Perceived Stress, Resilience and Emotional Intelligence in Romanian Healthcare Professionals
Abstract
1. Introduction
2. Materials and Methods
2.1. Participants and Data Collection
2.2. Data Analysis
3. Results
4. Discussion
5. Conclusions
Author Contributions
Funding
Institutional Review Board Statement
Informed Consent Statement
Data Availability Statement
Acknowledgments
Conflicts of Interest
References
- Moore, K.A.; Cooper, C.L. Stress in mental health professionals: A theoretical overview. Int. J. Soc. Psychiatry 1996, 42, 82–89. [Google Scholar] [CrossRef]
- Dugani, S.; Afari, H.; Hirschhorn, L.R.; Ratcliffe, H.; Veillard, J.; Martin, G.; Lagomarsino, G.; Basu, L.; Bitton, A. Prevalence and factors associated with burnout among frontline primary health care providers in low- and middle-income countries: A systematic review. Gates Open Res. 2018, 2, 4. [Google Scholar] [CrossRef] [PubMed]
- Jacobs, A.C.; Lourens, M. Emotional challenges faced by nurses when taking care of children in a private hospital in South Africa. Afr. J. Nurs. Midwifery 2016, 18, 96–210. [Google Scholar] [CrossRef] [PubMed]
- Burbeck, C.; Robinson, T. Occupational stress in consultants in accident and emergency medicine: A national survey of levels of stress at work. Emerg. Med. J. 2002, 19, 234–238. [Google Scholar] [CrossRef] [PubMed]
- Duica, L.; Antonescu, E.; Totan, M.; Pirlog, M.; Silisteanu, S.C. Contribution of mechanical and electrical cardiovascular factors in patients with ischemic stroke. Pak. J. Pharm. Sci. 2020, 33, 2455–2460. [Google Scholar]
- Petre, I.; Barna, F.; Gurgus, D.; Tomescu, L.C.; Apostol, A.; Petre, I.; Furau, C.; Năchescu, M.L.; Bordianu, A. Analysis of the Healthcare System in Romania: A Brief Review. Healthcare 2023, 11, 2069. [Google Scholar] [CrossRef]
- OECD/European Observatory on Health Systems and Policies. Romania: Country Health Profile 2021; State of Health in the EU, OECD Publishing: Paris, France, 2021. [Google Scholar]
- Duica, L.; Szalontay, A.S.; Antonescu, E.; Nistor, I.; Pop, A.; Totan, M.; Silisteanu, S.C. The Strength of Motivation of Medical Students in Romania in the Context of Migration Opportunities. Rev. Cercet. Interv. Soc. 2021, 73, 95–113. [Google Scholar] [CrossRef]
- Mróz, J. Predictive roles of coping and resilience for the perceived stress in nurses. Prog. Health Sci. 2015, 5, 77–83. [Google Scholar]
- Heath, C.; Sommerfield, A.; Von Ungern-Sternberg, B.S. Resilience strategies to manage psychological distress amongst healthcare workers during the COVID-19 pandemic: A narrative review. Anaesthesia 2020, 75, 1364–1371. [Google Scholar] [CrossRef]
- Bai, J.M. The Effect About Positive and Negative Emotion, Emotional Intelligence to Emotional Labor Strategies for Medical Students; Suzhou University: Suzhou, China, 2014. [Google Scholar]
- Garcia-Leon, M.A.; Perez-Marmol, J.M.; Gonzalez-Perez, R.; Garcia-Rios, M.D.C.; Peralta-Ramirez, M.I. Relationship between resilience and stress: Perceived stress, stressful life events, HPA axis response during a stressful task and hair cortisol. Physiol. Behav. 2019, 202, 87–93. [Google Scholar] [CrossRef]
