Nosocomial Coronavirus Disease 2019 during 2020–2021: Role of Architecture and Ventilation
Abstract
:1. Introduction
2. Study Design
2.1. Methods and Patients
2.2. Data Collection and Endpoints
2.3. Statistical Analysis
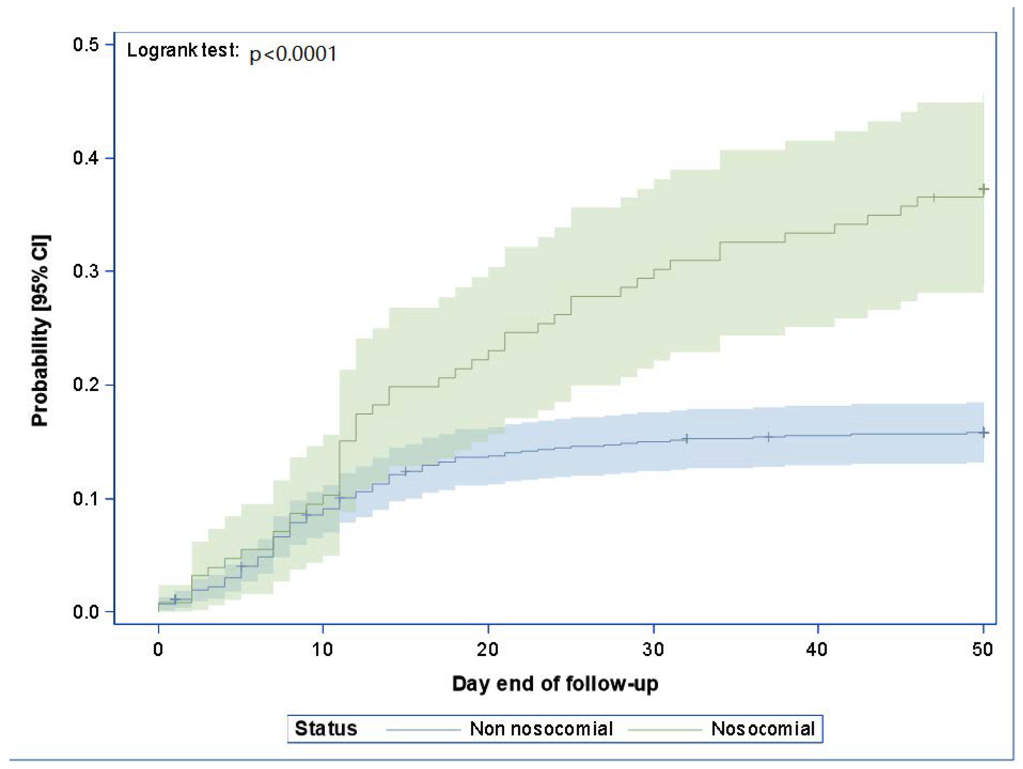
3. Results
4. Discussion
5. Conclusions
Author Contributions
Funding
Institutional Review Board Statement
Informed Consent Statement
Data Availability Statement
Acknowledgments
Conflicts of Interest
References
- Ponsford, M.J.; Ward, T.J.C.; Stoneham, S.M.; Dallimore, C.M.; Sham, D.; Osman, K.; Barry, S.M.; Jolles, S.; Humphreys, I.R.; Farewell, D. A Systematic Review and Meta-Analysis of Inpatient Mortality Associated With Nosocomial and Community COVID-19 Exposes the Vulnerability of Immunosuppressed Adults. Front. Immunol. 2021, 12, 744696. [Google Scholar] [CrossRef] [PubMed]
- Rickman, H.M.; Rampling, T.; Shaw, K.; Martinez-Garcia, G.; Hail, L.; Coen, P.; Shahmanesh, M.; Shin, G.Y.; Nastouli, E.; Houlihan, C.F. Nosocomial Transmission of Coronavirus Disease 2019: A Retrospective Study of 66 Hospital-acquired Cases in a London Teaching Hospital. Clin. Infect. Dis. 2021, 72, 690–693. [Google Scholar] [CrossRef] [PubMed]
- Knight, G.; Mui, T.; Stimson, J.; Funk, S.; Jafari, Y.; Pople, D.; Evans, S.; Yin, M.; Brown, C.S.; Bhattacharya, A.; et al. The contribution of hospital-acquired infections to the COVID-19 epidemic in England in the first half of 2020. Res. Sq. 2022, 22, 556. [Google Scholar] [CrossRef]
- Klompas, M.; Pandolfi, M.C.; Nisar, A.B.; Baker, M.A.; Rhee, C. Association of Omicron vs. Wild-type SARS-CoV-2 Variants with Hospital-Onset SARS-CoV-2 Infections in a US Regional Hospital System. JAMA 2022, 328, 296–298. [Google Scholar] [CrossRef] [PubMed]
- Boglione, L.; Corcione, S.; Shbaklo, N.; Lupia, T.; Scabini, S.; Mornese Pinna, S.; Borre, S.; De Rosa, F.G. Predictors of mortality in patients with COVID-19 infection in different health-care settings: A retrospective analysis from a CORACLE study group. Infect. Dis. Health 2023, 28, 3–9. [Google Scholar] [CrossRef] [PubMed]
- Martinot, M.; Schieber, A.; Ongagna, J.C.; Henric, A.; Eyriey, M.; Mohseni-Zadeh, M.; Ion, C.; Demesmay, K.; Gravier, S.; Kempf, C. Clinical features and outcomes in adults with COVID-19 during the pre-Omicron and Omicron waves. Infect. Dis. Now 2023, 54, 104833. [Google Scholar] [CrossRef] [PubMed]
- Centers-for-Diseases-Control-and-Prevention. Scientific Brief: SARS-CoV-2 Transmission. Available online: https://www.cdc.gov/coronavirus/2019-ncov/science/science-briefs/sars-cov-2-transmission.html (accessed on 21 October 2022).
