General Practitioners’ Mental Well-Being During Crises: Results of the PRICOV-19 Study Pilot in Serbia
Abstract
1. Introduction
2. Materials and Methods
2.1. Study Design and Setting
2.2. Study Participants and Variables
2.3. Statistical Analysis
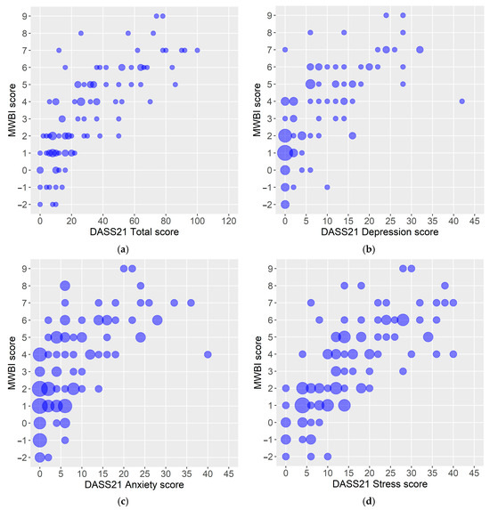
3. Results
4. Discussion
4.1. Strengths and Limitations
4.2. The Policy, Practical, and Scientific Implications of This Study
5. Conclusions
Author Contributions
Funding
Institutional Review Board Statement
Informed Consent Statement
Data Availability Statement
Acknowledgments
Conflicts of Interest
References
- Azzopardi, M.N.; Zapata, T.; Kluge, H. Moving from health workforce crisis to health workforce success: The time to act is now. Lancet Reg. Health Eur. 2023, 35, 100765. [Google Scholar] [CrossRef] [PubMed]
- World Health Organization. Health Workforce Policy and Management in the Context of the COVID-19 Pandemic Response; Interim Guidance; World Health Organization: Geneva, Switzerland, 2020; Available online: https://www.who.int/publications/i/item/WHO-2019-nCoV-health_workforce-2020.1 (accessed on 10 July 2024).
- Lenzo, V.; Quattropani, M.C.; Sardella, A.; Martino, G.; Bonanno, G.A. Depression, anxiety, and stress among healthcare workers during the COVID-19 outbreak and relationships with expressive flexibility and context sensitivity. Front. Psychol. 2021, 12, 623033. [Google Scholar] [CrossRef] [PubMed]
- Collins, C.; Clays, E.; Van Poel, E.; Cholewa, J.; Tripkovic, K.; Nessler, K.; de Rouffignac, S.; Šantrić Milićević, M.; Bukumiric, Z.; Adler, L.; et al. Distress and wellbeing among general practitioners in 33 countries during COVID-19: Results from the cross-sectional PRICOV-19 study to inform health system interventions. Int. J. Environ. Res. Public. Health 2022, 19, 5675. [Google Scholar] [CrossRef] [PubMed]
- Jefferson, L.; Golder, S.; Heathcote, C.; Avila, A.C.; Dale, V.; Essex, H.; van der Feltz Cornelis, C.; McHugh, E.; Moe-Byrne, T.; Bloor, K. GP wellbeing during the COVID-19 pandemic: A systematic review. Br. J. Gen. Pract. 2022, 72, e325–e333. [Google Scholar] [CrossRef]
- Greenberg, N.; Docherty, M.; Gnanapragasam, S.; Wessely, S. Managing mental well-being challenges faced by healthcare workers during covid-19 pandemic. BMJ 2020, 368, m1211. [Google Scholar] [CrossRef]
- Søvold, L.E.; Naslund, J.A.; Kousoulis, A.A.; Saxena, S.; Qoronfleh, M.W.; Grobler, C.; Münter, L. Prioritizing the mental well-being and well-being of healthcare workers: An urgent global public health priority. Front. Public. Health 2021, 9, 679397. [Google Scholar] [CrossRef]
- Dinić, M.; Šantrić Milićević, M.; Mandić-Rajčević, S.; Tripković, K. Health workforce management in the context of the COVID-19 pandemic: A survey of physicians in Serbia. Int. J. Health Plann. Manag. 2021, 36, 92–111. [Google Scholar] [CrossRef]
- Belgrade Centre for Human Rights. Prava Zdravstvenih Radnika Tokom Pandemije COVID-19—Heroji ili zanemarene žrtve [Rights of Health Workers During COVID-19 Pandemics: Heroes or Neglected Victims], 2022; Belgrade Centre for Human Rights: Belgrade, Serbia, 2022. [Google Scholar]
