Alexithymia in Adult Autism Clinic Service-Users: Relationships with Sensory Processing Differences and Mental Health
Abstract
:1. Introduction
1.1. Mental Health in Autism
1.2. Alexithymia in Autism
1.3. Alexithymia and Sensory Processing Differences in Autism
1.4. Alexithymia, Sensory Processing Differences and Depression/Anxiety Symptoms in Autism
1.5. The Current Study
2. Methods
2.1. Procedure
2.2. Participants
2.3. Measures
2.3.1. Toronto Alexithymia Scale (TAS-20) [57]
2.3.2. Adolescent/Adult Sensory Profile (AASP) [58]
2.3.3. Hospital Anxiety and Depression Scale (HADS) [61]
2.3.4. Autism Quotient (AQ) [62]
2.3.5. Missing Data
2.4. Statistical Analyses
3. Results
3.1. Severity of Alexithymia
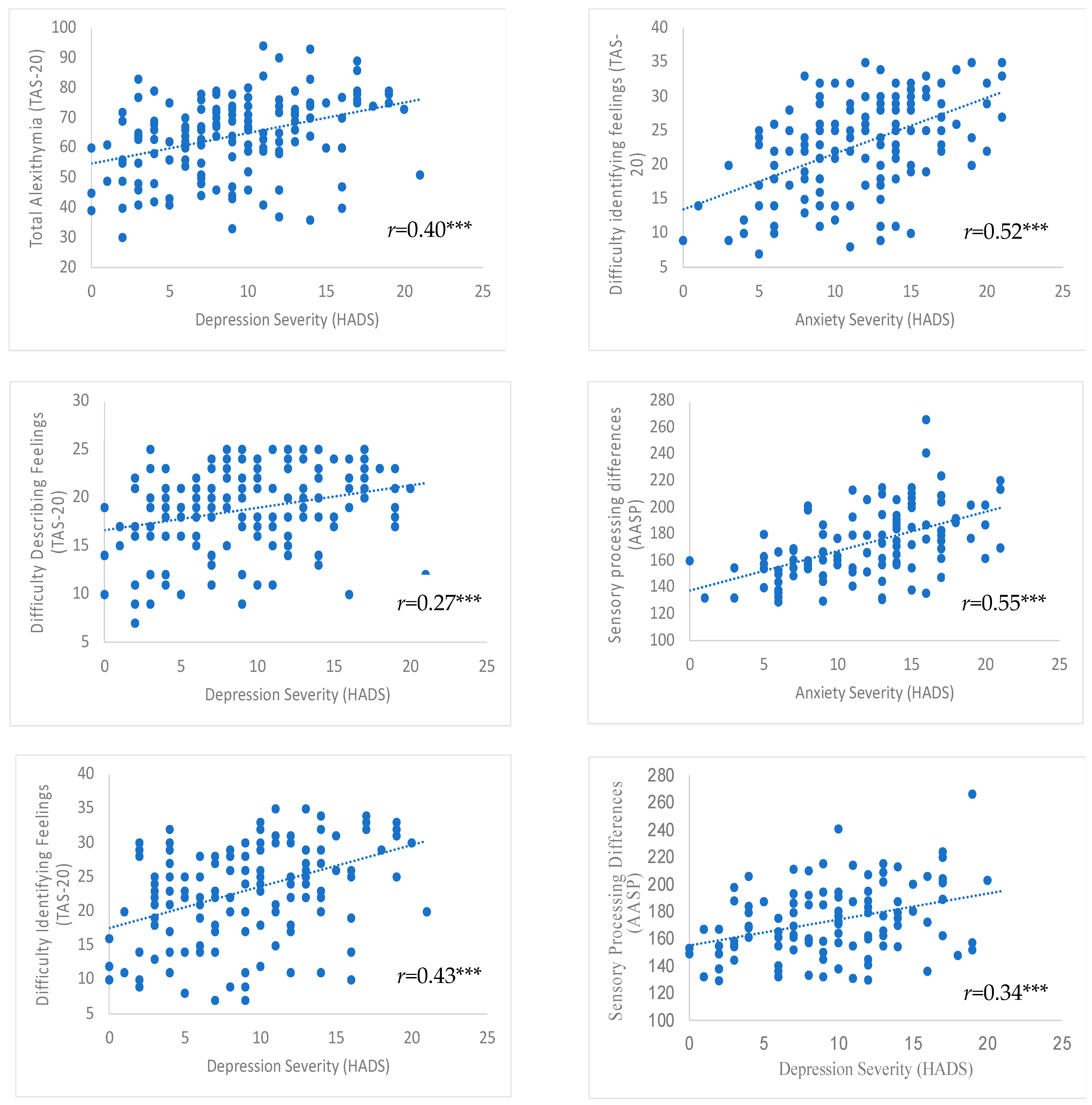
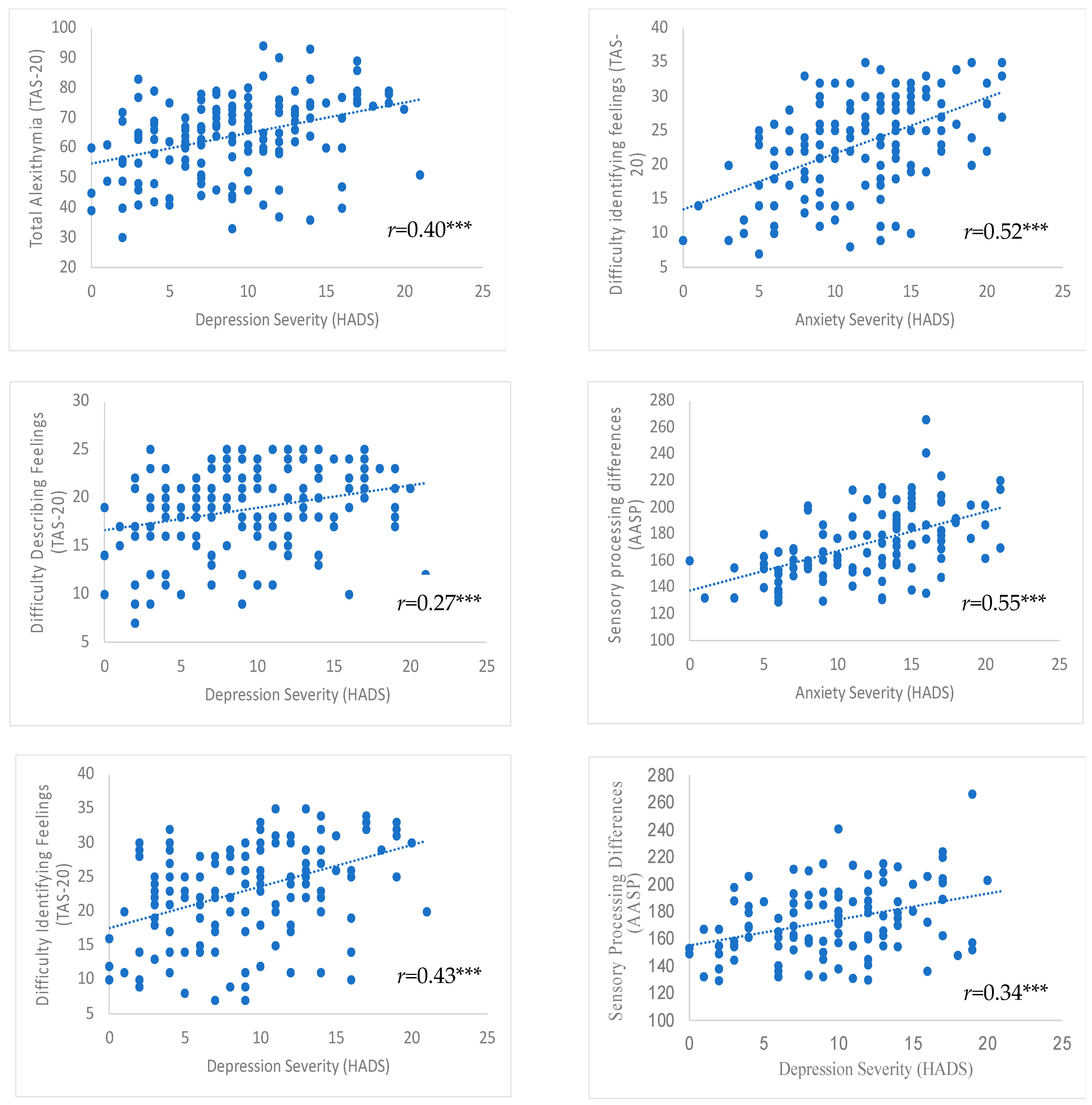
3.2. Association between Alexithymia and Depression/Anxiety Severity
3.3. Association between Alexithymia, Sensory Processing Differences and Depression/Anxiety Severity
3.4. Alexithymia as a Mediator between Sensory Processing Differences and Depression/Anxiety Severity
4. Discussion
4.1. Severity of Alexithymia
4.2. Association between Alexithymia and Depression/Anxiety Severity
4.3. Association between Sensory Processing Differences, Alexithymia, and Depression/Anxiety Severity
4.4. Strengths and Limitations
5. Conclusions
Supplementary Materials
Author Contributions
Funding
Institutional Review Board Statement
Informed Consent Statement
Data Availability Statement
Acknowledgments
Conflicts of Interest
References
- Kenny, L.; Hattersley, C.; Molins, B.; Buckley, C.; Povey, C.; Pellicano, E. Which Terms Should Be Used to Describe Autism? Perspectives from the UK Autism Community. Autism 2015, 20, 442–462. [Google Scholar] [CrossRef] [PubMed]
- Keating, C.T.; Hickman, L.; Leung, J.; Monk, R.; Montgomery, A.; Heath, H.; Sowden, S. Autism-Related Language Preferences of English-Speaking Individuals across the Globe: A Mixed Methods Investigation. Autism Res. 2023, 16, 406–428. [Google Scholar] [CrossRef] [PubMed]
- Lai, M.C.; Lombardo, M.V.; Baron-Cohen, S. Autism. Lancet 2014, 383, 896–910. [Google Scholar] [CrossRef] [PubMed]
- American Psychiatric Association. Diagnostic and Statistical Manual of Mental Disorders, 5th ed.; American Psychiatric Publishing, Inc.: Washington, DC, USA, 2013. [Google Scholar]
- Salari, N.; Rasoulpoor, S.; Rasoulpoor, S.; Shohaimi, S.; Jafarpour, S.; Abdoli, N.; Khaledi-Paveh, B.; Mohammadi, M. The Global Prevalence of Autism Spectrum Disorder: A Comprehensive Systematic Review and Meta-Analysis. Ital. J. Pediatr. 2022, 48, 112. [Google Scholar] [CrossRef] [PubMed]
- Schendel, D.E.; Thorsteinsson, E. Cumulative Incidence of Autism into Adulthood for Birth Cohorts in Denmark, 1980–2012. JAMA 2018, 320, 1811–1813. [Google Scholar] [CrossRef] [PubMed]
- Lawson, L.P.; Richdale, A.L.; Haschek, A.; Flower, R.L.; Vartuli, J.; Arnold, S.R.C.; Trollor, J.N. Cross-Sectional and Longitudinal Predictors of Quality of Life in Autistic Individuals from Adolescence to Adulthood: The Role of Mental Health and Sleep Quality. Autism 2020, 24, 954–967. [Google Scholar] [CrossRef] [PubMed]
- Lord, C.; Elsabbagh, M.; Baird, G.; Veenstra-Vanderweele, J. Autism Spectrum Disorder. Lancet 2018, 392, 508–520. [Google Scholar] [CrossRef] [PubMed]
- Mason, D.; McConachie, H.; Garland, D.; Petrou, A.; Rodgers, J.; Parr, J.R. Predictors of Quality of Life for Autistic Adults. Autism Res. 2018, 11, 1138–1147. [Google Scholar] [CrossRef]
- Oakley, B.F.M.; Tillmann, J.; Ahmad, J.; Crawley, D.; San José Cáceres, A.; Holt, R.; Charman, T.; Banaschewski, T.; Buitelaar, J.; Simonoff, E.; et al. How Do Core Autism Traits and Associated Symptoms Relate to Quality of Life? Findings from the Longitudinal European Autism Project. Autism 2021, 25, 389–404. [Google Scholar] [CrossRef]
