Sexual Desire and Erotic Fantasies Questionnaire: Validation of the Erotic Fantasy Inventory Scale (SDEF3) in Italian Adults
Abstract
1. Introduction
1.1. The Current Study
1.2. Aims
2. Materials and Methods
3. Results
3.1. Testing the SDEF 20-Factor Structure
- F1. Physical Characteristics: Dimension collecting physical characteristics culturally attributed to being beautiful/handsome, attractive, and sexy, such as athletic/thin body, young age, etc.
- F2. Group sex: Dimension collecting different sexual scenarios having more than one sexual partner involved.
- F3. Romantic: Dimension gathering romantic scenarios and actions such as kissing, hugging, massage, and looking after/being looked after by a partner.
- F4. Vanilla Sex: Dimension collecting a range of common sexual practices such as petting, oral sex, masturbation, and vaginal sex.
- F5. Masochism: Dimension describing a range of torture, humiliating and painful practices received by the participant from other partners.
- F6. Sadism: Dimension gathering a range of torture, humiliating and painful practices performed by the participant on other partners.
- F7. Taboo: Dimension gathering taboo scenarios such as having sex with animals, children, corpses, and people with disabilities.
- F8. Anal Sex and Toys: Dimension collecting a range of activities involving anal play and sex toys.
- F9. Incestuous/Older people: Dimension collecting fantasies around family members, pregnant women, elderly people, and obese people.
- F10. Soft Fetish: Dimension describing a range of fetishes such as foot, hair, saliva, sweat and other parts of the body.
- F11. Risk of Being Caught: Dimension regarding open air scenarios or places in which is easy to be caught by others while having sex.
- F12. Past Experience: Dimension describing fantasies involving memories of past sexual experiences and former partners.
- F13. Seduction and Infidelity: Dimension regarding themes in which seduction and betrayal of a relationship are central in the erotic scene.
- F14. Exhibitionism and Voyeurism: Dimension that describes the activity of watching or being spied on while naked or engaging in sexual activity.
- F15. Bondage: Dimension describing a range of practices involving the action of tying/being tied up and blindfolded.
- F16. Sexual Abuse: Dimension regarding scenarios involving non-consensual sexual activities.
- F17. Sex work: Dimension gathering scenarios where sex is bought or sold, including playing in a porn movie.
- F18. Ejaculation Emission: Dimension collecting groups of fantasies in which the person ejaculates on the partner.
- F19. Receiving Ejaculation: Dimension collecting groups of fantasies in which the person receives the ejaculation of the partner.
- F20. Dirty Fetish: Dimension describing liquids fetishes such as urine, excrement, and vomit.
3.2. Testing the SDEF3 Six-Factor Structure
- F1. Physical and Contextual: A dimension that collects a series of physical characteristics inspired by common culturally widespread canons of beauty (e.g., athletic/thin body, tall, young age) and places or scenarios considered erotically stimulating and representative in mainstream pornography (e.g., outdoor sex, seduction, having sex at work).
- F2. BDSM: A dimension collecting different sexual scenarios that recall BDSM and bondage practices, sadomasochistic activities, fetishism, and similar.
- F3. Taboo: A dimension gathering taboo scenarios such as having sex with animals, children, relatives, corpses, and rape among others.
- F4. Bottom: A dimension collecting a range of common sexual practices in which the person plays the role of receiving the practice (bottom/passive) with a partner who plays a more leading/active role.
- F5. Top: A dimension collecting a range of common sexual practices in which the person plays the role of doing the practice (leader/active) with a partner who plays a more passive/bottom role of receiving it.
- F6. Romantic: A dimension gathering romantic scenarios and actions such as kissing, hugging, massage, and looking after/being looked after by a partner.
3.3. SDEF3 Six-Factor: Testing Validity Evidence Based on the Relationship with Other Variables
4. Discussion
5. Conclusions
Author Contributions
Funding
Institutional Review Board Statement
Informed Consent Statement
Data Availability Statement
Conflicts of Interest
Appendix A. SDEF–Sexual Desire and Erotic Fantasies Questionnaire–Part 3. Inventory of Erotic Fantasies
| N | Erotic Fantasy | Never | Rarely | Sometimes | Often | Always | Notes and Considerations |
|---|---|---|---|---|---|---|---|
| 1 | Being in a romantic scenario (candlelit dinner, sunset walk, etc.) | 0 | 1 | 2 | 3 | 4 | |
| 2 | Kissing a partner | 0 | 1 | 2 | 3 | 4 | |
| 3 | Caressing and hugging (cuddling) | 0 | 1 | 2 | 3 | 4 | |
| 4 | Receiving a massage | 0 | 1 | 2 | 3 | 4 | |
| 5 | Giving a massage | 0 | 1 | 2 | 3 | 4 | |
| 6 | Touching the breast/chest or stimulating the nipples | 0 | 1 | 2 | 3 | 4 | |
| 7 | Being masturbated by a partner | 0 | 1 | 2 | 3 | 4 | |
| 8 | Masturbating a partner | 0 | 1 | 2 | 3 | 4 | |
| 9 | Practicing oral sex (cunnilingus/fellatio/anilingus) | 0 | 1 | 2 | 3 | 4 | |
| 10 | Receiving oral sex (cunnilingus/fellatio/anilingus) | 0 | 1 | 2 | 3 | 4 | |
| 11 | Having vaginal intercourse with an insertive role (top/active; with penis or sex toys) | 0 | 1 | 2 | 3 | 4 | |
| 12 | Having vaginal intercourse with a receptive role (bottom/passive; with penis or sex toys) | 0 | 1 | 2 | 3 | 4 | |
| 13 | Practicing anal stimulation (fingers, sex toys, etc.) | 0 | 1 | 2 | 3 | 4 | |
| 14 | Receiving anal stimulation (fingers, sex toys, etc.) | 0 | 1 | 2 | 3 | 4 | |
| 15 | Having anal intercourse with an insertive role (top/active; with penis or sex toys) | 0 | 1 | 2 | 3 | 4 | |
| 16 | Having anal intercourse with a receptive role (bottom/passive; with penis or sex toys) | 0 | 1 | 2 | 3 | 4 | |
| 17 | Using sex toys or other common objects for sexual purposes | 0 | 1 | 2 | 3 | 4 | |
| 18 | Ejaculating on partner’s face and/or body | 0 | 1 | 2 | 3 | 4 | |
| 19 | Ejaculating inside the partner (vagina and/or anus) | 0 | 1 | 2 | 3 | 4 | |
| 20 | Ejaculating in partner’s mouth | 0 | 1 | 2 | 3 | 4 | |
| 21 | Receiving the partner’s ejaculation on the face and/or body | 0 | 1 | 2 | 3 | 4 | |
