Depression and Anxiety among Migrant Older Adults during the COVID-19 Pandemic in China: Network Analysis of Continuous Cross-Sectional Data
Abstract
1. Introduction
2. Materials and Methods
2.1. Participants and Procedure
2.2. Measures
2.3. Data Analysis
2.3.1. Network Estimation
2.3.2. Network Stability
3. Results
3.1. Descriptive Statistics and Prevalence
3.1.1. Descriptive Statistics
3.1.2. Prevalence of Anxiety and Depression
3.2. Network Structure
3.2.1. Stage of Symptoms
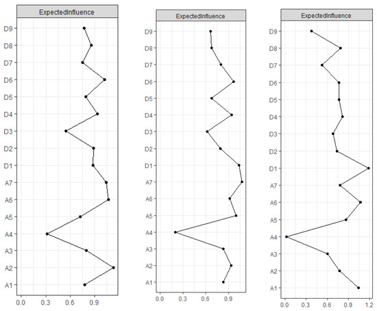
3.2.2. Central Symptoms
3.2.3. Bridge Symptoms
4. Discussion
5. Conclusions
Author Contributions
Funding
Institutional Review Board Statement
Informed Consent Statement
Data Availability Statement
Conflicts of Interest
References
- Fang, E.F.; Scheibye-Knudsen, M.; Jahn, H.J.; Li, J.; Ling, L.; Guo, H.; Zhu, X.; Preedy, V.; Lu, H.; Bohr, V.A.; et al. A research agenda for aging in China in the 21st century. Ageing Res. Rev. 2015, 24, 197–205. [Google Scholar] [CrossRef] [PubMed]
- Amore, S.; Puppo, E.; Melara, J.; Terracciano, E.; Gentili, S.; Liotta, G. Impact of COVID-19 on older adults and role of long-term care facilities during early stages of epidemic in Italy. Sci. Rep. 2021, 11, 12530. [Google Scholar] [CrossRef]
- Chen, Y.; Klein, S.L.; Garibaldi, B.T.; Li, H.; Wu, C.; Osevala, N.M.; Li, T.; Margolick, J.B.; Pawelec, G.; Leng, S.X. Aging in COVID-19: Vulnerability, immunity and intervention. Ageing Res. Rev. 2021, 65, 101205. [Google Scholar] [CrossRef] [PubMed]
- Bendau, A.; Kunas, S.L.; Wyka, S.; Petzold, M.B.; Plag, J.; Asselmann, E.; Strohle, A. Longitudinal changes of anxiety and depressive symptoms during the COVID-19 pandemic in Germany: The role of pre-existing anxiety, depressive, and other mental disorders. J. Anxiety Disord. 2021, 79, 102377. [Google Scholar] [CrossRef] [PubMed]
- Ruiz-Callado, R.; Jareno-Ruiz, D.; Fabregat-Cabrera, M.E.; Penalva-Lorca, M.M. Ageing and Loneliness in Times of Pandemic: A Scoping Review. Int. J. Environ. Res. Public Health 2023, 20, 5337. [Google Scholar] [CrossRef] [PubMed]
- Donizzetti, A.R.; Lagace, M. COVID-19 and the Elderly’s Mental Illness: The Role of Risk Perception, Social Isolation, Loneliness and Ageism. Int. J. Environ. Res. Public Health 2022, 19, 4513. [Google Scholar] [CrossRef]
- Van Orden, K.A.; Bower, E.; Lutz, J.; Silva, C.; Gallegos, A.M.; Podgorski, C.A.; Santos, E.J.; Conwell, Y. Strategies to Promote Social Connections Among Older Adults During “Social Distancing” Restrictions. Am. J. Geriatr. Psychiatry 2021, 29, 816–827. [Google Scholar] [CrossRef]
- Khan, Z.; Israel-McLeish, K.; Ballard, C.; Da Silva, M.V.; Nunez, K.M.; Kitas, F.; Aarsland, D. Levels of Loneliness and Mental Health in Older Adults Across Ethnic Groups During the COVID-19 Pandemic in the UK. J. Am. Med. Dir. Assoc. 2023, 24, 710–711. [Google Scholar] [CrossRef]
- Lai, J.; Ma, S.; Wang, Y.; Cai, Z.; Hu, J.; Wei, N.; Wu, J.; Du, H.; Chen, T.; Li, R.; et al. Factors Associated With Mental Health Outcomes Among Health Care Workers Exposed to Coronavirus Disease 2019. JAMA Netw. Open 2020, 3, e203976. [Google Scholar] [CrossRef]
