Assessing the Presence of Eco-Anxiety in the General Population: A Systematic Review, Meta-Analysis and Meta-Regression
Abstract
1. Introduction
2. Materials and Methods
2.1. Search Strategy
2.2. Inclusion/Exclusion Criteria
2.3. Study Selection
2.4. Data Extraction
2.5. Study Quality and Evaluation
2.6. Data Synthesis and Meta-Analysis
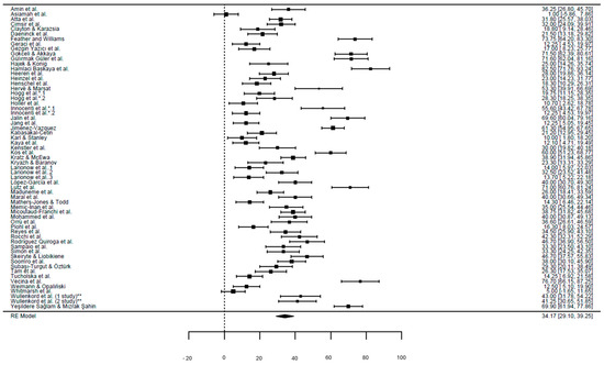
3. Results
4. Discussion
5. Conclusions
Supplementary Materials
Author Contributions
Funding
Institutional Review Board Statement
Informed Consent Statement
Data Availability Statement
Conflicts of Interest
Abbreviations
| CAS | Climate Anxiety Scale |
| CCAS | Climate Change Anxiety Scale |
| CCAQ | Climate Change Anxiety Questionnaire |
| CCASWH | Climate Change Anxiety Scale for Women’s Health |
| CCWS | Climate Change Worry Scale |
| CSI | Children’s Stress Index (CSI) |
| DASS-21 | Depression Anxiety Stress Scale |
| EAQ | Eco-Anxiety Questionnaire |
| EC | Environmental Crisis |
| EWS | Eco-Worry Scale |
| GAD-7-C | Generalised Anxiety Disorder scale anxiety |
| HEAS | Hogg Eco-Anxiety Scale |
| HINT | Habit Index of Negative Thinking |
| PRISMA | Preferred Reporting Items for Systematic Reviews and Meta-Analyses |
References
- Cissé, G.; McLeman, R.; Adams, H.; Aldunce, P.; Bowen, K.; Campbell-Lendrum, D.; Clayton, S.; Ebi, K.L.; Hess, J.; Huang, C.; et al. Health, wellbeing, and the changing structure of communities. In Climate Change 2022: Impacts, Adaptation, and Vulnerability. Contribution of Working Group II to the Sixth Assessment Report of the Intergovernmental Panel on Climate Change; Pörtner, H.O., Roberts, D.C., Tignor, M., Poloczanska, E.S., Mintenbeck, K., Alegría, A., Craig, M., Langsdorf, S., Löschke, S., Möller, V., et al., Eds.; Cambridge University Press: Cambridge, UK, 2022. [Google Scholar]
- Knutti, R. Closing the Knowledge-Action Gap in Climate Change. One Earth 2019, 1, 21–23. [Google Scholar] [CrossRef]
- Trewin, B.; Cazenave, A.; Howell, S.; Huss, M.; Isensee, K.; Palmer, M.D.; Tarasova, O.; Vermeulen, A. Headline Indicators for Global Climate Monitoring. Bull. Amer. Meteor. Soc. 2021, 102, E20–E37. [Google Scholar] [CrossRef]
- World Health Organization (WHO). WHO Health and Climate Change Survey Report. 2021. Available online: https://www.who.int/publications/i/item/9789240038509 (accessed on 12 February 2025).
- Budziszewska, M.; Jonsson, S.E. Talking about climate change and eco-anxiety in psychotherapy: A qualitative analysis of patients’ experiences. Psychotherapy 2002, 59, 606–615. [Google Scholar] [CrossRef]
- Duggal, D. Oxford reveals Word of the Year 2019: Here’s Why We Should be Very, Very Concerned. The Economic Times. 2022. Available online: https://economictimes.indiatimes.com/magazines/panache/oxford-reveals-word-of-the-year-2019-heres-why-we-should-be-very-very-concerned/articleshow/72332446.cms?from=mdr (accessed on 12 February 2025).
- American Psychological Association (APA). Mental Health and Our Changing Climate: Impacts, Implications and Guidance. 2017. Available online: https://www.apa.org/news/press/releases/2017/03/mental-health-climate.pdf (accessed on 10 February 2025).
- Clayton, S.; Manning, C.; Krygsman, K.; Speiser, M. Mental Health and Our Changing Climate: Impacts, Implications, and Guidance; American Psychological Association and ecoAmerica: Washington, DC, USA, 2017; Available online: https://www.apa.org/news/press/releases/mental-health-climate-change.pdf (accessed on 12 February 2025).
- Climate Psychology Alliance. The Handbook of Climate Psychology. 2020. Available online: https://www.climatepsychologyalliance.org/images/files/handbookofclimatepsychology.pdf (accessed on 12 February 2025).
- Coffey, Y.; Bhullar, N.; Durkin, J.; Islam, M.S.; Usher, K. Understanding eco-anxiety: A systematic scoping review of current literature and identified knowledge gaps. J. Clim. Change 2021, 3, 100047. [Google Scholar] [CrossRef]
- Steffen, W.; Richardson, K.; Rockström, J.; Cornell, S.E.; Fetzer, I.; Bennett, E.M.; Biggs, R.; Carpenter, S.R.; de Vries, W.; de Wit, C.A.; et al. Planetary boundaries: Guiding human development on a changing planet. Science 2015, 347, 1259855. [Google Scholar] [CrossRef]
- Pihkala, P. Anxiety and the ecological crisis: An analysis of eco-anxiety and climate anxiety. Sustainability 2020, 12, 7836. [Google Scholar] [CrossRef]
- Albrecht, G. Chronic environmental change: Emerging ‘psychoterratic’ syndromes. In Climate Change and Human Well-Being: Global Challenges and Opportunities; Weissbecker, I., Ed.; Springer: New York, NY, USA, 2011; pp. 43–56. [Google Scholar]
- Ojala, M.; Cunsolo, A.; Ogunbode, C.A.; Middleton, J. Anxiety, worry, and grief in a time of environmental and climate crisis: A narrative review. Ann. Rev. Environ. Resour. 2021, 46, 35–58. [Google Scholar] [CrossRef]
- First, M.B.; Yousif, L.H.; Clarke, D.E.; Wang, P.S.; Gogtay, N.; Appelbaum, P.S. DSM-5-TR: Overview of what’s new and what’s changed. World Psychiatry 2022, 21, 218–219. [Google Scholar] [CrossRef] [PubMed]
- Clayton, S.; Karazsia, B.T. Development and validation of a measure of climate change anxiety. J. Environ. Psychol. 2020, 69, 101434. [Google Scholar] [CrossRef]
- Hepp, J.; Klein, S.A.; Horsten, L.K.; Urbild, J.; Lane, S.P. Introduction and behavioral validation of the climate change distress and impairment scale (CC-DIS). Sci. Rep. 2023, 13, 11272. [Google Scholar] [CrossRef] [PubMed]
- Taylor, S. Anxiety disorders, climate change, and the challenges ahead: Introduction to the special issue. J. Anxiety Disord. 2020, 76, 102313. [Google Scholar] [CrossRef]
- Ágoston, C.; Urbán, R.; Nagy, B.; Csaba, B.; Kőváry, Z.; Kovács, K.; Varga, A.; Dúll, A.; Mónus, F.; Shaw, C.A.; et al. The psychological consequences of the ecological crisis: Three new questionnaires to assess eco-anxiety, eco-guilt, and ecological grief. Clim. Risk Manag. 2022, 37, 100441. [Google Scholar] [CrossRef]
- Higginbotham, N.; Connor, L.; Albrecht, G.; Freeman, S.; Agho, K. Validation of an environmental distress scale. Ecohealth 2007, 3, 245–254. [Google Scholar] [CrossRef]
- Hogg, T.L.; Stanley, S.K.; O’Brien, L.V. Synthesising psychometric evidence for the climate anxiety scale and Hogg eco-anxiety scale. J. Environ. Psychol. 2023, 88, 102003. [Google Scholar] [CrossRef]
- Clayton, S.; Pihkala, P.; Wray, B.; Marks, E. Psychological and emotional responses to climate change among young people worldwide: Differences associated with gender, age, and country. Sustainability 2023, 15, 3540. [Google Scholar] [CrossRef]
- Page, M.J.; McKenzie, J.E.; Bossuyt, P.M.; Boutron, I.; Hoffmann, T.C.; Mulrow, C.D.; Shamseer, L.; Tetzlaff, J.M.; Akl, E.A.; Brennan, S.E.; et al. The PRISMA 2020 statement: An updated guideline for reporting systematic reviews. BMJ 2021, 372, n71. [Google Scholar] [CrossRef]
- Wells, G.A.; Shea, B.; O’Connell, D.; Peterson, J.; Welch, V.; Losos, M.; Tugwell, P. The Newcastle–Ottawa Scale (NOS) for Assessing the Quality of Nonrandomised Studies in Meta-Analyses; Ottawa Hospital Research Institute: Ottawa, ON, Canada, 2000; Available online: http://www.ohri.ca/programs/clinical_epidemiology/oxford.asp (accessed on 17 September 2025).
