± 6.5 (51.8–56.7) |
| Post | 64.9 ± 7.7 (61.6–68.1) | 64.5 ± 10.6 (61.4–67.7) | Post | 58.4 ± 9.9 (55.4–61.3) | 54 ± 5.9 (51.9–56.2) | ||
| BMI [kg/m2] | Pre | 21.3 ± 2.8 (20.1–22.5) | 21 ± 3.3 (20–22) | BMI [kg/m2] | Pre | 21.2 ± 3.6 (20.1–22.3) | 20.5 ± 2.4 (19.6–21.4) |
| Post | 21 ± 2.5 (20–22.1) | 20.7 ± 3 (19.8–21.6) | Post | 21.2 ± 3.2 (20.2–22.2) | 20.3 ± 2.1 (19.5–21.1) |
| Variable | Intervention | Males | Females |
|---|---|---|---|
| Mean ± SD (95% CI) | Mean ± SD (95% CI) | ||
| ΔBFP [%] | −0.67 ± 1.55 (−1.32–−0.01) | −1.54 ±2.66 (−2.33–−0.75) | |
| ΔSBP [mm/Hg] | HIPT | −5.37 ± 4.32 (−7.2–−3.55) | −3.07 ± 4.7 (−4.46–−1.67) |
| ΔDBP [mm/Hg] | −2.62 ± 6.25 (−5.27–0.02) | −2 ± 5.09 (−3.51–−0.49) | |
| ΔVO2max [ml/kg/min] | 2.14 ± 3.91 (0.49–3.79) | 0.67 ± 2.84 (−0.17–1.52) | |
| ΔBFP [%] | −1.31 ± 1.66 (−1.81–−0.81) | −0.63 ± 2.37 (−1.52–0.25) | |
| ΔSBP [mm/Hg] | HIIT | −2.73 ± 5.28 (−4.32–−1.15) | −4 ± 6.89 (−6.57–−1.43) |
| ΔDBP [mm/Hg] | −0.22 ± 5 (−1.72–1.28) | −1.37 ± 5.63 (−3.47–0.74) | |
| ΔVO2max [ml/kg/min] | 3.81 ± 4.67 (2.41–5.21) | 0.41 ± 3.25 (−0.8–1.63) |
| Outcome | |||||||||
|---|---|---|---|---|---|---|---|---|---|
| BFP | SBP | DBP | VO2max | ||||||
| SEX | M (n,%) | 16 (23.2) | 53 (76.8) | 15 (21.7) | 54 (78.3) | 24 (34. 8) | 45 (65.2) | 27 (39.1) | 42 (60.9) |
| F (n,%) | 21 (27.6) | 55 (72.4) | 16 (21.1) | 60 (79.0) | 22 (29.0) | 54 (71.1) | 38 (50.0) | 38 (50.0) | |
| statistic | χ2 = 0.38, p = 0.540 C = 0.05 OR = 0.79 (0.37–1.68) | χ2 = 0.01, p = 0.912 C = 0.01 OR = 1.04 (0.47–2.31) | χ2 = 0.57, p = 0.451 C = 0.06 OR = 1.31 (0.65–2.64) | χ2 = 1.72, p = 0.189 C = 0.11 OR = 0.64 (0.33–1.24) | |||||
| INT | HIPT (n,%) | 14 (20.0) | 56 (80.0) | 11 (15.7) | 59 (84.3) | 17 (24.3) | 53 (75.7) | 39 (55.7) | 31 (44.3) |
| HIIT (n,%) | 23 (30.7) | 52 (69.3) | 20 (26.7) | 55 (73.3) | 29 (38.7) | 46 (61.3) | 26 (34.7) | 49 (65.3) | |
| statistic | χ2 = 2.17, p = 0.108 C = 0.13 OR = 0.51 (0.26–1.21) | χ2 = 2.58, p = 0.141 C = 0,12 OR = 0.56 (0.23–1.16) | χ2 = 3.46, p = 0.063 C = 0.15 OR = 0.51 (0.24–1.04) | χ2 = 6.49, p = 0.011 C = 0.21 OR = 2.37 (1.21–4.63) | |||||
| BFP | SBP | |||||||
|---|---|---|---|---|---|---|---|---|
| Effect | χ2 part | p | χ2 marg | p | χ2 part | p | χ2 marg | p |
| SEX | 0.3 | 0.5663 | 0.33 | 0.5663 | ||||
| INT | 0.2 | 0.6821 | 0.17 | 0.6821 | ||||
| RES | 35.2 | 0.0000 | 48.98 | 0.0000 | ||||
| SEX × INT | 10.1 | 0.0015 | 9.44 | 0.0021 | 9.52 | 0.0020 | 9.44 | 0.0021 |
| DBP | VO2max | |||||||
| SEX | 0.33 | 0.5663 | 0.33 | 0.5663 | ||||
| INT | 0.17 | 0.6821 | 0.17 | 0.6821 | ||||
| RES | 19.27 | 0.0000 | 1.51 | 0.2187 | ||||
| SEX × INT | 8.98 | 0.0027 | 9.443 | 0.0021 | 8.26 | 0.0041 | 9.44 | 0.0021 |
| Outcome | Interaction Term (Sex × School) | β | SE (β) | OR | 95% CI | p |
|---|---|---|---|---|---|---|
| BFP | Sex (M vs. F) × School (17 vs. 7) | 0.802 | 0.806 | 2.23 | 0.46–10.82 | 0.320 |
| SBP | Sex (M vs. F) × School (17 vs. 7) | −1.273 | 0.989 | 0.28 | 0.04–1.95 | 0.198 |
| DBP | Sex (M vs. F) × School (17 vs. 7) | −0.673 | 0.779 | 0.51 | 0.11–2.35 | 0.387 |
| VO2 | Sex (M vs. F) × School (17 vs. 7) | −0.205 | 0.707 | 0.81 | 0.20–3.26 | 0.772 |
| BP (SBP or DBP) | Sex (M vs. F) × School (17 vs. 7) | −1.517 | 1.302 | 0.22 | 0.02–2.82 | 0.244 |