- Tyler, C.M.; McKee, G.B.; Alzueta, E.; Perrin, P.B.; Kingsley, K.; Baker, F.C.; Arango-Lasprilla, J.C. A Study of Older Adults’ Mental Health across 33 Countries during the COVID-19 Pandemic. Int. J. Environ. Res. Public Health 2021, 18, 5090. [Google Scholar] [CrossRef]
- Baker, A.L.; Thornton, L.K.; Hiles, S.; Hides, L.; Lubman, D.I. Psychological interventions for alcohol misuse among people with co-occurring depression or anxiety disorders: A systematic review. J. Affect. Disord. 2012, 139, 217–229. [Google Scholar] [CrossRef] [PubMed]
- Ma, S.; Li, Q.; Zhou, X.; Cao, W.; Jiang, M.; Li, L. Assessment of health inequality between urban-to-urban and rural-to-urban migrant older adults in China: A cross-sectional study. BMC Public Health 2020, 20, 268. [Google Scholar] [CrossRef] [PubMed]
- Thompson, S.; Hartel, G.; Manderson, L.; Woelz-Stirling, N.; Kelaher, M. The mental health status of Filipinas in Queensland. Aust. N. Z. J. Psychiatry 2002, 36, 674–680. [Google Scholar] [CrossRef]
- Vedder, P.; Virta, E. Language, ethnic identity, and the adaptation of Turkish immigrant youth in the Netherlands and Sweden. Int. J. Intercult. Relat. 2005, 29, 317–337. [Google Scholar] [CrossRef]
- Wong, D.F.K. The Impacts of Acculturative Stress and Social Competence on the Mental Health of Mainland Chinese Immigrant Youth in Hong Kong. Br. J. Soc. Work. 2004, 34, 1009–1024. [Google Scholar] [CrossRef]
- Nikoloski, Z.; Zhang, A.; Hopkin, G.; Mossialos, E. Self-reported Symptoms of Depression Among Chinese Rural-to-Urban Migrants and Left-Behind Family Members. JAMA Netw. Open 2019, 2, e193355. [Google Scholar] [CrossRef]
- Mao, Z.H.; Zhao, X.D. The effects of social connections on self-rated physical and mental health among internal migrant and local adolescents in Shanghai, China. BMC Public Health 2012, 12, 97. [Google Scholar] [CrossRef] [PubMed]
- Nørredam, M. Migration and health: Exploring the role of migrant status through register-based studies. Dan. Med. J. 2015, 62, B5068. [Google Scholar]
- Spagnoli, L.; Flahault, A.; Ferrara, P. Migrant Health Burden: Where Do We Stand? Int. J. Environ. Res Public Health 2020, 17, 3004. [Google Scholar] [CrossRef]
- Beard, C.; Millner, A.J.; Forgeard, M.J.C.; Fried, E.I.; Hsu, K.J.; Treadway, M.T.; Leonard, C.V.; Kertz, S.J.; Björgvinsson, T. Network analysis of depression and anxiety symptom relationships in a psychiatric sample. Psychol. Med. 2016, 46, 3359–3369. [Google Scholar] [CrossRef]
- Dalege, J.; Borsboom, D.; van Harreveld, F.; van der Maas, H.L.J. Network Analysis on Attitudes: A Brief Tutorial. Soc. Psychol. Pers. Sci. 2017, 8, 528–537. [Google Scholar] [CrossRef]
- Epskamp, S.; Borsboom, D.; Fried, E.I. Estimating psychological networks and their accuracy: A tutorial paper. Behav. Res. Methods 2018, 50, 195–212. [Google Scholar] [CrossRef]