- Shi, J.; Luo, D.; Weng, H.; Zeng, X.-T.; Lin, L.; Chu, H.; Tong, T. Optimally estimating the sample standard deviation from the five-number summary. Res. Synth. Methods 2020, 11, 641–654. [Google Scholar] [CrossRef]
- McGrath, S.; Zhao, X.; Steele, R.; Thombs, B.D.; Benedetti, A.; DEPRESsion Screening Data (DEPRESSD) Collaboration. Estimating the sample mean and standard deviation from commonly reported quantiles in meta-analysis. Stat. Methods Med. Res. 2020, 29, 2520–2537. [Google Scholar] [CrossRef] [PubMed]
- Cohen, P.; Cohen, J.; Aiken, L.S.; West, S.G. The problem of units and the circumstance for POMP. Multivar. Behav. Res. 1999, 34, 315–346. [Google Scholar] [CrossRef]
- Amin, S.M.; El-Monshed, A.H.; Khedr, M.A.; Morsy, O.M.I.; El-Ashry, A.M. Future nurses in a changing climate: Exploring the relationship between environmental literacy and climate anxiety. J. Adv. Nurs. 2025. [CrossRef] [PubMed]
- Asiamah, N.; Mensah, H.K.; Ansah, E.W.; Eku, E.; Ansah, N.B.; Danquah, E.; Yarfi, C.; Aidoo, I.; Opuni, F.F.; Agyemang, S.M. Association of optimism, self-efficacy, and resilience with life engagement among middle-aged and older adults with severe climate anxiety: Sensitivity of a path model. J. Affect. Disord. 2025, 380, 607–619. [Google Scholar] [CrossRef]
- Atta, M.H.R.; Zoromba, M.A.; El-Gazar, H.E.; Loutfy, A.; Elsheikh, M.A.; El-Ayari, O.S.M.; Sehsah, I.; Elzohairy, N.W. Climate anxiety, environmental attitude, and job engagement among nursing university colleagues: A multicenter descriptive study. BMC Nurs. 2024, 23, 133. [Google Scholar] [CrossRef]
- Cimsir, E.; Sahin, M.D.; Akdogan, R. Unveiling the relationships between eco-anxiety, psychological symptoms and anthropocentric narcissism: The psychometric properties of the Turkish version of the Hogg Eco-Anxiety Scale. Glob. Ment. Health 2024, 11, e26. [Google Scholar] [CrossRef]
- Daeninck, C.; Kioupi, V.; Vercammen, A. Climate anxiety, coping strategies and planning for the future in environmental degree students in the UK. Front. Psychol. 2023, 14, 1126031. [Google Scholar] [CrossRef] [PubMed]
- Feather, G.; Williams, M. The moderating effects of psychological flexibility and psychological inflexibility on the relationship between climate concern and climate-related distress. J. Context. Behav. Sci. 2022, 23, 137–143. [Google Scholar] [CrossRef]
- Geraci, A.; Giordano, G.; Cucinella, N.; Cannavò, M.; Cavarretta, M.V.; Alesi, M.; Caci, B.; D’aMico, A.; Gentile, A.; Iannello, N.M.; et al. Psychological dimensions associated with youth engagement in climate change issues: A person-centered approach. Curr. Psychol. 2024, 43, 25836–25846. [Google Scholar] [CrossRef]
- Gezgin Yazıcı, H.; Ökten, Ç.; Utaş Akhan, L. Climate change anxiety and sleep problems in the older adults. Aging Ment. Health 2025, 29, 1456–1460. [Google Scholar] [CrossRef]
- Gökçeli, F.K.; Akkaya, M.Ö. The link between eco-anxiety and nature relatedness in associate degree students. J. Balt. Sci. Ed. 2025, 24, 122–132. [Google Scholar] [CrossRef]
- Gülırmak Güler, K.; Albayrak Günday, E. Nature-friendly hands: The relationship between nursing students’ climate change anxiety, intolerance of uncertainty, and anxiety about the future. Public Health Nurs. 2024, 41, 1491–1502. [Google Scholar] [CrossRef] [PubMed]
- Hajek, A.; König, H.H. Climate anxiety in Germany. Public Health 2022, 212, 89–94. [Google Scholar] [CrossRef]
- Hajek, A.; König, H.-H. Climate anxiety, loneliness and perceived social isolation. Int. J. Environ. Res. Public Health 2022, 19, 14991. [Google Scholar] [CrossRef]
- Hajek, A.; Koenig, H.-H. Climate anxiety and mental health in Germany. Climate 2023, 11, 158. [Google Scholar] [CrossRef]
- Hajek, A.; König, H.-H. Do individuals with high climate anxiety believe that they will die earlier? First evidence from Germany. Int. J. Environ. Res. Public Health 2023, 20, 5064. [Google Scholar] [CrossRef]
- Hajek, A.; Koenig, H.-H. Belief in science and climate anxiety: Findings from a quota-sample. J. Public Health 2024. [Google Scholar] [CrossRef]
- Hamlaci Baskaya, Y.; Unlu Bidik, N.; Yolcu, B. The effect of level of anxiety about climate change on the use of feminine hygiene products. Int. J. Gynaecol. Obstet. 2024, 165, 1158–1166. [Google Scholar] [CrossRef] [PubMed]
- Heeren, A.; Mouguiama-Daouda, C.; Contreras, A. On climate anxiety and the threat it may pose to daily life functioning and adaptation: A study among European and African French-speaking participants. Clim. Change 2022, 173, 15. [Google Scholar] [CrossRef] [PubMed]
- Heeren, A.; Mouguiama-Daouda, C.; McNally, R.J. A network approach to climate change anxiety and its key related features. J. Anxiety Disord. 2023, 93, 102625. [Google Scholar] [CrossRef]
- Heinzel, S.; Tschorn, M.; Schulte-Hutner, M.; Schäfer, F.; Reese, G.; Pohle, C.; Peter, F.; Neuber, M.; Liu, S.; Keller, J.; et al. Anxiety in response to the climate and environmental crises: Validation of the Hogg Eco-Anxiety Scale in Germany. Front. Psychol. 2023, 14, 1239425. [Google Scholar] [CrossRef]
- Henschel, L.D.; Franke, G.H.; Jagla-Franke, M. Psychometric properties of the German Hogg Eco-Anxiety scale and its associations with psychological distress, self-efficacy and social support. BMC Public Health 2025, 25, 1624. [Google Scholar] [CrossRef]
- Herve, F.; Marsat, S. Eco-anxiety, connectedness to nature, and green equity investments. Econ. Bull. 2023, 43, 1485–1492. [Google Scholar]
- Hogg, T.L.; Stanley, S.K.; O’Brien, L.V.; Wilson, M.S.; Watsford, C.R. The Hogg Eco-Anxiety Scale: Development and validation of a multidimensional scale. Glob. Environ. Change 2021, 71, 102391. [Google Scholar] [CrossRef]
- Hogg, T.L.; Stanley, S.K.; O’Brien, L.V.; Watsford, C.R.; Walker, I. Clarifying the nature of the association between eco-anxiety, wellbeing and pro-environmental behaviour. J. Environ. Psychol. 2024, 95, 102249. [Google Scholar] [CrossRef]
- Holler, Y.; Zelinski, L.; Sesseljuson, L.D.; Palmadottir, A.D.; Latini, A.; Matthews, A.; Asmundsdottir, Á.M.; Gudmundsson, L.S.; Olafsson, R.P. Worries about air pollution from the unsustainable use of studded tires and cruise ships—A preliminary study on the relationship between worries and health complaints due to seasonal pollution. Sustainability 2025, 17, 4634. [Google Scholar] [CrossRef]