- Zhu, L.; Liu, D.; Ye, B.; Liu, S.; Xie, P.; Zhang, R. The mediating effect of resilience between perceived stress and insomnia in medical staff. Chin. J. Behav. Med. Sci. 2021, 12, 734–739. [Google Scholar]
- Huang, L.; Wang, Y.; Liu, J.; Ye, P.; Cheng, B.; Xu, H.; Qu, H.; Ning, G. Factors associated with resilience among medical staff in radiology departments during the outbreak of 2019 novel coronavirus disease (COVID-19): A cross-sectional study. Med. Sci. Monit. 2020, 26, e925669. [Google Scholar] [CrossRef] [PubMed]
- Connor, K.M.; Davidson, J.R. Development of a new resilience scale: The Connor-Davidson Resilience Scale (CD-RISC). Depress. Anxiety 2003, 18, 76–82. [Google Scholar] [CrossRef] [PubMed]
- Southwick, S.M.; Bonanno, G.A.; Masten, A.S.; Panter-Brick, C.; Yehuda, R. Resilience definitions, theory and challenges: Interdisciplinary perspectives. Eur. J. Psychotraumatol. 2014, 5, 25338. [Google Scholar] [CrossRef]
- Baskin, R.G.; Barlett, R. Healthcare worker resilience during the COVID-19 pandemic: An integrative review. J. Nurs. Manag. 2021, 29, 2329–2342. [Google Scholar] [CrossRef]
- Lara-Cabrera, M.L.; Betancort, M.; Munoz-Rubila, A.; Rodriguez-Novo, N.; Bjerkeset, O.; De las Cuevas, C. The Mediating Role of Resilience in the Relationship between Perceived Stress and Mental Health. Int. J. Environ. Res. Public Health 2021, 18, 9762. [Google Scholar] [CrossRef]
- Antonescu, O.R.; Silișteanu, A.E.; Racheriu, M.; Mihalache, C. Assessment of the importance of physical activity and quality of life for patients diagnosed with osteoporosis during the COVID-19 pandemic. Balneo PRM Res. J. 2021, 12, 386–391. [Google Scholar] [CrossRef]
- Silisteanu, S.C.; Antonescu, E.; Duica, L. The importance of balance and postural control in the recovery of stroke patients. Balneo PRM Res. J. 2020, 11, 372–378. [Google Scholar] [CrossRef]
- Mousa, A.A.N.; Menssey, R.F.M.; Kamel, N.M.F. Relationship between Perceived stress, Emotional Intelligence and hope among intern nursing students. IOSR J. Nurs. Health Sci. 2017, 6, 75–83. [Google Scholar] [CrossRef]
- Tung, C.P.; Rong, J.R. Exploring the Mediating Effect of Emotional Intelligence on Perceived Stress and Interpersonal Relationships. Int. J. Stud. Nurs. 2022, 7, 1–10. [Google Scholar] [CrossRef]
- Goleman, D. Emotional Intelligence; Bantam Books, Inc.: New York, NY, USA, 1995. [Google Scholar]
- Fu, Q.Q.; Ye, B.J.; Wen, Z.L. The impact mechanism of stressful life events on adolescents’ subjective well-being. Psychol. Dev. Educ. 2012, 28, 516–523. [Google Scholar]
- Saddki, N.; Sukerman, N.; Mohamad, D. Association between emotional intelligence and perceived stress in undergraduate dental students. Malays. J. Med. Sci. 2017, 24, 59–68. [Google Scholar] [CrossRef] [PubMed]
- Magnano, P.; Craparo, G.; Paolillo, A. Resilience and emotional intelligence: Which role in achievement motivation. Int. J. Psychol. Res. 2016, 9, 9–20. [Google Scholar] [CrossRef]
- Cohen, S. Perceived stress in a probability sample of the United States. In The Social Psychology of Health; Spacapan, S., Oskamp, S., Eds.; Sage Publications, Inc.: Thousand Oaks, CA, USA, 1988; pp. 31–67. [Google Scholar]