- Ren, L.; Wang, Y.; Wu, L.; Wei, Z.; Cui, L.B.; Wei, X.; Hu, X.; Peng, J.; Jin, Y.; Li, F.; et al. Network structure of depression and anxiety symptoms in Chinese female nursing students. BMC Psychiatry 2021, 21, 279. [Google Scholar] [CrossRef] [PubMed]
- Sanchez Hernandez, M.O.; Carrasco, M.A.; Holgado-Tello, F.P. Anxiety and Depression Symptoms in Spanish Children and Adolescents: An Exploration of Comorbidity from the Network Perspective. Child Psychiatry Hum. Dev. 2021, 54, 736–749. [Google Scholar] [CrossRef] [PubMed]
- Jin, Y.; Sha, S.; Tian, T.; Wang, Q.; Liang, S.; Wang, Z.; Liu, Y.; Cheung, T.; Su, Z.; Ng, C.H.; et al. Network analysis of comorbid depression and anxiety and their associations with quality of life among clinicians in public hospitals during the late stage of the COVID-19 pandemic in China. J. Affect. Disord. 2022, 314, 193–200. [Google Scholar] [CrossRef] [PubMed]
- Pasemann, F. Complex dynamics and the structure of small neural networks. Network 2002, 13, 195–216. [Google Scholar] [CrossRef]
- Contreras, A.; Nieto, I.; Valiente, C.; Espinosa, R.; Vazquez, C. The Study of Psychopathology from the Network Analysis Perspective: A Systematic Review. Psychother. Psychosom. 2019, 88, 71–83. [Google Scholar] [CrossRef]
- Borsboom, D.; Cramer, A.O. Network analysis: An integrative approach to the structure of psychopathology. Annu. Rev. Clin. Psychol. 2013, 9, 91–121. [Google Scholar] [CrossRef]
- Cramer, A.O.J.; Waldorp, L.J.; van der Maas, H.L.J.; Borsboom, D. Complex realities require complex theories: Refining and extending the network approach to mental disorders. Behav. Brain Sci. 2010, 33, 178–193. [Google Scholar] [CrossRef]
- Jones, P.J.; Ma, R.; McNally, R.J. Bridge Centrality: A Network Approach to Understanding Comorbidity. Multivar. Behav. Res. 2021, 56, 353–367. [Google Scholar] [CrossRef]
- Borsboom, D. A network theory of mental disorders. World Psychiatry 2017, 16, 5–13. [Google Scholar] [CrossRef] [PubMed]
- Fried, E.I.; van Borkulo, C.D.; Cramer, A.O.; Boschloo, L.; Schoevers, R.A.; Borsboom, D. Mental disorders as networks of problems: A review of recent insights. Soc. Psychiatry Psychiatr. Epidemiol. 2017, 52, 1–10. [Google Scholar] [CrossRef] [PubMed]
- Qi, J.; Sun, R.; Zhou, X. Network analysis of comorbid posttraumatic stress disorder and depression in adolescents across COVID-19 epidemic and Typhoon Lekima. J. Affect. Disord. 2021, 295, 594–603. [Google Scholar] [CrossRef]
- Bai, W.; Zhao, Y.J.; Cai, H.; Sha, S.; Zhang, Q.; Lei, S.M.; Lok, G.K.I.; Chow, I.H.I.; Cheung, T.; Su, Z.; et al. Network analysis of depression, anxiety, insomnia and quality of life among Macau residents during the COVID-19 pandemic. J. Affect. Disord. 2022, 311, 181–188. [Google Scholar] [CrossRef]
- Tang, M.; Su, Z.; He, Y.; Pang, Y.; Zhou, Y.; Wang, Y.; Lu, Y.; Jiang, Y.; Han, X.; Song, L.; et al. Physical symptoms and anxiety and depression in older patients with advanced cancer in China: A network analysis. BMC Geriatr. 2024, 24, 185. [Google Scholar] [CrossRef] [PubMed]
- Zhang, Y.; Cui, Y.; Li, Y.; Lu, H.; Huang, H.; Sui, J.; Guo, Z.; Miao, D. Network analysis of depressive and anxiety symptoms in older Chinese adults with diabetes mellitus. Front. Psychiatry 2024, 15, 1328857. [Google Scholar] [CrossRef]