| 22 | Receiving the partner’s ejaculation in the vagina and/or anus | 0 | 1 | 2 | 3 | 4 | |
| 23 | Receiving the partner’s ejaculation in the mouth | 0 | 1 | 2 | 3 | 4 | |
| 24 | Squirting (expelling fluid from the female genitals during or before an orgasm) | 0 | 1 | 2 | 3 | 4 | |
| 25 | Looking after the partner (taking care) | 0 | 1 | 2 | 3 | 4 | |
| 26 | Letting yourself be looked after by the partner | 0 | 1 | 2 | 3 | 4 | |
| 27 | Seducing someone | 0 | 1 | 2 | 3 | 4 | |
| 28 | Being seduced by someone | 0 | 1 | 2 | 3 | 4 | |
| 29 | Cheating on your regular partner | 0 | 1 | 2 | 3 | 4 | |
| 30 | Having sexual activity on the phone | 0 | 1 | 2 | 3 | 4 | |
| 31 | Having virtual sexual activity (cams, chats, sex toys, etc.) | 0 | 1 | 2 | 3 | 4 | |
| 32 | Having sexual intercourse in a state of high disinhibition (including with the use of alcohol and/or drugs) | 0 | 1 | 2 | 3 | 4 | |
| 33 | Having sexual intercourse with an unconscious person (fainted or asleep) | 0 | 1 | 2 | 3 | 4 | |
| 34 | Having intercourse while unconscious (fainted or asleep) | 0 | 1 | 2 | 3 | 4 | |
| 35 | Sexually abusing someone (raping) | 0 | 1 | 2 | 3 | 4 | |
| 36 | Being sexually abused (being raped) | 0 | 1 | 2 | 3 | 4 | |
| 37 | Watching or spying on someone while she/he/they are naked | 0 | 1 | 2 | 3 | 4 | |
| 38 | Watching or spying on someone who is engaging in sexual activities | 0 | 1 | 2 | 3 | 4 | |
| 39 | Being watched or spied on while naked | 0 | 1 | 2 | 3 | 4 | |
| 40 | Being watched or spied on while engaging in sexual activities | 0 | 1 | 2 | 3 | 4 | |
| 41 | Rubbing an unaware person in a crowded place (subway, bus, concert, etc.) | 0 | 1 | 2 | 3 | 4 | |
| 42 | Making a porn video | 0 | 1 | 2 | 3 | 4 | |
| 43 | Paying for having sex | 0 | 1 | 2 | 3 | 4 | |
| 44 | Getting paid for having sex | 0 | 1 | 2 | 3 | 4 | |
| 45 | Engaging in sexual activities in a place where you risk getting caught | 0 | 1 | 2 | 3 | 4 | |
| 46 | Engaging in sexual activities in a public place (street, alley, municipal park, etc.) | 0 | 1 | 2 | 3 | 4 | |
| 47 | Engaging in sexual activities in a workplace (office, school, etc.) | 0 | 1 | 2 | 3 | 4 | |
| 48 | Engaging in sexual activities in a natural place (forest, beach, etc.) | 0 | 1 | 2 | 3 | 4 | |
| 49 | Remembering a past sexual experience | 0 | 1 | 2 | 3 | 4 | |
| 50 | Remembering a past experience that is not directly related to sexuality | 0 | 1 | 2 | 3 | 4 | |
| 51 | Remembering an erotic or pornographic scene from a movie, book, or comic | 0 | 1 | 2 | 3 | 4 | |
| 52 | Remembering a non-sexual scene from a movie, book, or comic | 0 | 1 | 2 | 3 | 4 | |
| 53 | Having sex with two people (threesome, ménage à trois) | 0 | 1 | 2 | 3 | 4 | |
| 54 | Having a sexual intercourse with a couple (whose members have a romantic relationship with each other) | 0 | 1 | 2 | 3 | 4 | |
| 55 | Having sex with twins | 0 | 1 | 2 | 3 | 4 | |
| 56 | Having sex with three or more people (orgy, group sex) | 0 | 1 | 2 | 3 | 4 | |
| 57 | Being the centre of attention in a group sex situation (gang bang/reverse gang bang) | 0 | 1 | 2 | 3 | 4 | |
| 58 | Having a sexual intercourse with your regular partner and another person | 0 | 1 | 2 | 3 | 4 | |
| 59 | Watching your regular partner having sex with another person/s | 0 | 1 | 2 | 3 | 4 | |
| 60 | Being watched by your regular partner while you are having sex with another person/s | 0 | 1 | 2 | 3 | 4 | |
| 61 | Blindfolding (depriving of sight) | 0 | 1 | 2 | 3 | 4 | |
| 62 | Being blindfolded (being blinded) | 0 | 1 | 2 | 3 | 4 | |
| 63 | Handcuffing, tying and/or gagging | 0 | 1 | 2 | 3 | 4 | |
| 64 | Being handcuffed, tied up and/or gagged | 0 | 1 | 2 | 3 | 4 | |
| 65 | Controlling the breath/suffocating the partner | ||||||
| 66 | Being choked/controlled in the breath by the partner | ||||||
| 67 | Hitting (spanking, slapping, whipping, etc.) | 0 | 1 | 2 | 3 | 4 | |
| 68 | Being hit (spanked, slapped, whipped, etc.) | 0 | 1 | 2 | 3 | 4 | |
| 69 | Inflicting painful practices and/or torturing | 0 | 1 | 2 | 3 | 4 | |
| 70 | Receiving painful practices and/or being tortured | 0 | 1 | 2 | 3 | 4 | |
| 71 | Dominating/mastering | 0 | 1 | 2 | 3 | 4 | |
| 72 | Being dominated/submissive | 0 | 1 | 2 | 3 | 4 | |
| 73 | Humiliating and/or insulting | 0 | 1 | 2 | 3 | 4 | |
| 74 | Being humiliated and/or insulted | 0 | 1 | 2 | 3 | 4 | |
| 75 | Use of specific materials or fabrics (leather, rubber, silk, fur, etc.) (specify which material in the notes) | 0 | 1 | 2 | 3 | 4 | |
| 76 | Saliva | 0 | 1 | 2 | 3 | 4 | |
| 77 | Sweat | 0 | 1 | 2 | 3 | 4 | |
| 78 | Urine | 0 | 1 | 2 | 3 | 4 | |
| 79 | Faeces | 0 | 1 | 2 | 3 | 4 | |
| 80 | Other bodily fluids (blood, vomit, mucus, flatulence, etc.) (specify which body fluid in the notes) | 0 | 1 | 2 | 3 | 4 | |
| 81 | Feet | 0 | 1 | 2 | 3 | 4 | |
| 82 | Hair | 0 | 1 | 2 | 3 | 4 | |
| 83 | Other body parts (specify which parts of the body in the notes) | 0 | 1 | 2 | 3 | 4 | |
| 84 | Having a different body from your own (specify in the notes) | 0 | 1 | 2 | 3 | 4 | |
| 85 | Engaging in sexual activity in the role of the opposite gender | 0 | 1 | 2 | 3 | 4 | |
| 86 | Engaging in sexual activity with a woman | 0 | 1 | 2 | 3 | 4 | |
| 87 | Engaging in sexual activity with a man | 0 | 1 | 2 | 3 | 4 | |
| 88 | Having sex with a transgender or transsexual person | 0 | 1 | 2 | 3 | 4 | |
| 89 | Engaging in sexual activity with your regular partner | 0 | 1 | 2 | 3 | 4 | |
| 90 | Engaging in sexual activity with a former partner (ex-partner) | 0 | 1 | 2 | 3 | 4 | |
| 91 | Engaging in sexual activity with a known person (friend, colleague, etc.) | 0 | 1 | 2 | 3 | 4 | |
| 92 | Engaging in sexual activity with a relative or another family member | 0 | 1 | 2 | 3 | 4 | |
| 93 | Engaging in sexual activity with an unknown person | 0 | 1 | 2 | 3 | 4 | |
| 94 | Engaging in sexual activity with a real celebrity (existing VIP) (specify which one in the notes) | 0 | 1 | 2 | 3 | 4 | |
| 95 | Engaging in sexual activity with a fictional character (film, cartoon, video game, etc.) (specify which one in the notes) | 0 | 1 | 2 | 3 | 4 | |
| 96 | Engaging in sexual activity with a person with one or more very large organs (penis, breasts, etc.) (specify which part of the body in the notes) | 0 | 1 | 2 | 3 | 4 | |
| 97 | Engaging in sexual activity with a person with one or more very small organs (penis, breasts, etc.) (specify which part of the body in the notes) | 0 | 1 | 2 | 3 | 4 | |
