A Longitudinal Study on Cognitive Training for Cognitively Preserved Adults in Liguria, Italy
Abstract
1. Introduction
2. Materials and Methods
2.1. Participants and Procedure
2.1.1. Tools
2.1.2. Mini-Mental State Examination (MMSE)
2.1.3. Clock-Drawing Test (CDT)
2.1.4. Memory Complaint Questionnaire (MACQ)
2.1.5. Geriatric Depression Scale (GDS)
2.1.6. Test Ability to Recall Words or Recall Test (A3LP)
2.1.7. Verbal Fluency (VF)
2.2. Statistical Analysis
3. Results
3.1. Analysis Results
3.2. Linear Regression Model
3.2.1. MACQ (Memory Complaint Questionnaire)
3.2.2. GDS-4 (Geriatric Depression Scale)
3.2.3. A3LP (Ability to Recall Words)
3.2.4. VF (Verbal Fluency)
3.3. Multivariate Analysis of Variance (MANOVA)
3.3.1. MACQ (Memory Complaint Questionnaire)
3.3.2. GDS-4 (Geriatric Depression Scale)
3.3.3. A3LP (Ability to Recall Words)
3.3.4. VF (Verbal Fluency)
3.4. Mixed Linear Model
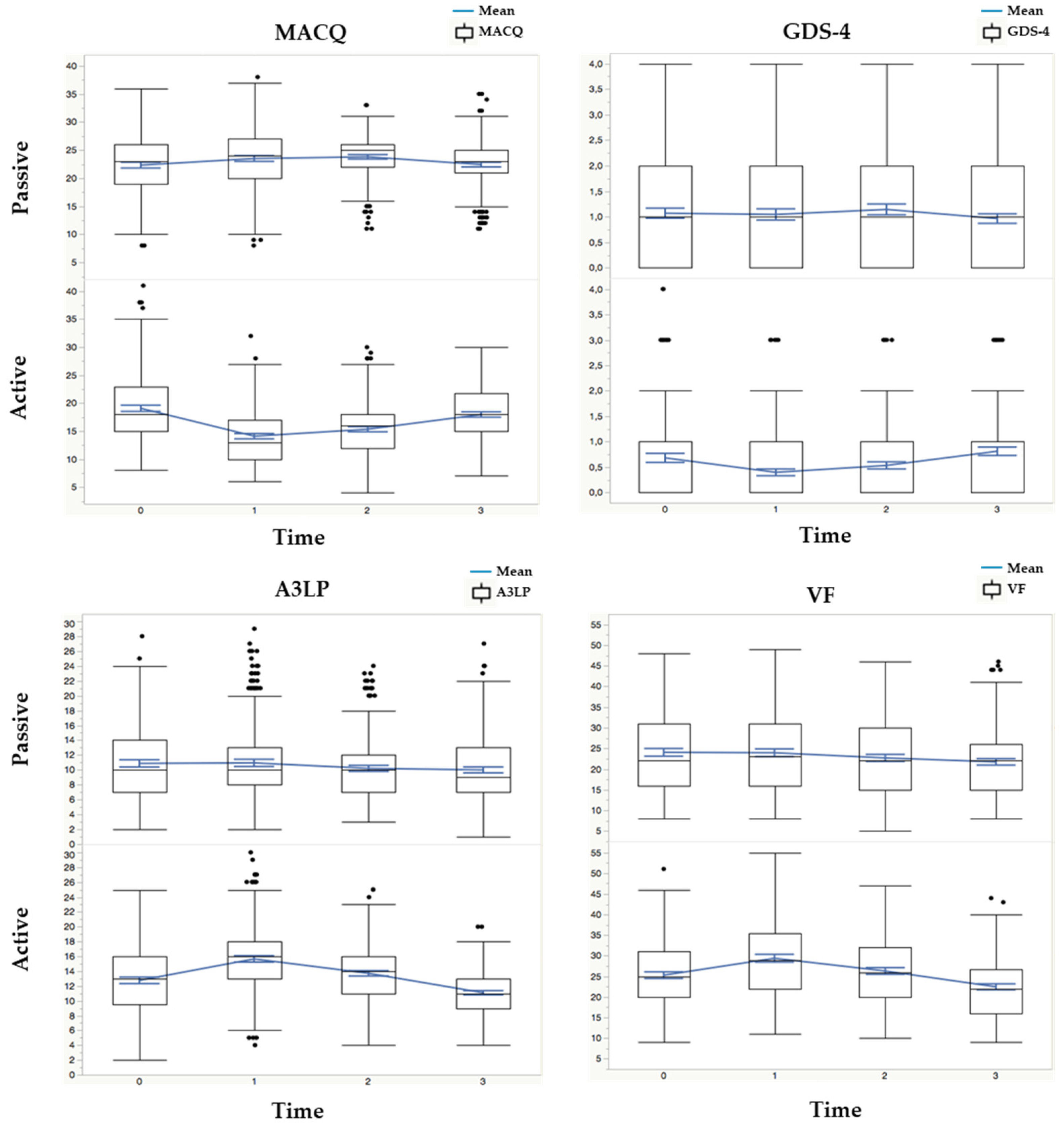
3.5. Post Hoc Analyses
3.5.1. MACQ (Memory Complaint Questionnaire)
3.5.2. GDS-4 (Geriatric Depression Scale)
3.5.3. A3LP (Ability to Recall Words)
3.5.4. VF (Verbal Fluency)
4. Discussion
5. Conclusions
Supplementary Materials
Author Contributions
Funding
Institutional Review Board Statement
Informed Consent Statement
Data Availability Statement
Conflicts of Interest
References
- WHO. Ageing and Health. 2023. Available online: https://www.who.int/news-room/fact-sheets/detail/ageing-and-health (accessed on 27 October 2023).