- Rhee, C.; Baker, M.A.; Klompas, M. Prevention of SARS-CoV-2 and respiratory viral infections in healthcare settings: Current and emerging concepts. Curr. Opin. Infect. Dis. 2022, 35, 353–362. [Google Scholar] [CrossRef] [PubMed]
- Peng, Z.; Rojas, A.L.P.; Kropff, E.; Bahnfleth, W.; Buonanno, G.; Dancer, S.J.; Kurnitski, J.; Li, Y.; Loomans, M.; Marr, L.C.; et al. Practical Indicators for Risk of Airborne Transmission in Shared Indoor Environments and Their Application to COVID-19 Outbreaks. Environ. Sci. Technol. 2022, 56, 1125–1137. [Google Scholar] [CrossRef]
- Jimenez, J.L.; Marr, L.C.; Randall, K.; Ewing, E.T.; Tufekci, Z.; Greenhalgh, T.; Tellier, R.; Tang, J.W.; Li, Y.; Morawska, L.; et al. What were the historical reasons for the resistance to recognizing airborne transmission during the COVID-19 pandemic? Indoor Air 2022, 32, e13070. [Google Scholar] [CrossRef]
- Wang, C.C.; Prather, K.A.; Sznitman, J.; Jimenez, J.L.; Lakdawala, S.S.; Tufekci, Z.; Marr, L.C. Airborne transmission of respiratory viruses. Science 2021, 373, eabd9149. [Google Scholar] [CrossRef]
- Martinot, M. Standard precautions should include ‘safe ventilation’ to minimise far-afield airborne transmission in health and social care settings. Infect. Dis. Health 2023, 28, 135–137. [Google Scholar] [CrossRef] [PubMed]
- Grimalt, J.O.; Vilchez, H.; Fraile-Ribot, P.A.; Marco, E.; Campins, A.; Orfila, J.; van Drooge, B.L.; Fanjul, F. Spread of SARS-CoV-2 in hospital areas. Environ. Res. 2022, 204, 112074. [Google Scholar] [CrossRef] [PubMed]
- Yang, Y.F.; Lin, Y.J.; You, S.H.; Lu, T.H.; Chen, C.Y.; Wang, W.M.; Liao, C.M. Control measure implications of COVID-19 infection in healthcare facilities reconsidered from human physiological and engineering aspects. Environ. Sci. Pollut. Res. Int. 2023, 30, 36228–36243. [Google Scholar] [CrossRef] [PubMed]
- Zafari, Z.; de Oliveira, P.M.; Gkantonas, S.; Ezeh, C.; Muennig, P.A. The cost-effectiveness of standalone HEPA filtration units for the prevention of airborne SARS CoV-2 transmission. Cost Eff. Resour. Alloc. 2022, 20, 22. [Google Scholar] [CrossRef] [PubMed]
- Megahed, N.A.; Ghoneim, E.M. Indoor Air Quality: Rethinking rules of building design strategies in post-pandemic architecture. Environ. Res. 2021, 193, 110471. [Google Scholar] [CrossRef] [PubMed]
- McCallum, M.K.; Patriquin, G.; Davis, I.R.C.; MacDonald, T.; Gaston, D.; LeBlanc, J.J.; Shabi, Y.; Johnston, B.L. Factors contributing to a coronavirus disease 2019 (COVID-19) outbreak on a mixed medical-surgical unit in a Canadian acute-care hospital. Antimicrob. Steward. Healthc. Epidemiol. 2022, 2, e151. [Google Scholar] [CrossRef] [PubMed]