| 98 | Engaging in sexual activity with a pregnant woman | 0 | 1 | 2 | 3 | 4 | |
| 99 | Engaging in sexual activity with a very thin person | 0 | 1 | 2 | 3 | 4 | |
| 100 | Engaging in sexual activity with an overweight or obese person | 0 | 1 | 2 | 3 | 4 | |
| 101 | Engaging in sexual activity with a very tall person | 0 | 1 | 2 | 3 | 4 | |
| 102 | Engaging in sexual activity with a very short person | 0 | 1 | 2 | 3 | 4 | |
| 103 | Engaging in sexual activity with a very athletic/muscular person | 0 | 1 | 2 | 3 | 4 | |
| 104 | Engaging in sexual activity with a very hairy person | 0 | 1 | 2 | 3 | 4 | |
| 105 | Engaging in sexual activity with a shaved or hairless person | 0 | 1 | 2 | 3 | 4 | |
| 106 | Engaging in sexual activity with a person with many piercings and/or tattoos | 0 | 1 | 2 | 3 | 4 | |
| 107 | Engaging in sexual activity with a person of an ethnicity other than your own (Asian, Black, Caucasian, etc.) | 0 | 1 | 2 | 3 | 4 | |
| 108 | Engaging in sexual activity with a professional figure (doctor, military, businessman/businesswoman, etc.) (specify which in the notes) | 0 | 1 | 2 | 3 | 4 | |
| 109 | Engaging in sexual activity with a person wearing sexy clothes or lingerie | 0 | 1 | 2 | 3 | 4 | |
| 110 | Engaging in sexual activity with a person wearing sportswear (tracksuit, leggings, shorts, tank tops, sneakers etc.) | 0 | 1 | 2 | 3 | 4 | |
| 111 | Engaging in sexual activity with a much older person (MILF/DILF, etc.) | 0 | 1 | 2 | 3 | 4 | |
| 112 | Engaging in sexual activity with a much younger person (adult) | 0 | 1 | 2 | 3 | 4 | |
| 113 | Engaging in sexual activity with an elderly person | 0 | 1 | 2 | 3 | 4 | |
| 114 | Engaging in sexual activity with a teenager/adolescent | 0 | 1 | 2 | 3 | 4 | |
| 115 | Engaging in sexual activity with a child or pre-adolescent | 0 | 1 | 2 | 3 | 4 | |
| 116 | Engaging in sexual activity with a “virgin” person (who has never had sexual intercourse) | 0 | 1 | 2 | 3 | 4 | |
| 117 | Engaging in sexual activity with a person with physical disability (blind, paraplegic, amputee, etc.) (specify which in the notes) | 0 | 1 | 2 | 3 | 4 | |
| 118 | Engaging in sexual activity with a person with mental disability (mental retardation, etc.) (specify which in the notes) | 0 | 1 | 2 | 3 | 4 | |
| 119 | Engaging in sexual activity with an animal (specify which in the notes) | 0 | 1 | 2 | 3 | 4 | |
| 120 | Engaging in sexual activity with a corpse | 0 | 1 | 2 | 3 | 4 |
| N | Erotic Fantasy | Never | Rarely | Sometimes | Often | Always | Notes and Considerations | |
|---|---|---|---|---|---|---|---|---|
| 121 | 0 | 1 | 2 | 3 | 4 | |||
| 122 | 0 | 1 | 2 | 3 | 4 | |||
| 123 | 0 | 1 | 2 | 3 | 4 |
| Factor | 6-Factor Solution Scoring |
|---|---|
| SDEF3–F1. Physical and Contextual | Mean score of items 27, 28, 45, 46, 47, 48, 53, 90, 91, 94, 96, 101, 103, 105, 106, 107, 108, 110, 111 |
| SDEF3–F2. BDSM | Mean score of items 61, 62, 63, 64, 65, 66, 67, 68, 69, 70, 71, 72, 73 |
| SDEF3–F3. Taboo | Mean score of items 33, 34, 35, 92, 98, 100, 113, 115, 117, 118, 119, 120 |
| SDEF3–F4. Bottom | Mean score of items 9, 12, 14, 16, 21, 22, 23, 36 |
| SDEF3–F5. Top | Mean score of items 10, 11, 13, 15, 18, 19, 20 |
| SDEF3–F6. Romantic | Mean score of items 1, 2, 3, 4, 5, 25, 26 |
Appendix B. Principal Component Analysis Matrix (n = 887)–SDEF3 20-Factor Solution Extracted from 97 Items of the 120-Pilot Tested Version
| Item | Factors Extracted | |||||||||||||||||||
| F1 | F2 | F3 | F4 | F5 | F6 | F7 | F8 | F9 | F10 | F11 | F12 | F13 | F14 | F15 | F16 | F17 | F18 | F19 | F20 | |
| F1. Physical Characteristics | ||||||||||||||||||||
| SDEF3_105 | 0.654 | |||||||||||||||||||
| SDEF3_110 | 0.611 | |||||||||||||||||||
| SDEF3_101 | 0.610 | |||||||||||||||||||
| SDEF3_107 | 0.605 | |||||||||||||||||||
| SDEF3_103 | 0.574 | |||||||||||||||||||
| SDEF3_102 | 0.570 | |||||||||||||||||||
| SDEF3_106 | 0.561 | |||||||||||||||||||
| SDEF3_099 | 0.518 | |||||||||||||||||||
| SDEF3_112 | 0.492 | |||||||||||||||||||
| SDEF3_096 | 0.487 | |||||||||||||||||||
| F2. Group sex | ||||||||||||||||||||
| SDEF3_060 | 0.747 | |||||||||||||||||||
| SDEF3_059 | 0.740 | |||||||||||||||||||
| SDEF3_058 | 0.736 | |||||||||||||||||||
| SDEF3_054 | 0.682 | |||||||||||||||||||
| SDEF3_056 | 0.658 | |||||||||||||||||||
| SDEF3_053 | 0.640 | |||||||||||||||||||
| SDEF3_057 | 0.614 | |||||||||||||||||||
| F3. Romantic | ||||||||||||||||||||
| SDEF3_026 | 0.777 | |||||||||||||||||||
| SDEF3_025 | 0.773 | |||||||||||||||||||
| SDEF3_003 | 0.766 | |||||||||||||||||||
| SDEF3_001 | 0.694 | |||||||||||||||||||
| SDEF3_002 | 0.658 | |||||||||||||||||||
| SDEF3_004 | 0.502 | |||||||||||||||||||
| SDEF3_005 | 0.470 | |||||||||||||||||||
| F4. Vanilla Sex | ||||||||||||||||||||
| SDEF3_007 | 0.823 | |||||||||||||||||||
| SDEF3_008 | 0.794 | |||||||||||||||||||
| SDEF3_010 | 0.725 | |||||||||||||||||||
| SDEF3_009 | 0.702 | |||||||||||||||||||
| SDEF3_006 | 0.630 | |||||||||||||||||||
| SDEF3_011 | 0.458 | |||||||||||||||||||
| SDEF3_012 | 0.436 | |||||||||||||||||||
| F5. Masochism | ||||||||||||||||||||
| SDEF3_070 | 0.779 | |||||||||||||||||||
| SDEF3_066 | 0.707 | |||||||||||||||||||
| SDEF3_074 | 0.703 | |||||||||||||||||||
| SDEF3_072 | 0.640 | |||||||||||||||||||
| SDEF3_068 | 0.616 | |||||||||||||||||||
| SDEF3_036 | 0.490 | |||||||||||||||||||
| F6. Sadism | ||||||||||||||||||||
| SDEF3_073 | 0.623 | |||||||||||||||||||
| SDEF3_069 | 0.526 | |||||||||||||||||||
| SDEF3_071 | 0.460 | |||||||||||||||||||
| SDEF3_065 | 0.371 | |||||||||||||||||||
| SDEF3_067 | 0.367 | |||||||||||||||||||
| F7. Taboo | ||||||||||||||||||||
| SDEF3_120 | 0.789 | |||||||||||||||||||
| SDEF3_118 | 0.755 | |||||||||||||||||||
| SDEF3_115 | 0.704 | |||||||||||||||||||
| SDEF3_117 | 0.611 | |||||||||||||||||||
| SDEF3_119 | 0.568 | |||||||||||||||||||
| F8. Anal Sex and Toys | ||||||||||||||||||||
| SDEF3_014 | 0.736 | |||||||||||||||||||
| SDEF3_016 | 0.713 | |||||||||||||||||||
| SDEF3_013 | 0.599 | |||||||||||||||||||
| SDEF3_015 | 0.574 | |||||||||||||||||||
| SDEF3_017 | 0.462 | |||||||||||||||||||
| F9. Incestuous/Older people | ||||||||||||||||||||
| SDEF3_113 | 0.718 | |||||||||||||||||||
| SDEF3_100 | 0.599 | |||||||||||||||||||
| SDEF3_092 | 0.481 | |||||||||||||||||||