- Lai, M.C.; Kassee, C.; Besney, R.; Bonato, S.; Hull, L.; Mandy, W.; Szatmari, P.; Ameis, S.H. Prevalence of Co-Occurring Mental Health Diagnoses in the Autism Population: A Systematic Review and Meta-Analysis. Lancet Psychiatry 2019, 6, 819–829. [Google Scholar] [CrossRef]
- Baker, C. Mental Health Statistics for England: Prevalence, Service and Funding; The House of Commons Library: London, UK, 2020. [Google Scholar]
- Camm-Crosbie, L.; Bradley, L.; Shaw, R.; Baron-Cohen, S.; Cassidy, S. ‘People like Me Don’t Get Support’: Autistic Adults’ Experiences of Support and Treatment for Mental Health Difficulties, Self-Injury and Suicidality. Autism 2019, 23, 1431–1441. [Google Scholar] [CrossRef]
- Crane, L.; Batty, R.; Adeyinka, H.; Goddard, L.; Henry, L.A.; Hill, E.L. Autism Diagnosis in the United Kingdom: Perspectives of Autistic Adults, Parents and Professionals. J. Autism Dev. Disord. 2018, 48, 3761–3772. [Google Scholar] [CrossRef]
- Scattoni, M.L.; Micai, M.; Ciaramella, A.; Salvitti, T.; Fulceri, F.; Fatta, L.M.; Poustka, L.; Diehm, R.; Iskrov, G.; Stefanov, R.; et al. Real-World Experiences in Autistic Adult Diagnostic Services and Post-Diagnostic Support and Alignment with Services Guidelines: Results from the ASDEU Study. J. Autism Dev. Disord. 2021, 51, 4129–4146. [Google Scholar] [CrossRef] [PubMed]
- Evans, K.; van der Meer, L.; Eggleston, M.J.F.; Taylor, L.J.; Thabrew, H.; Waddington, H.; Whitehouse, A.J.O. A Survey of Autistic Adults from New Zealand on the Autism Diagnostic Process During Adolescence and Adulthood. J. Autism Dev. Disord. 2022, 52, 771–781. [Google Scholar] [CrossRef] [PubMed]
- Brede, J.; Cage, E.; Trott, J.; Palmer, L.; Smith, A.; Serpell, L.; Mandy, W.; Russell, A. “We Have to Try to Find a Way, a Clinical Bridge”—Autistic Adults’ Experience of Accessing and Receiving Support for Mental Health Difficulties: A Systematic Review and Thematic Meta-Synthesis. Clin. Psychol. Rev. 2022, 93, 102131. [Google Scholar] [CrossRef]
- Crane, L.; Adams, F.; Harper, G.; Welch, J.; Pellicano, E. ‘Something Needs to Change’: Mental Health Experiences of Young Autistic Adults in England. Autism 2019, 23, 477–493. [Google Scholar] [CrossRef] [PubMed]
- Mandy, W. Six Ideas about How to Address the Autism Mental Health Crisis. Autism 2022, 26, 289–292. [Google Scholar] [CrossRef] [PubMed]
- Neil, L.; Olsson, N.C.; Pellicano, E. The Relationship Between Intolerance of Uncertainty, Sensory Sensitivities, and Anxiety in Autistic and Typically Developing Children. J. Autism Dev. Disord. 2016, 46, 1962–1973. [Google Scholar] [CrossRef] [PubMed]
- Kinnaird, E.; Stewart, C.; Tchanturia, K. Investigating Alexithymia in Autism: A Systematic Review and Meta-Analysis. Eur. Psychiatry 2019, 55, 80–89. [Google Scholar] [CrossRef] [PubMed]
- South, M.; Rodgers, J. Sensory, Emotional and Cognitive Contributions to Anxiety in Autism Spectrum Disorders. Front. Hum. Neurosci. 2017, 11, 20. [Google Scholar] [CrossRef]
- Nemiah, J.C.; Freyberger, H.; Sifneos, P.E. Alexithymia: A View of the Psychosomatic Process. In Modern Trends in Psychosomatic Medicine; Hill, O.W., Ed.; Butterworths: London, UK, 1976; Volume 3, pp. 430–439. [Google Scholar]
- Mattila, A.K.; Kronholm, E.; Jula, A.; Salminen, J.K.; Koivisto, A.M.; Mielonen, R.L.; Joukamaa, M. Alexithymia and Somatization in General Population. Psychosom. Med. 2008, 70, 716–722. [Google Scholar] [CrossRef]
- Salminen, J.K.; Saarijärvi, S.; Äärelä, E.; Toikka, T.; Kauhanen, J. Prevalence of Alexithymia and Its Association with Sociodemographic Variables in the General Population of Finland. J. Psychosom. Res. 1999, 46, 75–82. [Google Scholar] [CrossRef]
- Albantakis, L.; Brandi, M.L.; Zillekens, I.C.; Henco, L.; Weindel, L.; Thaler, H.; Schliephake, L.; Timmermans, B.; Schilbach, L. Alexithymic and Autistic Traits: Relevance for Comorbid Depression and Social Phobia in Adults with and without Autism Spectrum Disorder. Autism 2020, 24, 2046–2056. [Google Scholar] [CrossRef]
