Polysomnography Differences Between Sleepy and Non-Sleepy Obstructive Sleep Apnea (OSA) Patients
Abstract
1. Introduction
2. Materials and Methods
2.1. Design and Sample
2.2. Data Collection
Epworth Sleepiness Scale
2.3. Polysomnography
2.4. Statistical Analysis
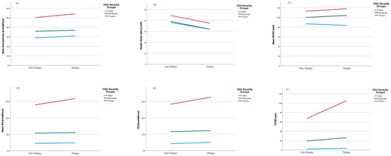
3. Results
3.1. Patient Characteristics
3.2. General Characteristics of the EDS Phenotype
3.3. The Effect of PSG Parameters on EDS
4. Discussion
5. Conclusions
Supplementary Materials
Author Contributions
Funding
Institutional Review Board Statement
Informed Consent Statement
Data Availability Statement
Conflicts of Interest
References
- Kapur, V.K.; Auckley, D.H.; Chowdhuri, S.; Kuhlmann, D.C.; Mehra, R.; Ramar, K.; Harrod, C.G. Clinical practice guideline for diagnostic testing for adult obstructive sleep apnea: An American Academy of Sleep Medicine clinical practice guideline. J. Clin. Sleep Med. 2017, 13, 479–504. [Google Scholar] [CrossRef]
- Senaratna, C.V.; Perret, J.L.; Lodge, C.J.; Lowe, A.J.; Campbell, B.E.; Matheson, M.C.; Hamilton, G.S.; Dharmage, S.C. Prevalence of obstructive sleep apnea in the general population: A systematic review. Sleep Med. Rev. 2017, 34, 70–81. [Google Scholar] [CrossRef] [PubMed]
- Randerath, W.; Bassetti, C.L.; Bonsignore, M.R.; Farre, R.; Ferini-Strambi, L.; Grote, L.; Hedner, J.; Kohler, M.; Martinez-Garcia, M.A.; Mihaicuta, S.; et al. Challenges and perspectives in obstructive sleep apnoea: Report by an ad hoc working group of the Sleep Disordered Breathing Group of the European Respiratory Society and the European Sleep Research Society. Eur. Respir. J. 2018, 52, 1702616. [Google Scholar] [CrossRef] [PubMed]
- Heinzer, R.; Vat, S.; Marques-Vidal, P.; Marti-Soler, H.; Andries, D.; Tobback, N.; Mooser, V.; Preisig, M.; Malhotra, A.; Waeber, G.; et al. Prevalence of sleep-disordered breathing in the general population: The HypnoLaus study. Lancet Respir. Med. 2015, 3, 310–318. [Google Scholar] [CrossRef]
- Gabryelska, A.; Łukasik, Z.M.; Makowska, J.S.; Białasiewicz, P. Obstructive Sleep Apnea: From Intermittent Hypoxia to Cardiovascular Complications via Blood Platelets. Front. Neurol. 2018, 9, 635. [Google Scholar] [CrossRef] [PubMed]
- American Academy of Sleep Medicine. Obstructive sleep apnea, adult. In International Classification of Sleep Disorders, 3rd ed.; American Academy of Sleep Medicine: Darien, IL, USA, 2014; pp. 53–62. [Google Scholar]
- Sateia, M.J. International classification of sleep disorders-third edition: Highlights and modifications. Chest 2014, 146, 1387–1394. [Google Scholar] [CrossRef] [PubMed]
- Azarbarzin, A.; Labarca, G.; Kwon, Y.; Wellman, A. Physiologic Consequences of Upper Airway Obstruction in Sleep Apnea. Chest 2024, 166, 1209–1217. [Google Scholar] [CrossRef]