- Gjengedal, E.; Ekra, E.M.; Hol, H.; Kjelsvik, M.; Lykkeslet, E.; Michaelsen, R.; Orøy, A.; Skrondal, T.; Sundal, H.; Vatne, S.; et al. Vulnerability in health care—Reflections on encounters in every day practice. Nurs. Philos. 2013, 14, 127–138. [Google Scholar] [CrossRef]
- Global Status Report on the Public Health Response to Dementia; WHO: Geneva, Switzerland, 2021.
- Huang, F.; Zhang, M.; Wang, S. Changes in cognitive function among older adults: A latent profile transition analysis. Arch. Gerontol. Geriatr. 2019, 80, 12–19. [Google Scholar] [CrossRef]
- Kelaiditi, E.; Cesari, M.; Canevelli, M.; van Kan, G.A.; Ousset, P.-J.; Gillette-Guyonnet, S.; Ritz, P.; Duveau, F.; Soto, M.E.; Provencher, V.; et al. Cognitive frailty: Rational and definition from an (IANA/IAGG) international consensus group. J. Nutr. Health Aging 2013, 17, 9. [Google Scholar] [CrossRef]
- Panza, F.; Lozupone, M.; Solfrizzi, V.; Sardone, R.; Dibello, V.; Di Lena, L.; D’Urso, F.; Stallone, R.; Petruzzi, M.; Giannelli, G.; et al. Different cognitive frailty models and health- and cognitive-related outcomes in older age: From epidemiology to prevention. J. Alzheimers Dis. 2018, 62, 993–1012. [Google Scholar] [CrossRef]
- Kojima, G.; Taniguchi, Y.; Iliffe, S.; Walters, K. Frailty as a predictor of Alzheimer disease, Vascular Dementia and all dementia among community-dwelling older people: A systematic review and meta-analysis. JAMDA 2016, 17, 881–888. [Google Scholar] [CrossRef] [PubMed]
- Borges, M.K.; Canevelli, M.; Cesari, M.; Aprahamian, A. Frailty as a Predictor of Cognitive Disorders: A Systematic Review and Meta-Analysis. Front. Med. 2019, 6, 26. [Google Scholar] [CrossRef] [PubMed]
- Lisko, I.; Kulmala, J.; Annetorp, M.; Ngandu, T.; Mangialasche, F.; Kivipelto, M. How can dementia and disability be prevented in older adults: Where are we today and where are we going? J. Intern. Med. 2021, 289, 753–935. [Google Scholar] [CrossRef]
- Solfrizzi, V.; Scafato, E.; Seripa, D.; Lozupone, M.; Imbimbo, B.P.; D’Amato, A.; Tortelli, R.; Schilardi, A.; Galluzzo, L.; Gandin, C.; et al. Reversible cognitive frailty, dementia, and all-cause mortality. The Italian Longitudinal Study on Aging. J. Am. Med. Dir. Assoc. 2017, 18, e891–e898. [Google Scholar] [CrossRef] [PubMed]
- Harper, S. Economic and social implications of aging societies. Science 2014, 346, 587–591. [Google Scholar] [CrossRef] [PubMed]
- Risk Reduction of Cognitive Decline and Dementia WHO Guidelines 2019. WHO Dementia. Available online: https://www.who.int/news-room/fact-sheets/detail/dementia (accessed on 27 October 2023).
- Cummings, J.; Aisen, P.S.; Dubois, B.; Frolich, L.; Jack, C.R.; Jones, R.W.; Morris, J.C.; Raskin, J.; Dowsett, S.A.; Scheltens, P. Drug development in Alzheimer’s disease: The path to 2025. Alzheimers Res Ther. 2016, 8, 12. [Google Scholar] [CrossRef] [PubMed]
- Livingstone, G.; Huntley, J.; Sommerlad, A.; Ames, D.; Ballard, C.; Banerjee, S.; Brayne, C.; Burs, A.; Teri, L.; Mukadam, N.; et al. Dementia prevention, intervention and care: 2020 report of the Lancet commission. Lancet 2020, 396, 413–446. [Google Scholar] [CrossRef]
- Collins, R.; Silarova, B.; Clare, L. Dementia primary prevention policies and strategies and their local implementation: A scoping review using England as a case study. J. Alzheimer’s Dis. 2019, 70, s303–s318. [Google Scholar] [CrossRef]
- Orgeta, V.; Mukadam, N.; Sommerlad, A.; Livingstone, G. The Lancet commissions on dementia prevention, intervention, and care: A call for action. Irish J. Psychol. Med. 2018, 36, 85–88. [Google Scholar] [CrossRef]
- Ritchie, C.; EPAD (European Prevention of Alzheimer’s Dementia) Consortium. Alzheimer Disease International Report; Alzheimer’s Disease International: Lincolnshire, IL, USA, 2018. [Google Scholar]
- Plassman, B.; Williams, J.W., Jr.; Burke, J.R.; Holsinger, T.; Benjamin, S. Systematic review: Factors associated with risk for and possible prevention of cognitive decline in later life. Ann. Intern. Med. 2010, 153, 182–193. [Google Scholar] [CrossRef]
- Sohn, E. A quest to stave off the inevitable. Nat. Outlook Cogn. Health. Nat. 2018, S18, 559. [Google Scholar]
- IOM (Institute of Medicine). Cognitive Aging: Progress in Understanding and Opportunities for Action; The National Academies Press: Washington, DC, USA, 2015. [Google Scholar]
- Sommerlad, A.; Kivimäki, M.; Larson, E.B.; Röhr, S.; Shirai, K.; Singh-Manoux, A.; Livingston, G. Social participation and risk of developing dementia. Nat. Aging 2023, 3, 532–545. [Google Scholar] [CrossRef]
- Il Progetto MTraiL (Memory Training Liguria). Available online: https://www.asl3.liguria.it/urp/item/2758-memory-training-liguria.html (accessed on 2 December 2023).