- Bloch, C.; Burghof, L.; Lehnhardt, F.G.; Vogeley, K.; Falter-Wagner, C. Alexithymia Traits Outweigh Autism Traits in the Explanation of Depression in Adults with Autism. Sci. Rep. 2021, 11, 2258. [Google Scholar] [CrossRef]
- Bach, M.; de Zwaan, M.; Ackard, D.; Nutzinger, D.O.; Mitchell, J.E. Alexithymia: Relationship to Personality Disorders. Compr. Psychiatry 1994, 35, 239–243. [Google Scholar] [CrossRef] [PubMed]
- Grabe, H.J.; Frommer, J.; Ankerhold, A.; Ulrich, C.; Gröger, R.; Franke, G.H.; Barnow, S.; Freyberger, H.J.; Spitzer, C. Alexithymia and Outcome in Psychotherapy. Psychother. Psychosom. 2008, 77, 189–194. [Google Scholar] [CrossRef]
- Saarijärvi, S.; Salminen, J.K.; Tamminen, T.; Äärelä, E. Alexithymia in Psychiatric Consultation-Liaison Patients. Gen. Hosp. Psychiatry 1993, 15, 330–333. [Google Scholar] [CrossRef] [PubMed]
- Son, S.H.; Jo, H.; Rim, H.D.; Kim, J.H.; Kim, H.W.; Bae, G.Y.; Lee, S.J. A Comparative Study on Alexithymia in Depressive, Somatoform, Anxiety, and Psychotic Disorders among Koreans. Psychiatry Investig. 2012, 9, 325. [Google Scholar] [CrossRef]
- McGillivray, L.; Becerra, R.; Harms, C. Prevalence and Demographic Correlates of Alexithymia: A Comparison Between Australian Psychiatric and Community Samples. J. Clin. Psychol. 2017, 73, 76–87. [Google Scholar] [CrossRef] [PubMed]
- Poquérusse, J.; Pastore, L.; Dellantonio, S.; Esposito, G. Alexithymia and Autism Spectrum Disorder: A Complex Relationship. Front. Psychol. 2018, 9, 1196. [Google Scholar] [CrossRef]
- Ryan, C.; Cogan, S. Eliciting Expressions of Emotion: An Exploratory Analysis of Alexithymia in Adults with Autism Utilising the APRQ. J. Autism Dev. Disord. 2022, 53, 2499–2513. [Google Scholar] [CrossRef]
- Patil, I.; Melsbach, J.; Hennig-Fast, K.; Silani, G. Divergent Roles of Autistic and Alexithymic Traits in Utilitarian Moral Judgments in Adults with Autism. Sci. Rep. 2016, 6, 23637. [Google Scholar] [CrossRef] [PubMed]
- Ola, L.; Gullon-Scott, F. Facial Emotion Recognition in Autistic Adult Females Correlates with Alexithymia, Not Autism. Autism 2020, 24, 2021–2034. [Google Scholar] [CrossRef] [PubMed]
- Costa, A.P.; Steffgen, G.; Samson, A.C. Expressive Incoherence and Alexithymia in Autism Spectrum Disorder. J. Autism Dev. Disord. 2017, 47, 1659–1672. [Google Scholar] [CrossRef] [PubMed]
- Cook, R.; Brewer, R.; Shah, P.; Bird, G. Alexithymia, Not Autism, Predicts Poor Recognition of Emotional Facial Expressions. Psychol. Sci. 2013, 24, 723–732. [Google Scholar] [CrossRef]
- Bird, G.; Cook, R. Mixed Emotions: The Contribution of Alexithymia to the Emotional Symptoms of Autism. Transl. Psychiatry 2013, 3, e285. [Google Scholar] [CrossRef]
- Sendzik, L.; Schäfer, J.Ö.; Samson, A.C.; Naumann, E.; Tuschen-Caffier, B. Emotional Awareness in Depressive and Anxiety Symptoms in Youth: A Meta-Analytic Review. J. Youth Adolesc. 2017, 46, 687–700. [Google Scholar] [CrossRef] [PubMed]
- Liss, M.; Mailloux, J.; Erchull, M.J. The Relationships between Sensory Processing Sensitivity, Alexithymia, Autism, Depression, and Anxiety. Pers. Individ. Differ. 2008, 45, 255–259. [Google Scholar] [CrossRef]
- Moore, H.L.; Brice, S.; Powell, L.; Ingham, B.; Freeston, M.; Parr, J.R.; Rodgers, J. The Mediating Effects of Alexithymia, Intolerance of Uncertainty, and Anxiety on the Relationship Between Sensory Processing Differences and Restricted and Repetitive Behaviours in Autistic Adults. J. Autism. Dev. Disord. 2021, 52, 4384–4396. [Google Scholar] [CrossRef]
- Crane, L.; Goddard, L.; Pring, L. Sensory Processing in Adults with Autism Spectrum Disorders. Autism 2009, 13, 215–228. [Google Scholar] [CrossRef]
- Dugas, M.J.; Gagnon, F.; Ladouceur, R.; Freeston, M.H. Generalized Anxiety Disorder: A Preliminary Test of a Conceptual Model. Behav. Res. Ther. 1998, 36, 215–226. [Google Scholar] [CrossRef] [PubMed]