| SDEF3_111 | 0.437 | |||||||||||||||||||
| SDEF3_098 | 0.35 | |||||||||||||||||||
| F10. Soft Fetish | ||||||||||||||||||||
| SDEF3_082 | 0.698 | |||||||||||||||||||
| SDEF3_077 | 0.564 | |||||||||||||||||||
| SDEF3_083 | 0.507 | |||||||||||||||||||
| SDEF3_076 | 0.482 | |||||||||||||||||||
| SDEF3_081 | 0.444 | |||||||||||||||||||
| F11. Risk of Being Caught | ||||||||||||||||||||
| SDEF3_046 | 0.818 | |||||||||||||||||||
| SDEF3_045 | 0.814 | |||||||||||||||||||
| SDEF3_047 | 0.726 | |||||||||||||||||||
| SDEF3_048 | 0.725 | |||||||||||||||||||
| F12. Past Experience | ||||||||||||||||||||
| SDEF3_050 | 0.758 | |||||||||||||||||||
| SDEF3_049 | 0.704 | |||||||||||||||||||
| SDEF3_090 | 0.568 | |||||||||||||||||||
| SDEF3_052 | 0.489 | |||||||||||||||||||
| F13. Seduction and Infidelity | ||||||||||||||||||||
| SDEF3_027 | 0.757 | |||||||||||||||||||
| SDEF3_028 | 0.746 | |||||||||||||||||||
| SDEF3_029 | 0.549 | |||||||||||||||||||
| SDEF3_091 | 0.457 | |||||||||||||||||||
| F14. Exhibitionism and Voyeurism | ||||||||||||||||||||
| SDEF3_039 | 0.717 | |||||||||||||||||||
| SDEF3_038 | 0.686 | |||||||||||||||||||
| SDEF3_040 | 0.657 | |||||||||||||||||||
| SDEF3_037 | 0.613 | |||||||||||||||||||
| F15. Bondage | ||||||||||||||||||||
| SDEF3_061 | 0.839 | |||||||||||||||||||
| SDEF3_063 | 0.810 | |||||||||||||||||||
| SDEF3_062 | 0.736 | |||||||||||||||||||
| SDEF3_064 | 0.658 | |||||||||||||||||||
| F16. Sexual Abuse | ||||||||||||||||||||
| SDEF3_033 | 0.669 | |||||||||||||||||||
| SDEF3_035 | 0.627 | |||||||||||||||||||
| SDEF3_034 | 0.598 | |||||||||||||||||||
| F17. Sex work | ||||||||||||||||||||
| SDEF3_044 | 0.435 | |||||||||||||||||||
| SDEF3_042 | 0.390 | |||||||||||||||||||
| SDEF3_043 | 0.323 | |||||||||||||||||||
| F18. Ejaculation Emission | ||||||||||||||||||||
| SDEF3_020 | 0.792 | |||||||||||||||||||
| SDEF3_018 | 0.754 | |||||||||||||||||||
| SDEF3_019 | 0.751 | |||||||||||||||||||
| F19. Receiving Ejaculation | ||||||||||||||||||||
| SDEF3_023 | 0.812 | |||||||||||||||||||
| SDEF3_021 | 0.777 | |||||||||||||||||||
| SDEF3_022 | 0.749 | |||||||||||||||||||
| F20. Dirty Fetish | ||||||||||||||||||||
| SDEF3_079 | 0.779 | |||||||||||||||||||
| SDEF3_080 | 0.599 | |||||||||||||||||||
| SDEF3_078 | 0.523 | |||||||||||||||||||
Appendix C
| Item | Factors Extracted | |||||
|---|---|---|---|---|---|---|
| F1. Physical and Contextual | F2. BDSM | F3. Taboo | F4. Bottom | F5. Top | F6. Romantic | |
| SDEF3_091 | 0.685 | |||||
| SDEF3_108 | 0.647 | |||||
| SDEF3_107 | 0.587 | |||||
| SDEF3_110 | 0.569 | |||||
| SDEF3_103 | 0.558 | |||||
| SDEF3_111 | 0.550 | |||||
| SDEF3_027 | 0.534 | |||||
| SDEF3_096 | 0.533 | |||||
| SDEF3_028 | 0.532 | |||||
| SDEF3_047 | 0.511 | |||||
| SDEF3_094 | 0.503 | |||||
| SDEF3_106 | 0.501 | |||||
| SDEF3_101 | 0.499 | |||||
| SDEF3_090 | 0.471 | |||||
| SDEF3_046 | 0.455 | |||||
| SDEF3_045 | 0.449 | |||||
| SDEF3_048 | 0.444 | |||||
| SDEF3_105 | 0.442 | |||||
| SDEF3_053 | 0.411 | |||||
| SDEF3_063 | 0.786 | |||||
| SDEF3_061 | 0.725 | |||||
| SDEF3_064 | 0.696 | |||||
| SDEF3_062 | 0.673 | |||||
| SDEF3_065 | 0.654 | |||||
| SDEF3_067 | 0.622 | |||||
| SDEF3_071 | 0.613 | |||||
| SDEF3_066 | 0.573 | |||||
| SDEF3_069 | 0.560 | |||||
| SDEF3_068 | 0.541 | |||||
| SDEF3_072 | 0.486 | |||||
| SDEF3_070 | 0.443 | |||||
| SDEF3_073 | 0.434 | |||||
| SDEF3_118 | 0.725 | |||||
| SDEF3_120 | 0.711 | |||||
| SDEF3_115 | 0.656 | |||||
| SDEF3_119 | 0.609 | |||||
| SDEF3_117 | 0.581 | |||||
| SDEF3_035 | 0.556 | |||||
| SDEF3_033 | 0.540 | |||||
| SDEF3_113 | 0.499 | |||||
| SDEF3_034 | 0.469 | |||||
| SDEF3_092 | 0.452 | |||||
| SDEF3_100 | 0.443 | |||||
| SDEF3_098 | 0.441 | |||||
| SDEF3_016 | 0.798 | |||||
| SDEF3_023 | 0.775 | |||||
| SDEF3_022 | 0.761 | |||||
| SDEF3_014 | 0.752 | |||||
| SDEF3_021 | 0.740 | |||||
| SDEF3_012 | 0.449 | |||||
| SDEF3_036 | 0.408 | |||||
| SDEF3_009 | 0.400 | |||||
| SDEF3_020 | 0.793 | |||||
| SDEF3_019 | 0.767 | |||||
| SDEF3_015 | 0.762 | |||||
| SDEF3_018 | 0.761 | |||||
| SDEF3_013 | 0.738 | |||||
| SDEF3_011 | 0.456 | |||||
| SDEF3_010 | 0.405 | |||||
| SDEF3_003 | 0.812 | |||||
| SDEF3_002 | 0.746 | |||||
| SDEF3_001 | 0.713 | |||||
| SDEF3_025 | 0.690 | |||||
| SDEF3_026 | 0.690 | |||||
| SDEF3_004 | 0.611 | |||||
| SDEF3_005 | 0.599 | |||||
References
- Leitenberg, H.; Henning, K. Sexual fantasy. Psychol. Bull. 1995, 117, 469–496. [Google Scholar] [CrossRef]
- Klinger, E. Daydreaming and fantasizing: Thought flow and motivation. In Handbook of Imagination and Mental Simulation; Psychology Press: Hove, UK, 2008; pp. 225–239. [Google Scholar]
- Ellis, B.J.; Symons, D. Sex differences in sexual fantasy: An evolutionary psychological approach. J. Sex Res. 1990, 27, 527–555. [Google Scholar] [CrossRef]
- Bartels, R.M.; Harkins, L.; Harrison, S.C.; Beard, N.; Beech, A.R. The effect of bilateral eye-movements versus no eye-movements on sexual fantasies. J. Behav. Ther. Exp. Psychiatry 2018, 59, 107–114. [Google Scholar] [CrossRef] [PubMed]
- Sue, D. Erotic fantasies of college students during coitus. J. Sex Res. 1979, 15, 299–305. [Google Scholar] [CrossRef]
- Kahr, B. Sex and the Psyche: Revealing the True Nature of Our Secret Fantasies from the Largest Ever Survey of Its Kind; Allen Lane: London, UK, 2007. [Google Scholar]
- Joyal, C.C.; Cossette, A.; Lapierre, V. What Exactly Is Unusual Sex. Fantasy? J. Sex. Med. 2015, 12, 328–340. [Google Scholar] [CrossRef] [PubMed]
- Lehmiller, J.J. Tell Me What You Want: The Science of Sexual Desire and How It Can Help You Improve Your Sex Life; Hachette UK: London, UK, 2018. [Google Scholar]
- Nimbi, F.M.; Ciocca, G.; Limoncin, E.; Fontanesi, L.; Uysal, Ü.B.; Flinchum, M.; Tambelli, R.; Jannini, E.A.; Simonelli, C. Sexual desire and fantasies in the LGBT+ Community: A focus on bisexuals, transgender, and other shades of the rainbow. Curr. Sex. Health Rep. 2020, 12, 162–169. [Google Scholar] [CrossRef]
- Nimbi, F.M.; Ciocca, G.; Limoncin, E.; Fontanesi, L.; Uysal, Ü.B.; Flinchum, M.; Tambelli, R.; Jannini, E.A.; Simonelli, C. Sexual desire and fantasies in the LGBT+ community: Focus on lesbian women and gay men. Curr. Sex. Health Rep. 2020, 12, 153–161. [Google Scholar] [CrossRef]
- Purifoy, F.E.; Grodsky, A.; Giambra, L.M. The relationship of sexual daydreaming to sexual activity, sexual drive, and sexual attitudes for women across the life-span. Arch. Sex. Behav. 1992, 21, 369–385. [Google Scholar] [CrossRef]