- Chang, E.C. Does Dispositional Optimism Moderate the Relation between Perceived Stress and Psychological Well-Being? A Preliminary Investigation. Pers. Individ. Differ. 1998, 25, 233–240. [Google Scholar] [CrossRef]
- Luthar, S.S.; Cicchetti, D.; Becker, B. The construct of resilience: A critical evaluation and guidelines for future work. Child. Dev. 2000, 71, 543–562. [Google Scholar] [CrossRef]
- Southwick, S.M.; Vythilingam, M.; Charney, D.S. The psychobiology of depression and resilience to stress: Implications for prevention and treatment. Annu. Rev. Clin. Psychol. 2005, 1, 255–291. [Google Scholar] [CrossRef]
- Cathomas, F.; Murrough, J.W.; Nestler, E.; Han, M.H.; Russo, S.J. Neurobiology of resilience: Interface between mind and body. Biol. Psychiatry 2019, 86, 410–420. [Google Scholar] [CrossRef]
- Levine, S. Psychological and social aspects of resilience: A synthesis of risks and resources. Dialogues Clin. Neurosci. 2003, 5, 273–280. [Google Scholar] [CrossRef]
- Windle, G.; Bennett, K.M.; Noyes, J. A methodological review of resilience measurement scales. Health Qual. Life Outcomes 2011, 9, 8. [Google Scholar] [CrossRef]
- Petrides, K.V. Technical Manual for the Trait Emotional Intelligence Questionnaires (TEIQue), 1st ed.; London Psychometric Laboratory: London, UK, 2009. [Google Scholar]
- Petrides, K.V.; Furnham, A. Trait emotional intelligence: Behavioral validations in two studies of emotion, recognition and reactivity to mood induction. Eur. J. Pers. 2003, 17, 39–57. [Google Scholar] [CrossRef]
- Petrides, K.V. Ability and trait emotional intelligence. In The Blackwell-Wiley Handbook of Individual Differences; Chamorro-Premuzic, T., Furnham, A., von Strumm, S., Eds.; Wiley: New York, NY, USA, 2011; pp. 656–678. [Google Scholar]
- Pérez-González, J.C.; Saklofske, D.H.; Mavroveli, S. Editorial: Trait Emotional Intelligence: Foundations, Assessment, and Education. Front. Psychol. 2020, 11, 608. [Google Scholar] [CrossRef] [PubMed]
- Petrides, K.V.; Mikolajczak, M.; Mavroveli, S.; Sanchez-Ruiz, M.J.; Furnham, A.; Pérez-González, J.C. Developments in trait emotional intelligence research. Emot. Rev. 2016, 8, 335–341. [Google Scholar] [CrossRef]
- MacKinnon, D.P.; Dwyer, J.H. Estimating mediated effects in prevention studies. Eval. Rev. 1993, 17, 144–158. [Google Scholar] [CrossRef]
- Rosseel, Y. lavaan: An R package for structural equation modeling. J. Stat. Softw. 2012, 48, 1–36. [Google Scholar] [CrossRef]
- Yada, H.A.H.; Omori, H.; Ishida, Y.; Katoh, T. Stressor among nurses in a psychiatric department—Comparison between acute and recuperation wards. J. UOEH 2009, 1, 293–303. [Google Scholar] [CrossRef]
- Ramírez, M.T.G.; Hernández, R.L. Factor structure of the Perceived Stress Scale (PSS) in a sample from Mexico. Span. J. Psychol. 2007, 10, 199–206. [Google Scholar] [CrossRef]
- Subih, M.; Alamer, R.; Al Hadid, L.; Alsatar, M. Stressors Amongst Jordanian Nurses Working in Different Types of Hospitals and the Effect of Selected Demographic Factors: A Descriptive- Explorative Study. Jordan Med. J. 2013, 45, 331–340. [Google Scholar]
- Erdogan, C.; Dogan, S.; Cakmak, R.; Kizilaslan, D.; Hizarci, B.; Karaaslan, P.; Oz, H. Assessment of job satisfaction, work-related strain, and perceived stress in nurses working in different departments in the same hospital: A survey study. Ain Shamp J. Anaesthesiol. 2020, 12, 34. [Google Scholar] [CrossRef]