- Vander Haegen, M.; Etienne, A.M. Cognitive Processes across Anxiety Disorders Related to Intolerance of Uncertainty: Clinical Review. Cogent. Psychol. 2016, 3, 1215773. [Google Scholar] [CrossRef]
- Vasa, R.A.; Kreiser, N.L.; Keefer, A.; Singh, V.; Mostofsky, S.H. Relationships between Autism Spectrum Disorder and Intolerance of Uncertainty. Autism Res. 2018, 11, 636–644. [Google Scholar] [CrossRef] [PubMed]
- Jenkinson, R.; Milne, E.; Thompson, A. The Relationship between Intolerance of Uncertainty and Anxiety in Autism: A Systematic Literature Review and Meta-Analysis. Autism 2020, 24, 1933–1944. [Google Scholar] [CrossRef] [PubMed]
- Jakobson, L.S.; Rigby, S.N. Alexithymia and Sensory Processing Sensitivity: Areas of Overlap and Links to Sensory Processing Styles. Front. Psychol. 2021, 12, 1659. [Google Scholar] [CrossRef] [PubMed]
- Maisel, M.E.; Stephenson, K.G.; South, M.; Rodgers, J.; Freeston, M.H.; Gaigg, S.B. Modeling the Cognitive Mechanisms Linking Autism Symptoms and Anxiety in Adults. J. Abnorm. Psychol. 2016, 125, 692–703. [Google Scholar] [CrossRef]
- Morie, K.P.; Jackson, S.; Zhai, Z.W.; Potenza, M.N.; Dritschel, B. Mood Disorders in High-Functioning Autism: The Importance of Alexithymia and Emotional Regulation. J. Autism Dev. Disord. 2019, 49, 2935. [Google Scholar] [CrossRef]
- Oakley, B.F.M.; Jones, E.J.H.; Crawley, D.; Charman, T.; Buitelaar, J.; Tillmann, J.; Murphy, D.G.; Loth, E. Alexithymia in Autism: Cross-Sectional and Longitudinal Associations with Social-Communication Difficulties, Anxiety and Depression Symptoms. Psychol. Med. 2020, 52, 1458–1470. [Google Scholar] [CrossRef]
- Berthoz, S.; Hill, E.L. The Validity of Using Self-Reports to Assess Emotion Regulation Abilities in Adults with Autism Spectrum Disorder. Eur. Psychiatry 2005, 20, 291–298. [Google Scholar] [CrossRef]
- Parker, J.D.A.; Taylor, G.J.; Bagby, R.M. The 20-Item Toronto Alexithymia Scale: III. Reliability and Factorial Validity in a Community Population. J. Psychosom. Res. 2003, 55, 269–275. [Google Scholar] [CrossRef]
- Lord, C.; Rutter, M.; Le Couteur, A. Autism Diagnostic Interview-Revised: A Revised Version of a Diagnostic Interview for Caregivers of Individuals with Possible Pervasive Developmental Disorders. J. Autism Dev. Disord. 1994, 24, 659–685. [Google Scholar] [CrossRef] [PubMed]
- Lord, C.; Risi, S.; Lambrecht, L.; Cook, E.H.; Leventhal, B.L.; Dilavore, P.C.; Pickles, A.; Rutter, M. The Autism Diagnostic Observation Schedule—Generic: A Standard Measure of Social and Communication Deficits Associated with the Spectrum of Autism. J. Autism Dev. Disord. 2000, 30, 205–223. [Google Scholar] [CrossRef] [PubMed]
- Russell, A.J.; Murphy, C.M.; Wilson, E.; Gillan, N.; Brown, C.; Robertson, D.M.; Craig, M.C.; Deeley, Q.; Zinkstok, J.; Johnston, K.; et al. The Mental Health of Individuals Referred for Assessment of Autism Spectrum Disorder in Adulthood: A Clinic Report. Autism 2016, 20, 623–627. [Google Scholar] [CrossRef] [PubMed]
- Bagby, R.M.; Parker, J.D.A.; Taylor, G.J. The Twenty-Item Toronto Alexithymia Scale—I. Item Selection and Cross-Validation of the Factor Structure. J. Psychosom. Res. 1994, 38, 23–32. [Google Scholar] [CrossRef]
- Brown, C.; Dunn, W. Adolescent/Adult Sensory Profile; Psychological Corporation: San Antonio, TX, USA, 2002. [Google Scholar]
- Horder, J.; Wilson, C.E.; Mendez, M.A.; Murphy, D.G. Autistic Traits and Abnormal Sensory Experiences in Adults. J. Autism Dev. Disord. 2014, 44, 1461–1469. [Google Scholar] [CrossRef]
- Mayer, J.L. The Relationship Between Autistic Traits and Atypical Sensory Functioning in Neurotypical and ASD Adults: A Spectrum Approach. J. Autism Dev. Disord. 2017, 47, 316–327. [Google Scholar] [CrossRef]