- Randerath, W.; de Lange, J.; Hedner, J.; Ho, J.P.T.F.; Marklund, M.; Schiza, S.; Steier, J.; Verbraecken, J. Current and novel treatment options for obstructive sleep apnoea. ERJ Open Res. 2022, 8, 00126–2022. [Google Scholar] [CrossRef]
- Bixler, E.O.; Vgontzas, A.N.; Lin, H.M.; Calhoun, S.L.; Vela-Bueno, A.; Kales, A. Excessive daytime sleepiness in a general population sample: The role of sleep apnea, age, obesity, diabetes, and depression. J. Clin. Endocrinol. Metab. 2005, 90, 4510–4515. [Google Scholar] [CrossRef] [PubMed]
- Bjorvatn, B.; Lehmann, S.; Gulati, S.; Aurlien, H.; Pallesen, S.; Saxvig, I.W. Prevalence of excessive sleepiness is higher whereas insomnia is lower with greater severity of obstructive sleep apnea. Sleep Breath. 2015, 19, 1387–1393. [Google Scholar] [CrossRef] [PubMed]
- Baldwin, C.M.; Griffith, K.A.; Nieto, F.J.; O’Connor, G.T.; Walsleben, J.A.; Redline, S. The association of sleep-disordered breathing and sleep symptoms with quality of life in the sleep heart health study. Sleep 2001, 24, 96–105. [Google Scholar] [CrossRef] [PubMed]
- Baldwin, C.M.; Kapur, V.K.; Holberg, C.J.; Rosen, C.; Nieto, F.J. Associations between gender and measures of daytime somnolence in the Sleep Heart Health Study. Sleep 2004, 27, 305–311. [Google Scholar] [CrossRef] [PubMed]
- Stansbury, R.C.; Strollo, P.J. Clinical manifestations of sleep apnea. J. Thorac. Dis. 2015, 7, E298–E310. [Google Scholar] [PubMed]
- Garbarino, S.; Scoditti, E.; Lanteri, P.; Conte, L.; Magnavita, N.; Toraldo, D.M. Obstructive Sleep Apnea With or Without Excessive Daytime Sleepiness: Clinical and Experimental Data-Driven Phenotyping. Front. Neurol. 2018, 9, 505. [Google Scholar] [CrossRef] [PubMed]
- Jacobsen, J.H.; Shi, L.; Mokhlesi, B. Factors associated with excessive daytime sleepiness in patients with severe obstructive sleep apnea. Sleep Breath. 2013, 17, 629–635. [Google Scholar] [CrossRef] [PubMed]
- Ulander, M.; Hedner, J.; Stillberg, G.; Sunnergren, O.; Grote, L. Correlates of excessive daytime sleepiness in obstructive sleep apnea:results from the nationwide SESAR cohort including patients. J. Sleep Res. 2022, 31, e13690. [Google Scholar] [CrossRef]
- Prasad, B.; Steffen, A.D.; Van Dongen, H.P.A.; Pack, F.M.; Strakovsky, I.; Staley, B.; Dinges, D.F.; Maislin, G.; Pack, A.I.; Weaver, T.E. Determinants of sleepiness in obstructive sleep apnea. Sleep 2018, 41, zsx199. [Google Scholar] [CrossRef]
- Lal, C.; Weaver, T.E.; Bae, C.J.; Strohl, K.P. Excessive Daytime Sleepiness in Obstructive Sleep Apnea. Mechanisms and Clinical Management. Ann. Am. Thorac. Soc. 2021, 18, 757–768. [Google Scholar] [CrossRef] [PubMed]