- Innocenti, M.; Perilli, A.; Santarelli, G.; Carluccio, N.; Zjalic, D.; Acquadro Maran, D.; Ciabini, L.; Cadeddu, C. How does climate change worry influence the relationship between climate change anxiety and eco-paralysis? A moderation study. Climate 2023, 11, 190. [Google Scholar] [CrossRef]
- Innocenti, M.; Santarelli, G.; Lombardi, G.S.; Ciabini, L.; Zjalic, D.; Di Russo, M.; Cadeddu, C. How can climate change anxiety induce both pro-environmental behaviours and eco-paralysis? The mediating role of general self-efficacy. Int. J. Environ. Res. Public Health 2023, 20, 3085. [Google Scholar] [CrossRef] [PubMed]
- Jalin, H.; Chandes, C.; Boudoukha, A.-H.; Jacob, A.; Poinsot, R.; Congard, A. Better understanding eco-anxiety: Creation and validation of EMEA scale. Eur. Rev. Appl. Psychol. 2025, 75, 101010. [Google Scholar] [CrossRef]
- Jalin, H.; Sapin, A.; Macherey, A.; Boudoukha, A.H.; Congard, A. Understanding eco-anxiety: Exploring relationships with environmental trait affects, connectedness to nature, depression, anxiety, and media exposure. Curr. Psychol. 2024, 43, 23455–23468. [Google Scholar] [CrossRef]
- Jang, S.J.; Chung, S.J.; Lee, H. Validation of the Climate Change Anxiety Scale for Korean adults. Perspect. Psychiatr. Care 2023, 2023, 9718834. [Google Scholar] [CrossRef]
- Jimenez-Vazquez, D.; Piqueras, J.-A.; Espinosa-Fernandez, L.; Canals-Sans, J.; Garcia-Lopez, L.-J. Psychometric properties of the Spanish version of the climate anxiety scale in Spanish-speaking adolescents. Front. Psychol. 2025, 16, 1631481. [Google Scholar] [CrossRef] [PubMed]
- Kabasakal-Cetin, A. Association between eco-anxiety, sustainable eating and consumption behaviors and the EAT-Lancet diet score among university students. Food Qual. Prefer. 2023, 111, 104972. [Google Scholar] [CrossRef]
- Karl, S.; Brandt, L.; Luykx, J.J.; Dom, G. Impact of climate change, biodiversity loss, and pollution on the incidence and manifestation of depressive and anxiety disorders. Curr. Opin. Psychiatry 2025, 38, 35–40. [Google Scholar] [CrossRef]
- Kaya, L.; Keles, E.; Baydili, K.N.; Kaya, Z.; Kumru, P. Impact of climate change education on pregnant women’s anxiety and awareness. Public Health Nurs. 2025, 42, 54–60. [Google Scholar] [CrossRef]
- Kenstler, M.; Shelley, G. Love of nature in the time of climate change: Environmental science undergraduates report higher levels of nature-relatedness and eco-anxiety but not resilience. Ecopsychology 2024, 16, 200–208. [Google Scholar] [CrossRef]
- Kos, A.; Novak Zabukovec, V.; Jug, V. The role of eco-anxiety in reproductive wish during emerging adulthood. J. Reprod. Infant Psychol. 2025, 1–16. [Google Scholar] [CrossRef]
- Kratz, S.; McEwan, K. From roots to action: How adolescent nature exposure and adult eco-anxiety foster pro-environmental behavior. Curr. Psychol. 2025, 44, 15270–15279. [Google Scholar] [CrossRef]
- Kryazh, I.; Baranov, V. Psychometric evaluation of the Ukrainian version of the Hogg Eco-Anxiety Scale (HEAS-UA); (HEAS-UA)]. Insight 2025, 13, 117–141. [Google Scholar] [CrossRef]
- Larionow, P.; Sołtys, M.; Izdebski, P.; Mudło-Głagolska, K.; Golonka, J.; Demski, M.; Rosińska, M. Climate change anxiety assessment: The psychometric properties of the Polish version of the Climate Anxiety Scale. Front. Psychol. 2022, 13, 870392. [Google Scholar] [CrossRef]
- Larionow, P.; Gawrych, M.; Michalak, M.; Mudło-Głagolska, K.; Preece, D.A.; Stewart, A.E. The Climate Change Worry Scale (CCWS) and its links with demographics and mental health outcomes in a Polish sample. Healthcare 2024, 12, 1128. [Google Scholar] [CrossRef]
- Larionow, P.; Michalak, M.; Mudło-Głagolska, K.; Mazur, M.; Gawrych, M.; Komorowska, K.; Preece, D.A. Measuring Eco-Anxiety with the Polish Version of the 13-Item Hogg Eco-Anxiety Scale (HEAS-13): Latent Structure, Correlates, and Psychometric Performance. Healthcare 2024, 12, 2255. [Google Scholar] [CrossRef]
- Lopez-Garcia, L.; Latorre, F.; Vecina, M.L.; Diaz-Silveira, C. What drives pro-environmental behavior? Investigating the role of eco-worry and eco-anxiety in young adults. Sustainability 2025, 17, 4543. [Google Scholar] [CrossRef]
- Lutz, P.K.; Zelenski, J.M.; Newman, D.B. Eco-anxiety in daily life: Relationships with well-being and pro-environmental behavior. Curr. Res. Ecol. Soc. Psychol. 2023, 4, 100110. [Google Scholar] [CrossRef]
- Maduneme, E. Some slice of climate anxiety … Is good: A cross-sectional survey exploring the relationship between college students media exposure and perceptions about climate change. J. Health Commun. 2024, 29 (Suppl. S1), 45–56. [Google Scholar] [CrossRef]
- Maral, S.; Bilmez, H.; Satıcı, S.A. Understanding the link between environmental identity, eco-anxiety, intolerance of uncertainty and mental well-being. Psychiatr. Q. 2025, 1–22. [Google Scholar] [CrossRef]
- Mathers-Jones, J.; Todd, J. Ecological anxiety and pro-environmental behaviour: The role of attention. J. Anxiety Disord. 2023, 98, 102745. [Google Scholar] [CrossRef]
- Memiç-İnan, C.; Şarahman-Kahraman, C.; Topal, İ.; Toptaş, S. Anxiety for the planet, health for the body: The relationship between eco-anxiety and the Mediterranean diet in Turkish young adults. J. Sci. Food Agric. 2025, 105, 6417–6423. [Google Scholar] [CrossRef]
- Micoulaud-Franchi, J.-A.; Coelho, J.; Geoffroy, P.A.; Vecchierini, M.-F.; Poirot, I.; Royant-Parola, S.; Hartley, S.; Cugy, D.; Gronfier, C.; Gauld, C.; et al. Eco-anxiety: An adaptive behavior or a mental disorder? Results of a psychometric study. L’Encéphale 2024, 50, 406–415. [Google Scholar] [CrossRef]
- Mohammed, S.J.; Ahmed, S.M.; Qadr, M.Q.; Blbas, H.; Ali, A.N.; Saber, A.F. Climate change anxiety symptoms in the Kurdistan Region of Iraq. J. Pioneer. Med. Sci. 2025, 14, 23–30. [Google Scholar] [CrossRef]
- Orrù, L.; Taccini, F.; Mannarini, S. Worry about the future in the climate change emergency: A mediation analysis of the role of eco-anxiety and emotion regulation. Behav. Sci. 2024, 14, 255. [Google Scholar] [CrossRef]