- Kosić, A.; Džamonja-Ignjatović, T.; Petrović, N. A Cross-Cultural Study of Distress during COVID-19 Pandemic: Some Protective and Risk Factors. Int. J. Environ. Res. Public. Health 2021, 18, 7261. [Google Scholar] [CrossRef]
- Siebenhofer, A.; Scott, A.M.; Avian, A.; Terebessy, A.; Mergenthal, K.; Schaffler-Schaden, D.; Bachler, H.; Huter, S.; Zelko, E.; Murray, A.; et al. COVI-Prim international: Similarities and discrepancies in the way general practices from seven different countries coped with the COVID-19 pandemic. Front. Public. Health 2022, 10, 1072515. [Google Scholar] [CrossRef]
- Windak, A.; Nessler, K.; Van Poel, E.; Collins, C.; Wójtowicz, E.; Murauskiene, L.; Hoffmann, K.; Willems, S. Responding to COVID-19: The suitability of primary care infrastructure in 33 countries. Int. J. Environ. Res. Public. Health 2022, 19, 17015. [Google Scholar] [CrossRef]
- Lasalvia, A.; Rigon, G.; Rugiu, C.; Negri, C.; Del Zotti, F.; Amaddeo, F.; Bonetto, C. The psychological impact of COVID-19 among primary care physicians in the province of Verona, Italy: A cross-sectional study during the first pandemic wave. Fam. Pract. 2022, 39, 65–73. [Google Scholar] [CrossRef] [PubMed]
- Maunder, R.G.; Lancee, W.J.; Balderson, K.E.; Bennett, J.P.; Borgundvaag, B.; Evans, S.; Fernandes, C.M.; Goldbloom, D.S.; Gupta, M.; Hunter, J.J.; et al. Long-term psychological and occupational effects of providing hospital healthcare during SARS outbreak. Emerg. Infect. Dis. 2006, 12, 1924–1932. [Google Scholar] [CrossRef] [PubMed]
- Van, P.E.; Vanden, B.P.; Klemenc, K.Z.; Willems, S. How did general practices organize care during the COVID-19 pandemic: The protocol of the cross-sectional PRICOV-19 study in 38 countries. BMC Prim. Care 2022, 23, 11. [Google Scholar] [CrossRef]
- Institute of Public Health of Serbia. Health Statistical Yearbook of the Republic of Serbia 2021; Institute of Public Health of Serbia: Belgrade, Serbia, 2022. [Google Scholar]
- Cholewa, J.; Ponsar, C.; De Rouffignac, S.; Pétré, B.; Van Poel, E.; Willems, S.; De Jonghe, M. General practitioners’ well-being in Belgium: Results from the cross-sectional PRICOV-19 study. BMC Prim. Care 2023, 24 (Suppl. S1), 284. [Google Scholar] [CrossRef]
- Harris, P.A.; Taylor, R.; Minor, B.L.; Elliott, V.; Fernandez, M.; O’Neal, L.; McLeod, L.; Delacqua, G.; Delacqua, F.; Kirby, J.; et al. The REDCap consortium: Building an international community of software platform partners. J. Biomed. Inform. 2019, 95, 103208. [Google Scholar] [CrossRef]
- Lovibond, S.H.; Lovibond, P.F. Manual for the Depression Anxiety Stress Scales, 2nd ed.; Psychology Foundation of Australia: Sydney, Australia, 1995. [Google Scholar]
- Dancey, C.P.; Reidy, J. Statistics Without Maths for Psychology, 7th ed.; Pearson Education: New York, NY, USA, 2017. [Google Scholar]
- Yusoff, M.S.; Yaacob, M.J.; Naing, N.N.; Esa, A.R. Psychometric properties of the medical student well-being index among medical students in a Malaysian medical school. Asian J. Psychiatr. 2013, 6, 60–65. [Google Scholar] [CrossRef]
- Dyrbye, L.N.; Szydlo, D.W.; Downing, S.M.; Sloan, J.A.; Shanafelt, T.D. Development and preliminary psychometric properties of a well-being index for medical students. BMC Med. Educ. 2010, 10, 8. [Google Scholar] [CrossRef]