- Newbury, R.; Hayter, M.; Wylie, K.R.; Riddell, J. Sexual fantasy as a clinical intervention. Sex. Relatsh. Ther. 2012, 27, 358–371. [Google Scholar] [CrossRef]
- Ziegler, A.; Conley, T.D. The importance and meaning of sexual fantasies in intimate relationships. In The Psychology of Love and Hate in Intimate Relationships; Springer: Cham, Switzerland, 2016; pp. 29–45. [Google Scholar]
- Birnbaum, G.E.; Kanat-Maymon, Y.; Mizrahi, M.; Recanati, M.; Orr, R. What fantasies can do to your relationship: The effects of sexual fantasies on couple interactions. Personal. Soc. Psychol. Bull. 2019, 45, 461–476. [Google Scholar] [CrossRef] [PubMed]
- Maniglio, R. The role of deviant sexual fantasy in the etiopathogenesis of sexual homicide: A systematic review. Aggress. Violent Behav. 2010, 15, 294–302. [Google Scholar] [CrossRef]
- Williams, K.M.; Cooper, B.S.; Howell, T.M.; Yuille, J.C.; Paulhus, D.L. Inferring sexually deviant behavior from corresponding fantasies: The role of personality and pornography consumption. Crim. Justice Behav. 2009, 36, 198–222. [Google Scholar] [CrossRef]
- Joyal, C.C. Controversies in the Definition of Paraphilia. J. Sex. Med. 2018, 15, 1378–1380. [Google Scholar] [CrossRef] [PubMed]
- Yakeley, J.; Wood, H. Paraphilias and paraphilic disorders: Diagnosis, assessment and management. Adv. Psychiatr. Treat. 2014, 20, 202–213. [Google Scholar] [CrossRef]
- Joyal, C.C.; Carpentier, J. Concordance and discordance between paraphilic interests and behaviors: A follow-up study. J. Sex Res. 2022, 59, 385–390. [Google Scholar] [CrossRef] [PubMed]
- Dawson, S.J.; Suschinsky, K.D.; Lalumiere, M.L. Sexual fantasies and viewing times across the menstrual cycle: A diary study. Arch. Sex. Behav. 2012, 41, 173–183. [Google Scholar] [CrossRef] [PubMed]
- Moyano, N.; Sierra, J.C. Positive and negative sexual cognitions: Similarities and differences between men and women from southern Spain. Sex. Relatsh. Ther. 2014, 29, 454–466. [Google Scholar] [CrossRef]
- Nese, M.; Riboli, G.; Brighetti, G.; Visciano, R.; Giunti, D.; Borlimi, R. Sexual Fantasies across Gender and Sexual Orientation in Young Adults: A Multiple Correspondence Analysis. Sexes 2021, 2, 523–533. [Google Scholar] [CrossRef]
- Hariton, E.B.; Singer, J.L. Women’s fantasies during sexual intercourse: Normative and theoretical implications. J. Consult. Clin. Psychol. 1974, 42, 313–322. [Google Scholar] [CrossRef]
- Arndt, W.B.; Foehl, J.C.; Good, F.E. Specific sexual fantasy themes: A multidimensional study. J. Personal. Soc. Psychol. 1985, 48, 472–480. [Google Scholar] [CrossRef]
- Wilson, G.D. Measurement of sex fantasy. Sex. Marital Ther. 1988, 3, 45–55. [Google Scholar] [CrossRef]
- Wilson, G.D. The sex fantasy questionnaire: An update. Sex. Relatsh. Ther. 2010, 25, 68–72. [Google Scholar] [CrossRef]
- O’Donohue, W.; Letourneau, E.J.; Dowling, H. Development and preliminary validation of a paraphilic sexual fantasy questionnaire. Sex. Abus. A J. Res. Treat. 1997, 9, 167–178. [Google Scholar] [CrossRef]
- Bogaert, A.F.; Visser, B.A.; Pozzebon, J.A. Gender differences in object of desire self-consciousness sexual fantasies. Arch. Sex. Behav. 2015, 44, 2299–2310. [Google Scholar] [CrossRef]
- Panzeri, M.; Fontanesi, L.; Gardin, E. L’Erotic Imagery Questionnaire (EIQ). Una prima valutazione psicometrica. Riv. Di Sessuol. Clin. 2015, 39, 112–127. [Google Scholar]
- Dyer, T.J.; Olver, M.E.; Hitikasch, M.; Merdian, H.L.; Hogue, T.; Perley-Robertson, B.; Ralph, N. Self-reported psychopathy and its association with deviant sexual fantasy and sexual compulsivity in a nonclinical sample. Sex. Offender Treat. 2016, 11, 1–18. [Google Scholar]
- Allen, A.; Millear, P.; McKillop, N.; Katsikitis, M. Sexual fantasies and harmful sexual interests: Exploring differences in sexual memory intensity and sexual fantasy characteristics. Int. J. Offender Ther. Comp. Criminol. 2022, 1–26. [Google Scholar] [CrossRef]
- Seifert, K.; Boulas, J.; Huss, M.T.; Scalora, M.J. Response bias on self-report measures of sexual fantasies among sexual offenders. Int. J. Offender Ther. Comp. Criminol. 2017, 61, 269–281. [Google Scholar] [CrossRef]
- Brown, A.; Barker, E.D.; Rahman, Q. Development and psychometric validation of the Sexual Fantasies and Behaviors Inventory. Psychol. Assess. 2022, 34, 217. [Google Scholar] [CrossRef]
- Tortora, C.; D’Urso, G.; Nimbi, F.M.; Pace, U.; Marchetti, D.; Fontanesi, L. Sexual fantasies and stereotypical gender roles: The influence of sexual orientation, gender and social pressure in a sample of Italian young-adults. Front. Psychol. 2020, 10, 2864. [Google Scholar] [CrossRef]
- Cartagena-Ramos, D.; Fuentealba-Torres, M.; Rebustini, F.; Leite AC, A.B.; Alvarenga WD, A.; Arcencio, R.A.; Spadoti Dantas, R.A.; Nascimento, L.C. Systematic review of the psychometric properties of instruments to measure sexual desire. BMC Med. Res. Methodol. 2018, 18, 109. [Google Scholar] [CrossRef] [PubMed]
- Nimbi, F.M.; Galizia, R.; Ciocca, G.; Bratina Zimic, A.; Jannini, E.A.; Simonelli, C.; Tambelli, R. Sexual Desire and Erotic Fantasies questionnaire: Development and validation of the Sexual Desire scale (SDEF1). Sexual and Relationship Therapy, Under review.
- Nimbi, F.M.; Galizia, R.; Limoncin, E.; Levi, T.; Jannini, E.A.; Simonelli, C.; Tambelli, R. Sexual Desire and Erotic Fantasies questionnaire: Development and validation of the Erotic Fantasy Use scale (SDEF2) on experience, attitudes and sharing issues. Healthcare, Under review.
- American Psychiatric Association. Diagnostic and Statistical Manual of Mental Disorders, 5th ed.; American Psychiatric Association: Washington, DC, USA, 2013. [Google Scholar] [CrossRef]
- World Health Organization. International Statistical Classification of Diseases and Related Health Problems, 11th ed.; World Health Organization: Geneva, Switzerland, 2019; Available online: https://icd.who.int/ (accessed on 11 January 2023).
- Nimbi, F.M.; Galizia, R.; Rossi, R.; Limoncin, E.; Ciocca, G.; Fontanesi, L.; Jannini, E.A.; Simonelli, C.; Tambelli, R. The Biopsychosocial model and the Sex-Positive approach: An integrative perspective for sexology and general health care. Sex. Res. Soc. Policy 2022, 19, 894–908. [Google Scholar] [CrossRef]