- Parmentier, M.-L.; Weiss, K.; Aroua, A.; Betry, C.; Rivière, M.; Navarro, O. The influence of environmental crisis perception and trait anxiety on the level of eco-worry and climate anxiety. J. Anxiety Disord. 2024, 101, 102799. [Google Scholar] [CrossRef]
- Plohl, N.; Mlakar, I.; Musil, B.; Smrke, U. Measuring young individuals’ responses to climate change: Validation of the Slovenian versions of the Climate Anxiety Scale and the Climate Change Worry Scale. Front. Psychol. 2023, 14, 1297782. [Google Scholar] [CrossRef]
- Reyes, M.E.S.; Carmen, B.P.B.; Luminarias, M.E.P.; Mangulabnan, S.A.N.B.; Ogunbode, C.A. An investigation into the relationship between climate change anxiety and mental health among gen Z filipinos. Curr. Psychol. 2021, 42, 7448–7456. [Google Scholar] [CrossRef] [PubMed]
- Rocchi, G.; Pileri, J.; Luciani, F.; Gennaro, A.; Lai, C. Insights into eco-anxiety in Italy: Preliminary psychometric properties of the Italian version of the Hogg Eco-anxiety Scale, age and gender distribution. J. Environ. Psychol. 2023, 92, 102180. [Google Scholar] [CrossRef]
- Rodríguez Quiroga, A.; Peña Loray, J.S.; Moreno Poyato, A.; Roldán Merino, J.; Botero, C.; Bongiardino, L.; Aufenacker, S.I.; Stanley, S.K.; Costa, T.; Luís, S.; et al. Mental health during ecological crisis: Translating and validating the Hogg Eco-anxiety Scale for Argentinian and Spanish populations. BMC Psychol. 2024, 12, 227. [Google Scholar] [CrossRef]
- Sampaio, F.; Costa, T.; Teixeira-Santos, L.; de Pinho, L.G.; Sequeira, C.; Luís, S.; Loureiro, A.; Soro, J.C.; Roldán Merino, J.; Moreno Poyato, A.; et al. Validating a measure for eco-anxiety in Portuguese young adults and exploring its associations with environmental action. BMC Public Health 2023, 23, 1905. [Google Scholar] [CrossRef]
- Simon, P.D.; Pakingan, K.A.; Aruta, J.J.B.R. Measurement of climate change anxiety and its mediating effect between experience of climate change and mitigation actions of Filipino youth. Educ. Dev. Psychol. 2022, 39, 17–27. [Google Scholar] [CrossRef]
- Skeiryte, A.; Liobikiene, G. Emotions related to climate change, and their impact on environmental behaviour. J. Clean. Prod. 2025, 488, 144659. [Google Scholar] [CrossRef]
- Soomro, S.; Zhou, D.; Charan, I.A. The effects of climate change on mental health and psychological well-being: Impacts and priority actions. Glob. Ment. Health 2024, 11, e118. [Google Scholar] [CrossRef] [PubMed]
- Subasi Turgut, F.; Ozturk, M. Worrying about individual health and worrying about ecological health; the relationship between eco-anxiety and health. Klin. Psikiyatri Derg. 2025, 28, 113–122. [Google Scholar] [CrossRef]
- Tam, K.-P.; Chan, H.-W.; Clayton, S. Perception of global norm of government climate action and support for domestic climate policies. J. Environ. Psy. 2025, 89, 102507. [Google Scholar] [CrossRef]
- Trifunovic, M.; Rajcevic, V. How does eco-anxiety among geography teachers affect their performance? Evidence from the banja luka region (b&h). J. Geogr. Inst. Jovan Cvijic Sasa 2024, 74, 245–255. [Google Scholar] [CrossRef]
- Tucholska, K.; Gulla, B.; Ziernicka-Wojtaszek, A. Climate change beliefs, emotions and pro-environmental behaviors among adults: The role of core personality traits and the time perspective. PLoS ONE 2024, 19, e0300246. [Google Scholar] [CrossRef]
- Vecina, M.L.; Alonso-Ferres, M.; Díaz-Silveira, C. Eco-anxiety or simply eco-worry? Incremental validity study in a representative Spanish sample. Front. Psychol. 2025, 16, 1560024. [Google Scholar] [CrossRef]
- Weimann, B.; Opalinski, K. Facing climate change: The mediating role of pro-ecological behaviour between climate anxiety and psychological adaptation. J. Psychiatry Clin. Psychol. 2024, 24, 228–232. [Google Scholar] [CrossRef]
- Whitmarsh, L.; Player, L.; Jiongco, A.; James, M.; Williams, M.; Marks, E.; Kennedy-Williams, P. Climate anxiety: What predicts it and how is it related to climate action? J. Environ. Psychol. 2022, 83, 101866. [Google Scholar] [CrossRef]
- Wullenkord, M.C.; Troeger, J.; Hamann, K.R.S.; Loy, L.S.; Reese, G. Anxiety and climate change: A validation of the Climate Anxiety Scale in a German-speaking quota sample and an investigation of psychological correlates. Clim. Change 2021, 168, 20. [Google Scholar] [CrossRef]
- Yesildere Saglam, H.; Mizrak Sahin, B. The impact of climate change anxiety on premenstrual syndrome: A cross-sectional study. J. Eval. Clin. Pract. 2025, 31, e14177. [Google Scholar] [CrossRef]
- Sergi, M.R.; Picconi, L.; Tommasi, M.; Saggino, A.; Ebisch, S.J.H.; Spoto, A. The Role of Gender in the Association Among the Emotional Intelligence, Anxiety and Depression. Front. Psychol. 2021, 12, 747702. [Google Scholar] [CrossRef] [PubMed]
- Gayathri, K.G.; Vijayalakshmi, P.; Krishnan, S.; Rekha, S.; Latha, P.K.; Venugopal, V. Exploring eco-anxiety among women amid climate-induced heat: A comprehensive review. Front. Psychol. 2025, 16, 1480337. [Google Scholar] [CrossRef]
- Kühner, C.; Gemmecke, C.; Hüffmeier, J.; Zacher, H. Climate change anxiety: A meta-analysis. Glob. Environ. Change 2025, 93, 103015. [Google Scholar] [CrossRef]
- Hunter, L.M.; Hatch, A.; Johnson, A. Cross-national gender variation in environmental behaviors. Soc. Sci. Q. 2004, 85, 677–694. [Google Scholar] [CrossRef]
- Sweeny, K.; Dooley, M.D. The surprising upsides of worry. Soc. Personal Psychol. Compass 2017, 11, e12311. [Google Scholar] [CrossRef]
- Wang, S.; Leviston, Z.; Hurlstone, M.; Lawrence, C.; Walker, I. Emotions predict policy support: Why it matters how people feel about climate change. Glob. Environ. Change 2018, 50, 25–40. [Google Scholar] [CrossRef]


| PICO Element | Keywords |
|---|---|
| P = Patient, problem or population | General population |
| I = Intervention | Assessment of eco-anxiety through validated methods |
| C = Comparison; control or comparator | Age-, gender- and condition-matched control group (if present) |
| O = Outcome(s) | Estimate of eco-anxiety level in the general population with possible differences among population groups and, if available, correlated variables |
| S = Study type | Cross-sectional studies |