- Zigmond, A.S.; Snaith, R.P. The Hospital Anxiety and Depression Scale. Acta Psychiatr. Scand. 1983, 67, 361–370. [Google Scholar] [CrossRef]
- Baron-Cohen, S.; Wheelwright, S.; Skinner, R.; Martin, J.; Clubley, E. The Autism-Spectrum Quotient (AQ): Evidence from Asperger Syndrome/High-Functioning Autism, Males and Females, Scientists and Mathematicians. J. Autism Dev. Disord. 2001, 31, 5–17. [Google Scholar] [CrossRef]
- Baghdadli, A.; Russet, F.; Mottron, L. Measurement Properties of Screening and Diagnostic Tools for Autism Spectrum Adults of Mean Normal Intelligence: A Systematic Review. Eur. Psychiatry 2017, 44, 104–124. [Google Scholar] [CrossRef]
- Ashwood, K.L.; Gillan, N.; Horder, J.; Hayward, H.; Woodhouse, E.; McEwen, F.S.; Findon, J.; Eklund, H.; Spain, D.; Wilson, C.E.; et al. Predicting the Diagnosis of Autism in Adults Using the Autism-Spectrum Quotient (AQ) Questionnaire. Psychol. Med. 2016, 46, 2595–2604. [Google Scholar] [CrossRef]
- Huisman, M. Imputation of Missing Item Responses: Some Simple Techniques. Qual. Quant. 2000, 34, 331–351. [Google Scholar] [CrossRef]
- Lodder, P. To Impute or Not Impute: That’s the Question. In Advising on Research Methods; Gideon, J., Mellenberg, D., Herman, J.A., Eds.; Johannes van Kessel Publishing: Huizen, The Netherlands, 2013. [Google Scholar]
- IBM Corp. IBM SPSS Statistics for Mac 2020; IBM: Armonk, NY, USA, 2020. [Google Scholar]
- Charman, T.; Pickles, A.; Simonoff, E.; Chandler, S.; Loucas, T.; Baird, G. IQ in Children with Autism Spectrum Disorders: Data from the Special Needs and Autism Project (SNAP). Psychol. Med. 2011, 41, 619–627. [Google Scholar] [CrossRef] [PubMed]
- Hayes, A.F. PROCESS: A Versatile Computational Tool for Observed Variable Mediation, Moderation, and Conditional Process Modeling, 3rd ed.; Guilford Press: New York, NY, USA, 2022. [Google Scholar]
- Hobson, H.; Westwood, H.; Conway, J.; McEwen, F.S.; Colvert, E.; Catmur, C.; Bird, G.; Happé, F. Alexithymia and Autism Diagnostic Assessments: Evidence from Twins at Genetic Risk of Autism and Adults with Anorexia Nervosa. Res. Autism Spectr. Disord. 2020, 73, 101531. [Google Scholar] [CrossRef]
- Adams, D.; Young, K. A Systematic Review of the Perceived Barriers and Facilitators to Accessing Psychological Treatment for Mental Health Problems in Individuals on the Autism Spectrum. Rev. J. Autism Dev. Disord. 2021, 8, 436–453. [Google Scholar] [CrossRef]
- White, S.W.; Simmons, G.L.; Gotham, K.O.; Conner, C.M.; Smith, I.C.; Beck, K.B.; Mazefsky, C.A. Psychosocial Treatments Targeting Anxiety and Depression in Adolescents and Adults on the Autism Spectrum: Review of the Latest Research and Recommended Future Directions. Curr. Psychiatry Rep. 2018, 20, 82. [Google Scholar] [CrossRef] [PubMed]
- Spain, D.; Sin, J.; Chalder, T.; Murphy, D.; Happé, F. Cognitive Behaviour Therapy for Adults with Autism Spectrum Disorders and Psychiatric Co-Morbidity: A Review. Res. Autism Spectr. Disord. 2015, 9, 151–162. [Google Scholar] [CrossRef]
- Spain, D.; Happé, F. How to Optimise Cognitive Behaviour Therapy (CBT) for People with Autism Spectrum Disorders (ASD): A Delphi Study. J. Ration.-Emotive Cogn.-Behav. Ther. 2020, 38, 184–208. [Google Scholar] [CrossRef]
- England-Mason, G. Emotion Regulation as a Transdiagnostic Feature in Children with Neurodevelopmental Disorders. Curr. Dev. Disord. Rep. 2020, 7, 130–138. [Google Scholar] [CrossRef]
- Norman, H.; Marzano, L.; Coulson, M.; Oskis, A. Effects of Mindfulness-Based Interventions on Alexithymia: A Systematic Review. Evid. Based Ment. Health 2019, 22, 36–43. [Google Scholar] [CrossRef]
- Cameron, K.; Ogrodniczuk, J.; Hadjipavlou, G. Changes in Alexithymia Following Psychological Intervention: A Review. Harv. Rev. Psychiatry 2014, 22, 162–178. [Google Scholar] [CrossRef]