- Oksenberg, A.; Arons, E.; Nasser, K.; Shneor, O.; Radwan, H.; Silverberg, D.S. Severe obstructive sleep apnea: Sleepy versus nonsleepy patients. Laryngoscope 2010, 120, 643–648. [Google Scholar] [CrossRef] [PubMed]
- Shao, C.; Qi, H.; Lang, R.; Yu, B.; Tang, Y.; Zhang, L.; Wang, X.; Wang, L. Clinical features and contributing factors of excessive daytime sleepiness in Chinese obstructive sleep apnea patients: The role of comorbid symptoms and polysomnographic variables. Can. Respir. J. 2019, 2019, 5476372. [Google Scholar] [CrossRef] [PubMed]
- Sun, Y.; Ning, Y.; Huang, L.; Lei, F.; Li, Z.; Zhou, G.; Tang, X. Polysomnographic characteristics of daytime sleepiness in obstructive sleep apnea syndrome. Sleep Breath. 2012, 16, 375–381. [Google Scholar] [CrossRef] [PubMed]
- Rey de Castro, J.; Rosales-Mayor, E. Clinical and polysomnographic differences between OSAH patients with/without excessive daytime sleepiness. Sleep Breath. 2013, 17, 1079–1086. [Google Scholar] [CrossRef] [PubMed]
- Chen, R.; Xiong, K.P.; Lian, Y.X.; Huang, J.Y.; Zhao, M.Y.; Li, J.X.; Liu, C.F. Daytime sleepiness and its determining factors in Chinese obstructive sleep apnea patients. Sleep Breath. 2011, 15, 129–135. [Google Scholar] [CrossRef]
- Bonsignore, M.R.; Randerath, W.; Riha, R.; Smyth, D.; Gratziou, C.; Gonçalves, M.; McNicholas, W.T. New rules on driver licensing for patients with obstructive sleep apnea: European Union Directive 2014/85/EU. J. Sleep Res. 2016, 25, 3–4. [Google Scholar] [CrossRef] [PubMed]
- Johns, M.W. A new method for measuring daytime sleepiness: The Epworth sleepiness scale. Sleep 1991, 14, 540–545. [Google Scholar] [CrossRef]
- Berry, R.B.; Brooks, R.; Gamaldo, C.E.; Harding, S.M.; Lloyd, R.M.; Quan, S.F.; Troester, M.T.; Vaughn, B.V. The AASM Manual for the Scoring of Sleep and Associated Events: Rules, Terminology and Technical Specifications, Version 2.3; American Academy of Sleep Medicine: Darien, IL, USA, 2016. [Google Scholar]
- Goncalves, M.A.; Paiva, T.; Ramos, E.; Guilleminault, C. Obstructive sleep apnea syndrome, sleepiness, and quality of life. Chest 2004, 125, 2091–2096. [Google Scholar] [CrossRef] [PubMed]
- Archontogeorgis, K.; Economou, N.T.; Bargiotas, P.; Nena, E.; Voulgaris, A.; Chadia, K.; Trakada, G.; Romigi, A.; Steiropoulos, P. Sleepiness and Vitamin D Levels in Patients with Obstructive Sleep Apnea. Healthcare 2024, 12, 698. [Google Scholar] [CrossRef]
- Thorarinsdottir, E.H.; Pack, A.I.; Gislason, T.; Kuna, S.T.; Penzel, T.; Yun Li, Q.; Cistulli, P.A.; Magalang, U.J.; McArdle, N.; Singh, B.; et al. Polysomnographic characteristics of excessive daytime sleepiness phenotypes in obstructive sleep apnea: Results from the international sleep apnea global interdisciplinary consortium. Sleep 2024, 47, zsae035. [Google Scholar] [CrossRef] [PubMed]