| [Ref] | Author Year Country | Sample Characteristics | Scale/Questionnaire | Main Results | Newcastle-Ottawa Scale |
|---|---|---|---|---|---|
| [28] | Amin 2024 Egypt | 620 undergraduate nursing students; 28.9% aged ≤20, 55.6% 20–22, 15.5% ≥22; Females 71.9% | CAS | Mean CAS score 31.9 ± 12.1. Females had higher climate anxiety (p = 0.013), while higher environmental literacy decreased climate anxiety (p = 0.010). | Good |
| [29] | Asiamah et al. 2025 Ghana | 3994; ≥50 years; Females 47% | CAS | Mild 46%, moderate 40%, severe 14%. | Fair |
| [30] | Atta et al. 2024 Egypt | 359 university nursing staff/colleagues; largest age group 30–<40 years = 49.3%; Females 77.4% | CAS | 29.54 ± 5.26. Demographics did not influence climate anxiety. Geographical variables were significantly correlated with eco-anxiety (p < 0.001). | Good |
| [31] | Cimsir et al. 2024 Turkey | 445; 29.76 years (18–65 years); Females 64.3% | HEAS | Females (M = 0.98, SD = 0.55) had significantly higher scores than males (M = 0.82, SD = 0.63). | Fair |
| [16] | Clayton and Karazsia 2020 USA | 197; ≅50% aged 25–34 years (18–>70); Females 40.6% | CAS | Study 1. Cognitive impairment 1.75 ± 0.97, Functional impairment 2.09 ± 1.08, Experience 3.08 ± 1.20, Behavioral Engagement 3.67 ± 0.84, Environmental Identity 3.11 ± 0.97, Negative Emotionality 2.30 ± 0.96, Depression/Anxiety 2.04 ± 1.06. Women scored significantly higher than men in behavioral engagement (p = 0.007). The youngest age groups (18–35) scored higher than the other age groups in cognitive impairment and in functional impairment (p < 0.001). | Fair |
| [32] | Daeninck et al. 2023 UK | 473 university students in environmental and non-environmental courses; 24.49 ± 6.10 years; Females 53.7% | CAS | Environmental group was more climate anxious (M = 26.79, SD = 10.33) than the non-environmental group (M = 21.28, SD = 7.94, p < 0.001). | Fair |
| [33] | Feather and Williams 2021 New Zealand | 771; 33 ± 11.85 years; Females 48% | CCAS | Mean CAS score 1.62 ± 0.62. The correlations between psychological flexibility, climate change anxiety, anxiety and depression were all negative and significant (p < 0.001), while the correlations between psychological inflexibility and climate change anxiety, anxiety and depression were all positive and significant (p < 0.001). | Fair |
| [34] | Geraci et al. 2024 Italy | 224; 21.04 ± 1.65 (19–26); Females 61%. | CCAS | Mean CCAS score 1.49 ± 0.62; no significant correlation with age and gender; significant correlations with climate change awareness (r = 0.14, p < 0.05) and worry (r = 0.55, p < 0.01). | Poor |
| [35] | Gezgin Yazıcı et al. 2025 Turkey | 664; 71.49 ± 6.21 years; Females 54.4% | CCAS | Mean CCAS score 1.68 ± 0.80; correlation with Insomnia Severity Index (r = 0.26, p < 0.001). | Fair |
| [36] | Gokceli & Akkaya 2025 Turkey | 406 university students; 85.5% aged 17–21 years; 12.1% 22–26 years; Females 79.3% | HEAS | Mean HEAS score 27.90 ± 8.44 in females, 26.94 ± 10.03 in males (p = 0.386); correlation with program of study (p = 0.007) and with nature relatedness levels (r = 0.160, p = 0.001). | Fair |
| [37] | Gülırmak Güler et al. 2024 Turkey | 321 nursing students; 20.4 ± 2.61 years; Females 81% | CCAS | Mean CCAS score 50.2 ± 12.4; association with future anxiety (R = 0.234, p = 0.000) and intolerance of uncertainty (r = 0.562, p < 0.001). | Fair |
| [38] | Hajek and Konig 2022 Germany | 3091; 46.5 ± 15.3 years (18–74); Females 49.5% | CAS | The average level of climate anxiety was 2.0 (SD = 1.2). Association with higher loneliness (β = 0.06, p < 0.001) and with higher perceived social isolation (β = 0.10, p < 0.001) in the total sample and among individuals aged 18 to 29 years, 30 to 49 years, and 50 to 64 years (p < 0.01) but not in those aged 65 to 74 years. | Good |
| [39] | Hajek and Konig 2022 Germany | 3091; 18–74 years; upper secondary school 39.9%; Full-time employed 44.2%; 45.9% with chronic disease | CAS | The average level of climate anxiety was 2.0 (SD = 1.2). Climate anxiety was higher among younger (β = −0.005, p < 0.001) and full-time employed (β = 0.07, p < 0.01) individuals, individuals without chronic conditions (β = −0.08, p < 0.001). | Good |
| [40] | Hajek and Konig 2023 Germany | 3015; 46.5 ± 15.3 years (18–74); Females 49.9% | CAS | The average level of climate anxiety was 2.0 (SD = 1.2). Association with lower perceived longevity among the total sample (β = −1.41, p < 0.01) and among individuals aged 18 to 29 years (β = −3.58, p = 0.01), but not in the other age groups. | Good |
| [41] | Hajek and Konig 2023 Germany | 3091; 46.5 ± 15.3 years (18–74); Females 49.5%. | CAS | The average level of climate anxiety was 2.0 (SD = 1.2). Correlations with age (r = −0.18, p < 0.001), depressive (r = −0.30, p < 0.001) and anxiety (r = −0.31, p < 0.001) symptoms. | Good |
| [42] | Hajek and Konig 2024 Germany | 3091; 46.5 ± 15.3 years (18–74); Females 49.5%. | CAS | The average level of climate anxiety was 2.0 (SD = 1.2). A greater belief in science was significantly associated with higher (log) climate anxiety (β = 0.003, p < 0.001), mainly in young adults aged 18–29 years (β = 0.006, p < 0.001). | Good |
| [43] | Hamlaci Baskaya et al. 2024 Turkey | 978; 27.87 ± 6.82 years (18–49); Females 100% | CCASWH | Mean CCASWH score 55.89 ± 17.12. Lower values in women who do not think that there is environmental pollution in their region (β = −0.132, p = 0.006) and in participants without allergies (β = −0.088, p = 0.021). | Fair |
| [44] | Heeren et al. 2022 Belgium | 2080; 43.04 ± 13.52 years (17–84); Females (51.88%); 2034 (97.8%) from Europe, 46 (2.2%) from Africa. | CAS | 11.64% of participants experienced climate anxiety more often than “sometimes”. CAS in Females was M = 2.12 (SD 0.69) and in Males M = 1.99 (SD 0.70) (p < 0.001). Correlations with age (r = −0.15), cognitive-emotional (r = 0.94) and functional (r = 0.90) impairments, experience of climate change (r = 0.35). | Good |
| [45] | Heeren et al. 2023 Belgium | 874; 38.42 ± 14.11 years (18–81); Females 51.37%; 52.40% from France, 44.16% from Belgium, 2.17% from Switzerland | CCAS | Mean cognitive-emotional component score 16.46 ± 5.75, mean functional component score 11.22 ± 4.34. | Fair |