- Conner, C.M.; White, S.W.; Beck, K.B.; Golt, J.; Smith, I.C.; Mazefsky, C.A. Improving Emotion Regulation Ability in Autism: The Emotional Awareness and Skills Enhancement (EASE) Program. Autism 2019, 23, 1273–1287. [Google Scholar] [CrossRef] [PubMed]
- Redondo Pedregal, C.; Heaton, P. Autism, Music and Alexithymia: A Musical Intervention to Enhance Emotion Recognition in Adolescents with ASD. Res. Dev. Disabil. 2021, 116, 104040. [Google Scholar] [CrossRef] [PubMed]
- Benevides, T.W.; Shore, S.M.; Palmer, K.; Duncan, P.; Plank, A.; Andresen, M.L.; Caplan, R.; Cook, B.; Gassner, D.; Hector, B.L.; et al. Listening to the Autistic Voice: Mental Health Priorities to Guide Research and Practice in Autism from a Stakeholder-Driven Project. Autism 2020, 24, 822–833. [Google Scholar] [CrossRef] [PubMed]
- Mazefsky, C.A.; Herrington, J.; Siegel, M.; Scarpa, A.; Maddox, B.B.; Scahill, L.; White, S.W. The Role of Emotion Regulation in Autism Spectrum Disorder. J. Am. Acad. Child Adolesc. Psychiatry 2013, 52, 679–688. [Google Scholar] [CrossRef]
- Mazefsky, C.A.; White, S.W. Emotion Regulation. Concepts & Practice in Autism Spectrum Disorder. Child Adolesc. Psychiatr. Clin. N. Am. 2014, 23, 15–24. [Google Scholar] [CrossRef]
- Sung, Y.S.; Lin, C.Y.; Chu, S.Y.; Lin, L.Y. Emotion Dysregulation Mediates the Relationship between Sensory Processing and Behavior Problems in Young Children with Autism Spectrum Disorder: A Preliminary Study. J. Autism Dev. Disord. 2022, 1–11. [Google Scholar] [CrossRef]
- Fernandez-Prieto, M.; Moreira, C.; Cruz, S.; Campos, V.; Martínez-Regueiro, R.; Taboada, M.; Carracedo, A.; Sampaio, A. Executive Functioning: A Mediator Between Sensory Processing and Behaviour in Autism Spectrum Disorder. J. Autism Dev. Disord. 2021, 51, 2091–2103. [Google Scholar] [CrossRef]
- Brindle, K.; Moulding, R.; Bakker, K.; Nedeljkovic, M. Is the Relationship between Sensory-processing Sensitivity and Negative Affect Mediated by Emotional Regulation? Aust. J. Psychol. 2020, 67, 214–221. [Google Scholar] [CrossRef]
- Cai, R.Y.; Richdale, A.L.; Uljarević, M.; Dissanayake, C.; Samson, A.C. Emotion Regulation in Autism Spectrum Disorder: Where We Are and Where We Need to Go. Autism Res. 2018, 11, 962–978. [Google Scholar] [CrossRef]
- Samson, A.C.; Huber, O.; Gross, J.J. Emotion Regulation in Asperger’s Syndrome and High-Functioning Autism. Emotion 2012, 12, 659–665. [Google Scholar] [CrossRef]
- Bruggink, A.; Huisman, S.; Vuijk, R.; Kraaij, V.; Garnefski, N. Cognitive Emotion Regulation, Anxiety and Depression in Adults with Autism Spectrum Disorder. Res. Autism Spectr. Disord. 2016, 22, 34–44. [Google Scholar] [CrossRef]
- Cai, R.Y.; Richdale, A.L.; Dissanayake, C.; Trollor, J.; Uljarević, M. Emotion Regulation in Autism: Reappraisal and Suppression Interactions. Autism 2018, 23, 737–749. [Google Scholar] [CrossRef] [PubMed]
- Beck, K.B.; Greco, C.M.; Terhorst, L.A.; Skidmore, E.R.; Kulzer, J.L.; McCue, M.P. Mindfulness-Based Stress Reduction for Adults with Autism Spectrum Disorder: Feasibility and Estimated Effects. Mindfulness 2020, 11, 1286–1297. [Google Scholar] [CrossRef]
- Hartmann, K.; Urbano, M.R.; Teal Raffaele, C.; Kreiser, N.L.; Williams, T.V.; Qualls, L.R.; Elkins, D.E. Outcomes of an Emotion Regulation Intervention Group in Young Adults with Autism Spectrum Disorder. Bull. Menn. Clin. 2019, 83, 259–277. [Google Scholar] [CrossRef]
- Conner, C.M.; White, S.W. Brief Report: Feasibility and Preliminary Efficacy of Individual Mindfulness Therapy for Adults with Autism Spectrum Disorder. J. Autism Dev. Disord. 2018, 48, 290–300. [Google Scholar] [CrossRef] [PubMed]
- Rodgers, J.; Goodwin, J.; Garland, D.; Grahame, V.; Isard, L.; Kernohan, A.; Labus, M.; Osborne, M.M.; Parr, J.R.; Rob, P.; et al. Coping with Uncertainty in Everyday Situations (CUES©) to Address Intolerance of Uncertainty in Autistic Children: An Intervention Feasibility Trial. J. Autism Dev. Disord. 2022, 1–15. [Google Scholar] [CrossRef]