- World Health Organization. Global Action Plan on the Public Health Response to Dementia 2017–2025; WHO: Geneva, Switzerland, 2017. [Google Scholar]
- Alzheimer’s Disease International. World Alzheimer Report ADI 2021; Alzheimer’s Disease International: Lincolnshire, IL, USA, 2022. [Google Scholar]
- Khachaturian, Z.S.; Snyder, P.J.; Doody, R.; Aisen, P.; Comer, M.; Dwyer, J.; Frank, R.A.; Holzapfel, A.; Khachaturian, A.S.; Korczyn, A.D.; et al. Roadmap for the prevention of dementia II: Leon Thal Symposium 2008. Alzheimer Dement. 2009, 5, 85–92. [Google Scholar] [CrossRef] [PubMed]
- Global Action against Dementia. G8 Dementia Summit 2014. Available online: https://www.gov.uk/government/publications/g8-dementia-summit-global-action-against-dementia/g8-dementia-summit-global-action-against-dementia-11-december-2013 (accessed on 27 October 2023).
- Alzheimer’s Disease International. The state of the art of dementia research: New frontiers. In World Alzheimer Report ADI 2018; Alzheimer’s Disease International: London, UK, 2018. [Google Scholar]
- Leuner, B.; Mendolia-Loffredo, S.; Kozorovitskiy, Y.; Samburg, D.; Gould, E.; Shors, T.J. Learning enhances the survival of new neurons beyond the time when the hippocampus is required for memory. J. Neurosci. 2004, 24, 7477–7481. [Google Scholar] [CrossRef] [PubMed]
- Ball, K.; Berch, D.B.; Helmers, K.F.; Jobe, J.B.; Leveck, M.D.; Marsiske, M.; Morris, J.N.; Rebok, G.W.; Smith, D.M.; Tennstedt, S.L.; et al. Effect of cognitive training interventions with older adults: A randomized controlled trial. JAMA 2002, 288, 2271–2281. [Google Scholar] [CrossRef] [PubMed]
- Willis, S.L.; Tennstedt, S.L.; Marsiske, M.; Ball, K.; Elia, J.; Mann Koepke, K.; Morris, J.N.; Rebok, G.W.; Unverzagt, F.W.; Stoddard, A.M.; et al. Long-term effects of cognitive training on everyday functional outcomes in older adults. JAMA 2006, 296, 2805–2814. [Google Scholar] [CrossRef]
- Coen, R.F.; Flynn, B.; Rigney, E.; O’Connor, E.; Fitzgerald, L.; Murray, C.; Dunleavy, C.; McDonald, M.; Delaney, D.; Merriman, N.; et al. Efficacy of a cognitive stimulation therapy program for people with dementia. Ir. J. Psychol. Med. 2011, 28, 145–147. [Google Scholar] [CrossRef] [PubMed]
- Spector, A.; Thorgrimsen, L.; Woods, B.; Royan, L.; Davies, S.; Butterworth, M.; Orrell, M. Efficacy of an evidence-based cognitive stimulation therapy programme for people with dementia: Randomized controlled trial. Br. J. Psychiatry. 2003, 183, 248–254. [Google Scholar] [CrossRef] [PubMed]
- Sanchez, C.P. Efficacy of cognitive stimulation therapy virtual program for older adults with dementia in COVID-19 isolation. Alzheimers Dement. 2021, 17 (Suppl. S8), e056213. [Google Scholar] [CrossRef]
- Wong, Y.L.; Cheng, C.P.W.; Wong, C.S.M.; Wong, S.N.; Wong, H.L.; Tse, S.; Wong, G.H.Y.; Chan, W.C. Cognitive Stimulation for Persons with Dementia: A Systematic Review and Meta-Analysis. East. Asian Arch. Psychiatry 2021, 31, 55–66. [Google Scholar] [CrossRef] [PubMed]
- Saragih, I.D.; Tonapa, S.I.; Saragih, I.S.; Lee, B.O. Effects of cognitive stimulation therapy for people with dementia: A systematic review and meta-analysis of randomized controlled studies. Int. J. Nurs. Stud. 2022, 128, 104181. [Google Scholar] [CrossRef] [PubMed]
- Regional Law 29/07/2016, N.17. Istituzione dell’Azienda Ligure Sanitaria della Regione Liguria (A.Li.Sa). Available online: https://www.gazzettaufficiale.it/atto/regioni/caricaDettaglioAtto/originario?atto.dataPubblicazioneGazzetta=2017-03-11&atto.codiceRedazionale=16R00553#:~:text=15%20del%2030%20luglio%202016,%2D%20A.Li.Sa (accessed on 30 October 2023).