- Dinh, C.; Gallouche, M.; Terrisse, H.; Gam, K.; Giner, C.; Nemoz, B.; Larrat, S.; Giai, J.; Bosson, J.L.; Landelle, C. Risk factors for nosocomial COVID-19 in a French university hospital. Infect. Dis. Now 2023, 53, 104695. [Google Scholar] [CrossRef]
- Park, S.Y.; Yu, J.; Bae, S.; Song, J.S.; Lee, S.Y.; Kim, J.H.; Jeong, Y.S.; Oh, S.M.; Kim, T.H.; Lee, E. Ventilation strategies based on an aerodynamic analysis during a large-scale SARS-CoV-2 outbreak in an acute-care hospital. J. Clin. Virol. 2023, 165, 105502. [Google Scholar] [CrossRef]
- Tandjaoui-Lambiotte, Y.; Lomont, A.; Moenne-Locoz, P.; Seytre, D.; Zahar, J.R. Spread of viruses, which measures are the most apt to control COVID-19? Infect. Dis. Now 2023, 53, 104637. [Google Scholar] [CrossRef]
- Nazaroff, W.W. Indoor aerosol science aspects of SARS-CoV-2 transmission. Indoor Air 2022, 32, e12970. [Google Scholar] [CrossRef]
- Styczynski, A.; Hemlock, C.; Hoque, K.I.; Verma, R.; LeBoa, C.; Bhuiyan, M.O.F.; Nag, A.; Harun, M.G.D.; Amin, M.B.; Andrews, J.R. Assessing impact of ventilation on airborne transmission of SARS-CoV-2: A cross-sectional analysis of naturally ventilated healthcare settings in Bangladesh. BMJ Open 2022, 12, e055206. [Google Scholar] [CrossRef] [PubMed]
- Piscitelli, P.; Miani, A.; Setti, L.; De Gennaro, G.; Rodo, X.; Artinano, B.; Vara, E.; Rancan, L.; Arias, J.; Passarini, F.; et al. The role of outdoor and indoor air quality in the spread of SARS-CoV-2: Overview and recommendations by the research group on COVID-19 and particulate matter (RESCOP commission). Environ. Res. 2022, 211, 113038. [Google Scholar] [CrossRef] [PubMed]
- Jones, N.R.; Qureshi, Z.U.; Temple, R.J.; Larwood, J.P.J.; Greenhalgh, T.; Bourouiba, L. Two metres or one: What is the evidence for physical distancing in covid-19? BMJ 2020, 370, m3223. [Google Scholar] [CrossRef] [PubMed]
- Martinot, M.; Mohseni-Zadeh, M.; Marion, L.; Roncalez, D. COVID-19 vaccine: Missed opportunities and hospital vaccine implementation. Clin. Microbiol. Infect. 2022, 28, 1174–1175. [Google Scholar] [CrossRef]


| Hospital H | Number of Hospitalizations | Average Length of Stay (Days) |
|---|---|---|
| Senology and plastic general, vascular, urology, ophthalmology, odontology, ENL surgery, and hepatogastroenterology departments | 6524 | 3.1 |
| ICU (neurosurgery/orthopedic and traumatological) and pain center | 302 | 5.4 |
| Endocrinology cardiology Nephrology | 3038 | 6.2 |
| Gerontology | 449 | 12.9 |
| Radiology | 15 | 0.0 |
| Traumatological and orthopedic surgery, neurosurgery, and neurology | 5463 | 5.8 |
| Hematology, oncology, nuclear medicine | 988 | 6.4 |
| Dermatology, general medicine1, infectious diseases (including COVID units), pulmonology, internal medicine, general medicine 2, rheumatology | 4691 | 7.6 |