| Sex | INT | NO Response | One Response | Two Responses | Three Responses | ||||
|---|---|---|---|---|---|---|---|---|---|
| FAT | BP | VO2max | FAT–BP | FAT–VO2max | BP–VO2max | FAT–BP–VO2max | |||
| M | HIPT | 1 | 0 | 1 | 0 | 9 | 1 | 2 | 10 |
| n = 24 | % | 4.2% | 0.0% | 4.2% | 0.0% | 37.5% | 4.2% | 8.3% | 41.7% |
| M | HIIT | 0 | 1 | 2 | 2 | 12 | 6 | 7 | 15 |
| n = 45 | % | 0.0% | 2.2% | 4.4% | 4.5% | 26.7% | 13.3% | 15.6% | 33.3% |
| K | HIPT | 0 | 2 | 2 | 0 | 24 | 3 | 6 | 9 |
| n = 46 | % | 0.0% | 4.4% | 4.4% | 0.0% | 52.2% | 6.5% | 13.0% | 19.6% |
| K | HIIT | 1 | 1 | 3 | 2 | 6 | 0 | 6 | 11 |
| n = 30 | % | 3.3% | 3.3% | 10.0% | 6.7% | 20.0% | 0.0% | 20.0% | 36.7% |
| β | p | 95% | |||||
|---|---|---|---|---|---|---|---|
| Effect | Level | OR | Low | High | |||
| SEX | M | Three | 0.29 | 0.2974 | 1.34 | 0.77 | 2.30 |
| INT | 7 | Three | 0.09 | 0.7551 | 1.09 | 0.63 | 1.88 |
| SEX*INT | 1 | Three | −0.03 | 0.9027 | 0.97 | 0.56 | 1.67 |
| SEX | M | Two | 0.14 | 0.6069 | 1.15 | 0.68 | 1.93 |
| INT | 7 | Two | 0.24 | 0.3573 | 1.28 | 0.76 | 2.14 |
| SEX*INT | 1 | Two | −0.40 | 0.1321 | 0.67 | 0.40 | 1.13 |
Disclaimer/Publisher’s Note: The statements, opinions and data contained in all publications are solely those of the individual author(s) and contributor(s) and not of MDPI and/or the editor(s). MDPI and/or the editor(s) disclaim responsibility for any injury to people or property resulting from any ideas, methods, instructions or products referred to in the content. |
© 2026 by the authors. Licensee MDPI, Basel, Switzerland. This article is an open access article distributed under the terms and conditions of the Creative Commons Attribution (CC BY) license.
Share and Cite
Domaradzki, J.; Murawska-Ciałowicz, E.; Kochan-Jacheć, K.; Szkudlarek, P.; Koźlenia, D.; Popowczak, M. Adolescents’ Responses to High-Intensity Versus Standard Physical Education on Body Fat, Blood Pressure, and VO2max: A Secondary Analysis Using TE-Based Responder Classification. Healthcare 2026, 14, 410. https://doi.org/10.3390/healthcare14030410
Domaradzki J, Murawska-Ciałowicz E, Kochan-Jacheć K, Szkudlarek P, Koźlenia D, Popowczak M. Adolescents’ Responses to High-Intensity Versus Standard Physical Education on Body Fat, Blood Pressure, and VO2max: A Secondary Analysis Using TE-Based Responder Classification. Healthcare. 2026; 14(3):410. https://doi.org/10.3390/healthcare14030410
Chicago/Turabian StyleDomaradzki, Jarosław, Eugenia Murawska-Ciałowicz, Katarzyna Kochan-Jacheć, Paweł Szkudlarek, Dawid Koźlenia, and Marek Popowczak. 2026. "Adolescents’ Responses to High-Intensity Versus Standard Physical Education on Body Fat, Blood Pressure, and VO2max: A Secondary Analysis Using TE-Based Responder Classification" Healthcare 14, no. 3: 410. https://doi.org/10.3390/healthcare14030410
APA StyleDomaradzki, J., Murawska-Ciałowicz, E., Kochan-Jacheć, K., Szkudlarek, P., Koźlenia, D., & Popowczak, M. (2026). Adolescents’ Responses to High-Intensity Versus Standard Physical Education on Body Fat, Blood Pressure, and VO2max: A Secondary Analysis Using TE-Based Responder Classification. Healthcare, 14(3), 410. https://doi.org/10.3390/healthcare14030410