- Ma, H.; Zhao, M.; Liu, Y.; Wei, P. Network analysis of depression and anxiety symptoms and their associations with life satisfaction among Chinese hypertensive older adults: A cross-sectional study. Front. Public Health 2024, 12, 1370359. [Google Scholar] [CrossRef]
- Shang, B.; Chen, R.; Luo, C.; Lv, F.; Wu, J.; Shao, X.; Li, Q. The relationship between alexithymia, depression, anxiety, and stress in elderly with multiple chronic conditions in China: A network analysis. Front. Psychiatry 2023, 14, 1209936. [Google Scholar] [CrossRef]
- Zhang, P.; Wang, L.; Zhou, Q.; Dong, X.; Guo, Y.; Wang, P.; He, W.; Wang, R.; Wu, T.; Yao, Z.; et al. A network analysis of anxiety and depression symptoms in Chinese disabled elderly. J. Affect. Disord. 2023, 333, 535–542. [Google Scholar] [CrossRef]
- Zigmond, A.S.; Snaith, R.P. The Hospital Anxiety and Depression Scale. Acta Psychiatr. Scand. 1983, 67, 361–370. [Google Scholar] [CrossRef]
- Kroenke, K.; Spitzer, R.L.; Williams, J.B. The PHQ-9: Validity of a brief depression severity measure. J. Gen. Intern. Med. 2001, 16, 606–613. [Google Scholar] [CrossRef]
- Xu, W.Q.; Lin, L.H.; Ding, K.R.; Ke, Y.F.; Huang, J.H.; Hou, C.L.; Jia, F.J.; Wang, S.B. The role of depression and anxiety in the relationship between poor sleep quality and subjective cognitive decline in Chinese elderly: Exploring parallel, serial, and moderated mediation. J. Affect. Disord. 2021, 294, 464–471. [Google Scholar] [CrossRef] [PubMed]
- Liu, Z.W.; Yu, Y.; Hu, M.; Liu, H.M.; Zhou, L.; Xiao, S.Y. PHQ-9 and PHQ-2 for Screening Depression in Chinese Rural Elderly. PLoS ONE 2016, 11, e0151042. [Google Scholar] [CrossRef]
- Team, R.C. R: A Language and Environment for Statistical Computing; R Foundation for Statistical Computing: Vienna, Austria, 2020. [Google Scholar]
- Epskamp, S.; Cramer, A.O.; Waldorp, L.J.; Schmittmann, V.D.; Borsboom, D. qgraph Network Visualizations of Relationships in Psychometric Data. J. Stat. Softw. 2012, 48, 1–18. [Google Scholar] [CrossRef]
- Forkmann, T.; Scherer, A.; Bocker, M.; Pawelzik, M.; Gauggel, S.; Glaesmer, H. The relation of cognitive reappraisal and expressive suppression to suicidal ideation and suicidal desire. Suicide Life Threat. Behav. 2014, 44, 524–536. [Google Scholar] [CrossRef] [PubMed]
- Fruchterman, T.M.J.; Reingold, E.M. Graph drawing by force-directed placement. Softw. Pract. Exp. 1991, 21, 1129–1164. [Google Scholar] [CrossRef]
- Haslbeck, J.; Waldorp, L.J. mgm: Estimating Time-varying Mixed Graphical Models in High-dimensional Data. arXiv 2015, arXiv:1510.06871. [Google Scholar] [CrossRef]
- Robinaugh, D.J.; Millner, A.J.; McNally, R.J. Identifying highly influential nodes in the complicated grief network. J. Abnorm. Psychol. 2016, 125, 747–757. [Google Scholar] [CrossRef]
- Liang, S.; Liu, C.; Rotaru, K.; Li, K.; Wei, X.; Yuan, S.; Yang, Q.; Ren, L.; Liu, X. The relations between emotion regulation, depression and anxiety among medical staff during the late stage of COVID-19 pandemic: A network analysis. Psychiatry Res. 2022, 317, 114863. [Google Scholar] [CrossRef]