| [46] | Heinzel et al. 2023 Germany | 486; 29.43 ± 10.63 years (18–73); Females 75.1% | HEAS | Mean affective symptoms subscale score 0.69 ± 0.60, rumination 0.60 ± 0.67, behavioral symptoms 0.33 ± 0.50, anxiety about personal impact 1.20 ± 0.70. | Fair |
| [47] | Henschel et al. 2025 Germany | 322; 36.6 ± 14.8; Females 67.4% | HEAS | Mean HEAS score 0.55 ± 0.50; Subscale Affective Symptoms 0.53 ± 0.59; Subscale Rumination 0.39 ± 0.55; Subscale Behavioral Symptoms 0.33 ± 0.54; Subscale Personal Impact Anxiety 0.94 ± 0.80. | Fair |
| [48] | Hervè & Marsat 2023 France | 671; 49.9 years; Females 50.7% | HEAS | Mean HEAS score 0.16; median 0.13 (0.04–0.23) | Fair |
| [49] | Hogg et al. 2021 Australia | 334 undergraduates; 22.23 ± 6.65 years; Females 59% | HEAS | 65.8% experienced eco-anxiety. All the HEAS domains correlated with anxiety and depression (p < 0.01). | Poor |
| [21] | Hogg et al. 2023 Australia | 530; 39.5 ± 16.5 years (18–86); Females 63.2% | HEAS, CAS | Mean HEAS subscale scores: affective symptoms Females 0.91 ± 0.80, Males 0.71 ± 0.75; rumination Females 1.09 ± 0.89, Males 0.93 ± 0.94; behavioral symptoms Females 0.58 ± 0.72, Males 0.51 ± 0.69; personal impact anxiety Females 1.47 ± 0.89, Males 1.04 ± 0.91; Mean CAS subscale scores: cognitive-emotional impairments Females 1.73 ± 0.71, Males 1.66 ± 0.67; functional impairments Females 1.94 ± 0.84, Males 1.82 ± 0.89, no significant gender differences. | Fair |
| [50] | Hogg et al. 2024 Australia | 530; 39.5 ± 16.5 years (18–86); Females 63.2% | HEAS | Mean HEAS subscale scores: affective symptoms 0.85 ± 0.79; rumination 1.05 ± 0.91; behavioral symptoms 0.56 ± 0.71; personal impact anxiety 1.35 ± 0.92. Correlated with more symptoms of generalised anxiety and depression, lower life satisfaction, and more pro-environmental behaviour and readiness to adopt a low carbon lifestyle (p < 0.01). Age was associated with more rumination (p < 0.01) and less personal impact anxiety (p < 0.05), and females experienced more affective symptoms (p < 0.05) and personal impact anxiety (p < 0.001) than males. | Fair |
| [51] | Holler et al. 2025 Iceland | 47; 54.0 ± 16.7 years (20–92); Females 57.4% | HEAS | Mean HEAS score 4.19 ± 6.65. Correlation with worries about air pollution from studded tires. | Fair |
| [52] | Innocenti et al. 2023 Italy | 150; 34.14 ± 11.07 years; Females 52.7% | HEAS, CCAS | Mean HEAS score 21.74 ± 15.08; CCAS cognitive impairment score was 11.80 ± 7.55; CAS cognitive functional impairment score 8.54 ± 6.62; correlations with Climate Change Worry Scale, Eco-Paralysis Scale (p < 0.001). | Fair |
| [53] | Innocenti et al. 2023 Italy | 394; 33.1 ± 11.8 years; Females 64.2% | CCAS | Mean CCAS cognitive impairment score was 11.59 ± 3.47, p = 0.344; cognitive functional impairment score 6.23 ± 1.94; negative correlations with Global Self-Efficacy score (p < 0.01). | Fair |
| [55] | Jalin et al. 2024 France | 522 | EMEA | Mean EMEA total score 46 ± 12.5. Association with female gender (p < 0.05), level of education (p < 0.01), not having children (p < 0.001), exposure to media and connectedness to nature (p < 0.001), depression and anxiety (p < 0.05), negative outcomes, obstruction and coercive affects of the environmental trait affect questionnaire (p < 0.001). | Fair |
| [54] | Jalin et al. 2025 France | 262; 48 ± 14.2 years (19–92); Females 68% | EMEA; CAS | Mean EMEA total score 49.2 ± 12.4; Mean CAS total score 51.2 ± 12.3. Higher EMEA total score, anxiety-depressive manifestations and relational disturbances (p = 0.001) in young people; higher anxiety-depressive manifestations (p = 0.019) and relational disturbances (p = 0.024) in women; lower total score in participants with children (p = 0.001). | Fair |
| [56] | Jang et al. 2023 Korea | 459; 44.2 ± 13.5; Females 51% | CCAS | Mean total score 1.49 ± 0.54. | Fair |
| [57] | Jimenez-Vazquez 2025 Spain | 1065; 14.0 ± 1.49 years (12–18); Females 49% | CAS | Mean CAS total score 16.19 ± 5.44. Higher levels in younger (p = 0.014), female (p = 0.003), and low-vs-high socioeconomic status participants (p = 0.007). | Fair |
| [58] | Kabasakal-Cetin 2023 Turkey | 605 undergraduates; Males 21.6 ± 1.8 years, Females 20.8 ± 1.8 years; Females 61.2% | HEAS | Eco-anxiety scale total score was higher in female (12.2 ± 6.9) than in male students (14.0 ± 8.0) (p = 0.003). Correlations with healthy and balanced nutrition (r = −0.124, p < 0.05) low fat diet (r = −0.091, p < 0.05), meat reduction (r = 0.116, p < 0.05) and local food (r = 0.113, p < 0.05), environmental awareness (r = 0.176, p < 0.001) and reusability (r = 0.094, p < 0.05). | Fair |
| [59] | Karl & Stanley 2024 Australia | 287; 35.0 ± 12.3 years; Females 48.4% | HCAS | Mean HCAS subscale scores Affective symptoms 0.6 ± 0.7, ruminative symptoms 0.3 ± 0.5, behavioral symptoms 0.4 ± 0.7, personal impact anxiety 0.6 ± 0.7; correlations with domains of the Comprehensive Inventory of Mindfulness Experiences and solastalgia (p < 0.05). | Fair |
| [60] | Kaya et al. 2025 Turkey | 1126 pregnant women; 28.4 ± 5.6 years (18–44); Females 100% | CAS | Baseline Mean CAS total score 19.3 ± 7.4. | Poor |
| [61] | Kenstler USA 2025 | 169 (36 environmental sciences majors—ES and 133 nonenvironmental science majors—NES); 20.0 ± 1.8 years; Females 57.4% | HEAS, CAS | Mean HEAS total score ES 0.90 ± 0.81, NES 0.69 ± 0.68 (p = 0.06); mean CAS total score ES 1.60 ± 0.77, NES 1.39 ± 0.59 (p < 0.05). Positive correlations with pro-environmental behaviors (p < 0.001). | Poor |
| [62] | Kos et al. 2025 Slovenia | 324; 23.8 ± 3.8 years (18–30); Females 70.4% | HEAS | Mean HEAS total score 1.8 ± 0.6. Positive correlation with anxiety and depression and negative correlation with reproductive wish (p < 0.001). | Fair |
| [63] | Kratz & McEwan 2025 Africa, Europe, Americas, Asia | 151; 47 ± 12.9 years (19–82); Females 67% | EAQ | Mean EAQ score 56.2 ± 11.1. Positive correlations with pro-environmental behaviors and perceived landscape change (p < 0.01). | Fair |