- Dyrbye, L.N.; Schwartz, A.; Downing, S.M.; Szydlo, D.W.; Sloan, J.A.; Shanafelt, T.D. Efficacy of a brief screening tool to identify medical students in distress. Acad. Med. 2011, 86, 907–914. [Google Scholar] [CrossRef]
- Dyrbye, L.N.; Satele, D.; Sloan, J.; Shanafelt, T.D. Utility of a brief screening tool to identify physicians in distress. J. Gen. Intern. Med. 2013, 28, 421–427. [Google Scholar] [CrossRef]
- Dyrbye, L.N.; Johnson, P.O.; Johnson, L.M.; Satele, D.V.; Shanafelt, T.D. Efficacy of the well-being index to identify distress and well-being in U.S. nurses. Nurs. Res. 2018, 67, 447–455. [Google Scholar] [CrossRef]
- Dyrbye, L.N.; Johnson, P.O.; Johnson, L.M.; Halasy, M.P.; Gossard, A.A.; Satele, D.; Shanafelt, T. Efficacy of the well-being index to identify distress and stratify well-being in nurse practitioners and physician assistants. J. Am. Assoc. Nurse Pract. 2019, 31, 403–412. [Google Scholar] [CrossRef] [PubMed]
- Giri, S.; West, C.P.; Shanafelt, T.; Satele, D.; Dyrbye, L.N. Distress and well-being in dentists: Performance of a screening tool for assessment. BDJ Open 2024, 10, 3. [Google Scholar] [CrossRef] [PubMed]
- Dyrbye, L.N.; Satele, D.; Shanafelt, T. Ability of a 9-item well-being index to identify distress and stratify quality of life in US workers. J. Occup. Environ. Med. 2016, 58, 810–817. [Google Scholar] [CrossRef] [PubMed]
- Tajki, A.V.; Miroševič, Š.; Gomezelj, M.C.; Bunc, K.T.; Van Poel, E.; Willems, S.; Klemenc-Ketiš, Z. Well-being of family physicians during COVID-19 pandemic in Slovenia. BMC Prim. Care 2023, 24 (Suppl. S1), 289. [Google Scholar] [CrossRef]
- Marić, N.P.; Knežević, G.; Šupić, Z.T.; Mihić, L.; Pejović-Milovačević, M.; Lazarević, L.; Vuković, O.; Tošković, O.; Todorović, J. The research team of the CoV2Soul.RS project, reports the preliminary results on depressiveness in Serbia, on the occasion of the world mental health day. Serbian J. Med. Chamb. 2021, 2, 337–341. [Google Scholar] [CrossRef]
- Marić, N.P.; Lazarević, L.J.B.; Priebe, S.; Mihić, L.J.; Pejović-Milovančević, M.; Terzić-Šupić, Z.; Tošković, O.; Vuković, O.; Todorović, J.; Knežević, G. COVID-19-related stressors, mental disorders, depressive and anxiety symptoms: A cross-sectional, nationally-representative, face-to-face survey in Serbia. Epidemiol. Psychiatr. Sci. 2022, 24, e36. [Google Scholar] [CrossRef]
- Mirilović, N.; Janković, J.; Latas, M. The impact of the COVID-19 epidemic on students’ mental health: A cross-sectional study. PLoS ONE 2022, 17, e0275167. [Google Scholar] [CrossRef]
- Dzau, V.J.; Kirch, D.; Nasca, T. Preventing a Parallel Pandemic—A National Strategy to Protect Clinicians’ Well-Being. N. Engl. J. Med. 2020, 6, 513–515. [Google Scholar] [CrossRef]
- Chutiyami, M.; Bello, U.M.; Salihu, D.; Ndwiga, D.; Kolo, M.A.; Maharaj, R.; Naidoo, K.; Devar, L.; Pratitha, P.; Kannan, P. Infection and mortality of healthcare workers worldwide from COVID-19: A systematic review. BMJ Global Health 2020, 5, e003097. [Google Scholar]
- World Health Organization Website. Commemorating Smallpox Eradication—A Legacy of Hope, for COVID-19 and Other Diseases. Available online: https://www.who.int/news/item/08-05-2020-commemorating-smallpox-eradication-a-legacy-of-hope-for-covid-19-and-other-diseases (accessed on 13 December 2024).