- Caffarra, P.; Gardini, S.; Zonato, F.; Concari, L.; Dieci, F.; Copelli, S.; Freedman, M.; Stracciari, A.; Venneri, A. Italian norms for the Freedman version of the Clock Drawing Test. J. Clin. Exp. Neuropsychol. 2011, 33, 982–988. [Google Scholar] [CrossRef]
- Maeshima, S.; Osawa, A.; Kawamura, K.; Yoshimura, T.; Otaka, E.; Sato, Y.; Ueda, I.; Itoh, N.; Kondo, I.; Arai, H. Neuropsychological tests used for dementia assessment in Japan: Current status. Geriatr. Gerontol. Int. 2023. [Google Scholar] [CrossRef]
- Higaki, Y. Clock-Drawing Test and Cube-Copying Test to Quickly Screen Dementia: In Combination with the Mini-Mental State Examination Scores. Intern. Med. 2023. [Google Scholar] [CrossRef]
- Vale, F.A.C.; Balieiro, A.P., Jr.; Silva-Filho, J.H. Memory complaint scale (MCS). Proposed tool for active systematic search. Dement. Neuropsychol. 2012, 6, 212–218. [Google Scholar] [CrossRef]
- Sheikh, J.I.; Yesavage, J.A.; Brooks, J.O., 3rd; Friedman, L.; Gratzinger, P.; Hill, R.D.; Zadeik, A.; Crook, T. Proposed factor structure of the Geriatric Depression Scale. Int. Psychogeriatr. 1991, 3, 23–28. [Google Scholar] [CrossRef]
- Cruice, M.; Worrall, L.; Hickson, L. Reporting on psychological well-being of older adults with chronic aphasia in the context of unaffected peers. Disabil. Rehabil. 2011, 33, 219–228. [Google Scholar] [CrossRef]
- Goldstein, B. Cognitive Psychology: Connecting Mind, Research, and Everyday Experience—With Coglab Manual, 3rd ed.; Wadsworth: Belmont, CA, USA, 2011. [Google Scholar]
- Shao, Z.; Janse, E.; Visser, K.; Meyer, A.S. What do verbal fluency tasks measure? Predictors of verbal fluency performance in older adults. Front. Psychol. 2014, 5, 772. [Google Scholar] [CrossRef]
- Castro, C.B.; Costa, L.M.; Dias, C.B.; Chen, J.; Hillebrandt, H.; Gardener, S.L.; Brown, B.M.; Loo, R.L.; Garg, M.L.; Rainey-Smith, S.R.; et al. Multi-Domain Interventions for Dementia Prevention—A Systematic Review. J. Nutr. Health Aging 2023, 27, 1271–1280. [Google Scholar] [CrossRef] [PubMed]
- Loprinzi, P.D. Does brain-derived neurotrophic factor mediate the effects of exercise on memory? Physician Sportsmed. 2019, 47, 395–405. [Google Scholar] [CrossRef] [PubMed]
- Quialheiro, A.; Bobinski, F.; Haefliger, J.G.; Del Antonio, R.; Lins, E.F.; Martins, D.F.; d’Orsi, E.; Xavier, A.J.; Peres, M.A. A comprehensive program of cognitive stimulation with digital inclusion, physical activity and social interaction can modify BDNF levels and improve cognition in adults over 50: A randomized controlled pilot study. Aging Ment. Health 2022, 26, 1979–1987. [Google Scholar] [CrossRef]
- Namratha, H.G.; George, V.M.; Bajaj, G.; Mridula, J.; Bhat, J.S. Effect of yoga and working memory training on cognitive communicative abilities among middle aged adults. Complement. Ther. Clin. Pract. 2017, 28, 92–100. [Google Scholar] [CrossRef]
- Mridula, J.; George, V.M.; Bajaj, G.; Namratha, H.G.; Bhat, J.S. Effect of working memory training on cognitive communicative abilities among young- and middle-aged adults. Cogent Psychol. 2017, 4, 1416885. [Google Scholar] [CrossRef]
- Karbach, J.; Verhaeghen, P. Making working memory work: A meta-analysis of executive-control and working memory training in older adults. Psychol. Sci. 2014, 25, 2027–2037. [Google Scholar] [CrossRef]
- Booth, S.J.; Brown, L.J.E.; Taylor, J.R.; Pobric, G. Experimental investigation of training schedule on home-based working memory training in healthy older adults. Front. Psychol. 2023, 14, 1165275. [Google Scholar] [CrossRef] [PubMed]
- Tsang, A.P.L.; Au, A.; Lo, H.H.M. Prospective Memory Training for Healthy Older Adults: A Systematic Review. Clin. Gerontol. 2022, 45, 486–502. [Google Scholar] [CrossRef]
- Chen, S.; Cai, Z.; Hou, J.; Lang, M.; Zheng, Z.; Zhu, X.; Li, J. Long-term effects of mnemonic training in healthy older adults: A meta-analysis. Psychol. Aging 2022, 37, 954–971. [Google Scholar] [CrossRef] [PubMed]