- Rowland, D.L.; Uribe, D. Pornography us. In Cultural Differences and the Practice of Sexual Medicine; Springer: Cham, Switzerland, 2020; pp. 317–334. [Google Scholar]
- Pornhub Insights. Available online: www.pornhub.com/insights/ (accessed on 21 April 2022).
- Spector, I.P.; Carey, M.P.; Steinberg, L. The Sexual Desire Inventory: Development, factor structure, and evidence of reliability. J. Sex Marital Ther. 1996, 22, 175–190. [Google Scholar] [CrossRef] [PubMed]
- Callea, A.; Rossi, G. Italian validation of the sexual desire inventory (SDI-2): Psychometric properties and factorial structure. Clin. Neuropsychiatry 2021, 18, 223–230. [Google Scholar]
- Rosen, R.C.; Riley, A.; Wagner, G.; Osterloh, I.H.; Kirkpatrick, J.; Mishra, A. The international index of erectile function (IIEF): A multidimensional scale for assessment of erectile dysfunction. Urology 1997, 49, 822–830. [Google Scholar] [CrossRef]
- Rosen, C.; Brown, J.; Heiman, S.; Leiblum, C.; Meston, R.; Shabsigh, D.; Ferguson, R.; D’Agostino, R. The Female Sexual Function Index (FSFI): A multidimensional self-report instrument for the assessment of female sexual function. J. Sex Marital Ther. 2000, 26, 191–208. [Google Scholar] [CrossRef]
- Filocamo, M.T.; Serati, M.; Li Marzi, V.; Costantini, E.; Milanesi, M.; Pietropaolo, A.; Polledro, P.; Gentile, B.; Maruccia, S.; Fornia, S.; et al. The Female Sexual Function Index (FSFI): Linguistic Validation of the Italian Version. J. Sex. Med. 2014, 11, 447–453. [Google Scholar] [CrossRef]
- Fischer, D.G.; Fick, C. Measuring social desirability: Short forms of the Marlowe-Crowne social desirability scale. Educ. Psychol. Meas. 1993, 53, 417–424. [Google Scholar] [CrossRef]
- Watkins, M.W. Determining parallel analysis criteria. J. Mod. Appl. Stat. Methods 2006, 5, 344–346. [Google Scholar] [CrossRef]
- Nimbi, F.M.; Tripodi, F.; Rossi, R.; Simonelli, C. Testing a conceptual model for men’s sexual desire referring to automatic thoughts, emotions, sexual function, and sexism. J. Sex. Med. 2018, 15, 1518–1526. [Google Scholar] [CrossRef]
- Nimbi, F.M.; Tripodi, F.; Simonelli, C.; Nobre, P. Sexual Modes Questionnaire (SMQ): Translation and psychometric properties of the Italian version of the Automatic Thought Scale. J. Sex. Med. 2018, 15, 396–409. [Google Scholar] [CrossRef]
- Nimbi, F.M.; Simonelli, C. The Sex Therapists’ Approach to the Evaluation and Management of Low Sex Drive in Men. J. Sex. Med. 2022, 19, 546–552. [Google Scholar] [CrossRef] [PubMed]
- Seehuus, M.; Stanton, A.M.; Handy, A.B. On the content of “real-world” sexual fantasy: Results from an analysis of 250,000+ anonymous text-based erotic fantasies. Arch. Sex. Behav. 2019, 48, 725–737. [Google Scholar] [CrossRef] [PubMed]
- Meston, C.M.; Buss, D.M. Why humans have sex. Arch. Sex. Behav. 2007, 36, 477–507. [Google Scholar] [CrossRef] [PubMed]
- Yost, M.R.; Zurbriggen, E.L. Gender differences in the enactment of sociosexuality: An examination of implicit social motives, sexual fantasies, coercive sexual attitudes, and aggressive sexual behavior. J. Sex Res. 2006, 43, 163–173. [Google Scholar] [CrossRef]
- Penke, L.; Asendorpf, J.B. Beyond global sociosexual orientations: A more differentiated look at sociosexuality and its effects on courtship and romantic relationships. J. Personal. Soc. Psychol. 2008, 95, 1113–1135. [Google Scholar] [CrossRef]
- Ahrold, T.K.; Farmer, M.; Trapnell, P.D.; Meston, C.M. The relationship among sexual attitudes, sexual fantasy, and religiosity. Arch. Sex. Behav. 2011, 40, 619–630. [Google Scholar] [CrossRef]
- Anzani, A.; Prunas, A. Sexual fantasy of cisgender and nonbinary individuals: A quantitative study. J. Sex Marital Ther. 2020, 46, 763–772. [Google Scholar] [CrossRef]
- Parish, S.J.; Hahn, S.R. Hypoactive sexual desire disorder: A review of epidemiology, biopsychology, diagnosis, and treatment. Sex. Med. Rev. 2016, 4, 103–120. [Google Scholar] [CrossRef]
- Fisher, T.D.; Moore, Z.T.; Pittenger, M.J. Sex on the brain?: An examination of frequency of sexual cognitions as a function of gender, erotophilia, and social desirability. J. Sex Res. 2012, 49, 69–77. [Google Scholar] [CrossRef]
- Wu, Y.; Ku, L.; Zaroff, C.M. Sexual arousal and sexual fantasy: The influence of gender, and the measurement of antecedents and emotional consequences in Macau and the United States. Int. J. Sex. Health 2016, 28, 55–69. [Google Scholar] [CrossRef]
- Gormezano, A.M.; Harris, E.A.; Gauvin, S.E.; Pinto, J.; van Anders, G.; van Anders, S.M. Sexual Orientation Across Porn Use, Sexual Fantasy, and In-Person Sexuality: Visualizing Branchedness and Coincidence via Sexual Configurations Theory. Arch. Sex. Behav. 2022, 51, 1201–1219. [Google Scholar] [CrossRef] [PubMed]
- Person, E.S. The Force of Fantasy: Its Power to Transform Our Lives; HarperCollins Pub: New York, NY, USA, 1996. [Google Scholar]

| Variables | Group 1 (n = 887) | Group 2 (n = 886) | Total Group (n = 1773) | |
|---|---|---|---|---|
| M ± ds (Min–Max) | M ± ds (Min–Max) | M ± ds (Min–Max) | ||
| Age | 29.3 ± 10.42 (18–78) | 29.32 ± 10.28 (18–65) | 29.31 ± 10.35 (18–78) | |
| n (%) | n (%) | n (%) | ||
| Gender | Female | 555 (62.57) | 550 (62.08) | 1105 (62.32) |
| Male | 320 (36.08) | 325 (36.68) | 645 (36.38) | |
| Transgender | 3 (0.34) | 3 (0.34) | 6 (0.34) | |
| Non-binary | 9 (1.01) | 8 (0.91) | 17 (0.96) | |
| Sexual Orientation | Heterosexual | 705 (79.48) | 703 (79.35) | 1408 (79.41) |
| Bisexual | 80 (9.02) | 82 (9.26) | 162 (9.14) | |
| Homosexual | 89 (10.03) | 89 (10.05) | 178 (10.04) | |
| Asexual | 10 (1.13) | 9 (1.02) | 19 (1.07) | |
| Pansexual | 3 (0.34) | 3 (0.34) | 6 (0.34) | |
| Marital Status | Unmarried | 763 (86.02) | 736 (83.07) | 1499 (84.55) |
| Married | 96 (10.82) | 125 (14.11) | 221 (12.46) | |
| Separated | 24 (2.71) | 24 (2.71) | 48 (2.71) | |
| Widowed | 4 (0.45) | 1 (0.11) | 5 (0.28) | |
| Relationship Status | Single | 333 (37.54) | 293 (33.07) | 626 (35.31) |
| Couple | 532 (59.98) | 576 (65.01) | 1108 (62.49) | |
| Polyamory | 22 (2.48) | 17 (1.92) | 39 (2.2) | |
| Children | No | 787 (88.73) | 764 (86.23) | 1551 (87.48) |
| Yes | 100 (11.27) | 122 (13.77) | 222 (12.52) | |
| Education Level | Middle School | 19 (2.14) | 21 (2.37) | 40 (2.26) |
| High School | 286 (32.24) | 333 (37.58) | 619 (34.91) | |
| University | 443 (49.94) | 396 (44.7) | 839 (47.32) | |