- Coker, A.O.; Coker, O.O.; Sanni, D. Psychometric properties of the 21-item Depression Anxiety Stress Scale (DASS-21). Int. Multi-Discip. J. 2018, 12, 2. [Google Scholar] [CrossRef]
- Zanon, C.; Brenner, R.E.; Baptista, M.N.; Vogel, D.L.; Rubin, M.; Al-Darmaki, F.R.; Gonçalves, M.; Heath, P.J.; Liao, H.-Y.; Mackenzie, C.S.; et al. Examining the dimensionality, reliability, and invariance of the Depression, Anxiety, and Stress Scale-21 (DASS-21) across eight countries. Assessment 2021, 28, 1531–1544. [Google Scholar] [CrossRef]
- Radovanovic, J.; Selakovic, V.; Mihaljevic, O.; Djordjevic, J.; Čolović, S.; Djordjevic, J.R.; Janjic, V.; Jovicic, M.; Veselinovic, S.; Vukomanovic, I.S.; et al. Mental health status and coping strategies during COVID-19 pandemic among university students in Central Serbia. Front. Psychiatry 2023, 14, 1226836. [Google Scholar] [CrossRef]

| Personal Characteristics of a General Practitioner | ||
|---|---|---|
| Gender, n (%) | Male | 25 (21.6) |
| Female | 91 (78.4) | |
| Age, years | mean (SD) | 44.7 (11.1) |
| Work experience, years | median (min, max) | 11.0 (0.5, 39.8) |
| Marital status, n (%) | Married | 88 (75.9) |
| Not married | 28 (24.1) | |
| Socioeconomic status, n (%) | Poor | 6 (5.2) |
| Average | 42 (36.2) | |
| Good | 60 (51.7) | |
| Very good | 8 (6.9) | |
| Job-Related Characteristics of General Practitioner’s Practice, n (%) | ||
| Location of practice | Urban | 61 (52.6) |
| Not urban | 55 (47.4) | |
| Working with COVID-19 patients | Yes | 107 (92.2) |
| No | 9 (7.8) | |
| Workload of patients with chronic conditions | Above average | 53 (47.3) |
| Below average | 59 (52.7) | |
| Workload of patients aged 70 years and older | Above average | 51 (55.7) |
| Below average | 64 (44.3) | |
| Increased responsibilities | Agree | 101 (87.1) |
| Disagree | 15 (12.9) | |
| Unprepared for task shifting | Agree | 26 (22.4) |
| Disagree | 90 (77.6) | |
| Training is needed for the amended responsibilities | Agree | 38 (32.8) |
| Disagree | 78 (67.2) | |
| Adequate time for reviewing new guidelines | Agree | 43 (40.2) |
| Disagree | 64 (59.8) | |
| Score | Mean (Standard Deviation) | Median (Minimum; Maximum) |
|---|---|---|
| MWBI a | 3.3 (2.7) | 3 (−2; 9) |
| DASS21 Total b | 31.7 (27.0) | 24 (0; 122) |
| DASS21 Depression c | 8.3 (9.6) | 6 (0; 42) |
| DASS21 Anxiety d | 8.1 (9.0) | 6 (0; 40) |
| DASS21 Stress e | 15.3 (10.7) | 14 (0; 40) |
| Spearman’s Correlation Coefficient Sig. (Two-Tailed) | DASS21 Total | DASS21 Depression | DASS21 Anxiety | DASS21 Stress |
|---|---|---|---|---|
| DASS21 Depression | 0.905 | |||
| <0.001 | ||||
| DASS21 Anxiety | 0.863 | 0.714 | ||
| <0.001 | <0.001 | |||
| DASS21 Stress | 0.946 | 0.804 | 0.725 | |
| <0.001 | <0.001 | <0.001 | ||
| MWBI | 0.791 | 0.730 | 0.660 | 0.759 |
| <0.001 | <0.001 | <0.001 | <0.001 |
| Variables | Linear Regression | |||
|---|---|---|---|---|
| Univariate | Multivariate | |||
| Unstandardized B | p | Unstandardized B | p | |