- Brigola, A.G.; Manzini, C.S.S.; Oliveira, G.B.S.; Ottaviani, A.C.; Sako, M.P.; Vale, F.A.C. Subjective memory complaints associated with depression and cognitive impairment in the elderly: A systematic review. Dement. Neuropsychol. 2015, 9, 51–57. [Google Scholar] [CrossRef] [PubMed]
- Westoby, C.J.; Mallen, C.D.; Thomas, E. Cognitive complaints in a general population of older adults: Prevalence, association with pain and the influence of concurrent affective disorders. Eur. J. Pain. 2009, 13, 970–976. [Google Scholar] [CrossRef] [PubMed]
- Park, M.H.; Min, J.Y.; Min, H.Y.; Lee, H.J.; Lee, D.H.; Song, M.S. Subjective memory complaints and clinical characteristics in elderly Koreans: A questionnaire survey. Int. J. Nurs. Stud. 2007, 44, 1400–1405. [Google Scholar] [CrossRef]
- Jonker, C.; Geerlings, M.I.; Schmand, B. Are memory complaints predictive for dementia? A review of clinical and population-based studies. Int. J. Geriatr. Psychiatry 2000, 15, 983–991. [Google Scholar] [CrossRef]
- Sanjuán, M.; Navarro, E.; Calero, M.D. Effectiveness of Cognitive Interventions in Older Adults: A Review. Eur. J. Investig. Health Psychol. Educ. 2020, 10, 876–898. [Google Scholar] [CrossRef]

| Variables | Overall (n. 794) | Active Intervention Group (n. 397) | Passive Intervention Group (n. 397) | p-Value |
|---|---|---|---|---|
| Gender | ||||
| Males (n.; %) | 216 (27.2) | 108 (50.0) | 108 (50.0) | |
| Females (n.; %) | 578 (72.8) | 289 (50.0) | 289 (50.0) | 1.0000 ‡ |
| Age (years), median (IQR) | 72 (68–76) | 72 (68–77) | 72 (68–76) | 0.6502 ‡‡ |
| Education (years), median (IQR) | 8 (5–13) | 8 (5–13) | 8 (5–13) | 0.8413 ‡‡ |
| MMSE, median (IQR) | 29 (27–30) | 29 (28–30) | 29 (27–30) | 0.8292 ‡‡ |
| CDT, median (IQR) | 9 (8–10) | 9 (8–10) | 9 (8–10) | 0.6594 ‡‡ |
| MACQ | B | SE | t | p T0 | B | SE | t | p T1 | B | SE | t | p T2 | B | SE | t | p T3 |
| Intercept | 22.1672 | 3.5433 | 6.2560 | <0.0001 | 22.0753 | 3.3053 | 6.6788 | <0.0001 | 20.3483 | 2.8912 | 7.0380 | <0.0001 | 21.6145 | 2.9791 | 7.2553 | <0.0001 |
| Groups (active) | −1.6206 | 0.1902 | −8.5183 | <0.0001 | −4.6965 | 0.1775 | −26.4641 | <0.0001 | −4.2233 | 0.1552 | −27.21 | <0.0001 | −2.2203 | 0.1600 | −13.8760 | <0.0001 |
| Gender (females) | −1.0271 | 0.2138 | −4.8031 | <0.0001 | −0.3561 | 0.1995 | −1.7853 | 0.0746 | −0.4528 | 0.1745 | −2.595 | 0.0096 | −0.5436 | 0.1798 | −3.0233 | 0.0026 |
| Age | −0.0128 | 0.0444 | −0.2889 | 0.7728 | −0.0439 | 0.0414 | −1.0610 | 0.2890 | −0.0102 | 0.0362 | −0.281 | 0.7784 | −0.0153 | 0.0373 | −0.4088 | 0.6828 |
| Education | −0.0083 | 0.0610 | −0.1360 | 0.8918 | 0.0055 | 0.0569 | 0.0968 | 0.9229 | 0.01716 | 0.0497 | 0.3448 | 0.7303 | −0.0079 | 0.0513 | −0.1542 | 0.8775 |
| R2: 0.1082 | R2: 0.4725 | R2: 0.4868 | R2: 0.2039 | |||||||||||||
| GDS−4 | B | SE | t | p T0 | B | SE | t | p T1 | B | SE | t | p T2 | B | SE | t | p T3 |
| Intercept | 0.9735 | 0.6220 | 1.5652 | 0.1179 | 0.3475 | 0.6004 | 0.5787 | 0.5630 | 0.7067 | 0.5974 | 1.1830 | 0.2372 | 0.9125 | 0.5894 | 1.5481 | 0.1220 |
| Groups (active) | −0.1971 | 0.0334 | −5.902 | <0.0001 | −0.3261 | 0.0322 | −10.1155 | <0.0001 | −0.3068 | 0.0321 | −9.5670 | <0.0001 | −0.0784 | 0.0317 | −2.4753 | 0.0135 |
| Gender (females) | 0.0418 | 0.0375 | 1.1132 | 0.2660 | 0.0515 | 0.0362 | 1.4217 | 0.1555 | 0.0270 | 0.0361 | 0.7501 | 0.4534 | −0.0061 | 0.0356 | −0.1703 | 0.8648 |
| Age | 0.0031 | 0.0078 | 0.4015 | 0.6881 | 0.0078 | 0.0075 | 1.0415 | 0.2980 | 0.0045 | 0.0075 | 0.5956 | 0.5516 | 0.0033 | 0.0074 | 0.4402 | 0.6599 |
| Education | −0.0368 | 0.0107 | −3.4380 | 0.0006 | 0.0103 | 0.0103 | −2.2366 | 0.0256 | −0.0217 | 0.0103 | −2.1141 | 0.0348 | −0.0275 | 0.0101 | −2.717 | 0.0069 |
| R2: 0.6380 | R2: 0.1271 | R2: 0.1119 | R2: 0.0222 | |||||||||||||
| A3LP | B | SE | t | p T0 | B | SE | t | p T1 | B | SE | t | p T2 | B | SE | t | p T3 |