- Kapur, V.K.; Baldwin, C.M.; Resnick, H.E.; Gottlieb, D.J.; Nieto, F.J. Sleepiness in patients with moderate to severe sleep-disordered breathing. Sleep 2005, 28, 472–477. [Google Scholar] [CrossRef]
- Mediano, O.; Barcelo, A.; de la Pena, M.; Gozal, D.; Agusti, A.; Barbe, F. Daytime sleepiness and polysomnographic variables in sleep apnoea patients. Rev. Port. Pneumol. 2007, 13, 896–898. [Google Scholar] [CrossRef] [PubMed]
- Gottlieb, D.J.; Punjabi, N.M. Diagnosis and management of obstructive sleep apnea: A review. JAMA 2020, 323, 1389–1400. [Google Scholar] [CrossRef] [PubMed]
- Whitney, C.W.; Gottlieb, D.J.; Redline, S.; Norman, R.G.; Dodge, R.R.; Shahar, E.; Surovec, S.; Nieto, F.J. Reliability of scoring respiratory disturbance indices and sleep staging. Sleep 1998, 21, 749–757. [Google Scholar] [CrossRef] [PubMed]
- Dingli, K.; Fietze, I.; Assimakopoulos, T.; Quispe-Bravo, S.; Witt, C.; Douglas, N.J. Arousability in sleep apnoea/hypopnoea syndrome patients. Eur. Respir. J. 2002, 20, 733–740. [Google Scholar] [CrossRef] [PubMed]
- Mansukhani, M.P.; Wang, S.; Somers, V.K. Chemoreflex physiology and implications for sleep apnoea: Insights from studies in humans. Exp. Physiol. 2015, 100, 130–135. [Google Scholar] [CrossRef] [PubMed]
- Azarbarzin, A.; Ostrowski, M.; Hanly, P.; Younes, M. Relationship between arousal intensity and heart rate response to arousal. Sleep 2014, 37, 645–653. [Google Scholar] [CrossRef] [PubMed]
- Schwartz, D.J.; Moxley, P. On the potential clinical relevance of the length of arousals from sleep in patients with obstructive sleep apnea. J. Clin. Sleep Med. 2006, 15, 175–180. [Google Scholar]
- Li, N.; Wang, J.; Wang, D.; Wang, Q.; Han, F.; Jyothi, K.; Chen, R. Correlation of sleep microstructure with daytime sleepiness and cognitive function in young and middle-aged adults with obstructive sleep apnea syndrome. Eur. Arch. Otorhinolaryngol. 2019, 276, 3525–3532. [Google Scholar] [CrossRef] [PubMed]
- Chen, X.; Leppänen, T.; Kainulainen, S.; Howarth, T.P.; Oksenberg, A.; Töyräs, J.; Terrill, P.I.; Korkalaine, H. Sleep stage continuity is associated with objective daytime sleepiness in patients with suspected obstructive sleep apnea. J. Clin. Sleep Med. 2024, 20, 1595–1606. [Google Scholar] [CrossRef] [PubMed]
- Veasey, S.C.; Davis, C.W.; Fenik, P.; Zhan, G.; Hsu, Y.J.; Pratico, D.; Gow, A. Long-term intermittent hypoxia in mice: Protracted hypersomnolence with oxidative injury to sleep-wake brain regions. Sleep 2004, 27, 194–201. [Google Scholar] [CrossRef]
- Zhu, Y.; Fenik, P.; Zhan, G.; Xin, R.; Veasey, S.C. Degeneration in arousal neurons in chronic sleep disruption modeling sleep apnea. Front. Neurol. 2015, 6, 109. [Google Scholar] [CrossRef] [PubMed]