- Chang, A.; Yung, W.L.; Swee, G.L. Level of emotional intelligence among nurses. IeJSME 2020, 14, 30–44. [Google Scholar]
- Aljarboa, B.E.; An, E.P.; Dator, T.W.L.; Alshammari, S.A.; Mostoles, R., Jr.; Uy, M.M.; Alrashidi, N.; Alreshidi, M.S.; Mina, E.; Gonzales, A. Resilience and Emotional Intelligence of Staff Nurses during the COVID-19 Pandemic. Healthcare 2022, 10, 2120. [Google Scholar] [CrossRef]
- Coskun, O.; Ulutas, I.; Budakoglu, I.I.; Ugurlu, M.; Ustu, Y. Emotional intelligence and leadership traits among family physicians. Postgrad. Med. 2018, 130, 644–649. [Google Scholar] [CrossRef] [PubMed]
- Bozdag, F.; Ergün, N. Psychological Resilience of Healthcare Professionals During COVID-19 Pandemic. Psychol. Rep. 2021, 124, 2567–2586. [Google Scholar] [CrossRef] [PubMed]
- Eley, D.S.; Laurence, C.; Cloninger, C.R.; Walters, L. Who attracts whom to rural general practice? Variation in temperament and character profiles of GP registrars across different vocational training pathways. Rural. Remote. Health 2015, 15, 3426. [Google Scholar] [PubMed]
- Gillespie, B.M.; Chaboyer, W.; Wallis, M.; Grimbeek, P. Resilience in the operating room: Developing and testing of a resilience model. J. Adv. Nurs. 2007, 59, 427–438. [Google Scholar] [CrossRef]
- Yip, Y.C.; Yip, K.H.; Tsui, W.K. The transformational experience of junior nurses resulting from providing care to COVID-19 patients: From facing hurdles to achieving psychological growth. Int. J. Environ. Res. Public Health 2021, 18, 7383. [Google Scholar] [CrossRef]
- Hsieh, S.; Chang, Y.-H.; Yao, Z.-F.; Yang, M.-H.; Yang, C.-T. The effect of age and resilience on the dose–response function between the number of adversity factors and subjective well-being. Front. Psychol. 2024, 15, 1332124. [Google Scholar] [CrossRef]
- Reed, A.E.; Carstensen, L.L. The Theory behind the Age-Related Positivity Effect. Front. Psychol. 2012, 3, 339. [Google Scholar] [CrossRef]
- Leaver, A.M.; Yang, H.; Siddarth, P.; Vlasova, R.M.; Krause, B.; St Cyr, N.; Narr, K.L.; Lavretsky, H. Resilience and amygdala function in older healthy and depressed adults. J. Affect. Disord. 2018, 237, 27–34. [Google Scholar] [CrossRef]
- Petro, N.M.; Basyouni, R.; Neta, M. Positivity effect in aging: Evidence for the primacy of positive responses to emotional ambiguity. Neurobiol. Aging 2021, 106, 232–240. [Google Scholar] [CrossRef]
- Carstensen, L.L.; Fung, H.H.; Charles, S.T. Socioemotional selectivity theory and the regulation of emotion in the second half of life. Motiv. Emot. 2003, 27, 103–123. [Google Scholar] [CrossRef]
- Gooding, P.A.; Hurst, A.; Johnson, J.; Tarrier, N. Psychological resilience in young and older adults. Int. J. Geriatr. Psychiatry 2012, 27, 262–270. [Google Scholar] [CrossRef] [PubMed]
- Isaacowitz, D.M. What Do We Know About Aging and Emotion Regulation? Perspect. Psychol. Sci. 2022, 17, 1541–1555. [Google Scholar] [CrossRef] [PubMed]
- Huerta-González, S.; Caro-Alonso, P.; Rodríguez-Martín, B.; Castillo-Sarmiento, C.A.; Pedrera-Zamorano, J.D.; Chimpén-López, C.; Rico-Martín, S.; López-Espuela, F. Nurses’ perceptions of the performance of nurse managers and senior hospital management during the COVID-19 pandemic. BMC Nurs. 2024, 23, 455. [Google Scholar] [CrossRef] [PubMed]