- Serafini, G.; Gonda, X.; Canepa, G.; Pompili, M.; Rihmer, Z.; Amore, M.; Engel-Yeger, B. Extreme Sensory Processing Patterns Show a Complex Association with Depression, and Impulsivity, Alexithymia, and Hopelessness. J. Affect. Disord. 2017, 210, 249–257. [Google Scholar] [CrossRef] [PubMed]
- Gaigg, S.B.; Cornell, A.S.F.; Bird, G. The Psychophysiological Mechanisms of Alexithymia in Autism Spectrum Disorder. Autism 2018, 22, 227–231. [Google Scholar] [CrossRef]
- Oakley, B.; Loth, E.; Murphy, D.G. Autism and Mood Disorders. Int. Rev. Psychiatry 2021, 33, 280–299. [Google Scholar] [CrossRef]
- Brewer, R.; Cook, R.; Bird, G. Alexithymia: A General Deficit of Interoception. R. Soc. Open Sci. 2015, 3, 150664. [Google Scholar] [CrossRef]



| Author (Date) | Country | Sample Composition | Sample Size | Age | Sex: Males (Females) | Measure of Alexithymia | Outcome Measures | Percentage Alexithymic (Score ≥ 61) | Relationship between Alexithymia and Mental Health Outcomes |
|---|---|---|---|---|---|---|---|---|---|
| Maisel et al. (2016) [49] | UK and USA | Autistic community | N = 76 | UK: 26–70 M (SD) = 44.7 (12.8) USA: 17–36 M (SD) = 21.7 (4.6) | UK: 30 (10) USA: 29 (7) | TAS-20 | Trait anxiety (STAI-T Form-Y) Social anxiety (FNE-Brief) Intolerance of uncertainty (IUS-12) Mindfulness (FFMQ-Nonreactivity) Worrying (PSWQ) Autistic traits (AQ) | Not reported | Alexithymia (p < 0.01, β = 0.32) and emotional acceptance (p < 0.001, β = −0.45) were moderately associated with anxiety when controlling for autistic traits. |
| Morie et al. (2019) [50] | UK and USA | Autistic community | N = 64 | 18–65 No descriptive statistics reported | 17 (47) | TAS-20 | Depression and anxiety (DASS)Emotion regulation (DERS) Autistic traits (SRS-2) | Not reported | Alexithymia and emotion regulation mediated relationships between autistic traits and depression (β = 0.06, se = 0.03, 95% CI 0.02–0.15) and anxiety (β = 0.06, se = 0.02, 95% CI 0.01–0.1). |
| Oakley et al. (2020) [51] | 7 European sites | Autistic community | N = 179 | 12–30 Median (IQR) = 19.6 (7.5) | 124 (55) | TAS-20 | Anxiety (Beck’s anxiety) Depression (Beck’s depression) Autistic traits (SRS-2) (RBS-R) | 29.1% | DIF was associated with anxiety symptoms severity cross-sectionally (p < 0.001, β = 0.54, 95% CI 0.41–0.77) and longitudinally (p = 0.01; β = 0.31, 95% CI 0.08–0.62). |
| Moore et al. (2021) [42] | UK | Autistic community | N = 426 | 18–77 M (SD) = 42.8 (13.9) | 191 (223) | TAS-20 | Depression and anxiety (HADS) Sensory processing differences (SPQ) Autistic traits (SRS-2) (RBQ-2A) Intolerance of uncertainty IUS-12) | 61.7% | Mediating effects identified of alexithymia-intolerance of uncertainty-anxiety on relationship between sensory processing and repetitive motor behaviours. (β = 0.0008, se = 0.0005 95% CI 0.0000–0.0021). |
| Albantakis et al. (2020) [26] | Germany | Autistic service-users | N = 122 (confirmed diagnosis) | No age range included M (SD) = 33.5 (10.4) | 83 (39) | TAS-20 | Social phobia (LSAS) Depression (BDI-II) Autistic traits (AQ) | 55.7% | Alexithymia explained the variance in depression over the influence of autistic traits (β = 0.38, p = 0.001). Alexithymia only explained the variance in social phobia without controlling for autistic traits (β = 11.40, p = 0.011). |
| Bloch et al. (2021) [27] | Germany | Autistic service-users | N = 281 (confirmed diagnosis) | No age range included M (SD) = 33.2 (11.0) | 219 (62) | TAS-20 | Depression (BDI) Autistic traits (AQ) | 66.2% | 23.2% of variance in BDI explained by autistic traits and alexithymia. DIF was the strongest predictor in the model (GDW = 0.116, 95% CI 0.062–0.173, 50.0% of R2) |
| Whole Sample | |||
|---|---|---|---|
| Demographic/Clinical Measure | N | Median (IQR) | Range |
| Sex: males (females) | 124 (66) | - | - |
| ASC diagnostic status: diagnosed (not diagnosed) | 153 (37) | ||