- Zhu, Y.; Fenik, P.; Zhan, G.; Mazza, E.; Kelz, M.; Aston-Jones, G.; Veasey, S.C. Selective loss of catecholaminergic wake active neurons in a murine sleep apnea model. J. Neurosci. 2007, 27, 10060–10071. [Google Scholar] [CrossRef] [PubMed]
- Martinez-Garcia, M.A.; Sánchez-de-la-Torre, M.; White, D.P.; Azarbarzin, A. Hypoxic Burden in Obstructive Sleep Apnea: Present and Future. Arch. Bronconeumol. 2023, 59, 36–43. [Google Scholar] [CrossRef] [PubMed]
- Landzberg, D.; Bagai, K. Prevalence of objective excessive daytime sleepiness in a cohort of patients with mild obstructive sleep apnea. Sleep Breath. 2022, 26, 1471–1477. [Google Scholar] [CrossRef] [PubMed]
- Omobomi, O.; Batool-Anwar, S.; Quan, S.F. Clinical and Polysomnographic Correlates of Subjective Sleepiness in Mild Obstructive Sleep Apnea. Sleep Vigil. 2019, 3, 131–138. [Google Scholar] [CrossRef] [PubMed]
- Lee, S.A.; Paek, J.H.; Han, S.H. Sleep hygiene and its association with daytime sleepiness, depressive symptoms, and quality of life in patients with mild obstructive sleep apnea. J. Neurol. Sci. 2015, 359, 445–449. [Google Scholar] [CrossRef]
- Roure, N.; Gomez, S.; Mediano, O.; Duran, J.; de la Peña, M.; Capote, F.; Teran, J.; Masa, J.F.; Alonso, M.L.; Corral, J.; et al. Daytime sleepiness and polysomnography in obstructive sleep apnea patients. Sleep Med. 2008, 9, 727–731. [Google Scholar] [CrossRef] [PubMed]
- Ramos, A.R.; Figueredo, P.; Shafazand, S.; Chediak, A.D.; Abreu, A.R.; Dib, S.I.; Torre, C.; Wallace, D.M. Obstructive sleep apnea phenotypes and markers of vascular disease: A review. Front. Neurol. 2017, 8, 659. [Google Scholar] [CrossRef] [PubMed]
- Onen, F.; Moreau, T.; Gooneratne, N.S.; Petit, C.; Falissard, B.; Onen, S.H. Limits of the Epworth sleepiness scale in older adults. Sleep Breath. 2013, 17, 343–350. [Google Scholar] [CrossRef] [PubMed]
- Drakatos, P.; Ghiassi, R.; Jarrold, I.; Harris, J.; Abidi, A.; Douiri, A.; Hart, N.; Kosky, C.; Williams, A.J.; Partridge, M.R.; et al. The use of an online pictorial Epworth Sleepiness Scale in the assessment of age and gender specific differences in excessive daytime sleepiness. J. Thorac. Dis. 2015, 7, 897–902. [Google Scholar] [PubMed]
- Lin, C.M.; Davidson, T.M.; Ancoli-Israel, S. Gender differences in obstructive sleep apnea and treatment implications. Sleep Med. Rev. 2008, 12, 481–496. [Google Scholar] [CrossRef] [PubMed]
- Valipour, A.; Lothaller, H.; Rauscher, H.; Zwick, H.; Burghuber, O.C.; Lavie, P. Genderrelated differences in symptoms of patients with suspected breathing disorders in sleep: A clinical population study using the sleep disorders questionnaire. Sleep 2007, 30, 312–319. [Google Scholar] [CrossRef]
- Ng, W.L.; Orellana, L.; Shaw, J.E.; Wong, E.; Peeters, A. The relationship between weight change and daytime sleepiness: The Sleep Heart Health Study. Sleep Med. 2017, 36, 109–118. [Google Scholar] [CrossRef] [PubMed]