- Zhang, L.; Tao, Y.; Hou, W.; Niu, H.; Ma, Z.; Zheng, Z.; Wang, S.; Zhang, S.; Lv, Y.; Li, Q.; et al. Seeking bridge symptoms of anxiety, depression, and sleep disturbance among the elderly during the lockdown of the COVID-19 pandemic-A network approach. Front. Psychiatry 2022, 13, 919251. [Google Scholar] [CrossRef]
- Brotman, M.A.; Kircanski, K.; Leibenluft, E. Irritability in Children and Adolescents. Annu. Rev. Clin. Psychol. 2017, 13, 317–341. [Google Scholar] [CrossRef] [PubMed]
- Ding, J.Y.; Wu, W.T.; Liang, Z.; Yu, C.; Xiao, X.H. Depression and activities of daily living in elderly people applying for admission to public nursing facilities. Appl. Neuropsychol. Adult 2023, 1–6. [Google Scholar] [CrossRef]
- Zhang, W.; Zhang, K.; Yang, M.; Si, S. Physical Exercise Transforms the Topography and Increases the Invulnerability of the Symptom Network of Depression-Anxiety in the Elderly. Clin. Psychol. Psychother. 2024, 31, e2971. [Google Scholar] [CrossRef]
- Kaiser, T.; Herzog, P.; Voderholzer, U.; Brakemeier, E.L. Unraveling the comorbidity of depression and anxiety in a large inpatient sample: Network analysis to examine bridge symptoms. Depress. Anxiety 2021, 38, 307–317. [Google Scholar] [CrossRef]
- Li, W.W.; Cummings, S.M.; Ponnuswami, I.; Park, H. Ageing and Mental Health: Global Perspectives; Nova Publishers: New York, NY, USA, 2016. [Google Scholar]
- Cho, S.M.; Saw, Y.M.; Saw, T.N.; Than, T.M.; Khaing, M.; Khine, A.T.; Kariya, T.; Soe, P.P.; Oo, S.; Hamajima, N. Prevalence and risk factors of anxiety and depression among the community-dwelling elderly in Nay Pyi Taw Union Territory, Myanmar. Sci. Rep. 2021, 11, 9763. [Google Scholar] [CrossRef]
- Garabiles, M.R.; Lao, C.K.; Xiong, Y.; Hall, B.J. Exploring comorbidity between anxiety and depression among migrant Filipino domestic workers: A network approach. J. Affect. Disord. 2019, 250, 85–93. [Google Scholar] [CrossRef] [PubMed]
- Chen, S.; Bi, K.; Lyu, S.; Sun, P.; Bonanno, G.A. Depression and PTSD in the aftermath of strict COVID-19 lockdowns: A cross-sectional and longitudinal network analysis. Eur. J. Psychotraumatol. 2022, 13, 2115635. [Google Scholar] [CrossRef] [PubMed]
- McNally, R.J.; Mair, P.; Mugno, B.L.; Riemann, B.C. Co-morbid obsessive-compulsive disorder and depression: A Bayesian network approach. Psychol. Med. 2017, 47, 1204–1214. [Google Scholar] [CrossRef] [PubMed]
- Moffa, G.; Catone, G.; Kuipers, J.; Kuipers, E.; Freeman, D.; Marwaha, S.; Lennox, B.R.; Broome, M.R.; Bebbington, P. Using directed acyclic graphs in epidemiological research in psychosis: An analysis of the role of bullying in psychosis. Schizophr. Bull. 2017, 43, 1273–1279. [Google Scholar] [CrossRef]
- von Klipstein, L.; Borsboom, D.; Arntz, A. The exploratory value of cross-sectional partial correlation networks: Predicting relationships between change trajectories in borderline personality disorder. PLoS ONE 2021, 16, e0254496. [Google Scholar] [CrossRef]