- Damian, R.I.; Spengler, M.; Sutu, A.; Roberts, B.W. Sixteen going on sixty-six: A longitudinal study of personality stability and change across 50 years. J. Personal. Soc. Psychol. 2019, 117, 674–695. [Google Scholar] [CrossRef]
- Teng, C.I.; Chang, S.S.; Hsu, K.H. Emotional stability of nurses: Impact on patient safety. J. Adv. Nurs. 2009, 65, 2088–2096. [Google Scholar] [CrossRef]
- Croghan, I.T.; Chesak, S.S.; Adusumalli, J.; Fischer, K.M.; Beck, E.W.; Patel, S.R.; Ghosh, K.; Schroeder, D.R.; Bhagra, A. Stress, Resilience, and Coping of Healthcare Workers during the COVID-19 Pandemic. J. Prim. Care Community Health 2021, 12, 1–9. [Google Scholar] [CrossRef]
- European Commission. Country Health Profile. In State of Health in the EU—Romania; European Commission: Brussels, Belgium, 2019. [Google Scholar]
- Safiye, T.; Gutić, M.; Dubljanin, J.; Stojanovic, T.M.; Dubljanin, D.; Kovacević, A.; Zlatanović, M.; Demirović, D.H.; Nenezic, N.; Milidrag, A. Mentalizing, Resilience, and Mental Health Status among Healthcare Workers during the COVID-19 Pandemic: A Cross-Sectional Study. Int. J. Environ. Res. Public Health 2023, 20, 5594. [Google Scholar] [CrossRef]
- Petrides, K.V.; Perazzo, M.F.; Perez-Diaz, P.A.; Jeffrey, S.; Richardson, H.C.; Sevdalis, N.; Ahmad, N. Trait Emotional Intelligence in Surgeons. Front. Psychol. 2022, 13, 829084. [Google Scholar] [CrossRef]
- McKinley, S.K.; Petrusa, E.R.; Fiedeldey-Van Dijk, C.; Mullen, J.T.; Smink, D.S.; Scott-Vernaglia, S.E.; Kent, T.S.; Black-Schaffer, W.S.; Phitayakorn, R. A multi-institutional study of the emotional intelligence of resident physicians. Am. J. Surg. 2015, 209, 26–33. [Google Scholar] [CrossRef]
- Nazir, N.; Hussain, H.A.; Ahmed, U.; Sabri, A.A.; Ahmad, N.; Rasool, A.G. Perceived stress score among doctors serving at various government and private hospitals in Faisalabad. Pak. Med. Assoc. 2021, 71, 1424–1427. [Google Scholar] [CrossRef]
- McCarthy, V.J.; Power, S.; Greiner, B.A. Perceived occupational stress in nurses working in Ireland. Occup. Med. 2010, 60, 604–610. [Google Scholar] [CrossRef] [PubMed]
- Aghajani, S.; Narimani, M.; Asiaei, M. The comparative study of emotional intelligence and self—Concept of normal and gifted students. Res. Except. Child. 2008, 8, 317–323. [Google Scholar]
- Das, R.; Mallick, N.; Debnath, A.; Biswas, B.; Mukherjee, S. Estimation of Perceived Stress among Doctors in a Peripheral Tertiary Government Medical College of West Bengal: A Cross-sectional Study. J. Clin. Diag. Res. 2021, 15, VC05–VC08. [Google Scholar] [CrossRef]
- Chrzan-Rodaka, A.; Slusarskab, B.; Nowickic, G.; Delugad, A.; Bartoszeke, A. Relationship between social competences and the sense of generalmental health and intensity of stress among nurses. Pomeranian J. Life Sci. 2020, 66, 53–56. [Google Scholar] [CrossRef]
- Maswadi, N.; Khader, Y.; Slaih, A. Perceived Stress Among Resident Doctors in Jordanian Teaching Hospitals: Cross-Sectional Study. JMIR Public Health Surveill. 2019, 5, e14238. [Google Scholar] [CrossRef]