| Total Population N = 1307 | Total Population According to AHI | ||||
|---|---|---|---|---|---|
| Mild-OSA Patients (AHI 5 to <15/h) N = 236 | Moderate-OSA Patients (AHI 15 to <30/h) N = 367 | Severe-OSA Patients (AHI ≥ 30/h) N = 704 | p-Value Across All | ||
| Demographics | |||||
| Sex, males (%) | 1027 (79%) | 172 (73%) | 270 (74%) | 585 (83%) **, # | <0.001 |
| Age, years | 50 ± 14 | 44 ± 13.0 | 51 ± 14 * | 52 ± 14 ** | <0.001 |
| Age ≥ 60 years (%) | 345 (27%) | 27 (12%) | 104 (28%) * | 214 (30%) ** | <0.001 |
| BMI (kg/m2) | 33 ± 7 | 29 ± 5 | 31 ± 6* | 35 ± 7 **, # | <0.001 |
| BMI ≥ 30, n (%) | 822 (63%) | 87 (37%) | 187 (51%) * | 548 (78%) #, ** | <0.001 |
| NC (cm) | 42 ± 5 | 39 ± 4 | 41 ± 4 * | 43 ± 5 **, # | <0.001 |
| WC (cm) | 111 ± 16 | 101 ± 12 | 107 ± 12 * | 117 ± 16 **, # | <0.001 |
| HC (cm) | 112 ± 15 | 105 ± 12 | 109 ± 12 * | 117 ± 15 **, # | <0.001 |
| Waist-to-hip ratio | 0.99 ± 0.07 | 0.96 ± 0.08 | 0.99 ± 0.06 * | 1.00 ± 0.07 **, # | <0.001 |
| Education Level | |||||
| Primary level | 61 (5%) | 7 (3%) | 19 (5%) | 35 (5%) | |
| Secondary level | 356 (27%) | 52 (22%) | 93 (25%) | 211 (30%) | |
| Higher level | 890 (68%) | 177 (75%) | 255 (69%) | 458 (65%) | 0.072 |
| Married/with partner (%) | 1160 (89%) | 186 (78%) | 328 (89%) | 647 (92%) | <0.001 |
| Smoking status | |||||
| Never, n (%) | 501 (38%) | 90 (38%) | 152 (41%) | 259 (37%) | |
| Current/former, n (%) | 806 (62%) | 146 (62%) | 215 (59%) | 445 (63%) | 0.461 |
| Daytime sleepiness | |||||
| ESS | 10 ± 5 | 8 ± 5 | 9 ± 5 | 11 ± 6 **, # | <0.001 |
| ESS > 10 (%) | 644 (49%) | 88 (38%) | 165 (46%) * | 391 (57%) **, # | <0.001 |
| Comorbidities (%) | |||||
| Arterial hypertension | 435 (33%) | 29 (12%) | 122 (33%) * | 284 (40%) **, # | <0.001 |
| Hyperlipidemia | 469 (36%) | 62 (26%) | 136 (37%) * | 271 (39%) ** | 0.003 |
| Depression (on medications) | 119 (9%) | 18 (8%) | 32 (9%) | 69 (10%) | 0.585 |
| Mild OSA | Moderate OSA | Severe OSA | |||||||
|---|---|---|---|---|---|---|---|---|---|
| ESS ≤ 10 | ESS > 10 | p-Value | ESS ≤ 10 | ESS > 10 | p-Value | ESS ≤ 10 | ESS > 10 | p-Value | |
| TST (min) | 292 ± 49 | 296 ± 48 | 0.66 | 275 ± 56 | 281 ± 52 | 0.28 | 262 ± 61 | 261 ± 54 | 0.86 |
| Sleep efficiency (%) | 70 ± 10 | 72 ± 10 | 0.35 | 66 ± 12 | 67 ± 11 | 0.33 | 62 ± 13 | 63 ± 11 | 0.42 |
| NREM (%TST) | 89 ± 8 | 89 ± 4 | 0.94 | 88 ± 7 | 90 ± 7 | 0.86 | 91 ± 6 | 90 ± 3 | 0.86 |
| SWS (%TST) | 8 ± 4 | 8 ± 3 | 0.70 | 8 ± 3 | 8 ± 4 | 0.93 | 8 ± 4 | 7 ± 3 | 0.001 * |
| REM (%TST) | 11 ± 4 | 12 ± 4 | 0.62 | 10 ± 4 | 11 ± 4 | 0.24 | 10 ± 8 | 9 ± 4 | 0.51 |
| Arousal index | 30 ± 9 | 31 ± 7 | 0.65 | 37 ± 8 | 37 ± 7 | 0.54 | 50 ± 14 | 54 ± 13 | 0.001 * |