| Intercept | 16.6913 | 3.0103 | 5.5447 | <0.0001 | 15.3060 | 2.9696 | 5.1542 | <0.0001 | 13.747 | 2.5136 | 5.4402 | <0.0001 | 9.8348 | 2.2846 | 4.3048 | <0.0001 |
| Groups (active) | 0.9668 | 0.1616 | 5.9818 | <0.0001 | 2.3799 | 0.1594 | 14.9264 | <0.0001 | 1.7696 | 0.1350 | 13.1118 | <0.0001 | 0.5562 | 0.1227 | 4.5327 | <0.0001 |
| Gender (females) | 0.0073 | 0.1817 | 0.0404 | 0.9678 | −0.1829 | 0.1792 | −1.0203 | 0.3079 | −0.0815 | 0.1517 | −0.5372 | 0.5913 | −0.0463 | 0.1379 | −0.3359 | 0.7370 |
| Age | −0.0997 | 0.0377 | −2.6442 | 0.0084 | −0.0596 | 0.0372 | −1.6012 | 0.1097 | −0.0464 | 0.0315 | −1.4724 | 0.1413 | −0.0110 | 0.0286 | −0.3839 | 0.7012 |
| Education | 0.2490 | 0.0518 | 4.8071 | <0.0001 | 0.2553 | 0.0511 | 4.9955 | <0.0001 | 0.1789 | 0.0433 | 4.1370 | <0.0001 | 0.1633 | 0.0393 | 4.1508 | <0.0001 |
| R2: 0.1063 | R2: 0.2544 | R2: 0.2058 | R2: 0.0552 | |||||||||||||
| VF | B | SE | t | p T0 | B | SE | t | p T1 | B | SE | t | p T2 | B | SE | t | p T3 |
| Intercept | 48.9079 | 5.4429 | 8.9856 | <0.0001 | 48.2233 | 5.9950 | 8.0440 | <0.0001 | 42.5784 | 5.3635 | 7.9386 | <0.0001 | 33.1435 | 4.8788 | 6.7934 | <0.0001 |
| Groups (active) | 0.6844 | 0.2922 | 2.3419 | 0.0194 | 2.7882 | 0.3219 | 8.6622 | <0.0001 | 1.8609 | 0.2880 | 6.4621 | <0.0001 | 0.4085 | 0.2620 | 1.5591 | 0.1194 |
| Gender (females) | −0.2922 | 0.3285 | 0.8895 | 0.3740 | −0.2998 | 0.3618 | −0.8287 | 0.4075 | −0.1109 | 0.3237 | −0.3426 | 0.7320 | 0.0193 | 0.2944 | 0.0655 | 0.9478 |
| Age | −0.3910 | 0.0682 | 5.7359 | <0.0001 | −0.3532 | 0.0751 | −4.7034 | <0.0001 | −0.2981 | 0.0672 | −4.4378 | <0.0001 | −0.1974 | 0.0611 | −3.3090 | 0.0013 |
| Education | 0.4434 | 0.0937 | 4.7348 | <0.0001 | 0.4387 | 0.1032 | 4.2531 | <0.0001 | 0.3760 | 0.0923 | 4.0746 | <0.0001 | 0.3445 | 0.0840 | 4.1006 | <0.0001 |
| R2: 0.1332 | R2: 0.1662 | R2: 0.1282 | R2: 0.0695 | |||||||||||||
| Delta MACQ | B | SE | t | p T1 vs. T0 | B | SE | t | p T2 vs. T0 | B | SE | t | p T3 vs. T0 | B | SE | t | p T3 vs. T2 |
| Intercept | −0.0919 | 2.8809 | −0.0319 | 0.9746 | −1.8188 | 3.1776 | −0.5724 | 0.5672 | −0.2654 | 3.5459 | −0.0748 | 0.9404 | 1.55341 | 1.8161 | 0.8554 | 0.3926 |
| Groups (active) | −3.0759 | 0.1547 | −19.8856 | <0.0001 | −2.6027 | 0.1706 | −15.2551 | <0.0001 | −0.6224 | 0.1904 | −3.2692 | 0.0011 | 1.98031 | 0.0975 | 20.3088 | <0.0001 |
| Gender (females) | 0.6709 | 0.1739 | 3.8593 | 0.0001 | 0.5743 | 0.1918 | 2.9946 | 0.0028 | 0.4673 | 0.214 | 2.1835 | 0.0293 | −0.107 | 0.1096 | −0.9765 | 0.3291 |
| Age | −0.0311 | 0.0361 | −0.8620 | 0.3889 | 0.00263 | 0.0398 | 0.0660 | 0.9474 | −0.0055 | 0.0444 | −0.1241 | 0.9013 | −0.0081 | 0.0227 | −0.3578 | 0.7206 |
| Education | 0.0138 | 0.0496 | 0.2783 | 0.7808 | 0.02545 | 0.0547 | 0.4654 | 0.6417 | −0.0082 | 0.0610 | −0.1344 | 0.8931 | −0.0337 | 0.0313 | −1.0768 | 0.2819 |
| R2: 0.3435 | R2: 0.2349 | R2: 0.0193 | R2: 0.3450 | |||||||||||||
| Delta GDS-4 | B | SE | t | p T1 vs. T0 | B | SE | t | p T2 vs. T0 | B | SE | t | p T3 vs. T0 | B | SE | t | p T3 vs. T2 |
| Intercept | −0.626 | 0.4347 | −1.4402 | 0.1502 | −0.2668 | 0.6568 | −0.4063 | 0.6847 | −0.0495 | 0.6852 | −0.0722 | 0.9424 | 0.21734 | 0.4229 | 0.5139 | 0.6074 |
| Groups (active) | −0.129 | 0.0233 | −5.5268 | <0.0001 | −0.1097 | 0.0353 | −3.1116 | 0.0019 | 0.1178 | 0.0368 | 3.2028 | 0.0014 | 0.2275 | 0.0227 | 10.0226 | <0.0001 |
| Gender (females) | 0.0097 | 0.0262 | 0.3710 | 0.7107 | −0.0147 | 0.0396 | −0.3719 | 0.7100 | −0.0485 | 0.0414 | −1.1726 | 0.2413 | −0.0338 | 0.0255 | −1.3224 | 0.1864 |
| Age | 0.0047 | 0.0054 | 0.8640 | 0.3879 | 0.00133 | 0.0082 | 0.1614 | 0.8718 | −1.3 × 10−6 | 0.0086 | −0.0002 | 0.9999 | −0.0013 | 0.0053 | −0.2510 | 0.8019 |
| Education | 0.0137 | 0.0075 | 1.8298 | 0.0677 | 0.01506 | 0.0113 | 1.3328 | 0.1830 | 0.00894 | 0.0118 | 0.7582 | 0.4485 | −0.0061 | 0.0073 | −0.8414 | 0.4004 |
| R2: 0.0417 | R2: 0.0152 | R2: 0.0154 | R2: 0.1157 | |||||||||||||