- Huda, A.; Yasir, M.; Saulat, S.R.; AlShaqha, M.W. Assessment of perceived stress among resident trainees of a tertiary care hospital in Saudi Arabia during COVID–19 pandemic—A cross-sectional study. Saudi J. Nurs. Health Car. 2021, 4, 45–47. [Google Scholar] [CrossRef]
- Waddimba, A.C.; Scribani, M.; Hasbrouck, M.A.; Krupa, N.; Jenkins, P.; May, J.J. Resilience among Employed Physicians and Mid-Level Practitioners in Upstate New York. Health Serv. Res. 2016, 51, 1706–1734. [Google Scholar] [CrossRef]
- Nejad, N.G.; Hosseini, M.; Mousavi Mirzaei, S.M.; Moghaddam, Z.G. Association between Resilience and Professional Quality of Life among Nurses Working in Intensive Care Units. Iran. J. Nurs. 2019, 31, 49–60. [Google Scholar]
- Douillet, D.; Caillaud, A.; Riou, J.; Miroux, P.; Thibaud, E.; Noizet, M.; Oberlin, M.; Leger, M.; Mahieu, R.; Riquin, E.; et al. Assessment of physicians’ resilience level during the COVID-19 pandemic. Transl. Psychiatry 2021, 11, 283. [Google Scholar] [CrossRef]
- Al Hadid, L.A.E.; Al Barmawi, M.A.; Alnjadat, R.; Al Farajat, L. The impact of stress associated with caring for patients with COVID-19 on career decisions, resilience, and perceived self-efficacy in newly hired nurses in Jordan: A cross-sectional study. Health Sci. Rep. 2022, 5, e899. [Google Scholar] [CrossRef]
- Amini, M.; Amini, M.; Nabiee, P.; Delavari, S. The Relationship Between Emotional Intelligence and Communication Skills in Healthcare Staff. Shiraz E-Med. J. 2019, 20, e8275. [Google Scholar] [CrossRef]
- Puliyakkadi, S.; Chalil, S.; Abraham, R.; Dipin, J.; Raj, A.; Dayan, S. Dimensions of emotional intelligence of doctors in a tertiary care centre in kerala. J. Integr. Health Sci. 2019, 7, 48–51. [Google Scholar] [CrossRef]
- McKinley, S.K. The Emotional Intelligence of Resident Physicians. Ph.D. Thesis, Harvard Medical School, Boston, MA, USA, 2014. [Google Scholar]
- Montvilaitė, G.; Antinienė, D. Emotional Intelligence and Stress Coping Strategies of Medical Residents. Balt. J. Health Phys. Act. 2019, 4, 13–19. [Google Scholar] [CrossRef]
- Zhang, Q.; Dong, G.; Meng, W.; Chen, Z.; Cao, Y.; Zhang, M. Perceived Stress and Psychological Impact Among Healthcare Workers at a Tertiary Hospital in China During the COVID-19 Outbreak: The Moderating Role of Resilience and Social Support. Front. Psychiatry 2022, 12, 570971. [Google Scholar] [CrossRef]
- Almegewly, W.; Alhejji, A.; Alotaibi, L.; Almalki, M.; Alanezi, M.; Almotiri, A.; Almotiri, A.; Alotaibi, F.; Alharbi, S.; Albarakah, A. Perceived stress and resilience levels during the COVID-19 pandemic among critical care nurses in Saudi Arabia: A correlational cross-sectional study. PeerJ. 2022, 10, e13164. [Google Scholar] [CrossRef]
- Li, M.; Yu, X.; Wang, D.; Wang, Y.; Yao, L.; Ma, Y.; Liu, X.; Zhang, Y. Association among resilience, post-traumatic stress disorder, and somatization in frontline healthcare workers in COVID-19: The mediating role of perceived stress. Front. Psychiatry 2022, 13, 909071. [Google Scholar] [CrossRef]
- Swami, M.K.; Marhur, D.M.; Push, B.K. Emotional intelligence, perceived stress and burnout among resident doctors: An assessment of the relationship. Natl. Med. J. India 2013, 26, 210–213. [Google Scholar]