| [64] | Kryazh and Baranov 2025 Ukraine | 446; 32.3 ± 11.0 years (17–75), Females 67.9% | HEAS | Mean HEAS subscale scores: affective symptoms Females 0.70 ± 0.78, Males 0.54 ± 0.73; rumination Females 0.57 ± 0.68, Males 0.48 ± 0.63; behavioral symptoms Females 0.52 ± 0.70, Males 0.54 ± 0.73; personal impact anxiety Females 0.59 ± 0.67, Males 0.45 ± 0.66, not significant. Younger participants showed higher personal impact anxiety (p = 0.014). All eco-anxiety domains positively correlated with depression and pro-environmental behavior and negatively correlated with life satisfaction (p < 0.001). | Fair |
| [65] | Larionow et al. 2022 Poland | 603; 25.32 ± 9.59 (18–70); Females 57% | CAS | Total mean CAS score 20.34 ± 8.68. Higher levels in females (p < 0.001). Negative correlations with age (p = 0.006) and education (p < 0.001). | Good |
| [66] | Larionow et al. 2024 Poland | 420; 26.2 ± 10.6 (18–70); Females 82.4% | CCWS | Total mean CCWS score 23.02 ± 8.41; correlations with anxiety (p < 0.001) and depression (p < 0.01). | Good |
| [67] | Larionow et al. 2024 Poland | 634; 28.1 ± 10.7 (18–67); Females 81.4% | HEAS | Mean HEAS subscale scores: Affective symptoms 0.47 ± 0.58, ruminative symptoms 0.37 ± 0.51, behavioral symptoms 0.34 ± 0.58, personal impact anxiety 0.47 ± 0.58. 80 people (12.62% of the total sample) had clinically significant levels of eco-anxiety. Higher levels of anxiety about their personal impact in females than in males (p < 0.001); negative correlations with age and education (p < 0.05). | Good |
| [68] | López-García et al. 2025 Spain | 308 young adults; 24.56 ± 3.69 (18–30); Females 51.9% | CCAS | The mean value for eco-anxiety (M = 2.564 ± 0.928) resulted very low. | Fair |
| [69] | Lutz et al. 2023 Canada | 132; 21.2 ± 4.9 years (17–50); Females 72.6% | HEAS | Fairly low levels of eco-anxiety, with the mean being below the scale midpoint (2.13 on a 1–5 scale). Eco-anxiety was negatively associated with positive deactivated affect (r = −0.18, p = 0.047) and positively associated with both negative activated (r = 0.26, p = 0.004) and deactivated affect (r = 0.22, p = 0.012). | Good |
| [70] | Maduneme et al. 2024 USA | 398; 20 years; Females 67% | CCAS | Mean CCAS score 2.04 ± 0.60. Media exposure variables explained approximately 33% of the variance in climate anxiety, with the frequency of media use and attention given to climate change news significantly predicting climate anxiety (p < 0.001). | Good |
| [71] | Maral et al. 2025 Turkey | 392; 27.71 ± 6.71 years (18–59); Females 71.7% | HEAS | Mean HEAS score 15.86 ± 8.82. Correlation with mental wellbeing (p < 0.05). | Good |
| [72] | Mathers-Jones & Todd 2023 Australia | 96; 20.9 ± 3.4; Females 70.8% | HEAS | Mean HEAS score 0.43 ± 0.48. Correlations with anxiety, depression and stress (p < 0.01). | Fair |
| [73] | Memiç-İnan et al. 2025 Turkey | 736 young adults; 20.9 ± 1.8 years; Females 70.5% | HEAS | Mean HEAS score 13.4 ± 5.9. Higher eco-anxiety scores were reported among females and those studying in health-related departments (p < 0.05). | Good |
| [74] | Micoulaud-Franchi et al. 2023 France | 1004; 43.47 years ± 13.41, (19–66); Females 54.1% | EAQ | EAQ mean total score Males 48.37 ± 13.22, Females 50.52 ± 12.41 (p = 0.008); higher in participants aged <35 years (p < 0.001). Correlation with anxiety (p < 0.001) and depression (p = 0.011). | Good |
| [75] | Mohammed 2025 Iraq | 385; 29.50 ± 13.91 years; Females 58.5%; urban 64.5%, suburban 26.9%, rural 8.5% | HEAS | Eco-anxiety levels resulted mild 38%, moderate 43%, severe 19%. Significant associations was found between the level of eco-anxiety and the type of residence (χ2, p = 0.021) and city (χ2, p = 0.006). | Fair |
| [76] | Orrù et al. 2024 Italy | 351 adults; 31 years (18–74); Females 66.7% | HEAS | Worry and emotion dysregulation were significant positive predictors of eco-anxiety; older age predicted lower eco-anxiety. | Good |
| [77] | Parmentier et al. 2023 France | 431; 37.6 ± 14.6 (18–78); Females 71.6% | CCAS | Cognitive-emotional impairment (CEI) 1.84 (0.72), functional impairment (FI) 1.83 (0.81). Both factors of the CCAS exhibited positive and significant correlations with the environmental crisis perception scale (r = 0.39, p < 0.001 for CEI and r = 0.35, p < 0.001 for FI). Both eco-worry and trait anxiety significantly predicted CEI and FI (p < 0.001). | Fair |
| [78] | Plohl et al. 2023 Slovenia | 442; 21.6 ± 1.7 (18–24); Females 75.8% | CAS; CCWS | Total mean CAS score 1.65 ± 0.71. Correlations with anxiety, stress, and climate worry (p < 0.001). | Good |
| [79] | Reyes et al. 2021 Philippines | 433; 20.4 ± 1.6 years (18–26); Females 66.5% | CCAS | CCAS M = 2.38, SD = 0.77; MHI M = 127.71, SD = 24.42. Climate change anxiety and mental health are significantly negatively correlated (r = −0.37, p < 0.001). Climate change anxiety has a significant positive correlation with Psychological Distress (r = 0.39, p < 0.001), but no correlation with Psychological Wellbeing (r = −0.05, p = 0.140). | Fair |
| [80] | Rocchi et al. 2023 Italy | 335; 32.06 ± 11.26 years (18–73); Females 61.8% | HEAS | Higher Affective Symptoms (M = 1.05, vs. M = 0.80, p = 0.005) and Anxiety about personal impact (M = 1.49, vs. M = 1.21, p = 0.006) were found in females than males. People aged <=30 reported significantly higher means than participants >30 in Affective Symptoms (M = 1.08 vs. M = 0.76, p = 0.005) and Anxiety about personal impact (M = 1.61 vs. M = 1.17, p < 0.001). | Good |
| [81] | Rodríguez Quiroga et al. 2024 Argentina and Spain | 1538 (Argentina n = 990; Spain n = 548); Spain: Females 86%, 22.6 ± 6.1 years (16–57); Argentina: Females 56.8%; 40.8 ± 17.0 years (14–89) | HEAS | HEAS subscale scores: affective symptoms Females 0.89 ± 0.64, Males 0.72 ± 0.60 (p < 0.001); rumination Females 0.66 ± 0.58, Males 0.58 ± 0.58 (p < 0.01); behavioral symptoms Females 0.58 ± 0.63, Males 0.54 ± 0.58 (p = 0.218); personal impact anxiety Females 0.75 ± 0.64, Males 0.55 ± 0.61 (p < 0.001). Spanish participants had higher scores on the affective symptoms and personal impact anxiety factors respect to the Argentinian ones (p < 0.001). Younger participants tended to report higher scores on affective and behavioral symptoms and on personal impact (p < 0.001). | Good |