| Sleep latency (min) | 38 (26, 58) | 32 (21, 53) | 0.24 | 39 (25, 61) | 32 (22, 52) | 0.03 * | 45 (29, 75) | 38 (24, 59) | <0.001 * |
| WASO (min) | 88 ± 33 | 92 ± 33 | 0.03 * | 106 ± 38 | 107 ± 38 | 0.63 | 118 ± 39 | 122 ± 40 | 0.19 |
| AHI | 9 ± 3 | 10 ± 3 | 0.06 | 21 ± 4 | 22 ± 4 | 0.13 | 55 ± 20 | 63 ± 23 | <0.001 * |
| AHI REM | 12 ± 7 | 13 ± 7 | 0.52 | 29 ± 13 | 30 ± 12 | 0.40 | 59 ± 23 | 64 ± 23 | 0.01 * |
| ODI | 8 ± 3 | 10 ± 9 | 0.11 | 24 ± 9 | 24 ± 6 | 0.52 | 57 ± 22 | 65 ± 24 | <0.001 * |
| Mean SpO2 (%) | 95 ± 1 | 95 ± 1 | 0.23 | 94 ± 2 | 93 ± 1 | 0.005 * | 91 ± 2 | 90 ± 3 | <0.001 * |
| Lowest SpO2 (%) | 88 ± 3 | 88 ± 4 | 0.39 | 84 ± 3 | 83 ± 4 | 0.01 * | 78 ± 7 | 74 ± 8 | <0.001 * |
| TST90 (min) | 2 (0, 7) | 4 (1, 9) | 0.12 | 19 (10, 33) | 26 (14, 43) | 0.001 * | 67 (38, 108) | 105 (59, 171) | <0.001 * |
| TST90 (%) | 0.8 (0, 2.3) | 1.3 (0.3, 1.3) | 0.11 | 7.2 (3.6, 12.0) | 9.4 (4.7, 15.6) | 0.001 * | 25.9 (13.8, 46.0) | 42.7 (21.8, 71.4) | <0.001 * |
| All OSA Patients | Mild-OSA Patients | Moderate-OSA Patients | Severe-OSA Patients | |||||
|---|---|---|---|---|---|---|---|---|
| OR (95%CI) | p-Value | OR (95%CI) | p-Value | OR (95%CI) | p-Value | OR (95%CI) | p-Value | |
| Males vs. females | 1.499 (1.129–1.991) | 0.005 * | 0.751 (0.393–1.436) | 0.386 | 1.399 (0.821–2.386) | 0.217 | 1.797 (1.160–2.784) | 0.009 * |
| Age ≤ 60 | 1.418 (1.080–1.864) | 0.012 * | 0.433 (0.149–1.254) | 0.123 | 1.802 (1.079–3.012) | 0.025 * | 1.359 (1.053–1.938) | 0.041 * |
| BMI ≥ 30 | 1.351 (1.069–1.707) | 0.012 * | 0.887 (0485–1.624) | 0.699 | 0.931 (0.588–1.474) | 0.759 | 1.025 (1.002–1.049) | 0.035 * |
| Depression | 1.688 (1.128–2.527) | 0.011 * | 1.033 (0.367–2.905) | 0.952 | 1.692 (0.785–3.648) | 0.180 | 1.829 (1.051–3.184) | 0.033 * |
| Sleep efficiency (%) | 1.003 (0.993–1.013) | 0.582 | 1.028 (0.996–1.060) | 0.090 | 1.015 (0.994–1.037) | 0.161 | 1.015 (0.999–1.031) | 0.063 |
| WASO | 1.004 (1.001–1.007) | 0.015 * | 0.997 (0.989–1.006) | 0.543 | 1.003 (0.996–1.009) | 0.418 | 1.002 (0.998–1.007) | 0.049 * |
| Sleep latency | 0.995 (0.991-.998) | 0.003 * | 1.000 (0.990–1.009) | 0.969 | 0.993 (0.986–1.000) | 0.038 * | 0.989 (0.983–0.944) | <0.001 * |
| NREM (%TST) | 1.000 (0.999–1.002) | 0.633 | 1.011 (0.969–1.055) | 0.601 | 0.966 (0.963–1.031) | 0.841 | 1.000 (0.999–1.002) | 0.633 |
| SWS (%TST) | 0.960 (0.928–0.993) | 0.018 * | 0.964 (0.870–1.069) | 0.487 | 1.050 (0.953–1.156) | 0.325 | 0.922 (0.874–0.972) | 0.003 * |
| REM (%TST) | 0.995 (0.973–1.018) | 0.658 | 1.005 (0.942–1.071) | 0.889 | 1.080 (0.976–1.195) | 0.139 | 0.986 (0.954–1.020) | 0.418 |
| Arousal index | 1.026 (1.017–1.035) | <0.001 * | 1.043 (1.003–1.085) | 0.036 * | 1.026 (1.007–1.055) | 0.038 * | 1.020 (1.008–1.033) | 0.002 * |