- Lee, C.; Min, S.H.; Niitsu, K. C-Reactive Protein and Specific Depression Symptoms Among Older Adults: An Exploratory Investigation of Multi-Plane Networks Using Cross-Sectional Data from NHANES (2017–2020). Biol. Res. Nurs. 2023, 25, 14–23. [Google Scholar] [CrossRef] [PubMed]
- Carney, R.M.; Freedland, K.E. New Perspectives on Treatment of Depression in Coronary Heart Disease. Psychosom. Med. 2023, 85, 474–478. [Google Scholar] [CrossRef] [PubMed]



| T1 (N = 256) | T2 (N = 469) | T3 (N = 405) | |||||
|---|---|---|---|---|---|---|---|
| Variables | Category | N | Mean ± SD/ Percentage (%) | N | Mean ± SD/ Percentage (%) | N | Mean ± SD/ Percentage (%) |
| Age | 256 | 61.70 ± 5.78 | 469 | 65.48 ± 4.56 | 405 | 65.05 ± 4.59 | |
| Sex | Male | 71 | 27.7 | 149 | 31.8 | 109 | 26.9 |
| Female | 185 | 72.3 | 320 | 68.2 | 296 | 73.1 | |
| Marital status | Divorced or widowed | 32 | 12.5 | 71 | 15.1 | 56 | 13.8 |
| Married and with a spouse | 224 | 87.5 | 398 | 84.9 | 349 | 86.2 | |
| Education level | Primary school or lower | 98 | 38.3 | 264 | 56.3 | 165 | 40.8 |
| Junior or senior high school | 135 | 52.7 | 184 | 39.2 | 207 | 51.1 | |
| College or higher | 23 | 9.0 | 21 | 4.5 | 33 | 8.1 | |
| Religious belief | NO | 224 | 87.5 | 398 | 84.9 | 343 | 84.7 |
| YES | 32 | 12.5 | 71 | 15.1 | 62 | 15.3 | |
| Household registration | Rural | 150 | 58.6 | 347 | 74.0 | 251 | 62.0 |
| Town | 105 | 41.0 | 122 | 26.0 | 154 | 38.0 | |
| Yearly income | <5000 RMB | 91 | 35.5 | 173 | 36.9 | 173 | 42.7 |
| 5000 RMB–10,000 RMB | 28 | 10.9 | 109 | 23.2 | 36 | 8.9 | |
| 10,000 RMB–40,000 RMB | 99 | 38.7 | 136 | 29.0 | 159 | 39.3 | |
| >40,000 RMB | 38 | 14.8 | 51 | 10.9 | 37 | 9.2 | |
| Self-reported physical health | Poor | 22 | 8.6 | 23 | 4.9 | 26 | 6.3 |
| Fair | 143 | 55.8 | 322 | 68.7 | 263 | 65.0 | |
| Good | 91 | 35.6 | 124 | 26.5 | 116 | 28.7 | |
| T1 (N = 256) | T2 (N = 469) | T3 (N = 405) | ||
|---|---|---|---|---|
| Level of Anxiety and Depression | Prevalence | |||
| Anxiety symptoms (HADS-A) | No anxiety symptoms | 88.28% | 78.89% | 90.62% |
| Suspected anxiety symptoms | 9.38% | 16.84% | 7.90% | |
| Have anxiety symptoms | 2.34% | 4.26% | 1.48% | |
| Depression symptoms (PHQ-9) | No depressive symptoms | 73.05% | 44.56% | 39.75% |
| Mild depressive symptoms | 20.70% | 42.86% | 52.84% | |
| Moderate depressive symptoms | 5.08% | 10.23% | 6.67% | |
| Moderate to severe depressive symptoms | 0.78% | 2.13% | 0.74% | |
| Severe depressive symptoms | 0.39% | 0.21% | 0% | |
| T1 (N = 256) | T2 (N = 469) | T3 (N = 405) | ||||||||
|---|---|---|---|---|---|---|---|---|---|---|
| Variables | Abbreviation | Mean | SD | Predictability | Mean | SD | Predictability | Mean | SD | Predictability |
| Anxiety symptoms (HADS-A) | ||||||||||
| Nervousness or anxiety | A1 | 0.45 | 0.54 | 0.45 | 0.53 | 0.59 | 0.44 | 0.69 | 0.51 | 0.50 |
| Afraid something will happen | A2 | 0.46 | 0.64 | 0.45 | 0.59 | 0.68 | 0.58 | 0.63 | 0.57 | 0.42 |
| Worry too much | A3 | 0.34 | 0.54 | 0.43 | 0.54 | 0.65 | 0.42 | 0.42 | 0.56 | 0.27 |