| Emergency department | 3568 | 0.8 |
| Total H hospital | 25,038 | 5.5 |
| Hospital M | ||
| Emergency department, Pediatrics and pediatric surgery, gynecology obstetrical, surgery | 7628 | 2.7 |
| ICU (surgical and medical including COVID-19) | 1052 | 6.8 |
| Total M hospital | 8680 | 4.7 |
| Total hospital H + M | 33,718 | 5.4 |
| Patients with Nosocomial COVID-19 (n = 150) | |
|---|---|
| Male patients | 85 (56.7%) |
| Female patients | 65 (43.3%) |
| Age (years) | 79 [69–85] |
| Death | 49 (32.7%) |
| Delay of acquisition | 12 d (7–19 days) |
| Single room (all hospital stay) | 73 (48.6%) |
| Double room | 77 (51.3%) |
| Secondary cases (double room) | 26 (17.3%) |
| Modern hospital | 1 (0.7%) |
| Hitorical hospital | 149 (99.3%) |
Disclaimer/Publisher’s Note: The statements, opinions and data contained in all publications are solely those of the individual author(s) and contributor(s) and not of MDPI and/or the editor(s). MDPI and/or the editor(s) disclaim responsibility for any injury to people or property resulting from any ideas, methods, instructions or products referred to in the content. |
© 2023 by the authors. Licensee MDPI, Basel, Switzerland. This article is an open access article distributed under the terms and conditions of the Creative Commons Attribution (CC BY) license (https://creativecommons.org/licenses/by/4.0/).
Share and Cite
Martinot, M.; Mohseni-Zadeh, M.; Gravier, S.; Ion, C.; Eyriey, M.; Beigue, S.; Coutan, C.; Ongagna, J.-C.; Henric, A.; Schieber, A.; et al. Nosocomial Coronavirus Disease 2019 during 2020–2021: Role of Architecture and Ventilation. Healthcare 2024, 12, 46. https://doi.org/10.3390/healthcare12010046
Martinot M, Mohseni-Zadeh M, Gravier S, Ion C, Eyriey M, Beigue S, Coutan C, Ongagna J-C, Henric A, Schieber A, et al. Nosocomial Coronavirus Disease 2019 during 2020–2021: Role of Architecture and Ventilation. Healthcare. 2024; 12(1):46. https://doi.org/10.3390/healthcare12010046
Chicago/Turabian StyleMartinot, Martin, Mahsa Mohseni-Zadeh, Simon Gravier, Ciprian Ion, Magali Eyriey, Severine Beigue, Christophe Coutan, Jean-Claude Ongagna, Anais Henric, Anne Schieber, and et al. 2024. "Nosocomial Coronavirus Disease 2019 during 2020–2021: Role of Architecture and Ventilation" Healthcare 12, no. 1: 46. https://doi.org/10.3390/healthcare12010046
APA StyleMartinot, M., Mohseni-Zadeh, M., Gravier, S., Ion, C., Eyriey, M., Beigue, S., Coutan, C., Ongagna, J.-C., Henric, A., Schieber, A., Jochault, L., & Kempf, C. (2024). Nosocomial Coronavirus Disease 2019 during 2020–2021: Role of Architecture and Ventilation. Healthcare, 12(1), 46. https://doi.org/10.3390/healthcare12010046