| Presence of intellectual disability | 7 | - | - |
| N | Median (IQR) | Range | |
| Age (years) | 189 | 33.0 (20.00) | 18–68 |
| Sensory total (AASP) | 126 | 174.0 (37.25) | 129–266 |
| Low registration (AASP) | 128 | 43.0 (14.00) | 23–71 |
| Sensation seeking (AASP) | 125 | 36.0 (12.25) | 19–55 |
| Sensory sensitivity (AASP) | 128 | 46.0 (15.75) | 21–75 |
| Sensation avoiding (AASP) | 127 | 49.0 (16.00) | 21–74 |
| Depression (HADS) | 153 | 9.0 (7.00) | 0–21 |
| Anxiety (HADS) | 154 | 12.0 (6.00) | 0–21 |
| Autistic traits (AQ) | 152 | 36.0 (10.00) | 11–50 |
| Alexithymia total (TAS-20) | 182 | 66.0 (16.00) | 30–94 |
| Difficulty describing feelings (TAS-20) | 190 | 19.0 (6.00) | 7–25 |
| Difficulty identifying feelings (TAS-20) | 186 | 25.0 (9.00) | 7–35 |
| Externally orientated thinking (TAS-20) | 184 | 23.0 (7.00) | 9–36 |
| Depression (HADS) | Anxiety (HADS) | ||
|---|---|---|---|
| β (95% CI) | β (95% CI) | ||
| Model 1 (N = 105) | Sex | −0.12 (−0.64 to 0.13) | −0.01 (−0.38 to 0.38) |
| ASC diagnostic status | 0.12 (−0.12 to 0.67) | −0.13 (−0.69 to 0.09) | |
| AASP | 0.26 (0.06 to 0.45) ** | 0.44 (0.26 to 0.64) *** | |
| Alexithymia total (TAS-20) | 0.32 (0.13 to 0.50) *** | 0.25 (0.07 to 0.45) ** | |
| Model fit (R2adj) | F(4,100) = 9.26, p < 0.001 (24.1%) | F(4,100) = 13.23, p < 0.001 (32.0%) | |
| Model 2 (N = 107) | Sex | −0.18 (−0.77 to 0.00) * | −0.05 (−0.50 to 0.25) |
| ASC diagnostic status | 0.09 (−0.20 to 0.60) | −0.15 (−0.76 to 0.04) | |
| AASP | 0.29 (0.11 to 0.48) *** | 0.48 (0.31 to 0.68) *** | |
| Difficulty describing feelings (TAS-20) | 0.30 (0.09 to 0.54) *** | 0.23 (0.06 to 0.44) ** | |
| Model fit (R2adj) | F(4,102) = 9.09, p < 0.001 (23.4%) | F(4,102) = 12.88, p < 0.001 (31.0%) | |
| Model 3 (N = 107) | Sex | −0.13 (−0.65 to 0.11) | 0.00 (−0.36 to 0.36) |
| ASC diagnostic status | 0.17 (0.01 to 0.80) * | −0.07 (−0.55 to 0.21) | |
| AASP | 0.19 (−0.02 to 0.39) | 0.34 (0.16 to 0.55) *** | |
| Difficulty identifying feelings (TAS-20) | 0.38 (0.19 to 0.57) *** | 0.36 (0.21 to 0.58) *** | |
| Model fit (R2adj) | F(4,102) = 10.55, p < 0.001 (26.5%) | F(4,102) = 16.86, p < 0.001 (37.4%) |
Disclaimer/Publisher’s Note: The statements, opinions and data contained in all publications are solely those of the individual author(s) and contributor(s) and not of MDPI and/or the editor(s). MDPI and/or the editor(s) disclaim responsibility for any injury to people or property resulting from any ideas, methods, instructions or products referred to in the content. |
© 2023 by the authors. Licensee MDPI, Basel, Switzerland. This article is an open access article distributed under the terms and conditions of the Creative Commons Attribution (CC BY) license (https://creativecommons.org/licenses/by/4.0/).
Share and Cite
Josyfon, E.; Spain, D.; Blackmore, C.; Murphy, D.; Oakley, B. Alexithymia in Adult Autism Clinic Service-Users: Relationships with Sensory Processing Differences and Mental Health. Healthcare 2023, 11, 3114. https://doi.org/10.3390/healthcare11243114
Josyfon E, Spain D, Blackmore C, Murphy D, Oakley B. Alexithymia in Adult Autism Clinic Service-Users: Relationships with Sensory Processing Differences and Mental Health. Healthcare. 2023; 11(24):3114. https://doi.org/10.3390/healthcare11243114
Chicago/Turabian StyleJosyfon, Emily, Debbie Spain, Charlotte Blackmore, Declan Murphy, and Bethany Oakley. 2023. "Alexithymia in Adult Autism Clinic Service-Users: Relationships with Sensory Processing Differences and Mental Health" Healthcare 11, no. 24: 3114. https://doi.org/10.3390/healthcare11243114
APA StyleJosyfon, E., Spain, D., Blackmore, C., Murphy, D., & Oakley, B. (2023). Alexithymia in Adult Autism Clinic Service-Users: Relationships with Sensory Processing Differences and Mental Health. Healthcare, 11(24), 3114. https://doi.org/10.3390/healthcare11243114