| Arousal index ≥ 30 | 2.398 (1.702–3.380) | <0.001 * | 2.412 (1.373–4.239) | 0.002 * | 2.229 (1.236–4.020) | 0.008 * | 2.001 (0.326–12.267) | 0.033 * |
| AHI | 1.014 (1.009–1.018) | <0.001 * | 1.098 (0.987–1.222) | 0.086 | 1.065 (0.997–1.138) | 0.062 | 1.016 (1.007–1.024) | <0.001 * |
| AHI REM | 1.011 (1.006–1.015) | <0.001 * | 1.008 (0.968–1.049) | 0.699 | 1.013 (0.994–1.033) | 0.190 | 1.008 (1.001–1.016) | 0.032 * |
| ODI | 1.014 (1.010–1.019) | <0.001 * | 1.050 (0.971–1.136) | 0.221 | 1.046 (1.011–1.082) | 0.009 * | 1.016 (1.008–1.024) | <0.001 * |
| Mean SaO2 | 0.817 (0.775–0.861) | <0.001 * | 0.828 (0.632–1.085) | 0.171 | 0.712 (0.602–0.842) | <0.001 * | 0.794 (0.726–0.870) | <0.001 * |
| Lowest SaO2 | 0.936 (0.920–0.953) | <0.001 * | 0.948 (0.844–1.065) | 0.368 | 0.890 (0.831–0.954) | 0.001 * | 0.926 (0.899–0.952) | <0.001 * |
| TST90 (%) | 1.019 (1.014–1.024) | <0.001 * | 1.051 (0.960–1.150) | 0.278 | 1.022 (1.004–1.040) | 0.016 * | 1.018 (1.012–1.024) | <0.001 * |
Disclaimer/Publisher’s Note: The statements, opinions and data contained in all publications are solely those of the individual author(s) and contributor(s) and not of MDPI and/or the editor(s). MDPI and/or the editor(s) disclaim responsibility for any injury to people or property resulting from any ideas, methods, instructions or products referred to in the content. |
© 2025 by the authors. Licensee MDPI, Basel, Switzerland. This article is an open access article distributed under the terms and conditions of the Creative Commons Attribution (CC BY) license (https://creativecommons.org/licenses/by/4.0/).
Share and Cite
Bouloukaki, I.; Vouis, T.; Velidakis, A.; Moniaki, V.; Mavroudi, E.; Stathakis, G.; Fanaridis, M.; Schiza, S. Polysomnography Differences Between Sleepy and Non-Sleepy Obstructive Sleep Apnea (OSA) Patients. Healthcare 2025, 13, 478. https://doi.org/10.3390/healthcare13050478
Bouloukaki I, Vouis T, Velidakis A, Moniaki V, Mavroudi E, Stathakis G, Fanaridis M, Schiza S. Polysomnography Differences Between Sleepy and Non-Sleepy Obstructive Sleep Apnea (OSA) Patients. Healthcare. 2025; 13(5):478. https://doi.org/10.3390/healthcare13050478
Chicago/Turabian StyleBouloukaki, Izolde, Theofilos Vouis, Antonios Velidakis, Violeta Moniaki, Eleni Mavroudi, George Stathakis, Michail Fanaridis, and Sophia Schiza. 2025. "Polysomnography Differences Between Sleepy and Non-Sleepy Obstructive Sleep Apnea (OSA) Patients" Healthcare 13, no. 5: 478. https://doi.org/10.3390/healthcare13050478
APA StyleBouloukaki, I., Vouis, T., Velidakis, A., Moniaki, V., Mavroudi, E., Stathakis, G., Fanaridis, M., & Schiza, S. (2025). Polysomnography Differences Between Sleepy and Non-Sleepy Obstructive Sleep Apnea (OSA) Patients. Healthcare, 13(5), 478. https://doi.org/10.3390/healthcare13050478