| PhD and Postgrad courses | 139 (15.67) | 136 (15.35) | 275 (15.51) | |
| Work Status | Student | 422 (47.58) | 414 (46.73) | 836 (47.15) |
| Employed | 241 (27.17) | 274 (30.93) | 515 (29.05) | |
| Freelance | 150 (16.91) | 140 (15.8) | 290 (16.36) | |
| Unemployed | 64 (7.22) | 56 (6.32) | 120 (6.77) | |
| Retired | 10 (1.13) | 2 (0.23) | 12 (0.68) | |
| Sexual Intercourse in Life | Never | 45 (5.07) | 54 (6.09) | 99 (5.58) |
| Yes | 842 (94.93) | 832 (93.91) | 1674 (94.42) | |
| Sexual Intercourse in the last 6 months | No | 138 (15.56) | 110 (12.42) | 248 (13.99) |
| Yes | 749 (84.44) | 776 (87.58) | 1525 (86.01) |
| F1 | F2 | F3 | F4 | F5 | F6 | F7 | F8 | F9 | F10 | F11 | F12 | F13 | F14 | F15 | F16 | F17 | F18 | F19 | F20 | |
|---|---|---|---|---|---|---|---|---|---|---|---|---|---|---|---|---|---|---|---|---|
| F1. Physical Characteristics | 1 | . | ||||||||||||||||||
| F2. Group sex | 0.433 ** | 1 | ||||||||||||||||||
| F3. Romantic | 0.171 ** | 0.001 | 1 | |||||||||||||||||
| F4. Vanilla Sex | 0.263 ** | 0.290 ** | 0.444 ** | 1 | ||||||||||||||||
| F5. Masochism | 0.224 ** | 0.448 ** | 0.075 * | 0.247 ** | 1 | |||||||||||||||
| F6. Sadism | 0.425 ** | 0.424 ** | 0.147 ** | 0.303 ** | 0.480 ** | 1 | ||||||||||||||
| F7. Taboo | 0.274 ** | 0.189 ** | 0.081 ** | 0.058 † | 0.215 ** | 0.254 ** | 1 | |||||||||||||
| F8. Anal Sex and Toys | 0.317 ** | 0.462 ** | 0.134 ** | 0.434 ** | 0.389 ** | 0.370 ** | 0.129 ** | 1 | ||||||||||||
| F9. Incestuous/Older people | 0.530 ** | 0.383 ** | 0.078 * | 0.174 ** | 0.286 ** | 0.308 ** | 0.407 ** | 0.270 ** | 1 | |||||||||||
| F10. Soft Fetish | 0.500 ** | 0.329 ** | 0.202 ** | 0.266 ** | 0.351 ** | 0.447 ** | 0.193 ** | 0.356 ** | 0.355 ** | 1 | ||||||||||
| F11. Risk of Being Caught | 0.363 ** | 0.432 ** | 0.176 ** | 0.357 ** | 0.378 ** | 0.370 ** | 0.115 ** | 0.319 ** | 0.279 ** | 0.310 ** | 1 | |||||||||
| F12. Past Experience | 0.380 ** | 0.272 ** | 0.284 ** | 0.275 ** | 0.201 ** | 0.278 ** | 0.163 ** | 0.193 ** | 0.269 ** | 0.295 ** | 0.296 ** | 1 | ||||||||
| F13. Seduction and Infidelity | 0.443 ** | 0.373 ** | 0.220 ** | 0.301 ** | 0.208 ** | 0.280 ** | 0.128 ** | 0.236 ** | 0.338 ** | 0.266 ** | 0.389 ** | 0.449 ** | 1 | |||||||
| F14. Exhibitionism and Voyeurism | 0.388 ** | 0.580 ** | 0.075 * | 0.250 ** | 0.348 ** | 0.344 ** | 0.211 ** | 0.409 ** | 0.339 ** | 0.349 ** | 0.463 ** | 0.217 ** | 0.320 ** | 1 | ||||||
| F15. Bondage | 0.232 ** | 0.401 ** | 0.228 ** | 0.399 ** | 0.536 ** | 0.533 ** | 0.111 ** | 0.354 ** | 0.165 ** | 0.298 ** | 0.431 ** | 0.240 ** | 0.218 ** | 0.305 ** | 1 | |||||
| F16. Sexual Abuse | 0.279 ** | 0.312 ** | 0.074 * | 0.098 ** | 0.303 ** | 0.346 ** | 0.423 ** | 0.228 ** | 0.347 ** | 0.264 ** | 0.252 ** | 0.200 ** | 0.223 ** | 0.408 ** | 0.205 ** | 1 | ||||
| F17. Sex work | 0.434 ** | 0.543 ** | 0.075 * | 0.182 ** | 0.367 ** | 0.337 ** | 0.260 ** | 0.338 ** | 0.385 ** | 0.351 ** | 0.381 ** | 0.263 ** | 0.316 ** | 0.529 ** | 0.268 ** | 0.429 ** | 1 | |||
| F18. Ejaculation Emission | 0.485 ** | 0.356 ** | 0.133 ** | 0.370 ** | 0.054 † | 0.422 ** | 0.109 ** | 0.473 ** | 0.318 ** | 0.351 ** | 0.268 ** | 0.204 ** | 0.241 ** | 0.322 ** | 0.167 ** | 0.191 ** | 0.290 ** | 1 | ||
| F19. Receiving Ejaculation | 0.125 ** | 0.310 ** | 0.177 ** | 0.352 ** | 0.479 ** | 0.144 ** | 0.087 ** | 0.451 ** | 0.121 ** | 0.249 ** | 0.336 ** | 0.122 ** | 0.152 ** | 0.278 ** | 0.340 ** | 0.111 ** | 0.236 ** | 0.181 ** | 1 | |
| F20. Dirty Fetish | 0.216 ** | 0.289 ** | 0.007 | 0.042 | 0.341 ** | 0.297 ** | 0.254 ** | 0.288 ** | 0.330 ** | 0.414 ** | 0.164 ** | 0.085 ** | 0.085 ** | 0.298 ** | 0.140 ** | 0.213 ** | 0.275 ** | 0.182 ** | 0.198 ** | 1 |
| SDEF3 F1 | SDEF3 F2 | SDEF3 F3 | SDEF3 F4 | SDEF3 F5 | SDEF3 F6 | |
|---|---|---|---|---|---|---|
| SDEF3–F1. Physical and Contextual | 1 | |||||
| SDEF3–F2. BDSM | 0.487 ** | 1 | ||||
| SDEF3–F3. Taboo | 0.393 ** | 0.324 ** | 1 | |||
| SDEF3–F4. Bottom | 0.34 ** | 0.466 ** | 0.173 ** | 1 | ||
| SDEF3–F5. Top | 0.465 ** | 0.329 ** | 0.268 ** | 0.275 ** | 1 | |
| SDEF3–F6. Romantic | 0.227 ** | 0.199 ** | 0.094 ** | 0.206 ** | 0.213 ** | 1 |
| SDI-2–Solitary Desire | 0.398 ** | 0.25 ** | 0.192 ** | 0.265 ** | 0.352 ** | −0.032 |
| SDI-2–Dyadic Desire | 0.49 ** | 0.291 ** | 0.189 ** | 0.324 ** | 0.461 ** | 0.265 ** |
| FSFI–Sexual Desire | 0.347 ** | 0.355 ** | 0.11 ** | 0.45 ** | 0.362 ** | 0.25 ** |
| FSFI–Arousal | 0.046 | 0.221 ** | 0.053 | 0.292 ** | 0.241 ** | 0.057 |
| FSFI–Lubrication | 0.015 | 0.159 ** | 0.034 | 0.244 ** | 0.195 ** | 0.048 |
| FSFI–Orgasm | −0.014 | 0.117 ** | 0.026 | 0.239 ** | 0.201 ** | 0.037 |
| FSFI–Satisfaction | −0.054 | 0.167 ** | 0.029 | 0.212 ** | 0.194 ** | 0.059 † |
| FSFI–Pain | −0.019 | 0.133 ** | 0.045 | 0.212 ** | 0.184 ** | −0.01 |
| FSFI–Total Score | 0.033 | 0.208 ** | 0.052 | 0.305 ** | 0.256 ** | 0.067 † |
| IIEF–Sexual Desire | 0.220 ** | 0.193 ** | 0.092 † | 0.19 ** | 0.315 ** | 0.188 ** |
| IIEF–Erectile Function | 0.027 | 0.075 | 0.04 | −0.002 | 0.227 ** | 0.067 |
| IIEF–Orgasmic Function | 0.036 | 0.062 | −0.002 | 0.039 | 0.23 ** | 0.027 |
| IIEF–Intercourse Satisfaction | −0.016 | 0.101 † | 0.063 | 0.076 | 0.248 ** | 0.058 |
| IIEF–General Satisfaction | −0.066 | 0.06 | 0.046 | 0.032 | 0.189 ** | 0.075 |
| IIEF–Total Score | 0.023 | 0.098 † | 0.05 | 0.045 | 0.291 ** | 0.079 † |
| SDEF3 F1 | SDEF3 F2 | SDEF3 F3 | SDEF3 F4 | SDEF3 F5 | SDEF3 F6 | |
|---|---|---|---|---|---|---|
| Age | −0.138 ** | −0.166 ** | 0.024 | −0.018 | 0.119 ** | −0.12 ** |
| Being in a Relationship | −0.192 ** | 0.015 | −0.027 | 0.061 † | 0.026 | −0.058 † |
| Having Children | −0.127 ** | −0.134 ** | 0.016 | −0.053 † | 0.071 * | −0.106 ** |
| Education Level | −0.099 ** | −0.083 ** | −0.05 † | 0.028 | −0.043 | −0.098 ** |
| Political Conservativism (Right winged) | −0.003 | −0.051 † | 0.014 | −0.054 † | 0.038 | 0.058 † |
| Political Involvement | 0.107 ** | 0.082 * | 0.042 | −0.01 | 0.157 ** | −0.034 |
| Religious Education | 0.03 | −0.017 | 0.025 | −0.029 | 0.033 | 0.069 * |
| Religiousness | −0.097 ** | −0.151 ** | −0.006 | −0.099 ** | −0.067 * | 0.029 |
| Religious Involvement | −0.101 ** | −0.159 ** | −0.018 | −0.109 ** | −0.076 * | 0.03 |
| Sexual Intercourse in Life | 0.076 * | 0.125 ** | 0.020 | 0.144 ** | 0.116 ** | 0.025 |
| Sexual Intercourse in the last six months | 0.039 | 0.174 ** | 0.039 | 0.175 ** | 0.136 ** | 0.028 |