| Delta A3LP | B | SE | t | p T1 vs. T0 | B | SE | t | p T2 vs. T0 | B | SE | t | p T3 vs. T0 | B | SE | t | p T3 vs. T2 |
| Intercept | −1.3853 | 2.0166 | −0.6870 | 0.4923 | −3.0166 | 2.1884 | −1.3784 | 0.1685 | −6.6665 | 2.5099 | −2.6561 | 0.0081 | −3.6499 | 1.4313 | −2.5500 | 0.0110 |
| Groups (active) | 1.41308 | 0.1083 | 13.0508 | <0.0001 | 0.80275 | 0.1175 | 6.8318 | <0.0001 | −0.4256 | 0.1348 | −3.1585 | 0.0016 | −1.2284 | 0.0769 | −15.9841 | <0.0001 |
| Gender (females) | −0.1902 | 0.1217 | −1.5627 | 0.1185 | −0.0888 | 0.1321 | −0.6726 | 0.5014 | −0.0644 | 0.1515 | −0.4255 | 0.6706 | 0.02439 | 0.0864 | 0.2824 | 0.7777 |
| Age | 0.04014 | 0.0253 | 1.5892 | 0.1124 | 0.05334 | 0.0274 | 1.9460 | 0.0520 | 0.08668 | 0.0314 | 2.7572 | 0.0060 | 0.03334 | 0.0179 | 1.8595 | 0.0633 |
| Education | 0.00626 | 0.0347 | 0.1804 | 0.8569 | −0.0701 | 0.0377 | −1.8607 | 0.0632 | −0.0914 | 0.0432 | −2.1166 | 0.0346 | −0.0213 | 0.0246 | −0.8667 | 0.3864 |
| R2: 0.1829 | R2: 0.0744 | R2: 0.042077 | R2: 0.2494 | |||||||||||||
| Delta VF | B | SE | t | p T1 vs. T0 | B | SE | t | p T2 vs. T0 | B | SE | t | p T3 vs. T0 | B | SE | t | p T3 vs. T2 |
| Intercept | −0.6846 | 3.533 | −0.1938 | 0.8464 | −6.3295 | 3.7153 | −1.7036 | 0.0888 | −15.376 | 4.2359 | −3.6301 | 0.0003 | −9.0469 | 2.5227 | −3.5862 | 0.0004 |
| Groups (active) | 2.10382 | 0.1897 | 11.0905 | <0.0001 | 1.17655 | 0.1995 | 5.8980 | <0.0001 | −0.3065 | 0.2274 | −1.3475 | 0.1782 | −1.483 | 0.1355 | −10.9488 | <0.0001 |
| Gender (females) | −0.0076 | 0.2132 | −0.0358 | 0.9714 | 0.18129 | 0.2242 | 0.8085 | 0.4190 | 0.28946 | 0.2556 | 1.1323 | 0.2579 | 0.10817 | 0.1522 | 0.7105 | 0.4776 |
| Age | 0.03787 | 0.0443 | 0.8557 | 0.3924 | 0.09291 | 0.0465 | 1.9966 | 0.0462 | 0.18947 | 0.0531 | 3.5710 | 0.0004 | 0.09655 | 0.0316 | 3.0556 | 0.0023 |
| Education | −0.0047 | 0.0608 | −0.0775 | 0.9382 | −0.0674 | 0.0639 | −1.0543 | 0.2921 | −0.1106 | 0.0729 | −1.5172 | 0.1296 | −0.0432 | 0.0434 | −0.9948 | 0.3201 |
| R2: 0.1363 | R2: 0.0554 | R2: 0.0384 | R2: 0.1483 | |||||||||||||
| Value | F Value | NumDF | DenDF | Prob > F | |
|---|---|---|---|---|---|
| MACQ | |||||
| Active/Passive Group * Time | 0.76411721 | 197.4111 | 3 | 775 | <0.0001 |
| Gender * Time | 0.0190013 | 4.9087 | 3 | 775 | 0.0022 |
| Active/Passive Group * Gender * Time | 0.02365 | 6.1096 | 3 | 775 | 0.0004 |
| GDS-4 | |||||
| Active/Passive Group * Time | 0.0931533 | 1.1502 | 3 | 775 | <0.0001 |
| A3LP | |||||
| Active/Passive Group * Time | 0.3589968 | 92.7409 | 3 | 775 | <0.0001 |
| Active/Passive Group * Gender * Time | 0.0166771 | 4.3082 | 3 | 775 | 0.0050 |
| Age * Gender * Time | 0.0194795 | 5.0322 | 3 | 775 | 0.0019 |
| Gender * Education * Time | 0.0219046 | 5.6587 | 3 | 775 | 0.0008 |
| Active/Passive Group * Gender * Education * Time | 0.0111288 | 2.8749 | 3 | 775 | 0.0354 |
| Active/Passive Group * Gender * Age * Education * Time | 0.0151146 | 3.9046 | 3 | 775 | 0.0087 |
| VF | |||||
| Active/Passive Group * Time | 0.1809429 | 46.7436 | 3 | 775 | <0.0001 |
| Age * Time | 0.0226151 | 5.8422 | 3 | 775 | 0.0006 |
| Active/Passive Group * Gender * Age * Time | 0.0110234 | 2.8477 | 3 | 775 | 0.0367 |
| Time Effect | Group Effect | |||
|---|---|---|---|---|
| F | p-Value | F | p-Value | |
| MACQ | 57.581 | <0.0001 | 488,275 | <0.0001 |
| GDS-4 | 11.433 | <0.0001 | 72.246 | <0.0001 |
| A3LP | 222.038 | <0.0001 | 108.156 | <0.0001 |
| VF | 208.663 | <0.0001 | 23.425 | <0.0001 |
| Active Group (n. 397) | Passive Group (n. 397) | p-Value | Males (n. 216) | Females (n. 578) | p-Value | Age (≤72) | Age (>72) | p-Value | Ed. Years (≤8) | Ed. Years (>8) | p-Value | |
|---|---|---|---|---|---|---|---|---|---|---|---|---|
| MACQ | ||||||||||||
| T0 | 18 (15–23) | 23 (19–26) | <0.0001 | 22 (18–26) | 20 (15–24) | 0.0163 | 21 (16–25) | 20 (16–24) | 0.1590 | 21 (16–24) | 21 (16–24) | 0.1619 |