- Mitra, S.; Sarkar, A.P.; Haldar, D.; Saren, A.B.; Lo, S.; Sarkar, G.N. Correlation among perceived stress, emotional intelligence, and burnout of resident doctors in a medical college of West Bengal: A mediation analysis. Indian. J. Public Health 2018, 62, 27–31. [Google Scholar] [CrossRef]
- Nikolaou, I.; Tsaousis, I. Emotional Intelligence in the Workplace: Exploring its effects on Occupational Stress and Organisational Commitment. Int. J. Org. Anal. 2002, 10, 327–342. [Google Scholar] [CrossRef]
- Erdogan, T.; Bayraktar, Y.; Uçan, F.; Atilgan, S.S. The effect of perceived stress on organizational silence in emergency service doctors in Turkey: The mediating role of emotional intelligence. Front. Public Health 2022, 10, 1010827. [Google Scholar] [CrossRef]
- Jung, Y.H.; Ha, T.M.; Oh, C.Y.; Lee, U.S.; Jang, J.H.; Kim, J.; Park, J.O.; Kang, D.H. The effects of an online mind-body training program on stress, coping strategies, emotional intelligence, resilience and psychological state. PLoS ONE 2016, 1, e0159841. [Google Scholar] [CrossRef] [PubMed][Green Version]
- Antonescu, O.R.; Silisteanu, A.E.; Racheriu, M.; Szakács, J. Emotionality and quality of life in patients with musculoskeletal disorders. Balneo PRM Res. J. 2021, 12, 270–274. [Google Scholar] [CrossRef]
- Mendoza Bernal, I.; Sánchez-Teruel, D.; Robles-Bello, M.A.; Sarhani-Robles, A.; Sarhani-Robles, M. Predictors of resilience in healthcare workers during the COVID-19 pandemic: A longitudinal study comparing the first and second waves. BMC Psychol. 2023, 11, 143. [Google Scholar] [CrossRef] [PubMed]
- Sarrionandia, A.; Diaz, E.R.; Fernandez-Lasarte, O. Resilience as a Mediator of Emotional Intelligence and Perceived Stress: A Cross-Country Study. Front. Psychiatry 2018, 9, 2653. [Google Scholar] [CrossRef] [PubMed]
- Theron, L.C. Toward a culturally and contextually sensitive understanding of resilience: Privileging the voices of black, South African young people. J. Adolesc. Res. 2016, 31, 635–670. [Google Scholar] [CrossRef]
- Van Breda, A. A critical review of resilience theory and its relevance for social work. Social Work/Maatskaplike Werk 2018, 54, 1–18. [Google Scholar] [CrossRef]


| n = 189 (%) | PSS M ± SD | p | RS M ± SD | p | EI M ± SD | p | ||
|---|---|---|---|---|---|---|---|---|
| Gender | Male | 41 (21.7) | 15.00 ± 6.25 | 0.529 | 71.00 ± 13.17 | 0.073 | 133.73 ± 25.50 | 0.414 |
| Female | 148 (78.3) | 15.66 ± 5.80 | 74.88 ± 11.90 | 137.14 ± 23.05 | ||||
| Age | ||||||||
| 18–24 | 5 (2.6) | 16.60 ± 3.13 | 0.992 | 68.60 ± 12.34 | 0.011 | 127.40 ± 10.92 | 0.153 | |
| 25–34 | 60 (31.7) | 15.32 ± 6.57 | 69.97 ± 12.09 | 133.98 ± 26.47 | ||||
| 35–44 | 45 (23.8) | 15.52 ± 5.89 | 74.91 ± 12.58 | 131.86 ± 22.03 | ||||
| 45–54 | 58 (30.7) | 15.65 ± 5.48 | 77.53 ± 11.29 | 140.63 ± 23.53 | ||||
| ≥55 | 21 (11.1) | 15.43 ± 5.89 | 75.57 ± 11.92 | 143.43 ± 17.34 | ||||
| Marital status | Married | 124 (65.6) | 15.24 ± 5.67 | 0.675 | 74.77 ± 11.92 | 0.469 | 137.35 ± 22.67 | 0.391 |
| Unmarried | 57 (30.2) | 16.02 ± 6.58 | 72.86 ± 12.45 | 135.70 ± 25.93 | ||||
| Widowed | 8 (4.2) | 16.29 ± 3.99 | 70.57 ± 16.91 | 125.00 ± 19.18 | ||||
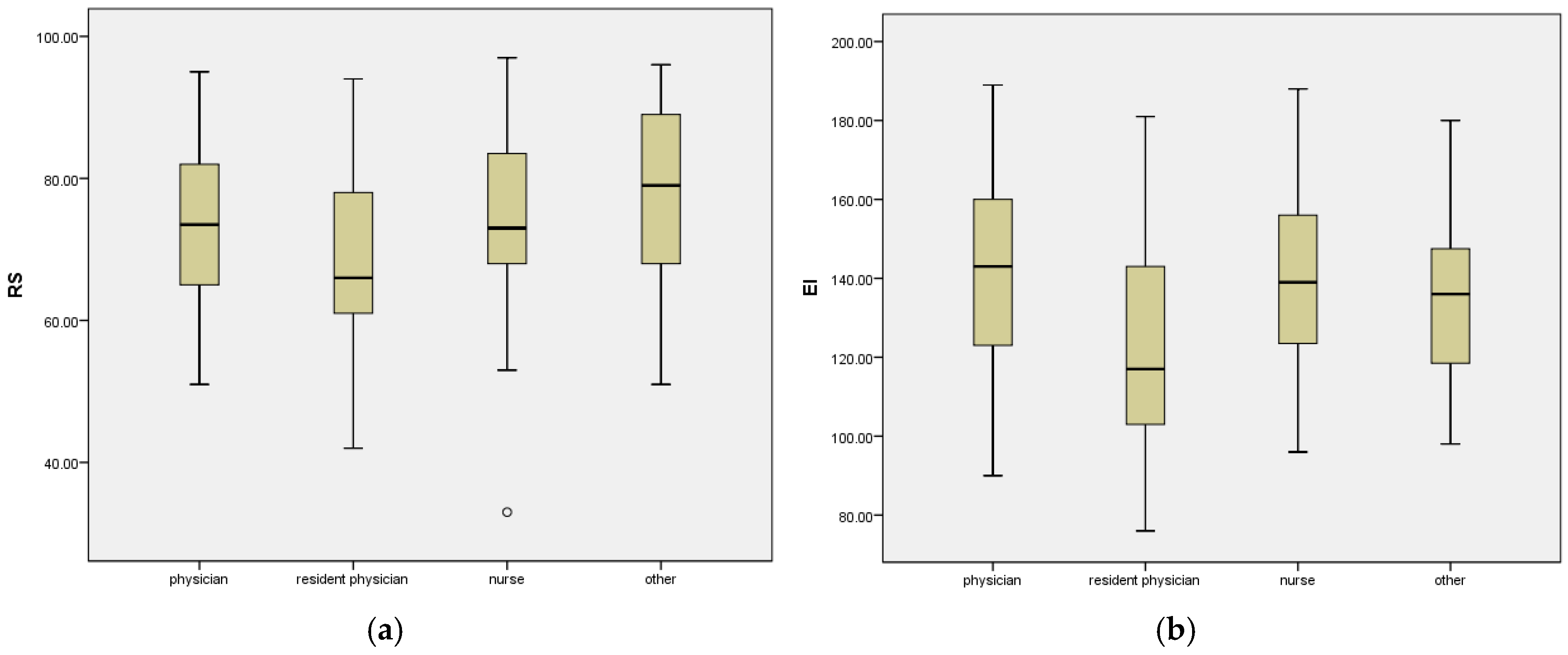