| Social Desirability (MC-SDS) | −0.212 ** | −0.11 ** | −0.143 ** | −0.057 † | −0.049 † | −0.001 |
| Women (n = 1088) M ± DS | Men (n = 641) M ± DS | Δ | F(1,1724) | p | 95% CI | Partial Eta2 | |||
| Lower Bound | Upper Bound | ||||||||
| SDEF3–F1. Physical and Contextual | 1.09 ± 0.63 | 1.55 ± 0.72 | 0.46 | 70.14 | <0.001 | −0.984 | −0.565 | 0.039 | |
| SDEF3–F2. BDSM | 0.84 ± 0.79 | 0.86 ± 0.81 | 0.02 | - | 0.354 | −0.306 | 0.211 | - | |
| SDEF3–F3. Taboo | 0.07 ± 0.18 | 0.21 ± 0.36 | 0.14 | 20.87 | <0.001 | −0.165 | −0.011 | 0.012 | |
| SDEF3–F4. Bottom | 1.49 ± 0.96 | 1.09 ± 0.9 | 0.4 | - | 0.6 | −1.242 | 0.655 | - | |
| SDEF3–F5. Top | 1.04 ± 0.84 | 2.38 ± 0.97 | 1.34 | 207.89 | <0.001 | −1.265 | −0.674 | 0.108 | |
| SDEF3–F6. Romantic | 1.76 ± 0.93 | 1.79 ± 0.9 | 0.03 | - | 0.311 | −0.301 | 0.309 | - | |
| Heterosexual (n = 1404) M ± DS | Bisexual (n = 152) M ± DS | Homosexual (n = 173) M ± DS | Post Hoc Bonferroni | F(1,1724) | p | 95% CI | Partial Eta2 | ||
| Lower Bound | Upper Bound | ||||||||
| SDEF3–F1. Physical and Contextual | 1.2 ± 0.69 | 1.5 ± 0.63 | 1.57 ± 0.74 | He < Bi He < Ho | 7.64 | <0.001 | −0.407 | −0.161 | 0.009 |
| SDEF3–F2. BDSM | 0.79 ± 0.77 | 1.25 ± 0.96 | 1.01 ± 0.79 | He < Bi He < Ho Ho < Bi | 12.52 | <0.001 | −0.354 | −0.049 | 0.014 |
| SDEF3–F3. Taboo | 0.12 ± 0.28 | 0.16 ± 0.27 | 0.16 ± 0.24 | - | - | 0.382 | −0.165 | 0.011 | - |
| SDEF3–F4. Bottom | 1.24 ± 0.92 | 1.77 ± 0.97 | 1.82 ± 1.01 | He < Bi He < Ho | 37.48 | <0.001 | −1.461 | −1.116 | 0.042 |
| SDEF3–F5. Top | 1.48 ± 1.11 | 1.64 ± 0.96 | 1.89 ± 1.04 | - | - | 0.054 | −0.072 | 0.597 | - |
| SDEF3–F6. Romantic | 1.78 ± 0.93 | 1.73 ± 0.88 | 1.75 ± 0.82 | - | - | 0.936 | −0.126 | 0.233 | - |
| Gender | Sexual Orientation | M | SD | F(1,1724) | p | Partial Eta2 | |||
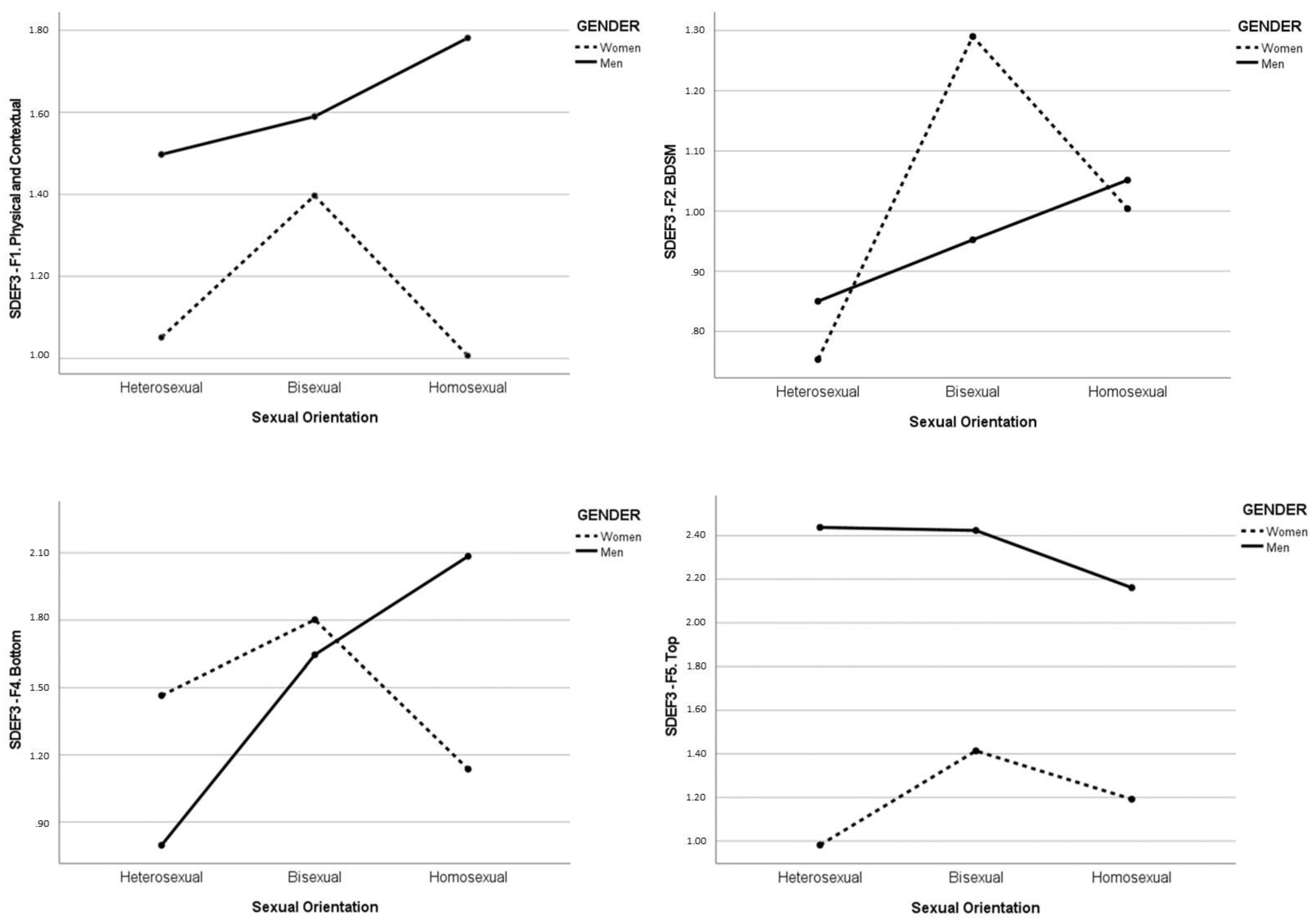
| SDEF3–F1. Physical and Contextual | Women Men | Heterosexual Bisexual Homosexual Heterosexual Bisexual Homosexual | 1.05 1.46 1.03 1.48 1.64 1.78 | 0.62 0.61 0.6 0.73 0.71 0.68 | 6.91 | 0.001 | 0.008 | ||
| SDEF3–F2. BDSM | Women Men | Heterosexual Bisexual Homosexual Heterosexual Bisexual Homosexual | 0.77 1.35 1.05 0.82 0.88 1 | 0.75 0.92 0.78 0.79 1 0.8 | 3.84 | 0.022 | 0.004 | ||
| SDEF3–F3. Taboo | Women Men | Heterosexual Bisexual Homosexual Heterosexual Bisexual Homosexual | 0.06 0.14 0.1 0.22 0.23 0.18 | 0.17 0.24 0.24 0.39 0.33 0.24 | - | 0.118 | - | ||
| SDEF3–F4. Bottom | Women Men | Heterosexual Bisexual Homosexual Heterosexual Bisexual Homosexual | 1.47 1.81 1.15 0.79 1.63 2.07 | 0.95 0.97 0.88 0.66 0.96 0.95 | 54.91 | <0.001 | 0.06 | ||
| SDEF3–F5. Top | Women Men | Heterosexual Bisexual Homosexual Heterosexual Bisexual Homosexual | 0.98 1.42 1.21 2.44 2.39 2.14 | 0.82 0.88 0.93 0.97 0.88 0.97 | 7.21 | <0.001 | 0.008 | ||
| SDEF3–F6. Romantic | Women Men | Heterosexual Bisexual Homosexual Heterosexual Bisexual Homosexual | 1.77 1.71 1.79 1.8 1.83 1.74 | 0.95 0.85 0.7 1 0.87 0.9 | - | 0.700 | - | ||
| Women | FSFI Functional Score (n = 647) M ± DS | FSFI Clinical Score (n = 289) M ± DS | Δ | F(1,1083) | p | 95% CI | Partial Eta2 | |
| Lower Bound | Upper Bound | |||||||
| SDEF3–F1. Physical and Contextual | 1.11 ± 0.63 | 1.07 ± 0.63 | 0.04 | 16.76 | <0.001 | 0.085 | 0.241 | 0.015 |
| SDEF3–F2. BDSM | 0.95 ± 0.82 | 0.67 ± 0.73 | 0.28 | 38.78 | <0.001 | 0.22 | 0.422 | 0.035 |
| SDEF3–F3. Taboo | 0.08 ± 0.2 | 0.06 ± 0.16 | 0.02 | - | 0.156 | −0.007 | 0.041 | 0.002 |
| SDEF3–F4. Bottom | 1.71 ± 0.94 | 1.17 ± 0.89 | 0.54 | 85.14 | <0.001 | 0.449 | 0.691 | 0.073 |
| SDEF3–F5. Top | 1.21 ± 0.87 | 0.8 ± 0.74 | 0.41 | 64.47 | <0.001 | 0.335 | 0.551 | 0.056 |
| SDEF3–F6. Romantic | 1.82 ± 0.92 | 1.68 ± 0.92 | 0.14 | 10.81 | 0.001 | 0.08 | 0.317 | 0.01 |
| Men | IIEF Functional Score (n = 430) M ± DS | IIEF Clinical Score (n = 89) M ± DS | Δ | F(1.636) | p | 95% CI | Partial Eta2 | |
| Lower Bound | Upper Bound | |||||||
| SDEF3–F1. Physical and Contextual | 1.56 ± 0.72 | 1.51 ± 0.73 | 0.05 | 12.6 | <0.001 | 0.019 | 0.019 | 0.019 |
| SDEF3–F2. BDSM | 0.9 ± 0.8 | 0.69 ± 0.81 | 0.21 | 13.07 | <0.001 | 0.147 | 0.496 | 0.020 |
| SDEF3–F3. Taboo | 0.22 ± 0.35 | 0.2 ± 0.43 | 0.02 | 0.47 | 0.492 | −0.052 | 0.108 | 0.001 |
| SDEF3–F4. Bottom | 1.11 ± 0.89 | 0.97 ± 0.95 | 0.14 | 4.09 | 0.044 | 0.006 | 0.406 | 0.006 |
| SDEF3–F5. Top | 2.46 ± 0.92 | 2.01 ± 1.12 | 0.45 | 11.49 | <0.001 | 0.154 | 0.577 | 0.018 |
| SDEF3–F6. Romantic | 1.81 ± 0.91 | 1.71 ± 0.86 | 0.1 | 4.7 | 0.031 | 0.021 | 0.423 | 0.007 |
Disclaimer/Publisher’s Note: The statements, opinions and data contained in all publications are solely those of the individual author(s) and contributor(s) and not of MDPI and/or the editor(s). MDPI and/or the editor(s) disclaim responsibility for any injury to people or property resulting from any ideas, methods, instructions or products referred to in the content. |
© 2023 by the authors. Licensee MDPI, Basel, Switzerland. This article is an open access article distributed under the terms and conditions of the Creative Commons Attribution (CC BY) license (https://creativecommons.org/licenses/by/4.0/).
Share and Cite
Nimbi, F.M.; Galizia, R.; Fontanesi, L.; Soyman, S.; Jannini, E.A.; Simonelli, C.; Tambelli, R. Sexual Desire and Erotic Fantasies Questionnaire: Validation of the Erotic Fantasy Inventory Scale (SDEF3) in Italian Adults. Healthcare 2023, 11, 880. https://doi.org/10.3390/healthcare11060880
Nimbi FM, Galizia R, Fontanesi L, Soyman S, Jannini EA, Simonelli C, Tambelli R. Sexual Desire and Erotic Fantasies Questionnaire: Validation of the Erotic Fantasy Inventory Scale (SDEF3) in Italian Adults. Healthcare. 2023; 11(6):880. https://doi.org/10.3390/healthcare11060880
Chicago/Turabian StyleNimbi, Filippo Maria, Roberta Galizia, Lilybeth Fontanesi, Seray Soyman, Emmanuele Angelo Jannini, Chiara Simonelli, and Renata Tambelli. 2023. "Sexual Desire and Erotic Fantasies Questionnaire: Validation of the Erotic Fantasy Inventory Scale (SDEF3) in Italian Adults" Healthcare 11, no. 6: 880. https://doi.org/10.3390/healthcare11060880
APA StyleNimbi, F. M., Galizia, R., Fontanesi, L., Soyman, S., Jannini, E. A., Simonelli, C., & Tambelli, R. (2023). Sexual Desire and Erotic Fantasies Questionnaire: Validation of the Erotic Fantasy Inventory Scale (SDEF3) in Italian Adults. Healthcare, 11(6), 880. https://doi.org/10.3390/healthcare11060880