| T1 | 13 (10–17) | 24 (20–27) | <0.0001 | 19 (14–24) | 18 (12–25) | 0.5925 | 19 (13–25) | 18 (12–24) | 0.2356 | 18 (13–24) | 19 (13–25) | 0.4545 |
| T2 | 16 (12–18) | 25 (22–26) | <0.0001 | 20 (16–25) | 19 (15–25) | 0.1959 | 20 (15–25) | 20 (15–25) | 0.9375 | 20 (15–25) | 19 (15–25) | 0.8202 |
| T3 | 18 (15–22) | 23 (21–25) | <0.0001 | 22 (18–24) | 21 (16–24) | 0.0211 | 21 (16–24) | 21 (16–24) | 0.9364 | 21 (16–24) | 21 (16–24) | 0.5904 |
| GDS-4 | ||||||||||||
| T0 | 0 (0–1) | 1 (0–2) | <0.0001 | 1 (0–1) | 1 (0–1) | 0.1082 | 1 (0–1) | 1 (0–2) | 0.0558 | 1 (0–2) | 0 (0–1) | 0.0016 |
| T1 | 0 (0–1) | 1 (0–2) | <0.0001 | 1 (0–1) | 0 (0–1) | 0.2938 | 0 (0–1) | 0 (0–1) | 0.0776 | 0 (0–1) | 0 (0–1) | 0.0944 |
| T2 | 0 (0–1) | 1 (0–2) | <0.0001 | 1 (0–1) | 1 (0–1) | 0.9749 | 1 (0–1) | 1 (0–1) | 0.2179 | 1 (0–1) | 1 (0–1) | 0.1641 |
| T3 | 1 (0–1) | 1 (0–2) | 0.0992 | 1 (0–1) | 1 (0–1) | 0.2685 | 1 (0–1) | 1 (0–1) | 0.3770 | 1 (0–1) | 1 (0–1) | 0.0386 |
| A3LP | ||||||||||||
| T0 | 13 (10–16) | 10 (7–14) | <0.0001 | 12 (9–15) | 12 (8–15) | 0.8704 | 12 (9–16) | 11 (7–14) | 0.0005 | 11 (8–15) | 12 (9–16) | 0.0205 |
| T1 | 16 (13–18) | 10 (8–13) | <0.0001 | 13 (9–17) | 13 (9–17) | 0.7950 | 14 (10–17) | 12 (8–17) | 0.0227 | 12 (9–16) | 15 (10–18) | 0.0045 |
| T2 | 14 (11–16) | 10 (7–12) | <0.0001 | 12 (8–15) | 12 (8–15) | 0.8732 | 12 (9–15) | 12 (8–15) | 0.1372 | 12 (8–15) | 13 (9–15) | 0.0073 |
| T3 | 11 (9–13) | 9 (7–13) | <0.0001 | 10 (8–13) | 10 (8–13) | 0.8544 | 11 (8–13) | 10 (8–13) | 0.0670 | 10 (8–13) | 12 (8–13) | 0.0009 |
| VF | ||||||||||||
| T0 | 25 (20–31) | 22 (16–31) | 0.0013 | 24 (18–32) | 24 (18–31) | 0.9784 | 26 (21–34) | 21 (15–26) | <0.0001 | 23 (17–29) | 26 (21–34) | <0.0001 |
| T1 | 29 (22–36) | 23 (16–31) | <0.0001 | 27 (19–34) | 26 (19–33) | 0.1777 | 29 (22–35) | 22 (16–31) | <0.0001 | 24 (18–32) | 29 (22–35) | 0.0002 |
| T2 | 26 (20–32) | 22 (15–30) | <0.0001 | 24 (17–31) | 23 (17–30) | 0.5958 | 26 (21–32) | 21 (15–28) | <0.0001 | 23 (16–30) | 26 (20–33) | 0.0004 |
| T3 | 22 (16–27) | 22 (15–26) | 0.6220 | 22 (15–27) | 22 (16–26) | 0.3484 | 23 (18–28) | 21 (14–25) | <0.0001 | 21 (15–25) | 23 (18–29) | <0.0001 |
Disclaimer/Publisher’s Note: The statements, opinions and data contained in all publications are solely those of the individual author(s) and contributor(s) and not of MDPI and/or the editor(s). MDPI and/or the editor(s) disclaim responsibility for any injury to people or property resulting from any ideas, methods, instructions or products referred to in the content. |
© 2024 by the authors. Licensee MDPI, Basel, Switzerland. This article is an open access article distributed under the terms and conditions of the Creative Commons Attribution (CC BY) license (https://creativecommons.org/licenses/by/4.0/).
Share and Cite
Veneziano, M.; Piazza, M.F.; Palummeri, E.; Paganino, C.; Andreoli, G.B.; Amicizia, D.; Ansaldi, F. A Longitudinal Study on Cognitive Training for Cognitively Preserved Adults in Liguria, Italy. Healthcare 2024, 12, 393. https://doi.org/10.3390/healthcare12030393
Veneziano M, Piazza MF, Palummeri E, Paganino C, Andreoli GB, Amicizia D, Ansaldi F. A Longitudinal Study on Cognitive Training for Cognitively Preserved Adults in Liguria, Italy. Healthcare. 2024; 12(3):393. https://doi.org/10.3390/healthcare12030393
Chicago/Turabian StyleVeneziano, Massimo, Maria Francesca Piazza, Ernesto Palummeri, Chiara Paganino, Giovanni Battista Andreoli, Daniela Amicizia, and Filippo Ansaldi. 2024. "A Longitudinal Study on Cognitive Training for Cognitively Preserved Adults in Liguria, Italy" Healthcare 12, no. 3: 393. https://doi.org/10.3390/healthcare12030393
APA StyleVeneziano, M., Piazza, M. F., Palummeri, E., Paganino, C., Andreoli, G. B., Amicizia, D., & Ansaldi, F. (2024). A Longitudinal Study on Cognitive Training for Cognitively Preserved Adults in Liguria, Italy. Healthcare, 12(3), 393. https://doi.org/10.3390/healthcare12030393