| Personal characteristics of a general practitioner | ||||
| Gender (female vs. male) | −0.321 | 0.608 | ||
| Age (years) | −0.004 | 0.878 | ||
| Work experience (years) | 0.005 | 0.808 | ||
| Marital status (married vs. not married) | 0.607 | 0.317 | ||
| Socioeconomic status (level) | −1.090 | 0.003 | −0.893 | 0.021 |
| Job-related characteristics of general practitioner’s practice | ||||
| Working with COVID-19 patients (yes vs. no) | −0.085 | 0.932 | ||
| Location of practice (not urban vs. urban) | −0.775 | 0.143 | ||
| Workload of patients aged 70 years and older (above average vs. below average) | 0.972 | 0.068 | ||
| Workload of patients with chronic conditions (above average vs. below average) | 1.306 | 0.013 | 0.971 | 0.057 |
| Increased responsibilities in the practice (agree vs. disagree) | 0.429 | 0.589 | ||
| Unprepared for task shifting (agree vs. disagree) | 1.654 | 0.009 | 0.507 | 0.460 |
| Training is needed for the amended responsibilities (agree vs. disagree) | 1.119 | 0.043 | 0.200 | 0.736 |
| Adequate time for reviewing new guidelines (agree vs. disagree) | −1.578 | 0.004 | −1.137 | 0.033 |
Disclaimer/Publisher’s Note: The statements, opinions and data contained in all publications are solely those of the individual author(s) and contributor(s) and not of MDPI and/or the editor(s). MDPI and/or the editor(s) disclaim responsibility for any injury to people or property resulting from any ideas, methods, instructions or products referred to in the content. |
© 2025 by the authors. Licensee MDPI, Basel, Switzerland. This article is an open access article distributed under the terms and conditions of the Creative Commons Attribution (CC BY) license (https://creativecommons.org/licenses/by/4.0/).
Share and Cite
Santric Milicevic, M.; Tripkovic, K.; Bjelica, N.; Dinic, M.; Jeremic, D.; Van Poel, E.; Willems, S.; Bukumiric, Z. General Practitioners’ Mental Well-Being During Crises: Results of the PRICOV-19 Study Pilot in Serbia. Healthcare 2025, 13, 573. https://doi.org/10.3390/healthcare13050573
Santric Milicevic M, Tripkovic K, Bjelica N, Dinic M, Jeremic D, Van Poel E, Willems S, Bukumiric Z. General Practitioners’ Mental Well-Being During Crises: Results of the PRICOV-19 Study Pilot in Serbia. Healthcare. 2025; 13(5):573. https://doi.org/10.3390/healthcare13050573
Chicago/Turabian StyleSantric Milicevic, Milena, Katica Tripkovic, Nenad Bjelica, Milan Dinic, Danilo Jeremic, Esther Van Poel, Sara Willems, and Zoran Bukumiric. 2025. "General Practitioners’ Mental Well-Being During Crises: Results of the PRICOV-19 Study Pilot in Serbia" Healthcare 13, no. 5: 573. https://doi.org/10.3390/healthcare13050573
APA StyleSantric Milicevic, M., Tripkovic, K., Bjelica, N., Dinic, M., Jeremic, D., Van Poel, E., Willems, S., & Bukumiric, Z. (2025). General Practitioners’ Mental Well-Being During Crises: Results of the PRICOV-19 Study Pilot in Serbia. Healthcare, 13(5), 573. https://doi.org/10.3390/healthcare13050573