| Trouble relaxing | A4 | 0.92 | 0.90 | 0.05 | 1.04 | 0.95 | 0.14 | 0.74 | 0.80 | 0.11 |
| Feeling of fear | A5 | 0.31 | 0.52 | 0.54 | 0.37 | 0.54 | 0.42 | 0.62 | 0.58 | 0.45 |
| Irritability | A6 | 0.45 | 0.67 | 0.51 | 0.69 | 0.81 | 0.67 | 0.72 | 0.58 | 0.55 |
| Panic | A7 | 0.41 | 0.72 | 0.61 | 0.74 | 0.85 | 0.66 | 0.47 | 0.60 | 0.35 |
| Depression symptoms (PHQ-9) | ||||||||||
| Anhedonia | D1 | 0.46 | 0.77 | 0.43 | 0.71 | 0.71 | 0.36 | 0.79 | 0.67 | 0.47 |
| Depressed or sad mood | D2 | 0.37 | 0.59 | 0.43 | 0.55 | 0.65 | 0.45 | 0.47 | 0.61 | 0.36 |
| Sleep difficulties | D3 | 0.80 | 0.93 | 0.30 | 1.01 | 0.90 | 0.25 | 1.11 | 0.81 | 0.27 |
| Fatigue | D4 | 0.54 | 0.72 | 0.44 | 0.86 | 0.81 | 0.38 | 0.74 | 0.64 | 0.29 |
| Appetite changes | D5 | 0.39 | 0.75 | 0.31 | 0.45 | 0.66 | 0.28 | 0.61 | 0.69 | 0.28 |
| Feeling of worthlessness | D6 | 0.15 | 0.44 | 0.52 | 0.42 | 0.63 | 0.39 | 0.39 | 0.53 | 0.28 |
| Concentration difficulties | D7 | 0.29 | 0.61 | 0.36 | 0.61 | 0.71 | 0.23 | 0.42 | 0.56 | 0.21 |
| Psychomotor agitation/retardation | D8 | 0.21 | 0.50 | 0.37 | 0.62 | 0.66 | 0.31 | 0.52 | 0.59 | 0.31 |
| Thoughts of death | D9 | 0.06 | 0.31 | 0.46 | 0.24 | 0.57 | 0.34 | 0.18 | 0.43 | 0.21 |
Disclaimer/Publisher’s Note: The statements, opinions and data contained in all publications are solely those of the individual author(s) and contributor(s) and not of MDPI and/or the editor(s). MDPI and/or the editor(s) disclaim responsibility for any injury to people or property resulting from any ideas, methods, instructions or products referred to in the content. |
© 2024 by the authors. Licensee MDPI, Basel, Switzerland. This article is an open access article distributed under the terms and conditions of the Creative Commons Attribution (CC BY) license (https://creativecommons.org/licenses/by/4.0/).
Share and Cite
Zhang, C.; Zhao, Y.; Wei, L.; Tang, Q.; Deng, R.; Yan, S.; Yao, J. Depression and Anxiety among Migrant Older Adults during the COVID-19 Pandemic in China: Network Analysis of Continuous Cross-Sectional Data. Healthcare 2024, 12, 1802. https://doi.org/10.3390/healthcare12181802
Zhang C, Zhao Y, Wei L, Tang Q, Deng R, Yan S, Yao J. Depression and Anxiety among Migrant Older Adults during the COVID-19 Pandemic in China: Network Analysis of Continuous Cross-Sectional Data. Healthcare. 2024; 12(18):1802. https://doi.org/10.3390/healthcare12181802
Chicago/Turabian StyleZhang, Chi, Yuefan Zhao, Lei Wei, Qian Tang, Ruyue Deng, Shiyuan Yan, and Jun Yao. 2024. "Depression and Anxiety among Migrant Older Adults during the COVID-19 Pandemic in China: Network Analysis of Continuous Cross-Sectional Data" Healthcare 12, no. 18: 1802. https://doi.org/10.3390/healthcare12181802
APA StyleZhang, C., Zhao, Y., Wei, L., Tang, Q., Deng, R., Yan, S., & Yao, J. (2024). Depression and Anxiety among Migrant Older Adults during the COVID-19 Pandemic in China: Network Analysis of Continuous Cross-Sectional Data. Healthcare, 12(18), 1802. https://doi.org/10.3390/healthcare12181802