| Profession | Specialist physician | 28 (14.8) | 14.50 ± 6.33 | 0.073 | 73.61 ± 11.89 | 0.003 | 141.96 ± 23.05 | 0.000 |
| Resident physician | 33 (17.5) | 16.97 ± 6.29 | 67.42 ± 11.81 | 120.39 ± 26.44 | ||||
| Nurse | 97 (51.3) | 14.76 ± 5.11 | 75.15 ± 11.76 | 140.89 ± 21.40 | ||||
| Other healthcare worker | 31 (16.4) | 17.19 ± 6.87 | 78.00 ± 12.40 | 134.61 ± 20.29 |
| Scales | Mean ± SD | PSS Score | % | RS Score | % | EI Score | % |
|---|---|---|---|---|---|---|---|
| PSS | 15.51 ± 5.89 | Low (≤13) | 39.2 | Low (≤66) (Q1) | 25.5 | Low (≤122) (1–30%) | 30 |
| RS | 74.03 ± 12.25 | Moderate (14–26) | 57.7 | Moderate (66–83) (Q2, Q3) | 60.5 | Average (123–148) (31–70%) | 40 |
| EI | 136.39 ± 23.58 | High (≥27) | 3.1 | High (≥84) (Q4) | 25 | High (≥149) (71–100%) | 30 |
| RS | EI | EI Subscales | ||||
|---|---|---|---|---|---|---|
| Emotionality | Sociability | Well-Being | Self-Control | |||
| PSS | −0.376 ** | −0.465 ** | −0.313 ** | −0.348 ** | −0.479 ** | −0.482 ** |
| RS | 0.490 ** | 0.309 ** | 0.425 ** | 0.446 ** | 0.520 ** | |
| Model Pathways | Standardized β | Std. Error | z | p | 95% CI | |
|---|---|---|---|---|---|---|
| Lower | Upper | |||||
| EI → RS | 0.254 | 0.032 | 7.887 | 0.000 | 0.190 | 0.318 |
| RS → PSS | −0.094 | 0.033 | −2.833 | 0.005 | −0.162 | −0.029 |
| EI → PSS | −0.092 | 0.018 | −5.163 | 0.000 | −0.128 | −0.057 |
| EI → RS → PSS | −0.024 | 0.009 | −2.528 | 0.011 | −0.044 | −0.007 |
Disclaimer/Publisher’s Note: The statements, opinions and data contained in all publications are solely those of the individual author(s) and contributor(s) and not of MDPI and/or the editor(s). MDPI and/or the editor(s) disclaim responsibility for any injury to people or property resulting from any ideas, methods, instructions or products referred to in the content. |
© 2024 by the authors. Licensee MDPI, Basel, Switzerland. This article is an open access article distributed under the terms and conditions of the Creative Commons Attribution (CC BY) license (https://creativecommons.org/licenses/by/4.0/).
Share and Cite
Duică, L.; Antonescu, E.; Totan, M.; Antonescu, O.R.; Boța, G.; Maniu, I.; Pirlog, M.C.; Silișteanu, S.C. Perceived Stress, Resilience and Emotional Intelligence in Romanian Healthcare Professionals. Healthcare 2024, 12, 2336. https://doi.org/10.3390/healthcare12232336
Duică L, Antonescu E, Totan M, Antonescu OR, Boța G, Maniu I, Pirlog MC, Silișteanu SC. Perceived Stress, Resilience and Emotional Intelligence in Romanian Healthcare Professionals. Healthcare. 2024; 12(23):2336. https://doi.org/10.3390/healthcare12232336
Chicago/Turabian StyleDuică, Lavinia, Elisabeta Antonescu, Maria Totan, Oana Raluca Antonescu, Gabriela Boța, Ionela Maniu, Mihail Cristian Pirlog, and Sînziana Călina Silișteanu. 2024. "Perceived Stress, Resilience and Emotional Intelligence in Romanian Healthcare Professionals" Healthcare 12, no. 23: 2336. https://doi.org/10.3390/healthcare12232336
APA StyleDuică, L., Antonescu, E., Totan, M., Antonescu, O. R., Boța, G., Maniu, I., Pirlog, M. C., & Silișteanu, S. C. (2024). Perceived Stress, Resilience and Emotional Intelligence in Romanian Healthcare Professionals. Healthcare, 12(23), 2336. https://doi.org/10.3390/healthcare12232336