| [82] | Sampaio et al. 2023 Portugal | 623 (F 81.5%); 20.46 ± 1.83 years | HEAS | The affective symptoms (2.86), rumination (1.52) and behavioural symptoms (1.60) subscale models were not significantly explained by any predictors (gender, age, schooling, living area, fathers’ and mothers’ school attainment). Only personal impact subscale (2.65) was significantly predicted by paternal education attainment (R2 = 0.026, p = 0.012, B = 0.878, p = 0.001). | Good |
| [83] | Simon et al. 2022 Philippines | 452 university students; 19.18 ± 0.99 years | CCAS | Cognitive Emotional Impairment 18.61 ± 6.81; Functional Impairment 9.8 ± 9.8. | Fair |
| [84] | Skeiryte & Liobikiene 2025 Lithuania | 705; 41.3 years; Females ≈55% | HEAS | Women reported higher eco-emotions than men—anxiety (t = 4.556, p < 0.001). Across age groups (17–24, 25–34, ≥35), differences were non-significant for anxiety (F = 1.059, p = 0.385). | Poor |
| [85] | Soomro et al. 2024 China | 163 from flood-affected districts in Sindh and local schools/centres: 117 children (6–16 years) and 46 parents; children: 68 boys, 49 girls | CCAS | Climate-Change Anxiety (CCA) correlated with Climate-Change Education/Action (CCEA) (r = 0.524, p < 0.01) and with Mental Health (MH) outcomes (r = 0.513, p < 0.01); higher CCA and MH predicted higher Children Stress Index (β = 0.245 and 0.410, both p < 0.01), CCA predicted higher CCEA (β = 0.219, p < 0.05), and CCA together with CCEA predicted higher MH (β = 0.277, p < 0.01; β = 0.178, p < 0.05). | Fair |
| [86] | Subaşı-Turgut & Öztürk 2025 Turkey | 367; 18–25 years; Females 49% | HEAS | Women reported higher eco-anxiety (p = 0.002). Eco-anxiety positively correlated with health anxiety and social maladjustment (p < 0.001). | Fair |
| [87] | Tam et al. 2023 China, India, Japan, USA | 4000 | CCAS | Total mean CCAS score China 2.223 ± 0.860, India 2.690 ± 0.856, Japan 1.644 ± 0.636, USA 1.637 ± 0.866. Higher levels in males from China and the U.S. (p < 0.001), lower in India (p < 0.05). Younger participants reported stronger climate change anxiety in India and the U.S., lower in China (p < 0.001). Positive correlation with income in China (p < 0.001) and negative in Japan (p < 0.01). Positive correlation with education in India (p < 0.01). | Good |
| [88] | Trifunović & Rajčević 2024 Bosnia and Herzegovina | 40 geography teachers; Females 77.5%; 45 years | HEAS | HEAS-13 subscale means were Affective 0.625, Rumination 0.925 (highest), Behavioral impairment 0.583, Personal-impact anxiety 0.550; women scored higher than men on Affective (0.702 vs. 0.361), Rumination (1.043 vs. 0.519) and Personal-impact (0.677 vs. 0.111), while rural teachers exceeded urban on Rumination (1.500 vs. 0.781; z = 2.195), Behavioral impairment (0.958 vs. 0.490; z = 1.858) and Personal-impact (0.875 vs. 0.469; z = 3.740). | Poor |
| [89] | Tucholska et al. 2024 Poland | 333 adults; Females 68.8% | CCAS | CCAS scores were low–to–moderate (Cognitive-Emotional Impairment M = 1.60, Functional Impairment M = 1.52 on a 1–5 scale) with modest climate emotions (e.g., fear M = 2.91, anxiety M = 2.73), and personality traits and time perspective emerged as key predictors of CCAS. | Fair |
| [90] | Vecina et al. 2025 Spain | 1911 adults; 18–88 years | HEAS | Total mean HEAS score 2.3 ± 0.87. 51.8% of respondents exhibited mild eco-anxiety. Correlation with eco-worry (p < 0.001). | Fair |
| [91] | Weimann & Opaliński 2024 Poland | 431; 23 ± 12 years (18–84) Females 71% | CAS | Mean CAS total score 1.51 ± 0.57. | Poor |
| [92] | Whitmarsh et al. 2022 UK | 1338; ≈47.1 years; Females ~53% | CCAS | Very low mean climate anxiety (≈1.25/5). Higher among younger adults; small negative link with wellbeing and positive links with climate identity and self-reported PEB (Pro-Environmental Behavior). | Fair |
| [93] | Wullenkord et al. 2021 Germany | 1011; 43.9 ± 13.9 (18–69); Females 51.1% | CAS | Mean total CAS score 1.71 ± 0.82. Higher climate anxiety in females (p = 0.003). Correlation with anxiety and depressiveness (p < 0.01). | Good |
| [94] | Yeşildere Sağlam & Mızrak Şahin 2025 Turkey | 456 women (reproductive age); mean age 26.94 (SD 7.0). | HEAS | Mean score 27.28 ± 6.44; higher in women with pre-menstrual syndrome (PMS) (p < 0.001). | Fair |
Disclaimer/Publisher’s Note: The statements, opinions and data contained in all publications are solely those of the individual author(s) and contributor(s) and not of MDPI and/or the editor(s). MDPI and/or the editor(s) disclaim responsibility for any injury to people or property resulting from any ideas, methods, instructions or products referred to in the content. |
© 2025 by the authors. Licensee MDPI, Basel, Switzerland. This article is an open access article distributed under the terms and conditions of the Creative Commons Attribution (CC BY) license (https://creativecommons.org/licenses/by/4.0/).
Share and Cite
Gallè, F.; Valeriani, F.; De Giorgi, A.; Grassi, F.; Mazzeo, E.; Napoli, C.; Protano, C. Assessing the Presence of Eco-Anxiety in the General Population: A Systematic Review, Meta-Analysis and Meta-Regression. Healthcare 2025, 13, 2716. https://doi.org/10.3390/healthcare13212716
Gallè F, Valeriani F, De Giorgi A, Grassi F, Mazzeo E, Napoli C, Protano C. Assessing the Presence of Eco-Anxiety in the General Population: A Systematic Review, Meta-Analysis and Meta-Regression. Healthcare. 2025; 13(21):2716. https://doi.org/10.3390/healthcare13212716
Chicago/Turabian StyleGallè, Francesca, Federica Valeriani, Andrea De Giorgi, Fabiano Grassi, Elisa Mazzeo, Christian Napoli, and Carmela Protano. 2025. "Assessing the Presence of Eco-Anxiety in the General Population: A Systematic Review, Meta-Analysis and Meta-Regression" Healthcare 13, no. 21: 2716. https://doi.org/10.3390/healthcare13212716
APA StyleGallè, F., Valeriani, F., De Giorgi, A., Grassi, F., Mazzeo, E., Napoli, C., & Protano, C. (2025). Assessing the Presence of Eco-Anxiety in the General Population: A Systematic Review, Meta-Analysis and Meta-Regression. Healthcare, 13(21), 2716. https://doi.org/10.3390/healthcare13212716

